Reconstruction of the Physiological Behavior of Real and Synthetic Vessels in Controlled Conditions
Abstract
1. Introduction
2. Materials and Methods
2.1. Experimental Set-Up
2.2. Material
2.3. Experimental Conditions
- Dc—vessel’s diameter change [mm].
- Dstatic(x,y,z)—vessel’s diameter, recorded under static conditions [mm].
- Ddynamic(x,y,z)—the maximal vessel’s diameter under dynamic conditions [mm].
- Wd—vessel’s wall displacement [mm].
- Wstatic (xp,yp,zp)—spatial configuration of vessel’s wall in relation to its central axis, recorded under static conditions [mm].
- Wdynamic (xp’,yp’,zp’)—spatial configuration of vessel’s wall in relation to its central axis, recorded under dynamic conditions [mm].
- Ti—tortuosity index [-].
- L—the linear distance of the vessel’s segment [mm].
- C—the distance between vessel’s start and endpoint [mm].
- T—tortuosity [-].
- d—the linear distance of the centerline [-].
- L—the distance along the centerline [-].
- MTi—modified tortuosity index [mm−1].
- L, C—as defined in Equation (3).
- R—the reciprocal of the radius of curvature at a particular point on the centerline of the analyzed vessel.
2.4. Statistical Analysis
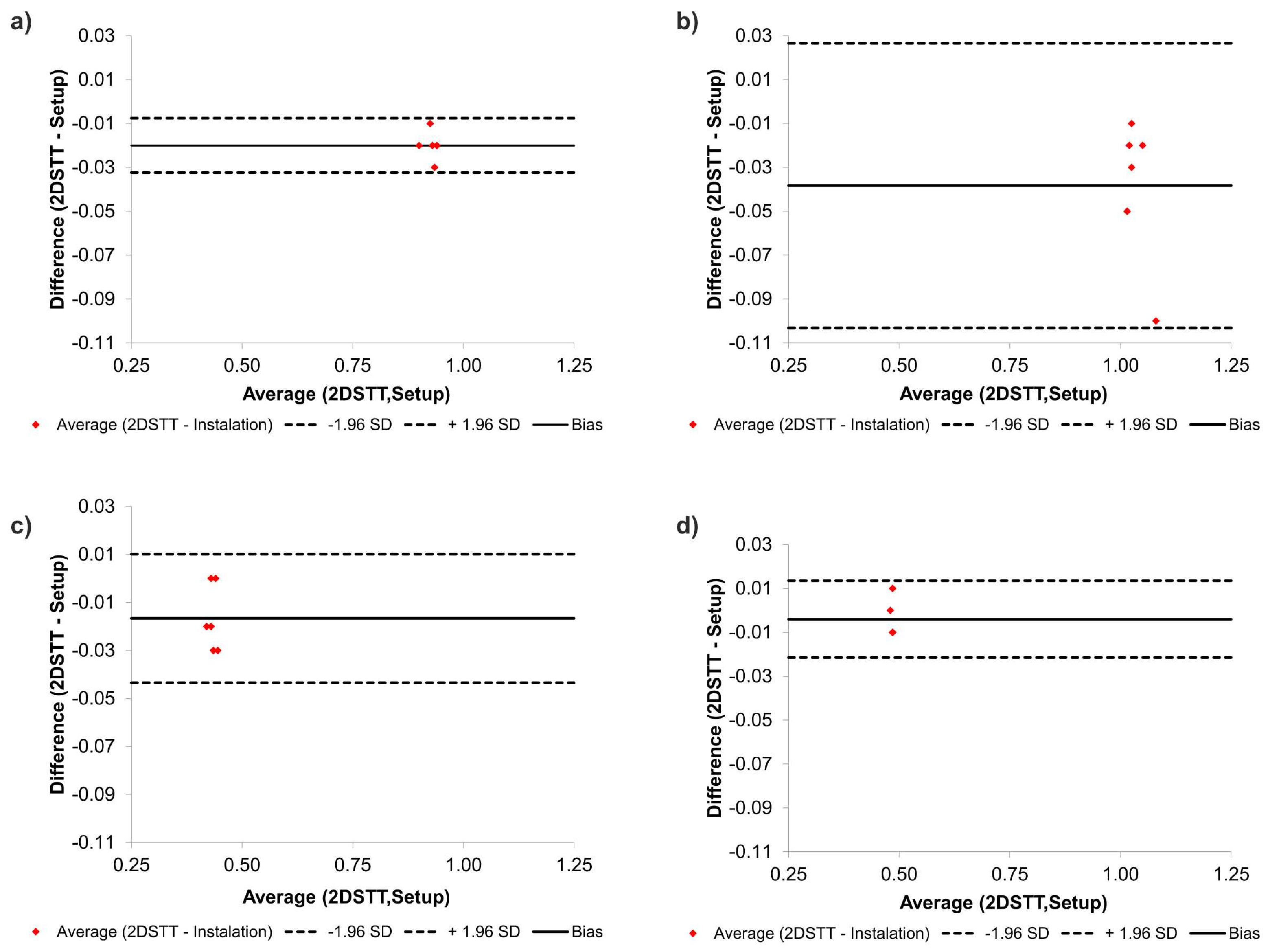
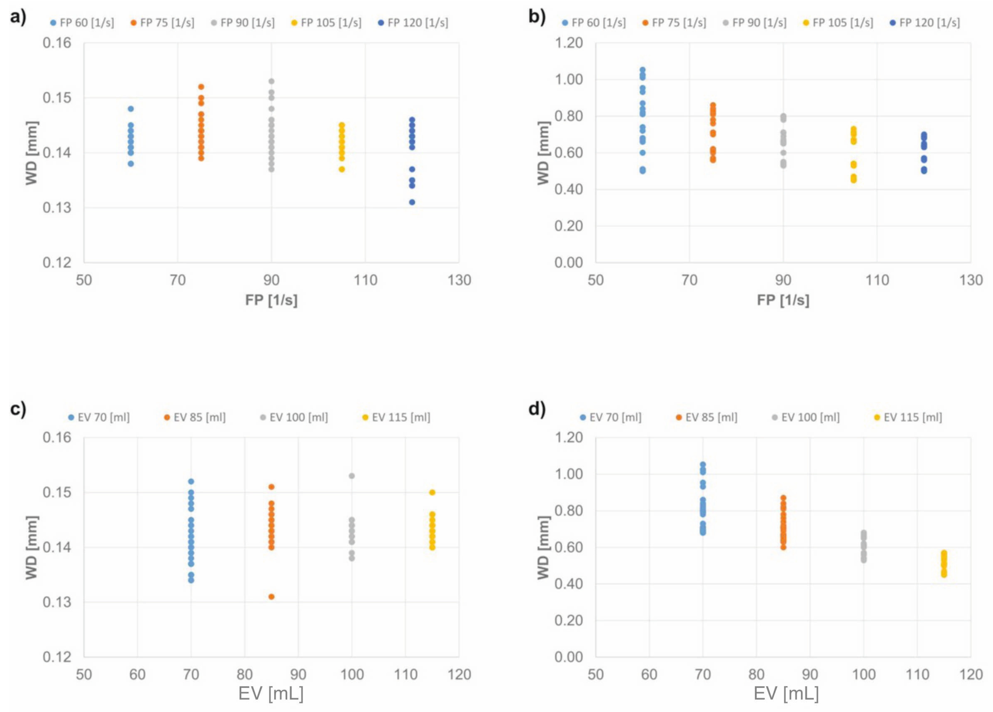
3. Results
3.1. Diameter Dilatation
3.2. Wall Displacement
3.3. Tortuosity
4. Discussion
Limitation of the Study
5. Conclusions
Author Contributions
Funding
Institutional Review Board Statement
Informed Consent Statement
Data Availability Statement
Conflicts of Interest
References
- Astashkina, A.; Mann, B.; Grainger, D.W. A Critical Evaluation of In Vitro Cell Culture Models for High-Throughput Drug Screening and Toxicity. Pharmacol. Ther. 2012, 134, 82–106. [Google Scholar] [CrossRef]
- Jung, S.-M.; Chung, G.Y.; Shin, H.S. Artificial Controlled Model of Blood Circulation System for Adhesive Evaluation. Sci. Rep. 2017, 7, 16720. [Google Scholar] [CrossRef] [PubMed]
- Sakolish, C.M.; Esch, M.B.; Hickman, J.J.; Shuler, M.L.; Mahler, G.J. Modeling Barrier Tissues In Vitro: Methods, Achievements, and Challenges. EBioMedicine 2016, 5, 30–39. [Google Scholar] [CrossRef]
- Ratcliffe, A.; Niklason, L.E. Bioreactors and Bioprocessing for Tissue Engineering. Ann. N. Y. Acad. Sci. 2002, 961, 210–215. [Google Scholar] [CrossRef]
- Fish, J.; Halberstadt, C.; McCoy, D.W.; Robbins, N. Bioreactor Design Considerations for Hollow Organs. Methods Mol. Biol. 2013, 1001, 207–214. [Google Scholar] [CrossRef]
