Nonlinear Robust Adaptive Control of Universal Manipulators Based on Desired Trajectory
Abstract
1. Introduction
- Compared with the traditional robust adaptive control method, which requires real-time computation of the robot’s complex dynamic model and regression matrix during the control process, the proposed method computes most of the complex control terms using the a priori known desired trajectory, so that the computation results can be stored before the start of the control and only the stored results need to be queried during the real-time control, thus greatly reducing the need for real-time computation of the feedback signals. Therefore, it is guaranteed that the controller can be realized even on universal manipulators with poor computational power.
- The objective uncertainties of the universal robot are classified according to the time span, and robust adaptive control is used to compensate the error caused by the uncertainties. Combined with the above use of the desired trajectory to calculate most of the control items, an additional feedback control item is designed to strictly prove the Lyapunov stability of the proposed method.
- Instead of a simulation, experiments are carried out on a real universal manipulator to compare the results with traditional PID, dynamics feedforward control, real-time robust adaptive control, and one state-of-the-art control method. The feasibility and rationality of the control method proposed in this article are analyzed in terms of control performance and real-time computational efficiency.
2. Dynamic Model and Preliminary
2.1. Dynamic Model
2.2. Properties and Assumptions
3. Controller Design
3.1. Nominal Dynamics Feedforward
3.2. Lyapunov Feedback Compensation Design
3.3. Robust and Adaptive Control Terms Design
3.3.1. Robust Control Term
3.3.2. Adaptive Control Term
3.4. Stability Analysis
- Case 1: When , substitute it into Equation (35), and let , then:According to Equation (28), it can be seen that , so the above equation can be written as:At this time, according to Lyapunov stability theory and the Barbalat lemma, the system is stable, that is, and globally converge to 0.
- Case 2: When , substitute Equation (2) into Equation (35); then:In order to make the above equation less than 0, it is necessary to satisfy:And ; therefore:Equivalently,Since , is constantly negative when the above equation is satisfied. Eventually, the state variable of the system will be retained in the final bounded set, i.e., the bounded set surrounded by the right side of the above equation, and thus, the uniform ultimate boundedness of the system is proven. □
3.5. Comparative Study
4. Experiment and Discussion
4.1. Experimental Setup
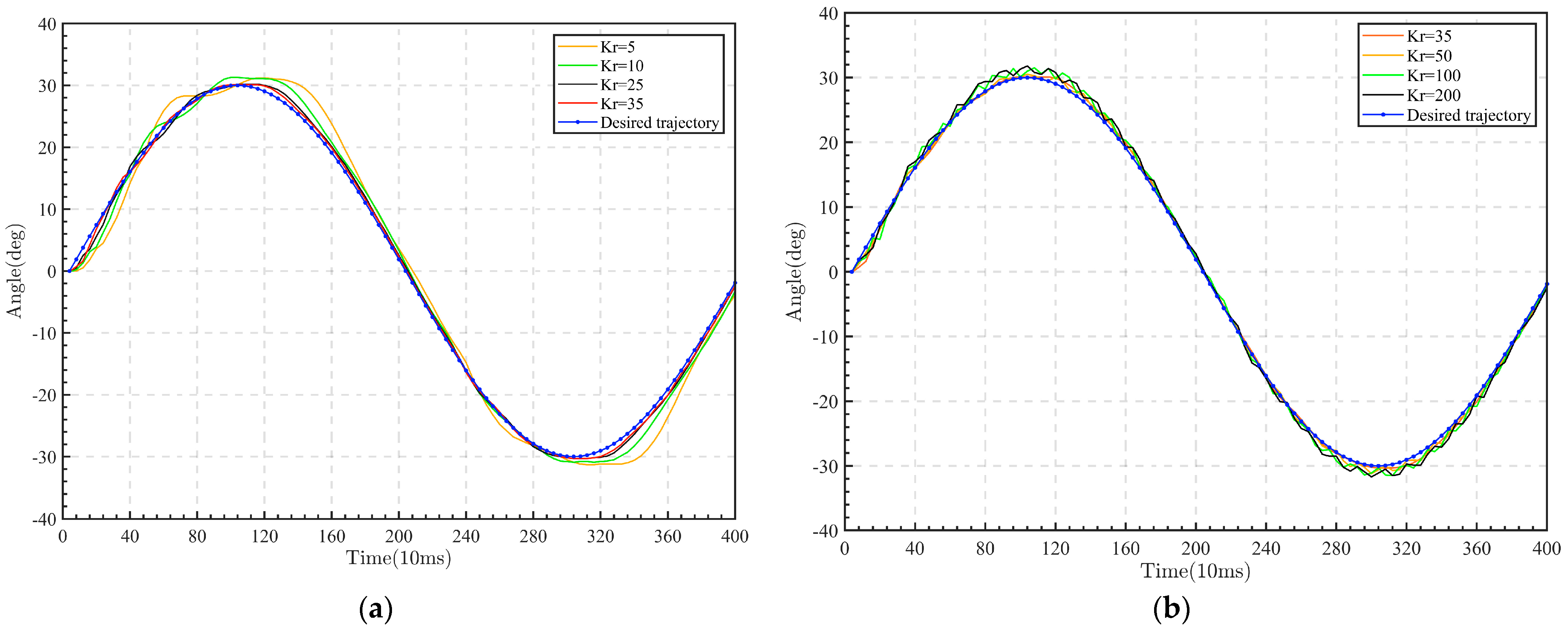
4.2. Single Joint Tuning Using Sine Trajectory
4.3. Multiple Joints Tracking Using Circular Trajectory
4.4. Analysis and Discussion
