Next Article in Journal
A Comprehensive Review of the Nutritional Composition and Toxicological Profile of Date Seed Coffee (Phoenix dactylifera)
Previous Article in Journal
From Biogas to Biomethane: An In-Depth Review of Upgrading Technologies That Enhance Sustainability and Reduce Greenhouse Gas Emissions
 
 
Font Type:
Arial Georgia Verdana
Font Size:
Aa Aa Aa
Line Spacing:
Column Width:
Background:
Article

Unraveling Spatial–Temporal Patterns and Heterogeneity of On-Ramp Vehicle Merging Behavior: Evidence from the exiD Dataset

The Key Laboratory of Road and Traffic Engineering, Ministry of Education, Tongji University, Shanghai 201804, China
*
Author to whom correspondence should be addressed.
Appl. Sci. 2024, 14(6), 2344; https://doi.org/10.3390/app14062344
Submission received: 6 December 2023 / Revised: 23 February 2024 / Accepted: 6 March 2024 / Published: 11 March 2024
(This article belongs to the Section Transportation and Future Mobility)

Abstract

Understanding the spatiotemporal characteristics of merging behavior is crucial for the advancement of autonomous driving technology. This study aims to analyze on-ramp vehicle merging patterns, and investigate how various factors, such as merging scenarios and vehicle types, influence driving behavior. Initially, a framework based on a high-definition (HD) map is developed to extract trajectory information in a meticulous manner. Subsequently, eight distinct merging patterns are identified, with a thorough examination of their behavioral characteristics from both temporal and spatial perspectives. Merging behaviors are examined temporally, encompassing the sequence of events from approaching the on-ramp to completing the merge. This study specifically analyzes the target lane’s spatial characteristics, evaluates the merging distance (ratio), investigates merging speed distributions, compares merging patterns and identifies high-risk situations. Utilizing the latest aerial dataset, exiD, which provides HD map data, the study presents novel findings. Specifically, it uncovers patterns where the following vehicle in the target lane chooses to accelerate and overtake rather than cutting in front of the merging vehicle, resulting in Time-to-Collision (TTC) values of less than 2.5 s, indicating a significantly higher risk. Moreover, the study finds that differences in merging speed, distance, and duration can be disregarded in patterns where vehicles are present both ahead and behind, or solely ahead, suggesting these patterns could be integrated for simulation to streamline analysis and model development. Additionally, the practice of truck platooning has a significant impact on vehicle merging behavior. Overall, this study enhances the understanding of merging behavior, facilitating autonomous vehicles’ ability to comprehend and adapt to merging scenarios. Furthermore, this research is significant in improving driving safety, optimizing traffic management, and enabling the effective integration of autonomous driving systems with human drivers.

1. Introduction

The high collision risk and frequent congestion that arise from traffic merge regions in highway networks are closely related to the frequent and required merging behaviors, especially the transition procedures from an on-ramp to the main roadway [1,2]. Among existing research, gap acceptance theory has been extensively explored, which provided a simplified framework for understanding merging behavior mechanism based on gap size and surrounding vehicle positions [3,4,5]. Some scholars have also delved into the impact of external variables on merging behavior at a medium granularity [6], and have thereby further strengthened the understanding of merging behavior mechanism.
Even with the advancements in integrating behavior analysis, there still remain gaps that need more research.
(1)
Data Processing and Trajectory Extraction
The existing dataset processing phase is often treated as a black box. The obtained results are difficult to replicate, and the accuracy of conclusions are challenging to verify. The great precision and richness of HD maps, along with their advancement, present an opportunity to improve the accuracy of data processing. However, there is currently no research on how to effectively utilize the vast amount of data in HD maps to study driving behavior.
(2)
Classification of Merging Patterns
Existing studies categorized merging types into free merging, cooperative merging, and forced merging, with a focus on the impact of merging vehicles on lead and lag vehicles in the target lane [7]. Zhang et al. categorized merging patterns into nine modes based on the merging speed and acceleration [6]. Jiang categorized merging patterns into four types—no cars, cars in front, cars behind, and cars both in front and behind [8]. Many scholars investigated merging behavior patterns, often focusing on specific macro traffic flow conditions or considering variations in a single variable over time while neglecting spatial dynamics. In general, their categorization lacks generalizability.
(3)
In-depth Analysis of Driving Behavior
Existing studies often fall short in providing a comprehensive perspective. Some of them failed to consider the temporal aspect adequately, focusing solely on specific time frames [9]. Others overlooked the importance of spatial dimension sub-division within scenarios, which is critical in understanding driving behavior intricacies. Furthermore, existing research often ignored the inherent heterogeneity among different vehicle types.
To bridge the above gaps, we aim to unravel spatial–temporal patterns and the heterogeneity of merging behavior. Specifically, we initially established a trajectory extraction framework utilizing HD maps, aimed at precisely capturing semantic relationships among traffic participants, thereby ensuring accurate data for trajectory mining. Subsequently, we integrate both temporal and spatial dimensions to develop a method for the classification of merging behavior patterns. Finally, we conduct similarity tests to analyze the characteristics of merging patterns, identifying high-risk scenarios in the process.
The rest of the paper is organized as follows: Section 2 provides a literature review. Section 3 details the processing of the dataset and the establishment of a trajectory extraction framework based on HD maps. Section 4 presents the results and discussion, including the spatiotemporal merging pattern classification and heterogeneity analysis. Conclusions and recommendations for future research end the paper.

2. Literature Review

A merging scenario describes a driving scene where a vehicle approaches the expressway mainline from an acceleration lane. This scenario comprises three components: The first is the static road geometry of the merging area. This includes an acceleration lane with varying dimensions such as length, width, and curvature, as well as an on-ramp lane. The second component is the initial condition and characteristics of the merging scenario. This encompasses the vehicle’s starting position, speed, and acceleration, along with the type of vehicle and driver characteristics. The third component is the sequence of action behaviors exhibited by the merging vehicles.
Typically, the merging scenarios involve the following three types of surrounding vehicles:
(a)
Lead vehicle (LV): On the outer side of the expressway mainline, the vehicle in front and closest to the merging vehicle is identified as the LV. The presence of an LV may affect the selection of a gap into which the merging vehicle can insert.
(b)
Rear vehicle (RV): On the outer side of the expressway mainline, the vehicle behind and closest to the merging vehicle is identified as the RV.
(c)
Alongside vehicle: There may be an alongside vehicle during the merging process, which overlaps with the merging vehicle in the longitudinal direction. Such a vehicle may end up being the LV or RV. Scenarios involving this type of vehicle can be extremely challenging for merging vehicles.

