Next Article in Journal
Quality Analysis of Unmanned Aerial Vehicle Images Using a Resolution Target
Previous Article in Journal
3D Ultrasound Mosaic of the Whole Shoulder: A Feasibility Study
 
 
Font Type:
Arial Georgia Verdana
Font Size:
Aa Aa Aa
Line Spacing:
Column Width:
Background:
Article

Adaptive Fuzzy Sliding Mode Control and Dynamic Modeling of Flap Wheel Polishing Force Control System

1
College of Mechanical and Electronic Engineering, Northwest A&F University, Yangling 712100, China
2
School of Mechanical Engineering, Northwestern Polytechnical University, Xi’an 712100, China
*
Author to whom correspondence should be addressed.
Appl. Sci. 2024, 14(5), 2153; https://doi.org/10.3390/app14052153
Submission received: 16 January 2024 / Revised: 27 February 2024 / Accepted: 29 February 2024 / Published: 4 March 2024

Abstract

Polishing force is one of the key process parameters in the polishing process of blisk blades, and its control accuracy will affect the surface quality and processing accuracy of the workpiece. The contact mechanism between the polishing surface and flap wheel was analyzed, and the calculation model of the polishing force and nonlinear dynamic model of the polishing force control system was established. Considering the influence of friction characteristics, parameter perturbation, and nonlinear dead zone on the control accuracy of the polishing force system, an adaptive fuzzy sliding mode controller (AFSMC) was designed. AFSMC uses a fuzzy system to adaptively approximate the nonlinear function terms in the sliding mode control law, adopts an exponential approach law in the switching control part of the sliding mode control (SMC), and designs the adaptive law for adjustable parameters in the fuzzy system based on the Lyapunov Theorem. Simulation and experimental results show that the designed AFSMC has a fast dynamic response, strong anti-interference ability, and high control accuracy, and it can reduce SMC high-frequency chatter. Polishing experiments show that compared with traditional PID, AFSMC can improve the form and position accuracy of the blade by 42% and reduce the surface roughness by 50%.

1. Introduction

Blisk is the core component for a new generation of aero-engines to achieve structural innovation and technological leapfrogging [1,2,3,4]. Currently, blisk is mainly milled using ball-end milling cutters, which inevitably results in obvious peaks and troughs on the profile surface that cannot meet the design requirements. Therefore, it is necessary to improve the surface quality through a polishing process [5,6,7,8]. The difficulty in polishing curved surfaces is maintaining stable pressure on the contact points and removing the allowance evenly. Therefore, the setting value and the control stability of the polishing pressure are very important.
The polishing pressure control system is a nonlinear pneumatic system that is susceptible to interference, which cannot be precisely controlled by the traditional PID controller. As a key process parameter, polishing pressure has attracted more and more attention from researchers, especially the exploration of its control strategies. In the literature [9], a force-position collaborative control method is proposed to construct a model between the contact force and the robot pose during the polishing operation and obtain the real-time pose of the current tool-workpiece contact state and the desired contact state deviation. According to the deviation, constant control of the normal contact force is achieved by converting the 2D preset polishing path into the 3D actual polishing path in real time. Shi and Zheng [10] established a constant polishing pressure model by controlling the polishing force according to the change of aspheric surface curvature and planned the polishing parameters of the model. Then, a dynamic model of the polishing system was established, and a PID control algorithm was designed to realize the tracking of the actual torque by the torque sensor. In the literature [11], an integrated polishing contact force control method is proposed, which combines feedforward of the desired force and adaptive variable impedance control. The input step signal is smoothed by a nonlinear tracking differentiator to reduce overshoot. A tracking error model and an adaptive law of damping parameters are established to compensate for disturbances. An extended state observer based on the robot dynamic model is developed to estimate the contact force in real time, and a new and efficient adaptive filter combining insights of the notch filter with the tracking differentiator is designed to relieve the strong vibration disturbance of torque signals from the eccentrically rotating polisher [12]. In order to solve the problem of how to maintain the stability of the actuator contact force in the robot automatic polishing system, Ding and Zhao [13] proposed a robot impedance control parameter learning algorithm based on reinforcement learning and obtained the optimal impedance parameters through numerical simulation methods. When the external environment changes, traditional impedance control has poor trajectory tracking capabilities and unstable control. In order to solve the problem of precision control in the polishing process of robot blades, Liu and Zhang [14] proposed a fuzzy variable impedance control method that combines impedance control and fuzzy theory. In the literature [15], pneumatic end effectors are installed on industrial robots to perform continuous contact operations, which has the advantages of a large pneumatic driving force, fast dynamic response, and high control accuracy. The macro and micro motions control model of the robot is established by using the impedance control method, which is based on the contact model of the robot system and the environment. Under impact conditions, the active compliance control method is used to design the position tracking control method and the adaptive force control strategy [16]. In the literature [17], a magnetorheological (MR)-based polishing tool and vibration control method are presented for improving the stability and reducing the vibration during machining. A polishing end-effector with an MR-based damper and a magnetic spring mechanism is designed, the damping and stiffness model is built, the vibration dynamic model is established, and the vibration characteristics are theoretically analyzed. Fan, Hong and Zhao et al. [18] described a position/force decoupled polishing system, which consists of a tool path control subsystem and a pneumatic servo-based polishing force control subsystem. A dynamic model of the pneumatic servo system was established based on the system output, and an integral sliding mode controller consisting of switching control and equivalent control was designed based on the dynamic model. Nonlinear control systems have dead zone effects, friction characteristics, and relay characteristics. The traditional PID control strategy makes it difficult to achieve the expected control effect [19,20,21,22]. The sliding mode control algorithm has a fast response speed and strong robustness and does not require online system identification, which has good control effects on nonlinear systems. However, when the state trajectory reaches the sliding mode surface, it is difficult to slide strictly along the sliding mode surface to the equilibrium point. Instead, it passes back and forth on both sides of the sliding mode surface, resulting in high-frequency chattering [23,24,25,26,27]. Saturation functions, dynamic sliding mode, filtering, and switching gain reduction can effectively reduce the high-frequency chattering of sliding mode control, which increases the steady-state control error and increases the difficulty of controller design [28,29,30].
In recent years, many researchers have applied intelligent control technology to practical projects and achieved good control effects. Literature [31] is the first to consider the tank bidirectional stabilization system with a fully electric actuator as a fuzzy mechanical system with inequality constraints and conduct an optimization design after proposing an error-controllable control strategy. In the Literature [32], a dynamic-free adaptive sliding mode control (adaptive-SMC) methodology for the synchronization of a specific class of chaotic delayed fractional-order neural network systems in the presence of input saturation is proposed. Literature [33] addresses the attitude-tracking control problem of multiple rigid bodies in the presence of completely unknown inertial information. In order to reduce the impact of unknown parameters on the control system, a neural network algorithm is used to select unknown nonlinear terms from the controller model. In the Literature [34], under the framework of stochastic Lyapunov stability, sufficient conditions are constructed to ensure the mean-square stability of the closed-loop networked MJSs, and the sliding region is reached around the specified sliding surface. Furthermore, a sliding mode control based on a genetic algorithm is proposed by optimizing the objective function to reduce the convergence area around the sliding mode surface.
In this article, a polishing equipment is introduced, the polishing process is theoretically analyzed, and a calculation model of polishing pressure is established. AFSMC is designed to replace the traditional PID controller. For time-varying and nonlinear polishing force control systems, traditional PID algorithms cannot effectively, stably, and accurately control them. SMC relies on accurate system mathematical models and parameter adjustments. If the model has errors or cannot be accurately measured, the control effect will be poor. When the state trajectory reaches the sliding mode surface, it is difficult to slide strictly along the sliding mode surface to the equilibrium point. Instead, it crosses back and forth on both sides of the sliding mode surface, causing high-frequency chattering.
According to these issues, we try to apply AFSMC to the polishing force control system.
AFSMC can not only quickly respond to changes in polishing force and reduce high-frequency chattering, but it can also enable the set value to quickly reach a steady state. Simulation and experimental results show that AFSMC has stronger robustness and better control accuracy. Polishing experiments show that higher surface processing quality can be achieved.