- The traditional PID control method does not take into consideration the dynamics of the manipulator; all the performance indices are significantly behind other control methods which consider the dynamics of the robot.
- Dynamic feedforward control directly compensates the nominal dynamic model as a feedforward quantity. Due to the uncertainties of the real dynamic model compared to our given nominal dynamic model, the performance indices under this control strategy are higher than that of PID, but there is still much room for improvement.
- The robust adaptive control method based on the desired trajectory proposed in this article considers the uncertainties in the real dynamic model, uses the corresponding control term to compensate the perturbation of the inertial parameters of the links, and corrects the friction coefficients of the joints online. Compared with the dynamic feedforward control method, all the performance indices have significant advantages.
- Compared to the real-time robust adaptive control method, which compensates for uncertainties in real time, the control method proposed in this article uses the desired trajectory to compute most of the control terms offline. In terms of the regression matrix, its dimensions are 6 × 60 for a six-degree-of-freedom manipulator with respect to its link inertial parameters, where each element is a complex nonlinear function containing the six joint state variables of the manipulator. The real-time robust adaptive control method substitutes the real-time signals measured by the sensors into the calculation to obtain the regression matrix, which is computationally intensive and requires a significant amount of processing time. Similarly, the novel robust adaptive method relies on real-time measured state variables to compute the regression matrix. On the contrast, the control method proposed in this article calculates the regression matrix offline from the a priori known desired trajectory. During the actual control process, the regression matrix at each moment is directly output by looking up the table, and then the subsequent calculation is carried out, thus eliminating the need for real-time calculation of complex regression matrix. Therefore, the control method proposed in this paper exhibits significantly lower real-time computational complexity compared to the real-time robust adaptive control and the novel robust adaptive control.
- Observing the performance indices in Table 3, under the condition that the universal manipulator used in the experiment has poor computing performance, the control strategy with desired trajectory compensation slightly outperforms the control strategy with real-time computation in terms of several performance indices. Furthermore, the method proposed in this paper still exhibits better performance when compared with the novel robust adaptive method.