- Diamantouros, S.E.; Hurtado-Aguilar, L.G.; Schmitz-Rode, T.; Mela, P.; Jockenhoevel, S. Pulsatile Perfusion Bioreactor System for Durability Testing and Compliance Estimation of Tissue Engineered Vascular Grafts. Ann. Biomed. Eng. 2013, 41, 1979–1989. [Google Scholar] [CrossRef]
- Maschhoff, P.; Heene, S.; Lavrentieva, A.; Hentrop, T.; Leibold, C.; Wahalla, M.; Stanislawski, N.; Blume, H.; Scheper, T.; Blume, C. An Intelligent Bioreactor System for the Cultivation of a Bioartificial Vascular Graft. Eng. Life Sci. 2016, 17, 567–578. [Google Scholar] [CrossRef]
- Karatolios, K.; Wittek, A.; Nwe, T.H.; Bihari, P.; Shelke, A.; Josef, D.; Schmitz-Rixen, T.; Geks, J.; Maisch, B.; Blase, C.; et al. Method for Aortic Wall Strain Measurement with Three-Dimensional Ultrasound Speckle Tracking and Fitted Finite Element Analysis. Ann. Thorac. Surg. 2013, 96, 1664–1671. [Google Scholar] [CrossRef]
- Rouet, L.; Mory, B.; Attia, E.; Bredahl, K.; Long, A.; Ardon, R. A Minimally Interactive and Reproducible Method for Abdominal Aortic Aneurysm Quantification in 3D Ultrasound and Computed Tomography with Implicit Template Deformations. Comput. Med. Imaging Graph. 2017, 58, 75–85. [Google Scholar] [CrossRef]
- Derwich, W.; Wittek, A.; Pfister, K.; Nelson, K.; Bereiter-Hahn, J.; Fritzen, C.P.; Blase, C.; Schmitz-Rixen, T. High Resolution Strain Analysis Comparing Aorta and Abdominal Aortic Aneurysm with Real Time Three Dimensional Speckle Tracking Ultrasound. Eur. J. Vasc. Endovasc. Surg. 2016, 51, 187–193. [Google Scholar] [CrossRef]
- Fadel, B.M.; Bakarman, H.; Al-Admawi, M.; Bech-Hanssen, O.; Di Salvo, G. Pulse-Wave Doppler Interrogation of the Abdominal Aorta: A Window to the Left Heart and Vasculature. Echocardiography 2014, 31, 543–547. [Google Scholar] [CrossRef]
- Klepaczko, A.; Szczypiński, P.; Strzelecki, M.; Stefańczyk, L. Simulation of Phase Contrast Angiography for Renal Arterial Models. BioMed. Eng. Online 2018, 17, 41. [Google Scholar] [CrossRef] [PubMed]
- Polanczyk, A.; Piechota-Polanczyk, A.; Huk, I.; Neumayer, C.; Strzelecki, M. Computational Fluid Dynamics as an Engineering Tool for the Reconstruction of Endovascular Prosthesis Endoleaks. IEEE Access 2022, 10, 18873–18885. [Google Scholar] [CrossRef]
- Polanczyk, A.; Podgorski, M.; Wozniak, T.; Stefanczyk, L.; Strzelecki, M. Computational Fluid Dynamics as an Engineering Tool for the Reconstruction of Hemodynamics after Carotid Artery Stenosis Operation: A Case Study. Medicina 2018, 54, 42. [Google Scholar] [CrossRef]