2. Polishing Equipment Structure

In order to conduct flap wheel polishing process experiments, we developed a five-axis CNC polishing experimental platform. The main structure of the polishing machine includes a bed, column, spindle, auxiliary components, and five servo motors, as shown in Figure 1. The control system of the polishing machine mainly consists of the servo control system, CNC system, and industrial computer. The CNC system is used to calculate the relative motion trajectory of the flap wheel and the blades, the servo control system is used to achieve precise control of the five motion axes, and the industrial computer is used to control the parameters of the flap wheel. The schematic diagram of the machine tool control process is shown in Figure 2. The parameters of the CNC polishing machine tool are shown in Table 1.

3. Polishing Pressure Calculation Model

The contact between the workpiece and a single abrasive particle of the flap wheel can be regarded as the contact between the infinite plane and a single abrasive particle. The elastic contact deformation is shown in Figure 3. According to Hertz elastic contact theory [35], the elastic deformation can be calculated using Equation (1),
δ mgt = 9 F mgt 2 16 R m E mgt 2 3 E mgt = E mt E gt E gt 1 ν mt 2 + E mt 1 ν gt 2 r mgt = 3 F mgt 2 R m 4 E mgt 3 F mgt = 4 3 E mgt R m δ mgt 3
where F mgt is the force between single abrasive particle and workpiece, R m is the abrasive radius, E mgt is the equivalent elastic modulus of abrasive particle and workpiece, δ mgt is the elastic deformation of abrasive particles and workpiece, E mt is the elastic modulus of abrasive particle, ν mt is the Poisson’s ratio of abrasive particle, r mgt is the radius of contact circle, and ν gt is the Poisson’s ratio of workpiece.
Through mechanical analysis of the abrasive particle, the elastic deformation of the abrasive particle and the substrate can be obtained, as shown in Equation (2),
δ mbt = 9 F mgt 2 16 R m E mbt 2 3 E mbt = E mt E bt E bt 1 ν mt 2 + E mt 1 ν bt 2
where E mbt is the equivalent elastic modulus of flap wheel substrate and abrasive particle, E bt is the elastic modulus of flap wheel substrate, ν bt is the Poisson’s ratio of flap wheel substrate, and δ mbt is the elastic deformation of the abrasive particle and substrate.
During the elastic-plastic deformation stage between the abrasive particle and the workpiece, the polishing pressure and deformation between the abrasive and the workpiece can be expressed as follows:
δ o = δ mgmax = π 2 H bw 2 R m 16 E mgt 2 r mgt = R m δ mgt 1 / 2 A mgt = π R m δ mgt F pmgt = F mgt A mgt = δ mgt / R m F pmg = H bw / 3 δ mg = δ mgt
where δ o is the critical deformation, F pmgt is the average polishing pressure between the abrasive particle and workpiece, A mgt is the contact area between the abrasive particle and workpiece, and H bw is the Brinell hardness of the workpiece material.
During the complete plastic contact deformation stage, the polishing pressure and deformation between the abrasive particle and the workpiece can be expressed as follows:
F mgs = A mgs H bw = 2 π R m H bw δ mgs δ h = 110 δ 0 δ mg = δ mgs
where δ h is the critical deformation for complete plastic deformation, δ mgs is the deformation between the abrasive particle and workpiece caused by the plastic deformation, and F mgs is the force between the abrasive particle and workpiece in the complete plastic deformation stage.
When δ 0 δ mg < δ h , the polishing pressure and deformation between the abrasive particle and the workpiece can be expressed as follows:
F ts = F tsp A ts = π R m H bw δ mg 1 ( 1 λ mg ) ln δ h ln δ mg ln δ h ln δ 0 A ts = π R m δ mg 1 + ψ ( δ mg ) ψ ( δ mg ) = 2 δ mg δ 0 δ h δ 0 3 + 3 δ mg δ 0 δ h δ 0 3 F tsp = H bw H bw ( 1 λ mg ) ln δ h ln δ mg ln δ h ln δ 0 δ mg = δ mgt + δ mgs
where F tsp is the average polishing pressure during the elastic-plastic contact deformation stage, A ts is the contact area between the abrasive and workpiece, and λ mg is the average polishing pressure coefficient between the abrasive and workpiece.
The force between the abrasive particle and the workpiece can be expressed by Equation (6),
F mg = F mgs + F ts + F mgt
where F mg is the force between the abrasive particle and workpiece, F mgt is the total elastic force between the abrasive particle and workpiece, F ts is the total elastic-plastic force between the abrasive particle and workpiece, and F mgs is the total plastic force between the abrasive particle and workpiece.
The elastic contact deformation between the flap wheel substrate and the workpiece is shown in Figure 4. The total force between the flap wheel and the workpiece can be expressed by Equation (7),
F p = F bg + F mg
where F p is the total force between the flap wheel and workpiece, and F bg is the elastic force between the flap wheel substrate and workpiece.
According to the Hertz elastic contact theory, the elastic force and deformation between the flap wheel substrate and the workpiece can be expressed by Equation (8),
F bg = 4 3 E bg R bg δ bg 3 1 E mbt = 1 ν mt 2 E mt + 1 ν bt 2 E bt 1 R bg = 1 R b ± 1 R jq
where E mbt is the equivalent elastic modulus of the flap wheel and workpiece, R bg is the equivalent radius of the flap wheel and workpiece, R b is flap wheel radius, and R jq is the curvature radius of the workpiece at the contact point.
The total contact stiffness between the flap wheel and the workpiece can be expressed by Equation (9),
k z = k bg + k mb k mg k mb + k mg
where k bg is the contact stiffness between the substrate and workpiece, k z is the total contact stiffness between the flap wheel and workpiece, k mb is the contact stiffness between the abrasive and substrate, and k mg is the contact stiffness between the abrasive and workpiece.
The total relative displacement between the flap wheel and the workpiece can be expressed by Equation (10),
δ z = F p k z = F bg F p δ bg + F mg F p 1 δ mb + δ bg 1 + δ mg 1 F mg F p = λ t τ t = 1 λ t δ z = τ t δ bg + 1 τ t δ mb + δ bg 1 + δ mg 1
The calculation model of polishing force can be expressed by Equation (11).
F p = 4 δ z E bg 3 τ t 3 + 1 τ t 3 3 2 δ z R bg
According to Equation (11), we can know that the polishing force changes as the workpiece curvature changes, so the application of the polishing force is time-varying. Since the polishing force control system is a complex, nonlinear, time-varying system, accurate parameters of the system dynamics model cannot be obtained, and the traditional PID control algorithm makes it difficult to achieve precise control. In this paper, the AFSMC proposed can still have strong robustness, good dynamic characteristics, and high control accuracy even when the system has parameter fluctuations and external interference.