2.1. Public Datasets

The existing publicly available datasets about the merging behavior are NGSIM, INTERACTION [10], AUTOMATUM [11], and AD4CHE [12]. Although these datasets are invaluable for data-driven driving behavior analysis, they have certain shortcomings. Mainly captured by a static camera, NGSIM data contains only 9206 trajectories, of which about 3% are truck trajectories. The INTERACTION dataset lacks the trajectories of heavy vehicles. In addition, the NGSIM and INTERACTION datasets are missing precise map reference. The HD map is one of the important technologies for autonomous driving, providing a large amount of more precise vehicle spatial–temporal data. The AD4CHE dataset provides geo-referenced data but lacks the trajectory of vans [12].
Despite the valuable insights these datasets provide into traffic flow and driving behavior, their limitations—such as insufficient sample sizes, the absence of specific traffic scenarios, and low traffic density in particular situations—hamper comprehensive research on vehicle interactions during merging. In contrast, the exiD dataset [13], recently released by the German automotive engineering research team at RWTH Aachen University, excels at depicting dense, dynamic traffic interactions. It supplies HD maps in both Opendrive and lanelet2 formats, significantly enriching the resources available for studying complex driving behaviors. Recording the movements of 69,172 road users, including cars, trucks, and vans, the exiD dataset offers a comprehensive view of vehicle merging interactions, positioning itself as an invaluable tool for this research.

2.2. Merging Pattern Analysis

Recently, scholars have categorized merging behavior into several patterns and subsequently, conducted analyses on driving behavior based on these classifications. However, as shown in Table 1, how to interpret merging patterns uniformly and what the differences are between these merging patterns are not well studied topics. Daamen et al. divided the merging behavior into five types based on the structure of the road space, but ignored the variations in the temporal dimensions [14]. Based on the changes in the distance between merging vehicles and the following vehicles in the target lane over a certain time period, Hidas categorized merging behaviors into three types: free merging, cooperative merging, and forced merging [7].
Subsequently, Ye et al. discovered that the distance between the merging vehicles and the following vehicles did not exhibit significant patterns of change in high-density merging areas [15]. Instead, they identified a new phenomenon of mutual progressive consistency between merging vehicles and the following vehicles in the target lane, defining it as the “Forced-Cooperative Merging”. Zhang et al. considered velocity and acceleration variables and introduced the time-series K-means clustering method to partition segments of merging trajectories into nine merging behavior patterns [6].
Table 1. Spatiotemporal merging behavior patterns assessment.
Table 1. Spatiotemporal merging behavior patterns assessment.
YearAuthorDatasetDriving Risk AnalysisConsider the Critical Moments and SituationConsider HeterogeneityApplication of HD Map
2010Daamen et al. [14]NGSIMNNNN
2014Sun et al. [16]Two On-ramp Bottlenecks in Shanghai, ChinaNNNN
2019Liu et al. [17]NGSIMNNNN
2022Zhang et al. [6]INTERACTIONPartialNNN
2022Wang et al. [18]INTERACATIONPartialPartialNN
2022Lu et al. [19]Outer Ring Expressway, Shanghai, ChinaPartialNYN
2023Zhang et al. [12]AD4CHEPartialPartialNN
Our studyexiDYYYY

2.3. Contributions

Our contributions are threefold. Firstly, we introduce the HD maps in the merging area to aid in the extraction of semantic relationships among traffic participants and merging trajectories, which is of significant importance as precise data processing is critical in the study of merging behavior and offers more reliable research results. Secondly, we examine both temporal and spatial dimensions, revealing various merging patterns and exploring the complexity and dynamics of the merging process. Furthermore, it identifies high-risk merging patterns and highlights the heterogeneity of driving behaviors. The study of heterogeneity in merging behavior lays the groundwork for more adaptive and context-aware autonomous driving algorithms, which are crucial for the seamless integration of autonomous vehicles with human-driven ones.
The trajectory extraction framework not only provides more reliable research results but can also be applied to other areas of traffic behavior analysis. In comparison to existing research that predominantly focused on the variation of following distance in the target lane, this paper considers the dynamic changes in the spatial positions of leading and following vehicles over a specified time range. It places special emphasis on parallel vehicles that frequently interact with merging vehicles but are often overlooked. The inclusion of both temporal and spatial dimensions in our methodology contributes to a more comprehensive understanding of merging behavior, enabling the capture of its dynamic and complex nature. This is of paramount importance for traffic management and safety. Furthermore, the identification of high-risk scenarios contributes to the ability of autonomous vehicles to take preventive or corrective actions, thereby enhancing overall traffic safety.

3. Dataset Description and Processing

This section outlines a methodology for analyzing vehicle merging behaviors using HD maps, exemplified through the exiD dataset. Initially, the architecture of the exiD dataset undergoes a thorough examination, followed by an in-depth study of the five crucial elements of the Lanelet2 format. Subsequently, a model is developed that harnesses the power of HD maps to extract both trajectories and behavioral semantics.

3.1. exiD Dataset

The exiD dataset [13] is employed in this paper so as to comprehensively analyze merging behavior in the real world. The exiD dataset is available free of charge at https://www.exid-dataset.com (20 September 2022). This dataset records real-world driving data of 69,172 vehicles at seven different locations of German freeway entrances and exits [13], and offers four files for each recording at every location. These four files include:
(1)
Road cross-section image
A georeferenced road cross-section image is added for each recording session. This image is created by applying filters to remove all moving vehicles from the recorded data.
(2)
CSV file describing the recording location
This file contains the metadata for each recorded video, providing an overall summary of the recording session, such as the recording time, the segment of the road captured, and the total number of tracked objects.
(3)
CSV file containing an overview of recorded vehicle and Vulnerable Road User (VRU) trajectories
This file contains an overview of all trajectories. The purpose of this file is to allow filtering of trajectories by category, such as based on the type of objects.
(4)
CSV file containing trajectory data
This file contains all time-related values for each trajectory, including information such as the current position, speed, and acceleration.
The variables in this paper follow the settings in the exiD dataset, with detailed descriptions of the key variables provided in Table 2. For explanations of other variables, please refer to the official website.
Through the single-frame images in Figure 1, we can gain a brief understanding of the conditions at seven locations. Seven collection locations are similar, but they differ in terms of road conditions, mainly the number of lanes and the presence of diversion sections. There are two consecutive merging at location0. There is an intertwined area at Location 1. There is not a lane reduction working condition at Location 4, which leads to differences in vehicle driving behaviors. Therefore, this paper selects the vehicles collected in Locations 2, 3, 5, and 6. It will be studied in future articles for special consideration.