- Akcimen, M.; Gungor, F.; Beydilli, I.; Soydam Guven, D.; Kesapli, M.; Goksu, E. The Effects of Classic Two-Minute Pressing and Commercial Adhesive Bandages on Ecchymosis Development Following Removal of Intravenous Catheters. Emerg. Med. Investig. 2016, 110, 4. [Google Scholar] [CrossRef]
- Piola, M.; Ruiter, M.; Vismara, R.; Mastrullo, V.; Agrifoglio, M.; Zanobini, M.; Pesce, M.; Soncini, M.; Fiore, G.B. Full Mimicking of Coronary Hemodynamics for Ex-Vivo Stimulation of Human Saphenous Veins. Ann. Biomed. Eng. 2017, 45, 884–897. [Google Scholar] [CrossRef]
- Thomas, A.; Daniel Ou-Yang, H.; Lowe-Krentz, L.; Muzykantov, V.R.; Liu, Y. Biomimetic Channel Modeling Local Vascular Dynamics of Pro-Inflammatory Endothelial Changes. Biomicrofluidics 2016, 10, 014101. [Google Scholar] [CrossRef]
- Winkler, B.; Reineke, D.; Heinisch, P.P.; Schönhoff, F.; Huber, C.; Kadner, A.; Englberger, L.; Carrel, T. Graft Preservation Solutions in Cardiovascular Surgery. Interact. CardioVasc. Thorac. Surg. 2016, 23, 300–309. [Google Scholar] [CrossRef]
- Hicks, C.W.; Obeid, T.; Arhuidese, I.; Qazi, U.; Malas, M.B. Abdominal Aortic Aneurysm Repair in Octogenarians Is Associated with Higher Mortality Compared with Nonoctogenarians. J. Vasc. Surg. 2016, 64, 956–965.e1. [Google Scholar] [CrossRef]
- Janke, D.; Jankowski, J.; Rüth, M.; Buschmann, I.; Lemke, H.-D.; Jacobi, D.; Knaus, P.; Spindler, E.; Zidek, W.; Lehmann, K.; et al. The “Artificial Artery” as In Vitro Perfusion Model. PLoS ONE 2013, 8, e57227. [Google Scholar] [CrossRef]
- Ebrahimi, A.P. Mechanical Properties of Normal and Diseased Cerebrovascular System. J. Vasc. Interv. Neurol. 2009, 2, 155–162. [Google Scholar] [PubMed]
- Polanczyk, A.; Klinger, M.; Nanobachvili, J.; Huk, I.; Neumayer, C. Artificial Circulatory Model for Analysis of Human and Artificial Vessels. Appl. Sci. 2018, 8, 1017. [Google Scholar] [CrossRef]
- Asgharzadeh, H.; Borazjani, I. A Non-Dimensional Parameter for Classification of the Flow in Intracranial Aneurysms. I. Simplified Geometries. Phys. Fluids 2019, 31, 031904. [Google Scholar] [CrossRef]
- Polanczyk, A.; Podgorski, M.; Polanczyk, M.; Piechota-Polanczyk, A.; Stefanczyk, L.; Strzelecki, M. A Novel Vision-Based System for Quantitative Analysis of Abdominal Aortic Aneurysm Deformation. BioMed. Eng. OnLine 2019, 18, 56. [Google Scholar] [CrossRef] [PubMed]
- Polanczyk, A.; Podgorski, M.; Polanczyk, M.; Piechota-Polanczyk, A.; Neumayer, C.; Stefanczyk, L. A Novel Patient-Specific Human Cardiovascular System Phantom (HCSP) for Reconstructions of Pulsatile Blood Hemodynamic Inside Abdominal Aortic Aneurysm. IEEE Access 2018, 6, 61896–61903. [Google Scholar] [CrossRef]