5. Conclusions
Author Contributions
Funding
Institutional Review Board Statement
Informed Consent Statement
Data Availability Statement
Conflicts of Interest
References
- Asadi, E.; Li, B.; Chen, I.-M. Pictobot: A Cooperative Painting Robot for Interior Finishing of Industrial Developments. IEEE Robot. Autom. Mag. 2018, 25, 82–94. [Google Scholar] [CrossRef]
- Li, G.; Huang, H.; Guo, H.; Li, B. Dynamic Modeling and Control for a Deployable Grasping Manipulator. IEEE Access 2019, 7, 23000–23011. [Google Scholar] [CrossRef]
- Kachouie, R.; Sedighadeli, S.; Khosla, R.; Chu, M.-T. Socially Assistive Robots in Elderly Care: A Mixed-Method Systematic Literature Review. Int. J. Hum.–Comput. Interact. 2014, 30, 369–393. [Google Scholar] [CrossRef]
- Karnan, H.; Nair, A.; Xiao, X.; Warnell, G.; Pirk, S.; Toshev, A.; Hart, J.; Biswas, J.; Stone, P. Socially CompliAnt Navigation Dataset (SCAND): A Large-Scale Dataset of Demonstrations for Social Navigation. IEEE Robot. Autom. Lett. 2022, 7, 11807–11814. [Google Scholar] [CrossRef]
- Bettini, A.; Marayong, P.; Lang, S.; Okamura, A.M.; Hager, G.D. Vision-Assisted Control for Manipulation Using Virtual Fixtures. IEEE Trans. Robot. 2004, 20, 953–966. [Google Scholar] [CrossRef]
- Dupont, P.E.; Nelson, B.J.; Goldfarb, M.; Hannaford, B.; Menciassi, A.; O’Malley, M.K.; Simaan, N.; Valdastri, P.; Yang, G.-Z. A Decade Retrospective of Medical Robotics Research from 2010 to 2020. Sci. Robot. 2021, 6, eabi8017. [Google Scholar] [CrossRef]
- Arimoto, S. Stability and Robustness of PID Feedback Control for Robot Manipulators of Sensory Capability. In Robotics Research: First International Symposium; MIT Press: Cambridge, MA, USA, 1984. [Google Scholar]
- Kelly, R.; Santibáñez, V.; Loría, A. Control of Robot Manipulators in Joint Space; Advanced Textbooks in Control and Signal Processing; Springer: London, UK, 2005; ISBN 978-1-85233-994-4. [Google Scholar]
- Zhang, B.; Wu, J.; Wang, L.; Yu, Z.; Fu, P. A Method to Realize Accurate Dynamic Feedforward Control of a Spray-Painting Robot for Airplane Wings. IEEE ASME Trans. Mechatron. 2018, 23, 1182–1192. [Google Scholar] [CrossRef]
- Zhang, B.; Wu, J.; Wang, L.; Yu, Z. Accurate Dynamic Modeling and Control Parameters Design of an Industrial Hybrid Spray-Painting Robot. Robot. Comput.-Integr. Manuf. 2020, 63, 101923. [Google Scholar] [CrossRef]
- Rahimi, H.N.; Howard, I.; Cui, L. Neural Adaptive Tracking Control for an Uncertain Robot Manipulator with Time-Varying Joint Space Constraints. Mech. Syst. Signal Process. 2018, 112, 44–60. [Google Scholar] [CrossRef]
- Zhao, H.; Liu, W.; Chen, X.; Sun, H. Adaptive Robust Constraint-Following Control for Underactuated Unmanned Bicycle Robot with Uncertainties. ISA Trans. 2023, 143, 144–155. [Google Scholar] [CrossRef]
- Zhang, L.; Ren, X.; Zheng, D. Adaptive Uncertainty Estimator-Based Sliding Mode Control for a Spherical Robot: Methodology and Verification. J. Comput. Nonlinear Dyn. 2022, 17, 101002. [Google Scholar] [CrossRef]
- Son, J.; Kang, H.; Kang, S.H. A Review on Robust Control of Robot Manipulators for Future Manufacturing. Int. J. Precis. Eng. Manuf. 2023, 24, 1083–1102. [Google Scholar] [CrossRef]
- Kawai, Y.; Yokokura, Y.; Ohishi, K.; Shinozaki, T. Load-Side Acceleration Control Based on Load-Side Velocity Disturbance Observer for Geared Actuator. Adv. Robot. 2023, 37, 634–648. [Google Scholar] [CrossRef]
- Sage, H.G.; De Mathelin, M.F.; Ostertag, E. Robust Control of Robot Manipulators: A Survey. Int. J. Control 1999, 72, 1498–1522. [Google Scholar] [CrossRef]