3.2. HD Maps Lanelet2

In addition to these four files for each recording, maps for the seven recording locations are also provided, including Lanelet2 maps [20] and OpenDRIVE maps [21]. HD maps contain comprehensive information about the vehicle’s surroundings. This information encompasses not only road geometry and road topology but also includes details about traffic regulations and neighboring regions. The readily available road topology in HD maps simplifies the extraction of semantic relationships among traffic participants. Lanelet2 is an open-source map format [20].
Unlike other map formats such as OpenDrive [22], HERE [23], and TomTom [24], Lanelet2 does not simulate the world from a top-down perspective but starts from defining individual lane edges and extends to entire streets. This subsection will primarily discuss the constituents of HD maps and the associated elements of Lanelet2 [25]. Detailed information regarding semantic extraction will be presented in Section 2.3.
(1)
Points
Points are fundamental elements in cartography. An individual point can represent vertical structures, such as utility poles. Typically, they are part of linestrings. Each point is described by its three-dimensional position in the metric coordinate system. Points are the only primitives that actually contain location information. All other primitives are composed directly or indirectly of points. This fundamental nature of points makes them central to geographic information processing and cartography, providing a solid foundation for the establishment of geographic information systems and spatial analysis.
(2)
Linestrings
A linestring is an ordered array of two or more points with linear interpolation between them. It is used to represent the shape of elements in a map, such as road markings, curbs, building facades, fences, and more. Linestrings can also be virtual, for instance, when they form implicit boundaries of a lane. The reason for choosing linestrings as a representation is their ability to describe any one-dimensional shape and discretize it to a high degree if necessary. In comparison to spline curves, they are computationally efficient and can be used to represent sharp angles.
(3)
Lanelet
Lanelets define directional atomic segments within a map, including examples such as regular lanes, pedestrian crosswalks, and rail tracks. Atomic implies that within a lanelet, the currently applicable traffic rules remain constant, and the topological relationship with other lanes does not change. A lanelet is defined by a linestring serving as the left boundary and another linestring as the right boundary. Additionally, it can contain multiple regulatory elements expressing traffic rules applicable to the lane. Lanelets can also overlap or intersect.
(4)
Area
Zones are map segments where directed or undirected movement is not permitted. Examples include parking areas, squares, green spaces, or buildings. They are defined by one or more linestrings that collectively establish a closed outer boundary. Additionally, they may contain one or more linestrings that collectively define multiple inner boundaries, thus creating voids within the area.
(5)
Regulatory elements
Regulatory elements define traffic rules, such as speed limits, right-of-way rules, or traffic signals. Due to the various types of traffic rules, the exact structure of regulatory elements can vary significantly. Typically, they reference elements that define the rules (e.g., traffic signs) and, when necessary, reference elements that revoke the rules (e.g., signs indicating the end of a speed limit zone). They can also reference features like stop lines. The attributes of regulatory elements specify the type of rule they represent.

3.3. Trajectory Extraction

Through cleaning and filtering, it is ensured that the foundational data for analysis is reliable and accurate. Specifically, this paper employs the following heuristic rules to filter out abnormal trajectories in the dataset:
(a)
Filtering out the data if the longitudinal velocity of a vehicle is always negative (opposite to the direction of travel), e.g., recordingId = 74, trackId = 785.
(b)
Selecting the vehicle driving data at the moment of ‘laneChange’ = 1, ‘latLan-eCenterOffset’ ≈ laneWidth/2.
The trajectory metadata, overview data, and time-related information are integrated to generate a comprehensive and diverse merged trajectory dataset, thereby capturing key moments of the entire merging behavior through annotation. The recording and tracks data are thoroughly examined to identify potential issues, including checking for consistency in data format and addressing any possible outliers or abnormal trajectories.
By mapping traffic participants to lanes in HD maps, semantic connections between these participants can be deduced. These semantic relationships may involve scenarios where vehicles are traveling in adjacent lanes or at intersections. The advantages of extracting merging trajectory and acquiring semantic relationships among traffic participants based on HD maps can be summarized as follows:
(a)
Finer-grained trajectory recognition: High-precision maps enable the precise identification of the spatiotemporal positions of vehicles in each frame, including areas like Merging Section I, Merging Section II, and Merging Section III, as illustrated in Figure 2. This finer-grained recognition enhances our ability to understand the movements of vehicles within the traffic context.
(b)
Enhanced vehicle identification and scene classification: In-depth analysis of each frame’s trajectories allows for accurate vehicle relationship matching and scene classification. For instance, it facilitates the identification of parallel vehicles on the main lane, improving our comprehension of complex traffic scenarios.
(c)
Objective metric definitions: The segmentation of each trajectory, as exemplified in Figure 2, supports the establishment of standardized criteria, leading to more objective metric definitions. This standardization contributes to greater consistency and objectivity in metric assessments.
(d)
Support for reproducible research: HD maps provide robust support for reproducible research endeavors. Researchers can conduct experiments and comparisons in a consistent environment using the same map data, bolstering the validation and replicability of their research.
The methodology and framework for trajectory extraction based on HD maps is depicted in Figure 2, focusing on location 2 as a case study. This approach is applied consistently across different collection locations, despite variations in laneletId and laneletLength. Firstly, the stereo images of location sites are displayed as background images in the editor. Secondly, the ‘Linestring’ and the ‘Lanelet number’ in Lanelet2 are used as the basis for manual annotation to establish a relational sequence of merging road segments. Finally, the membership information of the lanes upstream of the lanelet are matched with the ‘odrRoadId’ in the tracks files to manually label the vehicles with the typical pattern in which they are classified.
These semantic relationships include driving in adjacent lanes or intersecting roadways, as detailed in Table 3.
The main loop of the code reads tracks, recordingMeta, and trackMeta files at locations 2, 3, 5, and 6. The sub-loop includes the following:
(a)
Iterating through each vehicle and determining whether it is a mainline vehicle, an on-ramp vehicle, or an off-ramp vehicle based on its laneletID list.
(b)
Extracting frames with laneChange = 1, filtering out frames with smaller consecutive IDs, and determining if they represent off-ramp lane change actions.
(c)
Matching the longitudinal and lateral velocity, acceleration, and position of the preceding and following vehicles.
(d)
The code extracts the following parameters:
i.
TIMESTEP: The default parameter value is 0.04 s, representing the time interval between two consecutive frames.
ii.
LOOKBACK: Selecting data for each of the last LOOKBACK frames before a lane change event with laneChange = 1. The default value is set to 5 to ensure trajectory extraction accuracy.
iii.
Distance: Filtering neighboring vehicles within this range. Sensitivity analysis is performed on the threshold value to explore whether changes in its numerical value affect scenario classification.
The trajectories of eight randomly selected samples are presented in Figure 3. In the context of this paper, “location” specifically denotes the unique ‘locationId’ associated with each track collection point. “Recording” corresponds to the ‘recordingId’, which identifies the particular recording session from which the data was collected. Meanwhile, “vehicle” is represented by the ‘trackId’, a unique identifier for each vehicle’s trajectory within the dataset. These identifiers play a pivotal role in efficiently locating and analyzing specific vehicle trajectories. The ‘latlanecenteroffset’ value undergoes a transition from +2 to −2 in frames where laneChange = 1. This indicates that the vehicle’s center point has shifted from its original lane to the target lane. In subplot (a), the vehicle promptly transitions to the inner lane upon merging onto the mainline, resulting in two abrupt shifts in its ‘latLaneCenterOffset’ value from +2 to −2.
As shown in Figure 3a, this merging trajectory demonstrates two distinct lane-changing events. The first 100 frames exhibit a preliminary lane change, as evidenced by lateral vehicle position oscillations centered around −0.5 m. Between frames 100 and 115, the vehicle’s lateral motion becomes increasingly pronounced, signifying the commencement of the initial lane changing. By frame 115, the vehicle successfully completes its first lane change, transitions into the new lane, and initiates the second lane change. The slope of lateral deviation during the second lane change is steeper than that of the first one, resulting in a shorter completion time for this subsequent maneuver.
After successfully executing these two lane-changing maneuvers, the vehicle maintains a smooth trajectory in the center of the roadway. At the onset of merging, as illustrated in Figure 3a,c–h, the initial positions of the merging trajectories are all slightly offset towards the outer side of the road center. In Figure 3b; however, the trajectory initiates the merging process with an initial position slightly shifted towards the inner side of its respective lane center. Upon completion of merging, even in Figure 3b, there is a noticeable shift towards positioning on the outer side of its corresponding lane center.