- Iwasaki, K.; Kojima, K.; Kodama, S.; Paz, A.C.; Chambers, M.; Umezu, M.; Vacanti, C.A. Bioengineered Three-Layered Robust and Elastic Artery Using Hemodynamically-Equivalent Pulsatile Bioreactor. Circulation 2008, 118, S52–S57. [Google Scholar] [CrossRef]
- Tong, J.; Holzapfel, G.A. Structure, Mechanics, and Histology of Intraluminal Thrombi in Abdominal Aortic Aneurysms. Ann. Biomed. Eng. 2015, 43, 1488–1501. [Google Scholar] [CrossRef]
- Beenakker, J.-W.M.; Ashcroft, B.A.; Lindeman, J.H.N.; Oosterkamp, T.H. Mechanical Properties of the Extracellular Matrix of the Aorta Studied by Enzymatic Treatments. Biophys. J. 2012, 102, 1731–1737. [Google Scholar] [CrossRef]
- Asgharzadeh, H.; Asadi, H.; Meng, H.; Borazjani, I. A Non-Dimensional Parameter for Classification of the Flow in Intracranial Aneurysms. II. Patient-Specific Geometries. Phys. Fluids 2019, 31, 031905. [Google Scholar] [CrossRef] [PubMed]
- Urbina, J.; Sotelo, J.A.; Springmüller, D.; Montalba, C.; Letelier, K.; Tejos, C.; Irarrázaval, P.; Andia, M.E.; Razavi, R.; Valverde, I.; et al. Realistic Aortic Phantom to Study Hemodynamics Using MRI and Cardiac Catheterization in Normal and Aortic Coarctation Conditions. J. Magn. Reson. Imaging 2016, 44, 683–697. [Google Scholar] [CrossRef] [PubMed]
- Bihari, P.; Shelke, A.; Nwe, T.H.; Mularczyk, M.; Nelson, K.; Schmandra, T.; Knez, P.; Schmitz-Rixen, T. Strain Measurement of Abdominal Aortic Aneurysm with Real-Time 3D Ultrasound Speckle Tracking. Eur. J. Vasc. Endovasc. Surg. 2013, 45, 315–323. [Google Scholar] [CrossRef]
- Piola, M.; Soncini, M.; Prandi, F.; Polvani, G.; Beniamino Fiore, G.; Pesce, M. Tools and Procedures for Ex Vivo Vein Arterialization, Preconditioning and Tissue Engineering: A Step Forward to Translation to Combat the Consequences of Vascular Graft Remodeling. Recent Pat. Cardiovasc. Drug Discov. 2012, 7, 186–195. [Google Scholar] [CrossRef]
- Mundargi, R.; Venkataraman, D.; Kumar, S.; Mogal, V.; Ortiz, R.; Loo, J.; Venkatraman, S.; Steele, T. Novel Sensor-Enabled Ex Vivo Bioreactor: A New Approach towards Physiological Parameters and Porcine Artery Viability. BioMed Res. Int. 2015, 2015, 958170. [Google Scholar] [CrossRef]
- Genovese, K.; Lee, Y.-U.; Lee, A.Y.; Humphrey, J.D. An Improved Panoramic Digital Image Correlation Method for Vascular Strain Analysis and Material Characterization. J. Mech. Behav. Biomed. Mater. 2013, 27, 132–142. [Google Scholar] [CrossRef]