- Zhen, S.; Ma, M.; Liu, X.; Chen, F.; Zhao, H.; Chen, Y.-H. Model-Based Robust Control Design and Experimental Validation of SCARA Robot System with Uncertainty. J. Vib. Control 2023, 29, 91–104. [Google Scholar] [CrossRef]
- Hu, J.; Zhang, H.; Liu, H.; Yu, X. A Survey on Sliding Mode Control for Networked Control Systems. Int. J. Syst. Sci. 2021, 52, 1129–1147. [Google Scholar] [CrossRef]
- Wang, B.; Zhang, C.; Jia, Q.; Liu, X.; Yang, G. Robust Continuous Sliding Mode Control for Manipulator PMSM Trajectory Tracking System Under Time-Varying Uncertain Disturbances. IEEE Access 2020, 8, 196618–196632. [Google Scholar] [CrossRef]
- Muñoz-Vázquez, A.J.; Sánchez-Torres, J.D.; Jiménez-Rodríguez, E.; Loukianov, A.G. Predefined-Time Robust Stabilization of Robotic Manipulators. IEEE ASME Trans. Mechatron. 2019, 24, 1033–1040. [Google Scholar] [CrossRef]
- Fridman, L.M. An Averaging Approach to Chattering. IEEE Trans. Autom. Control 2001, 46, 1260–1265. [Google Scholar] [CrossRef]
- Burton, J.A.; Zinober, A.S.I. Continuous Approximation of Variable Structure Control. Int. J. Syst. Sci. 1986, 17, 875–885. [Google Scholar] [CrossRef]
- Yeh, Y.-L. A Robust Noise-Free Linear Control Design for Robot Manipulator with Uncertain System Parameters. Actuators 2021, 10, 121. [Google Scholar] [CrossRef]
- Wang, H. Adaptive Control of Robot Manipulators With Uncertain Kinematics and Dynamics. IEEE Trans. Autom. Control 2017, 62, 948–954. [Google Scholar] [CrossRef]
- Liu, Y.-J.; Lu, S.; Tong, S.; Chen, X.; Chen, C.L.P.; Li, D.-J. Adaptive Control-Based Barrier Lyapunov Functions for a Class of Stochastic Nonlinear Systems with Full State Constraints. Automatica 2018, 87, 83–93. [Google Scholar] [CrossRef]
- Zhen, S.; Zhang, M.; Liu, X.; Chen, Y.-H. Model-Based Robust Control Design and Experimental Validation of Collaborative Industrial Robot System with Uncertainty. Asian J. Control 2023, 25, 1663–1674. [Google Scholar] [CrossRef]
- Arteaga-Perez, M.A.; Pliego-Jimenez, J.; Romero, J.G. Experimental Results on the Robust and Adaptive Control of Robot Manipulators without Velocity Measurements. IEEE Trans. Contr. Syst. Technol. 2020, 28, 2770–2773. [Google Scholar] [CrossRef]
- Hosseinzadeh, M.; Yazdanpanah, M.J. Performance Enhanced Model Reference Adaptive Control through Switching Non-Quadratic Lyapunov Functions. Syst. Control Lett. 2015, 76, 47–55. [Google Scholar] [CrossRef]
- Tao, G. Model Reference Adaptive Control with L1+α Tracking. Int. J. Control 1996, 64, 859–870. [Google Scholar] [CrossRef]
- Zhang, D.; Wei, B. A Review on Model Reference Adaptive Control of Robotic Manipulators. Annu. Rev. Control 2017, 43, 188–198. [Google Scholar] [CrossRef]
- Tian, G.; Duan, G. Robust Model Reference Tracking for Uncertain Second-Order Nonlinear Systems with Application to Robot Manipulator. Int. J. Robust Nonlinear Control 2023, 33, 1750–1771. [Google Scholar] [CrossRef]
- Peláez, G.; Alonso, C.; Rubio, H.; García-Prada, J.C. Performance Analysis of Input Shaped Model Reference Adaptive Control for a Single-Link Flexible Manipulator. J. Vib. Control 2023, 1–13. [Google Scholar] [CrossRef]
- Chopra, N.; Fujita, M.; Ortega, R.; Spong, M.W. Passivity-Based Control of Robots: Theory and Examples from the Literature. IEEE Control Syst. 2022, 42, 63–73. [Google Scholar] [CrossRef]
- Sadegh, N.; Horowitz, R. Stability and Robustness Analysis of a Class of Adaptive Controllers for Robotic Manipulators. Int. J. Robot. Res. 1990, 9, 74–92. [Google Scholar] [CrossRef]
- Open Source 6-Axis Collaborative Robot—Hefei Zhongke Shengu Science & Technology Development Co. Available online: https://www.vstc.cc/display.php?id=650 (accessed on 25 February 2024).