4. Results and Discussions

This section establishes an objective and reproducible method for categorizing merging patterns that fully consider the temporal and spatial dynamics, laying the foundation for studying the merging behavior at a finer granularity. After thoroughly exploring the characteristics of different merging patterns, the heterogeneity of these behaviors across various vehicle types was assessed.

4.1. Preliminary Analysis

To assess the proportion of trucks and merging vehicles, a statistical analysis of data for different vehicle types from the seven data collection locations was conducted. Combining Figure 4 and Figure 5, it was found that the proportion of recorded trucks in the morning is higher than during the afternoon peak hours. The truck proportions at both Location 3 and Location 6 exceed 30%. The higher number of vehicles per unit time recorded at Locations 0, 1, and 4 can be attributed to their role as major entry and exit points for Cologne, the fourth-largest city in Germany, resulting in a greater demand for travel. Locations 3 and 5 exhibit a significant proportion of merging vehicles, accounting for more than 30% of the total road users, thereby posing a higher likelihood of disrupting traffic flow.
A comparative analysis of merging speed was conducted between “mainline vehicles discretionary lane changes (DLC)” and “on-ramp vehicles mandatory lane changes (MLC)”. The average lane change speed for DLC is 30.0 m/s, while MLC has an average speed of 23.4 m/s. Mainline vehicles typically have more time and autonomy when changing lanes, allowing them to choose the right moment for lane changes when traffic flow is relatively stable. In contrast, merging vehicles face more urgent situations when changing lanes on the ramp; they need to quickly integrate into the main road traffic flow, thus emphasizing speed to match the speed of main lane vehicles to ensure traffic continuity. The average speed for merging vehicles is 23.47 m/s, while for mainline vehicles, it is 30.0 m/s.
Prior to the occurrence of congestion, speeds tend to concentrate in the high-speed range; however, following the onset of congestion, there is a significant decrease in lane change speed for mainline vehicles.
We introduce a variable ‘ M e r g i n g   D i s t a n c e ’ to investigate the spatial characteristics and designate the center point of the acceleration lane as the coordinate origin O (0, 0), as shown in Figure 2. The distance calculation formula is presented in Equation (1) below. The lateral distance of the vehicle’s center point at the merging position from the merging point O is referred to as M e r g i n g   D i s t a n c e .The merging position is defined as the geometric centroid of the merging vehicle when it crosses the lane line. The variable “MD” represents the merging distance.
M D = l a n e l e t L e n g t h 1 l o n L a n e l e t P o s i ,     i = 1                                           l o n L a n e l e t P o s i   ,     i = 2 l a n l e t L e n g t h 2 + l o n L a n e l e t P o s i ,   1 < i 3                                            
M D M e r g i n g   D i s t a n c e ; i—index; l a n e l e t L e n g t h 1 —the laneletLength of merging area I; l a n e l e t L e n g t h 2 —the laneletLength of merging area II. The laneletLength can be found in Table 3. l o n L a n e l e t P o s i —the distance from the vehicle’s center point to the starting point of the current Lanelet (i) in the x-direction.
The scatter plot in Figure 6 illustrates the merging points of different types of vehicles across various locations.
(1)
Merging Section
A majority of vehicles merge in the Merging Section II. However, more than 30% of vehicles in Location 2 and Location 5 violate the traffic rules and choose to merge in Merging Section I, and the following excavation for merging behavior will exclude vehicles that drive across the solid line of the acceleration lane.
(2)
Merging distance-speed trend line
As the merging position moves forward, the higher the vehicle merging speed. The car’s trend line is at the top, located on the upper left; the truck’s trend line is at the bottom, located on the lower right; and the van’s trend line is in the middle, between the car and truck.
(3)
Merging speed
The car driver’s speed variability is the largest, the gap can reach more than 20 m/s in the same merging position. Car drivers can operate their vehicle with more flexibility. In the truck driver’s variability in the same merging position, the maximum gap in merging speed is about 10 m/s. The load weight and length are different for light trucks and heavy trucks. Van driver’s variability is the smallest.

4.2. Spatial–Temporal Patterns Analysis

While the significance of merging behavior in the context of traffic flow and safety has been well established, ongoing research continues to explore the intricacies of driver interactions within these dynamic scenarios. It is crucial to delve deeper into this complex facet of highway operation to address its implications for traffic management, safety, and the integration of autonomous vehicles.
We will consider both spatial and temporal dimensions and divide the real merging scenario into limited merging patterns. These merging patterns are analyzed in detail across two dimensions: time duration and spatial location movement of the merging vehicles. The relevant terminology used in this study will then be defined.
(1)
Temporal dimension: the driving behavior is examined over a specific spatial duration, beginning with the moment they enter the ramp, followed by their merging maneuvers, and ending with the completion of the merge. Merging duration is also considered.
(2)
Spatial dimension: this study focuses on the geographical distribution of merging speed, the characteristics of the LV and the RV, the merging distance (ratio), and high-risk merging scenarios.
(3)
Heterogeneity: the heterogeneity of merging behavior here encompasses various combinations of ego vehicle and surrounding vehicles. For example, when the ego vehicle is a car, the alongside vehicle may be either a car or a truck. Furthermore, we examine the differences between the merging patterns. Specifically, scenario1 involves an alongside vehicle accelerating to prevent the ego vehicle from cutting in, while scenario2 entails the alongside vehicle reducing its speed to facilitate smooth merging for the ego vehicle. Whether there exists a significant difference in driving speed of the ego vehicle between these two scenarios will be further investigated.
The analysis process in existing studies exhibits a higher degree of subjectivity, and the rules for selecting variables are not clearly stated. Instead of immediately applying commonly used algorithms from previous studies, we propose dividing the scenarios based on changes in the relative position of the vehicle with its surroundings. These algorithms require determining input variables, and their outcomes are somewhat influenced by the dataset or hyperparameters.
This gives rise to the challenge of inadequate trajectory extraction and vehicle matching details, as well making it difficult for other researchers’ to replicate these study results. However, the fundamental division method used in this study is universally applicable and remains unaffected by variations in data, algorithms, or hyperparameters. Based on the aforementioned three types of surrounding vehicles, we can categorize eight merging scenarios as shown in Table 4.
(a)
Merging Pattern A: There are no vehicles within the threshold range of the target vehicle. The merging behavior of vehicles in this pattern is less restricted and is influenced by the driver’s own driving style and vehicle type.
(b)
Merging Pattern B: There is a LV and no RV. When a vehicle exists ahead in the target lane, the merging vehicles will maintain a certain distance from the vehicle ahead and then merge.
(c)
Merging Pattern C: The merging vehicle fails to assert its right-of-way against the adjacent vehicle, resulting in the merging vehicle being positioned behind the alongside vehicle. At the moment of merging, there is no RV.
(d)
Merging Pattern D: The merging vehicles cut in front of the RV. There is a RV and no LV at the merging moment. In this pattern, the merging vehicles have an impact on the back traffic flow.
(e)
Merging Pattern E: At the moment of vehicle merging, there are rear vehicles and a LV. Studies have been conducted for this merging pattern. The traffic flow condition (bottleneck), the time gap and the space gap of the RV, and the speed of the merging vehicle are key factors when choosing merging types [16].
(f)
Merging Pattern F: Merging vehicles merge behind alongside vehicle. There is a RV at the moment of merging. Compared to merging Pattern C, vehicle merges in Pattern F with vehicles behind it. It needs to be considered whether collisions will be generated and whether there will be some interference for the behavior of the RV.
(g)
Merging Pattern G: The alongside vehicle was originally located ahead on the target lane and the merging vehicle chose to accelerate to cut in. There is no LV after the merging vehicle completed merging.
(h)
Merging Pattern H: The difference with the merging Pattern G is the presence of a LV after the merge in merging Pattern H.
The merging patterns are shown in Figure 7. The green vehicle is the merging vehicles. In this study, we selected a 100 m area both in front of and behind the target lane during the critical moment of merging behavior for analysis. The critical moment for vehicle merging is defined as when the physical center of the vehicle crosses the dotted line. Then, a statistical analysis was performed, which revealed that 35.25% of vehicles preferred Pattern B for merging, while only 0.03% opted for Pattern G or H. About 2% of the vehicles selected either Pattern C or F for merging, with a lower percentage second to Pattern G and H. The majority of merging vehicles prefer to merge behind the adjacent vehicle rather than cutting in.
The distribution of merging scenarios at four collection sites is shown in Figure 8, with each pie chart representing the distribution of a specific type of vehicle merging scenario at a data collection location. The distribution of merging patterns at four collection sites is shown in Figure 8, with each pie chart representing the distribution of a specific type of vehicle merging pattern at a data collection location. Observations at various locations indicate that cars and vans often prefer to merge when there are vehicles in front but none behind, suggesting that their drivers tend to adopt a conservative merging strategy to minimize potential conflicts with other vehicles. In contrast, truck drivers exhibit a preference for situations where there are no vehicles in front but some behind, possibly due to trucks’ larger mass and braking distance necessitating greater safety margins during merging. Furthermore, aggressive merging behaviors by trucks in certain locations (over 15% in Pattern C and F) reveal that some drivers choose riskier strategies even in high-risk situations. Analyzing the selection of merging patterns reveals how human drivers guide their behavior based on different environmental states, and it highlights the significant impact of social preferences in the decision-making process. These findings are crucial for enhancing decision-making designs in autonomous vehicles to match the level of human drivers.