- Gülan, U.; Lüthi, B.; Holzner, M.; Liberzon, A.; Tsinober, A.; Kinzelbach, W. Experimental Investigation of the Influence of the Aortic Stiffness on Hemodynamics in the Ascending Aorta. IEEE J. Biomed. Health Inform. 2014, 18, 1775–1780. [Google Scholar] [CrossRef]
- Kang, J.; Aghilinejad, A.; Pahlevan, N.M. On the Accuracy of Displacement-Based Wave Intensity Analysis: Effect of Vessel Wall Viscoelasticity and Nonlinearity. PLoS ONE 2019, 14, e0224390. [Google Scholar] [CrossRef] [PubMed]
- Pahlevan, N.M.; Tavallali, P.; Rinderknecht, D.G.; Petrasek, D.; Matthews, R.V.; Hou, T.Y.; Gharib, M. Intrinsic Frequency for a Systems Approach to Haemodynamic Waveform Analysis with Clinical Applications. J. R. Soc. Interface 2014, 11, 20140617. [Google Scholar] [CrossRef]
- Li, Y.; Hickson, S.S.; McEniery, C.M.; Wilkinson, I.B.; Khir, A.W. Stiffening and Ventricular–Arterial Interaction in the Ascending Aorta Using MRI: Ageing Effects in Healthy Humans. J. Hypertens. 2019, 37, 347–355. [Google Scholar] [CrossRef]
- Kashyap, V.; Gharleghi, R.; Li, D.D.; McGrath-Cadell, L.; Graham, R.M.; Ellis, C.; Webster, M.; Beier, S. Accuracy of Vascular Tortuosity Measures Using Computational Modelling. Sci. Rep. 2022, 12, 865. [Google Scholar] [CrossRef] [PubMed]
- Pinho, N.; Castro, C.F.; António, C.C.; Bettencourt, N.; Sousa, L.C.; Pinto, S.I.S. Correlation between Geometric Parameters of the Left Coronary Artery and Hemodynamic Descriptors of Atherosclerosis: FSI and Statistical Study. Med. Biol. Eng. Comput. 2019, 57, 715–729. [Google Scholar] [CrossRef]
- Malvè, M.; Gharib, A.M.; Yazdani, S.K.; Finet, G.; Martínez, M.A.; Pettigrew, R.; Ohayon, J. Tortuosity of Coronary Bifurcation as a Potential Local Risk Factor for Atherosclerosis: CFD Steady State Study Based on In Vivo Dynamic CT Measurements. Ann. Biomed. Eng. 2015, 43, 82–93. [Google Scholar] [CrossRef]








| Frequency of Pulsation [1/s] | Ejection Volume [mL] | Diameter of Iliac Artery (Measured with Set-Up) [mm] | Diameter of Iliac Artery (Measured with 2DSTT) [mm] | Diameter of ePTFE Vascular Prosthesis (Measured with Set-Up) [mm] | Diameter of ePTFE Vascular Prosthesis (Measured with 2DSTT) [mm] |
|---|---|---|---|---|---|
| 75 | 70 | 0.89 | 0.91 | 0.42 | 0.56 |
| 75 | 70 | 0.92 | 0.93 | 0.41 | 0.53 |
| 75 | 70 | 0.93 | 0.95 | 0.43 | 0.51 |
| 75 | 70 | 0.93 | 0.95 | 0.42 | 0.52 |
| 75 | 70 | 0.92 | 0.95 | 0.44 | 0.54 |
| 75 | 70 | 0.92 | 0.94 | 0.43 | 0.51 |
| 90 | 70 | 0.99 | 1.04 | 0.48 | 0.48 |
| 90 | 70 | 1.02 | 1.03 | 0.48 | 0.49 |