4. Nonlinear Dynamic Model of Polishing Pressure Control System

The polishing force control system is shown in Figure 5, which is mainly composed of an air compressor, an electromagnetic reversing valve, an industrial computer (IPC), a pressure sensor, a cylinder, a proportional valve, a D/A conversion device, a power amplifier, and a servo driver. The electric spindle drives the polishing flap wheel to rotate at high speed, and the cylinder is used to achieve micro-displacement of the electric spindle. The sensor is used to detect the polishing force value and feed it back to the IPC. The detected values are processed by the industrial computer, which is used to control the gas flow of the proportional valve to control the output force of the cylinder.
The dynamic model of the proportional valve is regarded as a first-order system, and the neutral dead zone of the proportional valve is compensated to improve the control system performance and reduce the complexity of the system model, as shown in Equation (12),
S ˙ v = k 1 S v + k f u i u i U U d ( intake ) U h U ( exhaust )
where k 1 and k f are the undetermined coefficients, S v is the effective sectional area of the proportional valve spool, U is the actual output voltage, and U h and U d are the upper and lower limits of the dead voltage.
The gas passing through the proportional valve port can be regarded as an isentropic flow of frictionless ideal gas. The flow equation of the proportional valve port can be written as follows:
M ˙ q T w = δ f S v P a τ s ( P a , P b )
where δ f is the flow coefficient, τ s ( P a , P b ) is the flow function, T w is the cylinder operating temperature, M q is the total gas mass, and P a and P b are the left and right chamber pressures of the cylinder, respectively.
The flow function can be derived as follows:
τ s ( P a , P b ) = ξ 1 , P b P a ε y   ξ 2 P b P a 2 / k P b P a k + 1 / k ,   P b P a > ε y   ξ 1 =   k R i ( 2 k + 1 ) k + 1 / k 1 ξ 2 = 2 k R i k 1 ,   ε y   =   ( 2 k + 1 ) k / k 1
where k is the gas specific heat ratio, ε y is the critical pressure ratio, and R i is the ideal gas constant.
When the gas leakage flow and cylinder pressure reach a steady state in the cylinder, the model equation can be written as follows:
M ˙ o = ρ 1 P 3 + ρ 2 P ˙ 3 = R i T w V t ( M ˙ i M ˙ o ) V ˙ t P 3 V t V t = V w + S q l x ,   0 l x L T  
where ρ 1 and ρ 2 are the undetermined coefficients, V is the total volume of the cylinder chamber, l x and L T are the piston displacement and the total stroke, S q is the effective cross-sectional area of cylinder, V w is the cylinder invalid volume, P 3 is the cylinder internal pressure, and M i and M o are the inflow and outflow gas masses of the cylinder, respectively.
According to the above derivation, the polishing force control system is a second-order system and can be written as follows:
S ˙ v = k 1 S v + k f u p ˙ 3 = R i T w V w + S q l x   δ f S v P 1 τ ( P 1 , P 2 ) T w ρ 1 P 3 M o p 3 S q l ˙ x V w + S q l x
Select y = P 3 as the system output variable and X = [ x 1 , x 2 ] T = [ p 3 , p ˙ 3 ] T as the State variables. Equation (16) can be written as a Standard State Equation as shown in Equation (17),
x ˙ 1 = x 2 x ˙ 2 = a 1 x 1 a 2 x 1 + g u + d y = x 1
a 1 = V t 2 S q V t l ¨ x R i T w ρ 1 l ˙ x S q l ˙ x S q l x 2 δ f R i l ˙ x S out τ s P 3 , P 1 T w a 2 = V t 1 δ f R i T w S out τ s P 3 , P 1 + S out P 3 τ s 1 , 0 P 3 , P 1 P s S in τ s 1 , 0 P s , P 1 + S q l ˙ x + R i T w ρ 1 g = V t 1 δ f R i T w ρ 1 P s τ s P s , P 3 P 3 τ s P 3 , P 1 d = d 0 + V t 2 δ f R i T w S out k a V t P 3 τ s P 3 , P 1 k a V t + S q l ˙ x + P s S in τ s P s , P 3 + V t 2 R i T w S q l ˙ x ρ 2
where P s is air pressure, and P 1 is atmospheric pressure.
τ s ( 0 , 1 ) ( P a , P b ) = 0                                                         i f P b P a 0.528 ξ 2 2 P a P b P a 1 / k k + 1 P b 2 k P a P b 1 P b P a ( k 1 ) / k                                   i f P b P a > 0.528 S v = S in , S out = 0 , P a = P s , P b = P 3                               ( intake ) S v = S out , S in = 0 , P a = P s , P b = P 1                         ( exhaust )                                                        

5. AFSMC Design

5.1. Traditional SMC

The N-th order SISO uncertain nonlinear control system can be written as follows:
x ( n ) = f ( x , t ) + g ( x , t ) u x = [ x 1   x 2 x n ] T = [ x       x ˙ x n 1 ] T     R n
where u R is the control input, x R is the system output, x is the system measurable state vector, and g ( x , t ) and f ( x , t ) are the unknown bounded nonlinear continuous functions.
Assume g ( x , t ) > 0 , based on the uncertainty of the system model and external disturbances, the control law is designed so that the state vector tracks the desired state trajectory, as shown in Equation (21).
x d = x d     x ˙ d     x d ( n 1 ) T x d M               i f         M > 0
Defining A as tracking error, the tracking error vector can be written as follows:
e = x x d = e   e ˙     e ( n 1 ) T       R n
In the state space of error, the sliding mode surface is defined as follows:
s = c 1 e + c 2 e ˙     c n 1 e n 2 + e n 1 = c T e   c = c 1 + c 2   c n 1 T h ( λ ) = λ n 1 + c n 1 λ n 2 + + c 1
where c R n is the Hurwitz polynomial coefficient vector, and λ is the Laplace operator.
If e 0 = 0 , x = x d , t 0 , the error state can remain sliding on the sliding surface, and equation (24) can be derived.
1 2 d s 2 d t η s η > 0
If f ( x , t   ) and g ( x , t ) are known, the controllable law equation can be expressed by Equation (25),
u = u eq u sw u eq = 1 g ( x , t ) i = 1 n 1 c i e ( i ) f ( x , t ) + x d ( n ) u sw = 1 g ( x , t ) k   sgn   s k > 0
where k is the switching gain, u sw is the switching control, and u eq is the equivalent control.
Adopting appropriate reaching laws can improve the dynamic characteristics of the sliding mode reaching stage. By using the constant velocity reaching law, when the value of k is large, the motion point can reach the sliding surface quickly, but it will cause significant chattering. When the value of k is very small, the moving point reaches the sliding surface slowly, and the dynamic performance of the system is also poor. The exponential reaching law can be expressed by Equation (26),
s ˙ = k   sgn   s τ s
where τ is positive constants.
If Equation (20) is a second-order nonlinear system, then,
x ¨ = f ( x , t )     + g ( x , t ) u
Sliding mode surface equation can be written as follows:
s = c 1 e + e ˙
Control law can be expressed as follows:
u = R f ( x , t ) g ( x , t ) ς ( x , t ) = x ¨ d c 1 e ˙ R = ς ( x , t ) k sgn s τ s
Theorem 1.
According to (27)–(29), nonlinear systems can reach the sliding mode surface in finite time.
Prove Lyapunov function,
V = 1 2 s 2
Then
V ˙ = s s ˙ = s e ¨ + c 1 e = s x ¨ x ¨ d + c 1 e ˙                   = s f ( x , t ) + g ( x , t ) u x ¨ d + c 1 e ˙
According to (29) and (31), Equation (32) can be obtained as follows:
V ˙ = s k sgn s τ s k s 0
Equation (32) shows that  s  can reach the sliding mode state in a limited time.

5.2. Fuzzy System

The fuzzy rule base consists of a set of If-then inference rules, and the lth fuzzy rule can be written as follows:
R l : IF   x 1   is   A 1 l     and and   x n   is   A n l ,   THEN   y   is   B l
where n is the number of fuzzy rules, x is the fuzzy system input, y is the fuzzy system output, and A 1 l and B l are fuzzy sets of input and output domains, respectively.
According to the center average defuzzifier, product inference engine, and singleton fuzzifier, the output of the fuzzy system can be written as follows:
y x = l = 1 m y l i = 1 n μ A i l x i l = 1 m i = 1 n μ A i l x i
where μ A i l x i is the membership function value, and y l is the clarity value obtained after defuzzification.
Equation (34) can be expressed as follows:
y x = θ T ξ x = ξ x T θ θ = y 1   y 2 y m T ξ x = ξ 1 x   ξ 2 x ξ m x T
The fuzzy basis function can be written as Equation (36).
ξ l x = i = 1 n μ A i l x i l = 1 m i = 1 n μ A i l x i