4.3. Heterogeneity Analysis

This section will begin by introducing a similarity testing model and then proceed to analyze the heterogeneity in the merging spatiotemporal patterns. The skewness and kurtosis are used to describe the distribution of the data. Skewness describes the symmetry of the distribution of a certain overall fetch value. The kurtosis is a statistic that describes the steepness of the distribution of all values in the total. The kurtosis and skewness are calculated as follows:
s k e w n e s s = 1 n 1 i = 1 n x i x ¯ 3 / S D 3
k u r t o s i s = 1 n 1 i = 1 n x i x ¯ 4 / S D 4 3
S D = i = 1 n x i x ¯ 2 / n
SD—the variance.
The Kolmogorov–Smirnov test (KS test) is employed to examine the data distribution of the merging variables of different merging patterns. A classical two-sample problem consists of testing the null hypothesis:
H 0 : F x = G x ,   f o r   e v e r y   x R d
Against the general alternative:
H 1 : F x G x ,   f o r   s o m e   x R d
We determine whether the merging variables (i) sample1 x 1 , x 2 , x 3 x m and merging variables (i) sample2 ( y 1 , y 2 , y 3 y n ) come from the same distribution function for the different merging patterns.
Construct test statistic D m , n :
D m , n = s u p F m x G n y
Reject H 0 when the following conditions hold, otherwise accept H 0 :
m × n m + n D m , n > c α
The p is calculated as follows:
p = 2 e 2 m × n m + n D m , n
Then, we observe whether there is a significant difference between merging patterns, and then, we measure the variability between the scenarios. We focused on the three variables for driving behavior: merging speed, merging distance, and merging duration. The results of the KS test for different merging patterns feature variables are shown in Figure 9. The merging speed’s KS-test p-values of car, truck, and van in Pattern B and E are 0.92, 0.12, and 0.39 (all > 0.05). The original hypothesis cannot be rejected. There is no significant difference between merging speeds in Pattern B and E. When a vehicle exists ahead in the target lane, the presence or absence of a RV has no significant effect on the merging speed of drivers. When testing the merging speed of autonomous vehicles, patterns B and E can be divided into one scenario for simulation testing.
The KS-test p-values of merging speed, merging distance, and merging duration for car, truck, and van in Pattern C and F are all greater than 0.05. Therefore, the original hypothesis H_0 is accepted. There is no significant difference between Patterns C and F. The vehicles in Patterns C and F both have vehicles in the target lane in parallel, and fail to compete for the road access, and then perform the merging operation after the RV moving, at which time there is no significant effect on the presence of the RV. There is no need to waste resources separating Pattern C and F when studying the speed, distance, and duration of autonomous vehicle at critical merging moments.
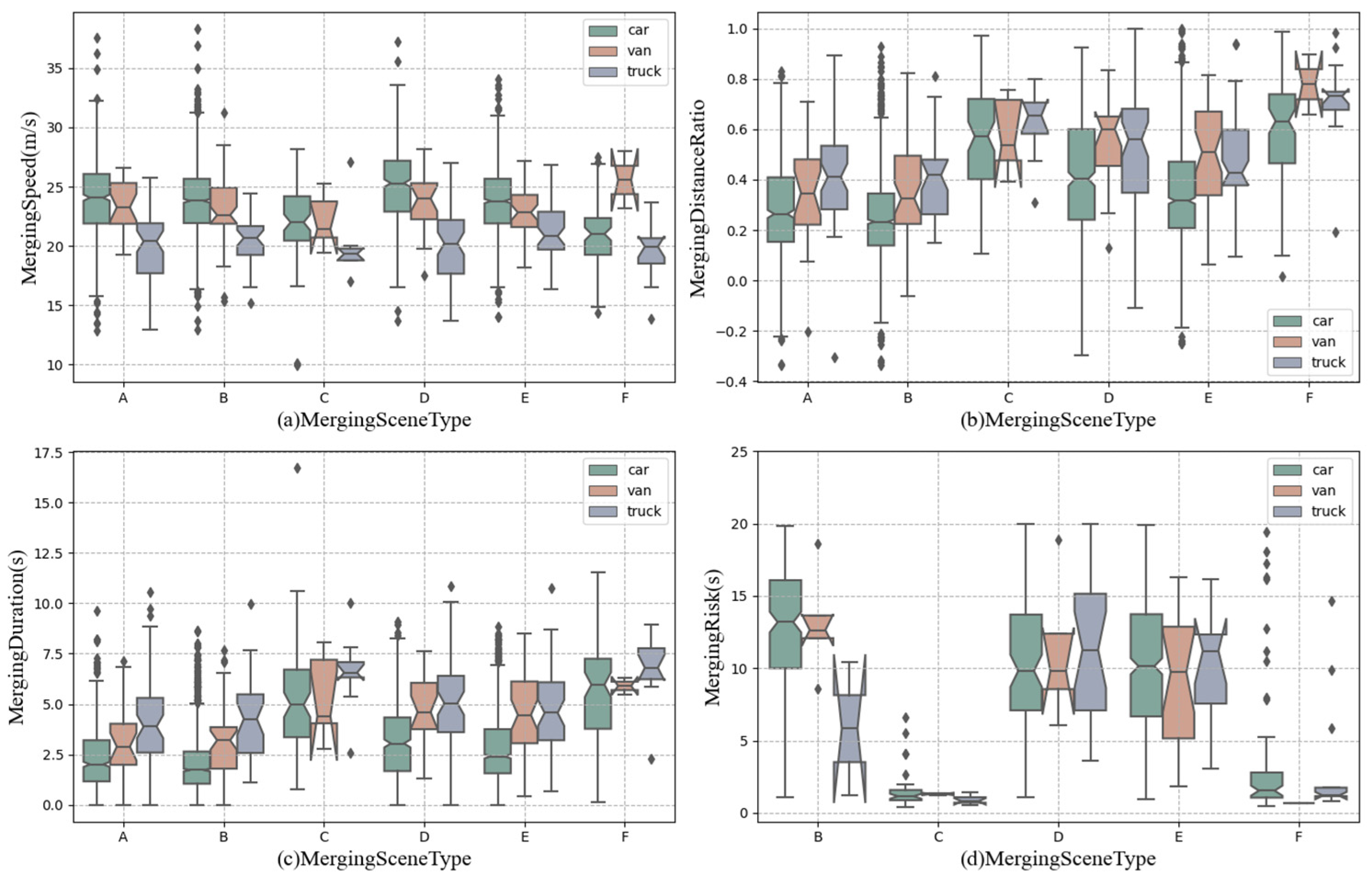
The box plots in Figure 10 illustrate the statistical differences among the various vehicle types. Notably, when it comes to merging, distinct variations can be observed across different vehicle categories. The merging speeds of trucks are the lowest among various merging patterns, with an average speed of approximately 20 m/s. The ego vehicle in Patterns C or F merges relatively slowly compared to other merging patterns. In other words, the ego vehicle’s speed is lower at the crucial merging phase as it follows alongside vehicle. When the target lane experiences free-flowing traffic, there is an observed hierarchy in terms of merging speed: car > van > truck; merging distance: truck > van > car; and merging duration: truck > van > car.
The average merging distance ratio of the ego vehicle in Patterns C or F exceeds 0.5, and the merging duration surpasses 5 s. Ego vehicles are required to cover more than half of the acceleration lane before initiating a merge. In Figure 10, TTC values of the merging Patterns C and F are significantly lower than those of the other patterns. Merging Patterns C and F are high-risk merging scenarios, which have a greater impact on the safety of the driver. Because the RV must accept a short headway in a very brief amount of time, cut-in behavior is frequently linked to a higher safety risk. There is a high risk of collision between these two vehicles if the RV is inattentive or aggressive. After identifying the high-risk scenarios, this paper will further analyze their behavioral characteristics in the next section.
In Figure 10a,b, there are two vans in Pattern F with a merging speed of more than 25 m/s and a merging distance of 0.8. These two tracks were extracted and their context information are #1 (recordingId = 46, trackId = 977) and #2 (recordingId = 58, trackId = 417). The reason is that there is a truck behind on the target lane, and the vans choose to accelerate and keep a certain distance from the truck. This finding also confirms that different vehicle types have different effects on merging behavior. In Figure 10c, there is a car in Pattern C having a long merging duration. This track was extracted and its context information is #3 (recordingId = 49, trackId = 1031). The finding is that there are four trucks behind car#3. Car#3 waits for four trucks to pass and then merges. Due to the physical and psychological effects they have on the surrounding vehicles, the truck platooning has a significantly greater impact on surrounding vehicles. In turn, this has some impact on overall traffic safety and efficiency.