| 90 | 70 | 1.01 | 1.03 | 0.49 | 0.48 |
| 90 | 70 | 1.01 | 1.03 | 0.49 | 0.48 |
| 90 | 70 | 1.04 | 1.04 | 0.48 | 0.49 |
| 90 | 70 | 1.03 | 1.06 | 0.48 | 0.49 |
| Frequency of Pulsation [1/s] | Ejection Volume [mL] | Wall Displacement for Iliac Artery (Measured with Set-Up) [mm] | Wall Displacement for ePTFE Vascular Prosthesis (Measured with Set-Up) [mm] |
|---|---|---|---|
| 75 | 70 | 0.14 | 0.56 |
| 75 | 70 | 0.15 | 0.53 |
| 75 | 70 | 0.15 | 0.51 |
| 75 | 70 | 0.15 | 0.52 |
| 75 | 70 | 0.15 | 0.54 |
| 75 | 70 | 0.15 | 0.51 |
| 90 | 70 | 0.14 | 0.39 |
| 90 | 70 | 0.14 | 0.38 |
| 90 | 70 | 0.14 | 0.40 |
| 90 | 70 | 0.14 | 0.40 |
| 90 | 70 | 0.14 | 0.39 |
| 90 | 70 | 0.14 | 0.40 |
Disclaimer/Publisher’s Note: The statements, opinions and data contained in all publications are solely those of the individual author(s) and contributor(s) and not of MDPI and/or the editor(s). MDPI and/or the editor(s) disclaim responsibility for any injury to people or property resulting from any ideas, methods, instructions or products referred to in the content. |
© 2024 by the authors. Licensee MDPI, Basel, Switzerland. This article is an open access article distributed under the terms and conditions of the Creative Commons Attribution (CC BY) license (https://creativecommons.org/licenses/by/4.0/).
Share and Cite
Polanczyk, A.; Piechota-Polanczyk, A.; Piastowska-Ciesielska, A.W.; Huk, I.; Neumayer, C.; Balcer, J.; Strzelecki, M. Reconstruction of the Physiological Behavior of Real and Synthetic Vessels in Controlled Conditions. Appl. Sci. 2024, 14, 2600. https://doi.org/10.3390/app14062600
Polanczyk A, Piechota-Polanczyk A, Piastowska-Ciesielska AW, Huk I, Neumayer C, Balcer J, Strzelecki M. Reconstruction of the Physiological Behavior of Real and Synthetic Vessels in Controlled Conditions. Applied Sciences. 2024; 14(6):2600. https://doi.org/10.3390/app14062600
Chicago/Turabian StylePolanczyk, Andrzej, Aleksandra Piechota-Polanczyk, Agnieszka W. Piastowska-Ciesielska, Ihor Huk, Christoph Neumayer, Julia Balcer, and Michal Strzelecki. 2024. "Reconstruction of the Physiological Behavior of Real and Synthetic Vessels in Controlled Conditions" Applied Sciences 14, no. 6: 2600. https://doi.org/10.3390/app14062600
APA StylePolanczyk, A., Piechota-Polanczyk, A., Piastowska-Ciesielska, A. W., Huk, I., Neumayer, C., Balcer, J., & Strzelecki, M. (2024). Reconstruction of the Physiological Behavior of Real and Synthetic Vessels in Controlled Conditions. Applied Sciences, 14(6), 2600. https://doi.org/10.3390/app14062600