5.3. Adaptive Fuzzy Sliding Mode Controller

In the actual control process, since g ( x , t ) and f ( x , t ) are unknown, Equation (10) is difficult to implement. Using the estimated terms g ^ ( x θ g ) and f ^ ( x θ f ) to approximate g ( x , t ) and f ( x , t ) , Equation (10) can be expressed as follows:
u = R f ^ ( x θ f ) g ^ ( x θ g ) f ^ ( x θ f ) = θ f T ξ ( x ) g ^ ( x θ g ) = θ g T ξ ( x )
.
Theorem 2.
For the nonlinear system (27), if the parameter vectors θ f and θ g are adjusted according to Equation (38), the closed-loop system signal is bounded and the tracking error asymptotically converges to zero.
θ ˙ f = r 1 s ξ ( x ) θ ˙ g = r 1 s ξ ( x ) u
The optimal parameters of the fuzzy system can be defined as follows:
θ f = arg min θ f   Ω f sup x   R n f ^ ( x θ f ) f ^ ( x , t )   θ g = arg min θ g     Ω g sup x   R n f ^ ( x θ g ) f ^ ( x , t )
where Ω f and Ω g are the constraint sets of θ f and θ g , respectively.
The minimum approximation error can be defined as follows:
ω = f ( x , t ) f ^ ( x   θ f * ) + ( g ( x , t ) g ^ ( x   θ g * ) ) u s ˙ = c 1 e ˙ + e ¨ = c 1 e ˙ + x ¨ x ¨ d = f ( x , t ) + g ( x , t ) u ς ( x , t )
Substituting Equation (37) into Equation (40), Equation (41) can be obtained.
s ˙ = f ^ ( x   θ f * ) f ( x , t ) + ( g ^ ( x   θ g * ) g ^ ( x , t ) ) u k sgn s τ s + ω = f ( x , t ) + [ g ( x , t ) + g ^ ( x   θ g * ) ] u + g ^ ( x   θ g * ) [ g ^ 1 ( x   θ g * ) ( ( f ^ ( x   θ f * ) + R ) ] ς ( x , t ) = [ f ( x , t ) f ^ ( x   θ f * ) ] + [ g ( x , t ) + g ^ ( x   θ g * ) ] u + R ς ( x , t ) = [ f ( x , t ) f ^ ( x   θ f * ) ] + [ g ( x , t ) + g ^ ( x   θ g * ) ] u k sgn s τ s
According to Equation (40) and Equation (41), Equation (42) can be obtained,
s ˙ = f ^ ( x   θ f * ) f ( x , t ) + ( g ^ ( x   θ g * ) g ^ ( x , t ) ) u k sgn s τ s + ω = φ f T ξ ( x ) + φ f T ξ ( x ) u k sgn s τ s + ω
where φ f = θ f θ f and φ g = θ g θ g .
Define the Lyapunov function,
V = 1 2 ( s 2 + 1 r 1 φ f T φ f + 1 r 2 φ g T φ g )
then
V ˙ = s s ˙ + 1 r 1 φ f T φ ˙ f + 1 r 2 φ g T φ ˙ g = s φ f T ξ ( x ) + φ f T ξ ( x ) u k sgn s τ s + ω + 1 r 1 φ f T φ ˙ f + 1 r 2 φ g T φ ˙ g = s φ f T ξ ( x ) + 1 r 1 φ f T φ ˙ f + s φ f T ξ ( x ) u + 1 r 2 φ g T φ ˙ g k s τ s + ω = 1 r 1 φ f T ( r 1 s ξ ( x ) + φ ˙ f ) + 1 r 2 φ g T r 2 s ξ ( x ) + φ ˙ g k s τ s + ω
where φ ˙ f = θ ˙ f       , φ ˙ g = θ ˙ g       .
Substituting Equation (38) into Equation (44), Equation (45) can be obtained.
V ˙ = k s τ s + s ω k s + s ω
The adaptive fuzzy system can make the approximation error extremely small, then,
V ˙ 0
Suppose s η s , Equation (26) can be written as follows:
V ˙ s ω s k η s ω s k
By integrating Equation (47), Equation (48) can be obtained.
0 t s ( τ ) d τ 1 k V ( 0 ) + V ( t ) + η s k 0 t ω d τ
If ω L 1 , then s L 1 , s L and   s ˙ L   . According to Barbalat‘s lemma, if t   , then s t         and         e t     .