4.4. Discussion of the Results

This study introduces a framework for extracting merging trajectories using HD maps, providing valuable insights into driving behavior analysis with map references. A spatiotemporal analysis of interactions across various merging patterns can be a vehicle through the subdivision of these patterns. The following new findings are discovered: (1) Car and van drivers exhibit a conservative merging preference, often merging with a vehicle in front but none behind. Specifically, truck drivers tend to leave larger gaps in front for safety, a practice vital for refining autonomous vehicle algorithms. (2) The merging patterns B and E, or C and F, exhibit no discernible difference in terms of merging distance, speed, or duration. As a result, these matching patterns can be combined during traffic simulation. (3) The design of automated driving planning and control must consider high-risk scenarios, such as merging patterns C and F. Additionally, careful consideration is required for vehicle merging in truck platooning situations.
This research holds significant promise for real-world applications, particularly in enhancing road safety and the efficiency of autonomous driving systems:
(1)
Traffic Management and Safety
Our findings contribute to improving highway safety and efficiency by offering a nuanced understanding of merging behaviors. By leveraging this research, traffic planners and policymakers can make informed decisions regarding the design and management of merge zones. This includes optimizing the placement of dashed versus solid lane markings and adjusting speed limits to mitigate traffic congestion and reduce the incidence of accidents.
(2)
Autonomous Vehicle Technology
The insights garnered from this study are instrumental in refining the decision-making algorithms of autonomous vehicles. By integrating our findings into these systems, autonomous vehicles can achieve a more sophisticated simulation of human driving behaviors. This enhancement will lead to improvements in the safety, comfort, and overall adaptability of autonomous driving technologies, ensuring a smoother integration into existing traffic systems.
In essence, the theoretical contributions of our research are paralleled by its practical value, offering actionable insights for both policymakers and researchers in the field of automated driving technology. These implications extend beyond academic discourse, promising to inform and shape the future landscape of traffic management and autonomous vehicle development. Due to limitations in the dataset, there is insufficient data to analyze van behavior comprehensively. Future studies could focus on examining continuous merging behavior at location0 for a more detailed understanding.
Considering that large-scale aerial vehicle traffic trajectory datasets involving individual driver characteristics may touch upon privacy issues, and existing datasets that include drivers’ psychological and physical traits are unable to reach the scale of the exiD dataset, future research needs to find a better balance between large-scale vehicle trajectory data and drivers’ mental and physical health, legal regulations, road types, and human driving behaviors. Although this study has some shortcomings in certain characteristics, by introducing HD maps for the first time, it lays the foundation for more comprehensively integrating these features in future research.

5. Conclusions

The main objective of this study is to uncover the spatial–temporal patterns and heterogeneity of merging behavior. The similarity of merging patterns is evaluated in terms of spatial and temporal aspects. High-risk situations involving mergers are identified and methodically investigated. Upon delineating merging patterns, an assessment of the variability in merging behaviors across vehicle types was conducted to clarify preferences for specific merging patterns among these types.
As our research progressed, we made some new discoveries that had not been explored in existing studies, greatly attributed to the application of HD maps. We hope this article will further promote our understanding of on-ramp merging behavior.

Author Contributions

Conceptualization, L.L., Y.W. and Y.L.; methodology, Y.W. and Y.L.; data curation, Y.W. and Y.L.; formal analysis, Y.W. and S.W.; project administration, L.L., Y.W. and R.L.; visualization, Y.W. and Y.L.; writing—original draft, Y.W. and S.W. All authors have read and agreed to the published version of the manuscript.

Funding

This research was funded by the National Key Research and Development Program of China (2019YFB1600703).

Institutional Review Board Statement

Not applicable.

Informed Consent Statement

Not applicable.