- Semi-Physical Simulation and Control Technology—Common Technology R&D Center. Available online: https://www.vstc.cc/list.php?class_id=103105101 (accessed on 25 February 2024).












| 5 | 2.07 | 9.66 | 63.09 |
| 10 | 1.28 | 6.29 | 39.63 |
| 25 | 0.62 | 4.98 | 19.25 |
| 35 | 0.44 | 5.87 | 14.38 |
| 50 | 0.40 | 27.51 | 31.86 |
| 100 | 0.88 | 50.10 | 54.62 |
| 200 | 0.93 | 53.55 | 59.05 |
| Parameter | Value |
|---|---|
| diag{25, 35, 30, 25} * | |
| diag{100, 150, 200, 200} | |
| diag{50, 50, 50, 50} | |
| diag{40, 40, 40, 40} | |
| 0.05 | |
| diag{5, 5, 5, 5, 5, 5, 5, 5} |
| Control Strategy | PID | FF | Desired Compensation | Real-Time Compensation | Novel Robust Adaptive Method |
|---|---|---|---|---|---|
| contour error (mm) | 40.5654 | 19.6670 | 7.2454 | 9.8767 | 9.5830 |
| position error of joint 1 (deg) | 0.9500 | 0.5283 | 0.0920 | 0.0900 | 0.0950 |
| position error of joint 2 (deg) | 1.4560 | 0.7269 | 0.2740 | 0.3300 | 0.2737 |
| position error of joint 3 (deg) | 2.7140 | 2.2597 | 0.4140 | 0.7050 | 0.5312 |
| position error of joint 4 (deg) | 0.7660 | 0.5183 | 0.1240 | 0.1460 | 0.1365 |
Disclaimer/Publisher’s Note: The statements, opinions and data contained in all publications are solely those of the individual author(s) and contributor(s) and not of MDPI and/or the editor(s). MDPI and/or the editor(s) disclaim responsibility for any injury to people or property resulting from any ideas, methods, instructions or products referred to in the content. |
© 2024 by the authors. Licensee MDPI, Basel, Switzerland. This article is an open access article distributed under the terms and conditions of the Creative Commons Attribution (CC BY) license (https://creativecommons.org/licenses/by/4.0/).
Share and Cite
Chen, Y.; Ding, J.; Chen, Y.; Yan, D. Nonlinear Robust Adaptive Control of Universal Manipulators Based on Desired Trajectory. Appl. Sci. 2024, 14, 2219. https://doi.org/10.3390/app14052219
Chen Y, Ding J, Chen Y, Yan D. Nonlinear Robust Adaptive Control of Universal Manipulators Based on Desired Trajectory. Applied Sciences. 2024; 14(5):2219. https://doi.org/10.3390/app14052219
Chicago/Turabian StyleChen, Yu, Jianwan Ding, Yu Chen, and Dong Yan. 2024. "Nonlinear Robust Adaptive Control of Universal Manipulators Based on Desired Trajectory" Applied Sciences 14, no. 5: 2219. https://doi.org/10.3390/app14052219
APA StyleChen, Y., Ding, J., Chen, Y., & Yan, D. (2024). Nonlinear Robust Adaptive Control of Universal Manipulators Based on Desired Trajectory. Applied Sciences, 14(5), 2219. https://doi.org/10.3390/app14052219