6. Simulation Analysis and Experimental Verification

MATLAB and C++ is used to compile the simulation program, which is based on PID, SMC(sgn), SMC(sat), AFSMC, and dynamic model of pressure control system. The polishing force tracking control signal and the step signal are set as r sin ( t ) = 60 sin ( π t ) and r st ( t ) = 60 , respectively. The polishing experiment uses Advantech IPC-610L as the controller, and the control program is written based on C language, including the sampling time sequence, the A/D program, and the pressure sensor measurement program.
PCL818L, PCL730, and PCL726D/A are produced by Advantech Technology Corporation (Kunshan, China), which are used for data acquisition, conversion, and output. The collected data are analyzed, processed, and displayed by the LabWindows/CVI platform. After feedback, the IPC sends out command signals to control the pneumatic servo system and finally realizes the real-time adjustment of the polishing force.
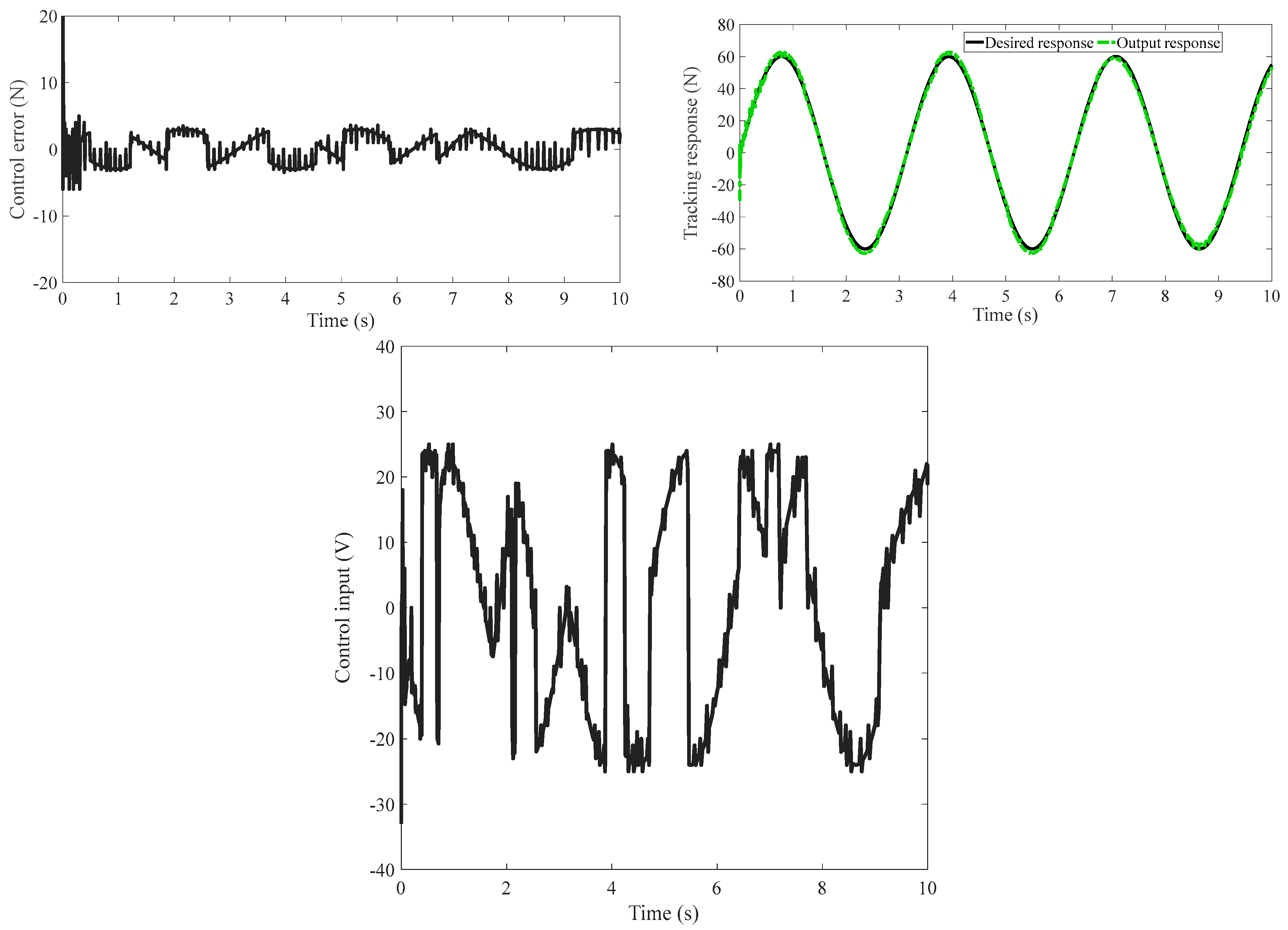
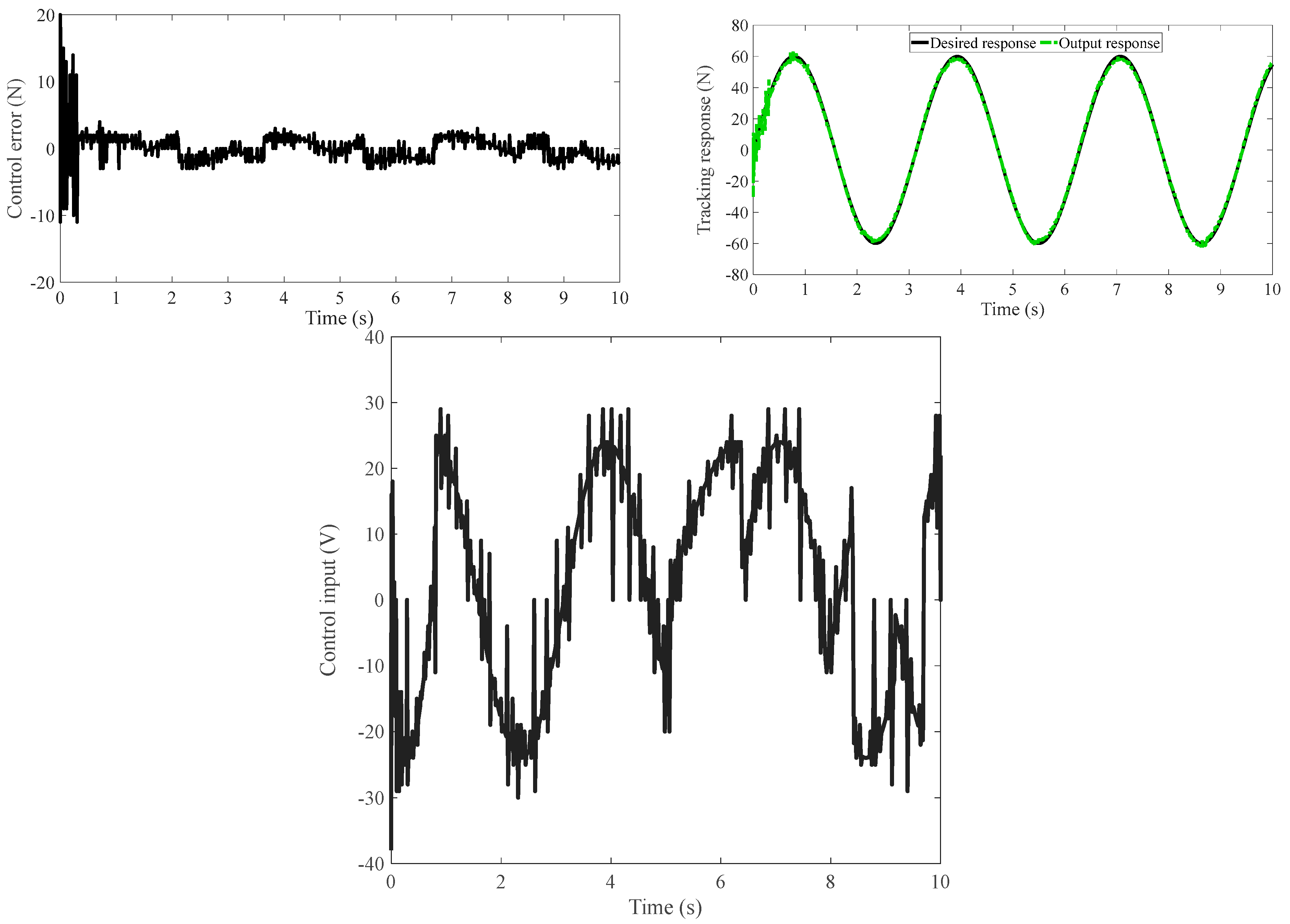
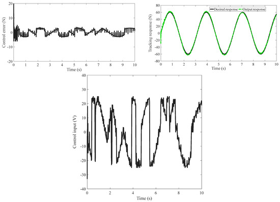
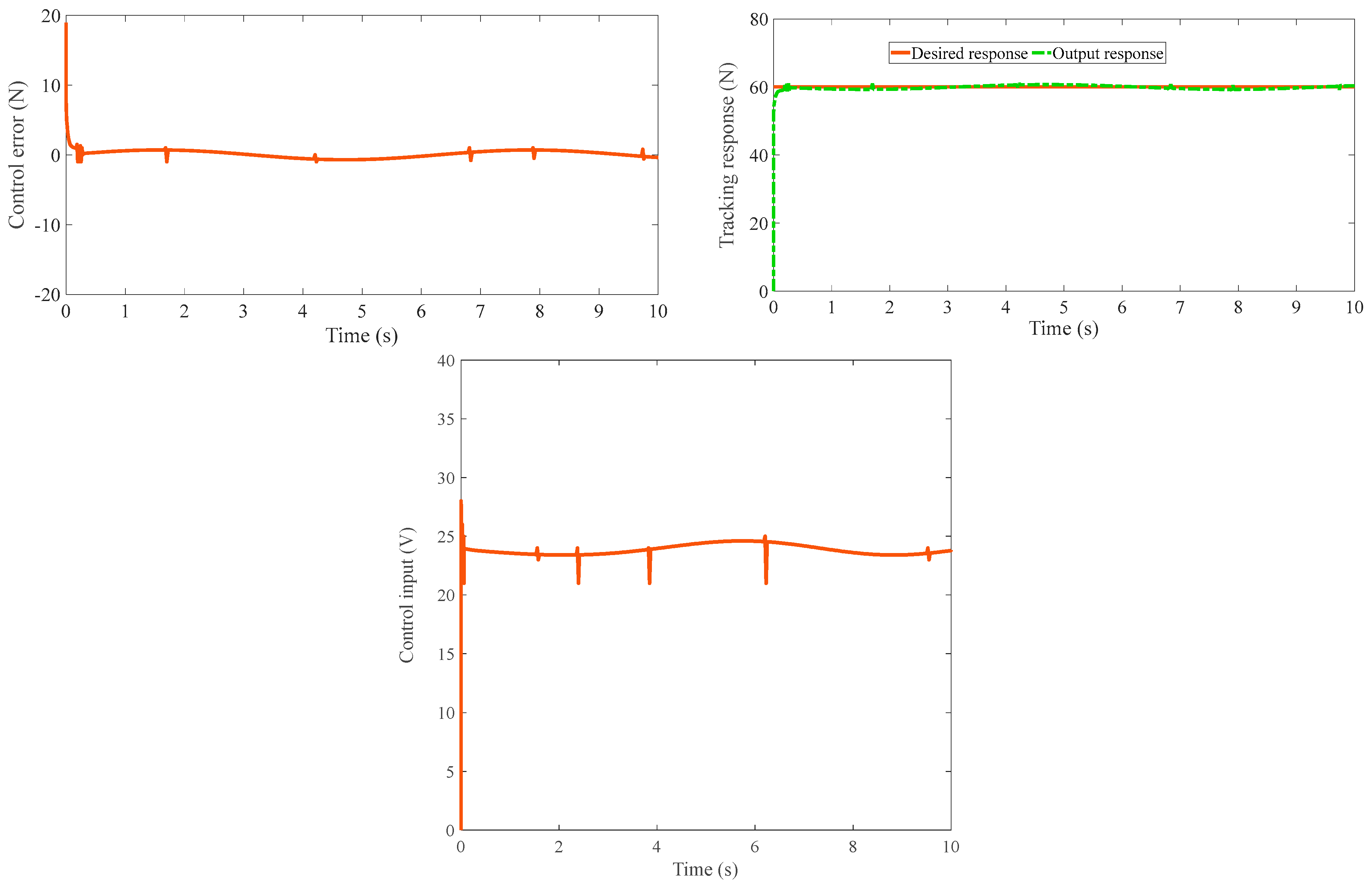
The simulation results of the step response are shown in Figure 6, Figure 7, Figure 8 and Figure 9, and the simulation results of the sine response are shown in Figure 10, Figure 11, Figure 12 and Figure 13. The simulation results of the step response and sine response of PID are shown in Figure 6 and Figure 10, and the average value of control error is 5.30N. Compared with the other three control algorithms, the PID algorithm has the largest control error. The simulation results of the step response and sine response of the SMC(sgn) are shown in Figure 7 and Figure 11, with an average control error of 2.045N. Compared with the PID control algorithm, the control error of the SMC(sgn) algorithm is obviously reduced. However, from the aspect of control input, SMC(sgn) can easily generate high-frequency chattering, which not only affects the accuracy of control but also increases energy consumption, causes system oscillation or instability, and damages controller components. SMC(sat) (s) is proposed to reduce high-frequency chattering caused by SMC(sgn). Figure 8 and Figure 12 show the simulation results of the step response and sine response of the SMC(sat), with an average control error of 3.125N. SMC(sat) effectively reduces high-frequency chattering, but the average control error does increase. Figure 9 and Figure 13 show the simulation results of the step response and sine response of the AFSMC, with an average control error of 1.165N. Compared with PID, SMC(sgn), and SMC(sat), the control errors of AFSMC are reduced by 78.0%, 43.0%, and 62.7%, respectively, and the high-frequency chattering of the system is also significantly reduced.
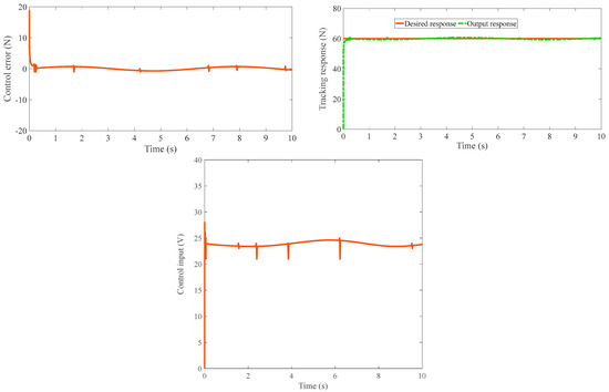
Experimental results of the step response are shown in Figure 14, Figure 15, Figure 16 and Figure 17, and experimental results of the sine response are shown in Figure 18, Figure 19, Figure 20 and Figure 21. Figure 14 and Figure 18 show the experimental results of the step response and sine response of the PID, with an average control error of 5.545N. Figure 15 and Figure 19 show the experimental results of the step response and sine response of the SMC(sgn), with an average control error of 2.245N. Figure 16 and Figure 20 show the experimental results of the step response and sine response of the SMC(sat), with an average control error of 3.30N. Figure 17 and Figure 21 show the experimental results of the step response and sine response of the AFSMC, with an average control error of 1.325N. Compared with PID, SMC(sgn), and SMC(sat), the control errors of AFSMC are reduced by 76.1%, 40.9%, and 65.9%, respectively.
After analyzing the experimental results of the step response and sine response, it can be found that the experimental results and simulation results of different control algorithms have the same change trend. According to the change of control error and high-frequency chattering in Table 2, it can be seen that AFSMC has the best control effect.
In order to further verify the feasibility and effectiveness of AFSMC algorithm in the actual polishing process, different control algorithms are used for polishing experiments, and the blade surface polishing quality is observed. The blade material is TC4, and the length, width, and thickness are 80 mm, 30 mm, and 1 mm, respectively. The abrasive of the flap wheel is SiC, the granularity is P600, and the initial diameter is 16 mm. Due to the small polishing force, the dry polishing method was used in this experiment. The surface roughness of the blade before polishing is 0.821 μm~1.214 μm. The flap wheel polishing experiment of the blade is shown in Figure 22.
Figure 23a shows the Infinite Focus G4 automatic zoom 3D surface measuring instrument for blade surface roughness measurement [36,37], which can perfectly combine the topography measurement and roughness measurement in the same system, with the highest vertical resolution of 10 nm. During the roughness measurement, 5 points are randomly measured on the blade surface, and the average value is calculated as the final measurement result. A microanalysis of the blade surface is shown in Figure 24.
The 3D coordinate measuring machine is used to measure the form and position accuracy error of the blade as shown in Figure 23b. The polished blade is divided into 5 sections to measure the error of the blade profile, and the test results are obtained after scanning and data processing, as shown in Figure 25 [38,39]. Three measuring points are sampled at different sections of the blade basin and back, and the normal error of the measuring points is used to represent the form and position accuracy error of the polished blade.
The form and position accuracy errors and surface roughness of the polishing experiments are shown in Figure 26. The experimental results show that the AFSMC algorithm can effectively reduce the surface roughness by 50% and improve the form and position accuracy by 42%, which can also ensure the precise control of polishing force.