Data Availability Statement

All data utilized in this manuscript comes from publicly accessible sources that have been cited among the references. The exiD dataset is available free of charge at https://www.exid-dataset.com (20 September 2022).

Conflicts of Interest

The authors declare no conflicts of interest.

References

  1. Sun, J.; Zhao, L.; Zhang, H.M. Mechanism of early-onset breakdown at on-ramp bottlenecks on Shanghai, China, expressways. Transp. Res. Rec. 2014, 2421, 64–73. [Google Scholar] [CrossRef]
  2. Cassidy, M.J.; Rudjanakanoknad, J. Increasing the capacity of an isolated merge by metering its on-ramp. Transp. Res. Part B Methodol. 2005, 39, 896–913. [Google Scholar] [CrossRef]
  3. Lee, G. Modeling Gap Acceptance at Freeway Merges; Massachusetts Institute of Technology: Cambridge, MA, USA, 2006. [Google Scholar]
  4. Marczak, F.; Daamen, W.; Buisson, C. Merging behaviour: Empirical comparison between two sites and new theory development. Transp. Res. Part C Emerg. Technol. 2013, 36, 530–546. [Google Scholar] [CrossRef]
  5. Li, G.; Cheng, J. Exploring the effects of traffic density on merging behavior. IEEE Access 2019, 7, 51608–51619. [Google Scholar] [CrossRef]
  6. Zhang, Y.; Zou, Y.; Wang, Y.; Wu, L.; Han, W. Understanding the merging behavior patterns and evolutionary mechanism at freeway on-Ramps. J. Intell. Transp. Syst. 2023, 27, 573–586. [Google Scholar] [CrossRef]
  7. Hidas, P. Modelling vehicle interactions in microscopic simulation of merging and weaving. Transp. Res. Part C Emerg. Technol. 2005, 13, 37–62. [Google Scholar] [CrossRef]
  8. Jiang, S. Human-like Merging Strategy for Intelligent Vehicles Focused on Merging Risk Decision. Master’s Thesis, Chang’an University, Xi’an, China, 2022. [Google Scholar]
  9. Wu, S.; Zou, Y.; Wu, L.; Zhang, Y. Application of Bayesian model averaging for modeling time headway distribution. Phys. A Stat. Mech. Its Appl. 2023, 620, 128747. [Google Scholar] [CrossRef]
  10. Zhan, W.; Sun, L.; Wang, D.; Shi, H.; Clausse, A.; Naumann, M.; Kummerle, J.; Konigshof, H.; Stiller, C.; de La Fortelle, A. INTERACTION Dataset: An INTERnational, Adversarial and Cooperative moTION Dataset in Interactive Driving Scenarios with Semantic Maps. arXiv 2019, arXiv:1910.03088. [Google Scholar]
  11. Spannaus, P.; Zechel, P.; Lenz, K. AUTOMATUM DATA: Drone-based highway dataset for the development and validation of automated driving software for research and commercial applications. In Proceedings of the 2021 IEEE Intelligent Vehicles Symposium (IV), Nagoya, Japan, 11–17 July 2021; pp. 1372–1377. [Google Scholar]
  12. Zhang, Y.; Wang, C.; Yu, R.; Wang, L.; Quan, W.; Gao, Y.; Li, P. The AD4CHE Dataset and Its Application in Typical Congestion Scenarios of Traffic Jam Pilot Systems. IEEE Trans. Intell. Veh. 2023, 8, 3312–3323. [Google Scholar] [CrossRef]
  13. Moers, T.; Vater, L.; Krajewski, R.; Bock, J.; Zlocki, A.; Eckstein, L. The exiD dataset: A real-world trajectory dataset of highly interactive highway scenarios in germany. In Proceedings of the 2022 IEEE Intelligent Vehicles Symposium (IV), Aachen, Germany, 4–9 June 2022; pp. 958–964. [Google Scholar]
  14. Daamen, W.; Loot, M.; Hoogendoorn, S.P. Empirical Analysis of Merging Behavior at Freeway On-Ramp. Transp. Res. Rec. 2010, 2188, 108–118. [Google Scholar] [CrossRef]
  15. Ye, Y.; Ni, Y.; Sun, J. Defining and Modeling Active-responsive Merging Behavior at High-density Expressway On-ramp Bottlenecks. China J. Highw. Transp. 2022, 35, 278–290. [Google Scholar]
  16. Sun, J.; Ouyang, J.; Yang, J. Modeling and analysis of merging behavior at expressway on-ramp bottlenecks. Transp. Res. Rec. 2014, 2421, 74–81. [Google Scholar] [CrossRef]
  17. Liu, Y.; Wang, X.; Li, L.; Cheng, S.; Chen, Z. A novel lane change decision-making model of autonomous vehicle based on support vector machine. IEEE Access 2019, 7, 26543–26550. [Google Scholar] [CrossRef]
  18. Wang, H.; Wang, W.; Yuan, S.; Li, X.; Sun, L. On Social Interactions of Merging Behaviors at Highway On-Ramps in Congested Traffic. IEEE Trans. Intell. Transp. Syst. 2022, 23, 11237–11248. [Google Scholar] [CrossRef]
  19. Lu, Y.; Cheng, K.; Zhang, Y.; Chen, X.; Zou, Y. Analysis of lane-changing conflict between cars and trucks at freeway merging sections using UAV video data. J. Transp. Saf. Secur. 2023, 15, 943–961. [Google Scholar] [CrossRef]
  20. Bender, P.; Ziegler, J.; Stiller, C. Lanelets: Efficient map representation for autonomous driving. In Proceedings of the 2014 IEEE Intelligent Vehicles Symposium Proceedings, Dearborn, MI, USA, 8–11 June 2014; pp. 420–425. [Google Scholar]
  21. Althoff, M.; Urban, S.; Koschi, M. Automatic conversion of road networks from opendrive to lanelets. In Proceedings of the 2018 IEEE International Conference on Service Operations and Logistics, and Informatics (SOLI), Singapore, 31 July–2 August 2018; pp. 157–162. [Google Scholar]
  22. Littman, M.L. Markov games as a framework for multi-agent reinforcement learning. In Machine Learning Proceedings 1994; Elsevier: Amsterdam, The Netherlands, 1994; pp. 157–163. [Google Scholar]
  23. Kita, H. A merging–giveway interaction model of cars in a merging section: A game theoretic analysis. Transp. Res. Part A Policy Pract. 1999, 33, 305–312. [Google Scholar] [CrossRef]
  24. Elvik, R. A review of game-theoretic models of road user behaviour. Accid. Anal. Prev. 2014, 62, 388–396. [Google Scholar] [CrossRef] [PubMed]
  25. Poggenhans, F.; Pauls, J.-H.; Janosovits, J.; Orf, S.; Naumann, M.; Kuhnt, F.; Mayr, M. Lanelet2: A high-definition map framework for the future of automated driving. In Proceedings of the 2018 21st International Conference on Intelligent Transportation Systems (ITSC), Maui, HI, USA, 4–7 November 2018; pp. 1672–1679. [Google Scholar]
Figure 1. The single-frame images extracted from the video for each location display various road types [13].
Figure 1. The single-frame images extracted from the video for each location display various road types [13].
Applsci 14 02344 g001
Figure 2. The framework to process trajectory based on Lanelet2: a case study with location 2.
Figure 2. The framework to process trajectory based on Lanelet2: a case study with location 2.
Applsci 14 02344 g002
Figure 3. The extraction of merging trajectories from the high-precision lanelet2.
Figure 3. The extraction of merging trajectories from the high-precision lanelet2.
Applsci 14 02344 g003
Figure 4. Number of different types of vehicles and proportion of trucks. (The red square and dash line indicate the ratio of the number of trucks).
Figure 4. Number of different types of vehicles and proportion of trucks. (The red square and dash line indicate the ratio of the number of trucks).
Applsci 14 02344 g004
Figure 5. Number of vehicles on the on/off-ramps and the proportion of vehicles on the on-ramp. (The blue squares and dashed lines represent the percentage of vehicles on the ramps at each location).
Figure 5. Number of vehicles on the on/off-ramps and the proportion of vehicles on the on-ramp. (The blue squares and dashed lines represent the percentage of vehicles on the ramps at each location).
Applsci 14 02344 g005
Figure 6. Scatter plots of merging positions and velocities for different vehicle types. (The red dashed line demarcates Merging Section I from II, and the purple dotted line separates Merging Section II from III. To the left of the red line is Merging Section I, between the lines is Merging Section II, and to the right of the purple line is Merging Section III).
Figure 6. Scatter plots of merging positions and velocities for different vehicle types. (The red dashed line demarcates Merging Section I from II, and the purple dotted line separates Merging Section II from III. To the left of the red line is Merging Section I, between the lines is Merging Section II, and to the right of the purple line is Merging Section III).
Applsci 14 02344 g006aApplsci 14 02344 g006b
Figure 7. Schematic diagram of the Merging Patterns.
Figure 7. Schematic diagram of the Merging Patterns.
Applsci 14 02344 g007
Figure 8. Preferences for Merging Pattern selection.
Figure 8. Preferences for Merging Pattern selection.
Applsci 14 02344 g008
Figure 9. Heatmap of merging patterns KS test p value.
Figure 9. Heatmap of merging patterns KS test p value.
Applsci 14 02344 g009
Figure 10. Box plot of merging scenario features for different merging scenarios.
Figure 10. Box plot of merging scenario features for different merging scenarios.
Applsci 14 02344 g010
Table 2. Symbol definition for dataset.
Table 2. Symbol definition for dataset.
NumberSymbolDescriptionUnit
1recordingIdRecording Record ID, each recording video has a unique ID for identification.-
2locationIdRecording Location ID.-
3durationRecording Duration.s
4latLocationApproximate Latitude Coordinates of Recording Location.deg
5lonLocationApproximate Longitude Coordinates of Recording Location.deg
6initialFrameFrame Number at the Start of the Trajectory.-
7finalFrameFrame Number at the End of the Trajectory.-
8classVehicle Type.-
9trackIdTrajectory ID. IDs are assigned in ascending order to each trajectory in the video.-
10lonVelocityLongitudinal Velocity.m/s
11latVelocityLateral Velocity.m/s
12latAccelerationLongitudinal Acceleration.m/s2
13lonAccelerationLateral Acceleration.m/s2
14latLaneCenterOffsetLateral Offset of the Vehicle’s Center of Mass Relative to the Nearest Point on the Lane Centerline of the Lane the Vehicle is Currently Traveling.m
15laneletIdAccording to the Lanelet2 map, the sequence number (ID) of the lane in which the vehicle is currently traveling.-
16laneChangeWhether the lane number changes in the lateral direction.0.1
17laneletLengthThe full length of the lane the vehicle is currently traveling in.m
18leadIdThe ID of the preceding vehicle in the same lane.-
19rearIdThe ID of the following vehicle in the same lane.-
20leftLeadIdThe ID of the preceding vehicle in the left adjacent lane in the direction of travel or in a further left adjacent lane.-
21leftAlongsideIdThe ID of vehicles traveling in parallel with the vehicle on its left or in the left adjacent lane in the direction of travel, and having a longitudinal overlap with the vehicle.-
22leftRearIdThe ID of the vehicle in the left adjacent lane or a further left adjacent lane behind the vehicle in the direction of travel.-
23rightLeadIdThe ID of the leading vehicle in the right adjacent lane or a further right adjacent lane in the direction of travel.-
24rightAlongsideIdThe list of IDs for vehicles in the right adjacent lane or a further left adjacent lane, which have a longitudinal overlap with the current vehicle in the direction of travel.-
25rightRearIdThe ID of the vehicle in the right adjacent lane or a further right adjacent lane behind the vehicle in the direction of travel.-
Table 3. Merging section relationship sequence laneletID list.
Table 3. Merging section relationship sequence laneletID list.
SectionMerging Section IMerging Section IIMerging Section III
LocationLaneletIdLanelet
Length
LaneletIdLanelet
Length
LaneletIdLanelet
Length
21499/150067.561502/1503119.67157440.65
31414/141517.901524/1527168.03152832.49
51408/140966.541411/1412132.62141442.19
61459/146026.621514/1463192.32146727.4
Table 4. Merging Patterns.
Table 4. Merging Patterns.
Merging PatternsRear Vehicle (RV)
Situation
Lead Vehicle (LV)
Situation
ANoneNone
BNoneExist
CNoneExist (rear to lead)
DExistNone
EExistExist
FExistExist (rear to lead)
GExist (lead to rear)None
HExist (lead to rear)Exist
Disclaimer/Publisher’s Note: The statements, opinions and data contained in all publications are solely those of the individual author(s) and contributor(s) and not of MDPI and/or the editor(s). MDPI and/or the editor(s) disclaim responsibility for any injury to people or property resulting from any ideas, methods, instructions or products referred to in the content.