7. Conclusions

This paper introduces the composition of the polishing equipment, analyzes the action mechanism of the flap wheel and the polishing surface, and establishes a calculation model of the polishing force.
In the actual machining process, the polishing force should change with the change of the polishing trajectory, so there are higher requirements for the control stability and sensitivity of the polishing force controller. The designed AFSMC uses a fuzzy system to adaptively approximate the nonlinear function terms in the sliding mode control law and uses an exponential approach law in switching control. This ensures that the system state can quickly approach the sliding mode surface and reduces the high frequency chatting of the control input.
The simulation and experimental results show that AFSMC has smaller steady-state error and stronger interference suppression capability compared with SMC (sat), SMC (sgn), and PID. AFSMC can also effectively ensure the polishing quality of the blade surface, reduce the surface roughness, and improve the form and position accuracy.

Author Contributions

Software, T.Z.; Writing—original draft, Q.H.; Writing—review & editing, J.Q. All authors have read and agreed to the published version of the manuscript.

Funding

This study was supported by the National Natural Science Foundation of China (Grant No. 52105483); the Major Special Projects of Aero-engine and Gas Turbine (2017-VII-0002-0095); and the Fundamental Research Funds for the Central Universities of China (Grant No. 2452022094).

Institutional Review Board Statement

Not applicable.

Informed Consent Statement

Not applicable.

Data Availability Statement

The data presented in this study are available in the article.

Conflicts of Interest

The authors declare no conflict of interest.