Share and Cite

MDPI and ACS Style

Wang, Y.; Li, Y.; Li, R.; Wu, S.; Li, L. Unraveling Spatial–Temporal Patterns and Heterogeneity of On-Ramp Vehicle Merging Behavior: Evidence from the exiD Dataset. Appl. Sci. 2024, 14, 2344. https://doi.org/10.3390/app14062344

AMA Style

Wang Y, Li Y, Li R, Wu S, Li L. Unraveling Spatial–Temporal Patterns and Heterogeneity of On-Ramp Vehicle Merging Behavior: Evidence from the exiD Dataset. Applied Sciences. 2024; 14(6):2344. https://doi.org/10.3390/app14062344

Chicago/Turabian Style

Wang, Yiqi, Yang Li, Ruijie Li, Shubo Wu, and Linbo Li. 2024. "Unraveling Spatial–Temporal Patterns and Heterogeneity of On-Ramp Vehicle Merging Behavior: Evidence from the exiD Dataset" Applied Sciences 14, no. 6: 2344. https://doi.org/10.3390/app14062344

APA Style

Wang, Y., Li, Y., Li, R., Wu, S., & Li, L. (2024). Unraveling Spatial–Temporal Patterns and Heterogeneity of On-Ramp Vehicle Merging Behavior: Evidence from the exiD Dataset. Applied Sciences, 14(6), 2344. https://doi.org/10.3390/app14062344

Note that from the first issue of 2016, this journal uses article numbers instead of page numbers. See further details here.

Article Metrics

Back to TopTop