References

  1. Mogullapally, V.; Kumar, S.; Rajeevalochanam, B.A.; Rao, R. A study on design optimization for compressor blisks. Int. J. Turbo Jet. Eng. 2022, 40, 143–153. [Google Scholar] [CrossRef]
  2. Dev, S.; Ramkumar, K.D.; Arivazhagan, N.; Rajendran, R. Investigations on the microstructure and mechanical properties of dissimilar welds of inconel 718 and sulphur rich martensitic stainless steel, AISI 416. J. Manuf. Process 2018, 32, 685–698. [Google Scholar] [CrossRef]
  3. McAndrew, A.R.; Colegrove, P.A.; Bühr, C.; Flipo, B.C.; Vairis, A. A literature review of Ti-6Al-4V linear friction welding. Prog. Mater. Sci. 2018, 92, 225–257. [Google Scholar] [CrossRef]
  4. Wang, X.D.; Zhang, Y. Research on blade grouping method for array machining. Proc. Inst. Mech. Eng. Part B J. Eng. Manuf. 2021, 235, 1437–1446. [Google Scholar]
  5. Alcaraz, J.Y.; Zhang, J.; Nagalingam, A.P.; Gopasetty, S.K.; Toh, B.L.; Gopinath, A.; Ahluwalia, K.; Ang, M.G.W.; Yeo, S. Numerical modeling of residual stresses during vibratory peening of a 3-stage Blisk—a multi-scale discrete element and finite element approach. J. Mater. Process. Tech. 2021, 299, 117383. [Google Scholar] [CrossRef]
  6. Yuvaraj, H.K.; Gopasetty, S.K.; Nagalingam, A.P.; Sheng, B.G.R.; Gopinath, A.; Yeo, S.H. Effect of In-trough and Out-of-trough fixturing in vibro-polishing. Proc. Inst. Mech. Eng. Part B J. Eng. Manuf. 2023. [Google Scholar] [CrossRef]
  7. Chen, Z.; Shi, Y.Y.; Lin, X.J. Evaluation and improvement of material removal rate with good surface quality in TC4 blisk blade polishing process. J. Adv. Mech. Des. Syst. 2018, 12. [Google Scholar] [CrossRef]
  8. Zhang, J.-Y.; Yao, C.-F.; Cui, M.-C.; Tan, L.; Sun, Y.-Q. Three-dimensional modeling and reconstructive change of residual stress during machining process of milling, polishing, heat treatment, vibratory finishing, and shot peening of fan blade. Adv. Manuf. 2021, 9, 430–445. [Google Scholar] [CrossRef]
  9. Li, J.; Guan, Y.; Chen, H.; Wang, B.; Zhang, T. Robotic polishing of unknown-model workpieces with constant normal contact force control. IEEE-Asme T. Mech. 2023, 28, 1093–1103. [Google Scholar] [CrossRef]
  10. Shi, Y.; Zheng, D.; Hu, L.; Wang, Y.; Wang, L. NC polishing of aspheric surfaces under control of constant pressure using a magnetorheological torque servo. Int. J. Adv. Manuf. Tech. 2012, 58, 1061–1073. [Google Scholar] [CrossRef]
  11. Xie, F.; Chong, Z.; Liu, X.-J.; Zhao, H.; Wang, J. Precise and smooth contact force control for a hybrid mobile robot used in polishing. Robot. Cim.-Int. Manuf. 2023, 83, 102573. [Google Scholar] [CrossRef]
  12. Dong, Y.; Ren, T.; Hu, K.; Wu, D.; Chen, K. Contact force detection and control for robotic polishing based on joint torque sensors. Int. J. Adv. Manuf. Tech. 2020, 107, 2745–2756. [Google Scholar] [CrossRef]
  13. Ding, Y.F.; Zhao, J.C.; Min, X.P. Impedance control and parameter optimization of surface polishing robot based on reinforcement learning. Proc. Inst. Mech. Eng. Part B J. Eng. Manuf. 2022, 237, 216–228. [Google Scholar] [CrossRef]
  14. Liu, J.; Zhang, J.; Li, J.; Yang, S.; Qiao, Z.; Ju, C.; Zhao, X. Research on fuzzy impedance force control technology of robot-assisted abrasive cloth wheel polishing blade. Int. J. Adv. Manuf. Tech. 2023, 127, 2537–2551. [Google Scholar] [CrossRef]
  15. Zhang, G.; Yang, G.; Deng, Y.; Chen, C.; Zhu, R.; Yang, K. Modeling and force control of a pneumoelectric end-effector for robotic continuous contact operations. Int. J. Adv. Manuf. Tech. 2022, 121, 1219–1234. [Google Scholar] [CrossRef]
  16. Zhou, H.; Ma, S.; Wang, G.; Deng, Y.; Liu, Z. A hybrid control strategy for grinding and polishing robot based on adaptive impedance control. Adv. Mech. Eng. 2021, 13. [Google Scholar] [CrossRef]
  17. Xu, D.; Hu, T.T. Modelling and vibration control of magnetorheological-based polishing tool for robotic polishing process. Mech. Syst. Signal. Pr. 2023, 195, 110290. [Google Scholar] [CrossRef]
  18. Fan, C.; Hong, G.S.; Zhao, J.; Zhang, L.; Zhao, J.; Sun, L. The integral sliding mode control of a pneumatic force servo for the polishing process. Precis. Eng. 2019, 55, 154–170. [Google Scholar] [CrossRef]
  19. Lopez-Sanchez, I.; Moreno-Valenzuela, J. PID control of quadrotor UAVs: A survey. Annu. Rev. Control. 2023, 56, 100900. [Google Scholar] [CrossRef]
  20. Coskun, M.Y.; Itik, M. Intelligent PID control of an industrial electro-hydraulic system. Isa T 2023, 139, 484–498. [Google Scholar] [CrossRef]
  21. Al-Dhaifallah, M. Fuzzy fractional-order PID control for heat exchanger. Alex Eng. J. 2023, 63, 11–16. [Google Scholar] [CrossRef]
  22. Pussente, G.A.N.; de Aguiar, E.P.; Marcato, A.L.M.; Pinto, M.F. UAV Power Line Tracking Control Based on a Type-2 Fuzzy-PID Approach. Robotics 2017, 12, 60. [Google Scholar] [CrossRef]
  23. Jiang, B.P.; Karimi, H.R.; Li, B. Adaptive sliding mode control of Markov jump systems with completely unknown mode information. Int. J. Robust. Nonlin. 2023, 33, 3749–3763. [Google Scholar] [CrossRef]
  24. Musarrat, M.N.; Fekih, A.; Rahman, M.A.; Islam, M.R.; Muttaqi, K.M. Event-Triggered SMC-Based FRT Approach for DFIG-Based Wind Turbines Equipped with DVR With High-Frequency Isolation. IEEE J. Em. Sel. Top. P 2023, 11, 2661–2671. [Google Scholar] [CrossRef]
  25. Yim, J.; You, S.; Lee, Y.; Kim, W. Chattering Attenuation Disturbance Observer for Sliding Mode Control: Application to Permanent Magnet Synchronous Motors. IEEE Trans. Ind. Electron. 2023, 70, 5161–5170. [Google Scholar] [CrossRef]
  26. Castillo, I.; Freidovich, L.B. Describing-function-based analysis to tune parameters of chattering reducing approximations of Sliding Mode controllers. Control Eng. Pract. 2020, 95, 104230. [Google Scholar] [CrossRef]
  27. Gong, S.; Li, X.; Han, J.; Sun, Y.; Xu, G.; Jiang, Y.; Huang, S. Sliding Mode Control-Based Decoupling Scheme for Quad-Active Bridge DC-DC Converter. IEEE J. Em. Sel. Top. P 2022, 10, 1153–1164. [Google Scholar] [CrossRef]
  28. Zhao, Y.; Qiao, W.; Wu, L. An adaptive Quasi-sliding-mode rotor position observer-based sensorless control for interior permanent magnet synchronous machines. IEEE Trans. Power Electron. 2013, 28, 5618–5629. [Google Scholar] [CrossRef]
  29. Huang, C.F.; Liao, T.L.; Chen, C.Y.; Yan, J.J. The design of quasi-sliding mode control for a permanent magnet synchronous motor with unmatched uncertainties. Comput. Math. Appl. 2012, 64, 1036–1043. [Google Scholar] [CrossRef]
  30. Wang, A.; Jia, X.; Dong, S. A new exponential reaching law of sliding mode control to improve performance of permanent magnet synchronous motor. IEEE Trans. Magn. 2013, 49, 2409–2412. [Google Scholar] [CrossRef]
  31. Wang, Z.; Wang, X.; Yang, G.; Sun, Q.; Ma, Y. Robust Bounded Control for Fuzzy Mechanical Systems: Fuzzy Optimal Design and Inequality Constraint Reorganize. IEEE T Fuzzy Syst. 2023, 31, 2605–2616. [Google Scholar] [CrossRef]
  32. Roohi, M.; Zhang, C.; Taheri, M.; Basse-O’connor, A. Synchronization of Fractional-Order Delayed Neural Networks Using Dynamic-Free Adaptive Sliding Mode Control. Fractal. Fract. 2023, 7, 682. [Google Scholar] [CrossRef]
  33. Ma, X.; Sun, F.; Li, H.; He, B. Neural-network-based sliding-mode control for multiple rigid-body attitude tracking with inertial information completely unknown. Inf. Sci. 2017, 400, 91–104. [Google Scholar] [CrossRef]
  34. Qi, W.; Zhang, N.; Zong, G.; Su, S.-F.; Yan, H.; Yeh, R.-H. Event-Triggered SMC for Networked Markov Jumping Systems with Channel Fading and Applications: Genetic Algorithm. IEEE T Cybern. 2023, 53, 6503–6515. [Google Scholar] [CrossRef] [PubMed]
  35. Enrico, C.; Alberto, B.; Paola, F. The applicability of the Hertzian Formulas to point contacts of spheres and spherical caps. Lubricants 2022, 10, 233. [Google Scholar]
  36. Wang, W.; Liu, F.; Liu, Z.; Yun, C. Prediction of depth of cut for robotic belt grinding. Int. J. Adv. Des. Manuf. Technol. 2017, 91, 699–708. [Google Scholar] [CrossRef]
  37. Xu, X.H.; Zhu, D.H. Application of novel force control strategies to enhance robotic abrasive belt grinding quality of aero-engine blades. Chin. J. Aeronaut. 2019, 32, 2368–2382. [Google Scholar] [CrossRef]
  38. Huai, W.B.; Shi, Y.Y. An adaptive flexible polishing path programming method of the blisk blade using elastic grinding tools. J. Mech. Sci. Technol. 2019, 33, 3487–3495. [Google Scholar] [CrossRef]
  39. Qi, J.D.; Chen, B.; Zhang, D.H. Compensation for absolute positioning error of industrial robot considering the optimized measurement space. Int. J. Adv. Robot. Syst. 2020, 17. [Google Scholar] [CrossRef]
Figure 1. Main structure of the polishing machine.
Figure 1. Main structure of the polishing machine.
Applsci 14 02153 g001
Figure 2. Schematic diagram of the machine tool control process.
Figure 2. Schematic diagram of the machine tool control process.
Applsci 14 02153 g002
Figure 3. Elastic contact between single abrasive particle and workpiece.
Figure 3. Elastic contact between single abrasive particle and workpiece.
Applsci 14 02153 g003
Figure 4. Elastic contact deformation between flap wheel substrate and workpiece.
Figure 4. Elastic contact deformation between flap wheel substrate and workpiece.
Applsci 14 02153 g004
Figure 5. Polishing force control system.
Figure 5. Polishing force control system.
Applsci 14 02153 g005
Figure 6. Step response with PID (simulation).
Figure 6. Step response with PID (simulation).
Applsci 14 02153 g006
Figure 7. Step response with SMC (sgn) (simulation).
Figure 7. Step response with SMC (sgn) (simulation).
Applsci 14 02153 g007
Figure 8. Step response with SMC (sat) (simulation).
Figure 8. Step response with SMC (sat) (simulation).
Applsci 14 02153 g008
Figure 9. Step response with AFSMC (simulation).
Figure 9. Step response with AFSMC (simulation).
Applsci 14 02153 g009
Figure 10. Sine response with PID (simulation).
Figure 10. Sine response with PID (simulation).
Applsci 14 02153 g010
Figure 11. Sine response with SMC (sgn) (simulation).
Figure 11. Sine response with SMC (sgn) (simulation).
Applsci 14 02153 g011
Figure 12. Sine response with SMC (sat) (simulation).
Figure 12. Sine response with SMC (sat) (simulation).
Applsci 14 02153 g012
Figure 13. Sine response with AFSMC (simulation).
Figure 13. Sine response with AFSMC (simulation).
Applsci 14 02153 g013
Figure 14. Step response with PID (experimental).
Figure 14. Step response with PID (experimental).
Applsci 14 02153 g014
Figure 15. Step response with SMC (sgn) (experimental).
Figure 15. Step response with SMC (sgn) (experimental).
Applsci 14 02153 g015
Figure 16. Step response with SMC (sat) (experimental).
Figure 16. Step response with SMC (sat) (experimental).
Applsci 14 02153 g016
Figure 17. Step response with AFSMC (experimental).
Figure 17. Step response with AFSMC (experimental).
Applsci 14 02153 g017
Figure 18. Sine response with PID (experimental).
Figure 18. Sine response with PID (experimental).
Applsci 14 02153 g018
Figure 19. Sine response with SMC (sgn) (experimental).
Figure 19. Sine response with SMC (sgn) (experimental).
Applsci 14 02153 g019
Figure 20. Sine response with SMC (sat) (experimental).
Figure 20. Sine response with SMC (sat) (experimental).
Applsci 14 02153 g020
Figure 21. Sine response with AFSMC (experimental).
Figure 21. Sine response with AFSMC (experimental).
Applsci 14 02153 g021
Figure 22. Flap wheel polishing experiment of blisk blade.
Figure 22. Flap wheel polishing experiment of blisk blade.
Applsci 14 02153 g022
Figure 23. Blade surface quality inspection equipment.
Figure 23. Blade surface quality inspection equipment.
Applsci 14 02153 g023
Figure 24. Microanalysis of the blade surface.
Figure 24. Microanalysis of the blade surface.
Applsci 14 02153 g024
Figure 25. Schematic diagram of blade shape and position accuracy inspection.
Figure 25. Schematic diagram of blade shape and position accuracy inspection.
Applsci 14 02153 g025
Figure 26. Comparison of properties of blade polishing.
Figure 26. Comparison of properties of blade polishing.
Applsci 14 02153 g026
Table 1. Parameters of CNC polishing machine tool.
Table 1. Parameters of CNC polishing machine tool.
Axis Positioning Accuracy of X/Y/Z (µm)Stroke of X/Y/Z-Axis (mm)Dimension of Polished Workpiece (mm)
7.046/22.704/9.4681000/1600/1000Φ20~Φ100
Maximum speed of A/C-axis motor (r/min)Machine tool structureDimensions of polishing machines (mm)
16.6/11.1Gantry and five-axis linkage3300 × 3150 × 1800
Maximum speed of spindle (r/min)Rotating Angle of A/C-axisMaximum speed of X/Y/Z-axis motor (r/min)
24,000−5°~95°/±360°3000/3000/3000
Table 2. Comparison of simulation and experimental results of different control algorithms.
Table 2. Comparison of simulation and experimental results of different control algorithms.
ResponsePIDSMCAFSMC
Sgn(s)Sat(0.02)
simulation resultControl errorStep
Sin
5.12
5.48
1.97
2.12
3.02
3.23
1.12
1.21
Chattering
extent
SmallLargeModerateSmaller
experimental resultControl errorStep
Sin
5.26
5.83
2.15
2.34
3.14
3.46
1.28
1.37
Chattering
extent
SmallLargeModerateSmaller
Disclaimer/Publisher’s Note: The statements, opinions and data contained in all publications are solely those of the individual author(s) and contributor(s) and not of MDPI and/or the editor(s). MDPI and/or the editor(s) disclaim responsibility for any injury to people or property resulting from any ideas, methods, instructions or products referred to in the content.

Share and Cite

MDPI and ACS Style

Hong, Q.; Zhou, T.; Qi, J. Adaptive Fuzzy Sliding Mode Control and Dynamic Modeling of Flap Wheel Polishing Force Control System. Appl. Sci. 2024, 14, 2153. https://doi.org/10.3390/app14052153

AMA Style

Hong Q, Zhou T, Qi J. Adaptive Fuzzy Sliding Mode Control and Dynamic Modeling of Flap Wheel Polishing Force Control System. Applied Sciences. 2024; 14(5):2153. https://doi.org/10.3390/app14052153

Chicago/Turabian Style

Hong, Qi, Tianyi Zhou, and Junde Qi. 2024. "Adaptive Fuzzy Sliding Mode Control and Dynamic Modeling of Flap Wheel Polishing Force Control System" Applied Sciences 14, no. 5: 2153. https://doi.org/10.3390/app14052153

APA Style

Hong, Q., Zhou, T., & Qi, J. (2024). Adaptive Fuzzy Sliding Mode Control and Dynamic Modeling of Flap Wheel Polishing Force Control System. Applied Sciences, 14(5), 2153. https://doi.org/10.3390/app14052153

Note that from the first issue of 2016, this journal uses article numbers instead of page numbers. See further details here.

Article Metrics

Back to TopTop