Simulation of Gas Fracturing in Reservoirs Based on a Coupled Thermo-Hydro-Mechanical-Damage Model
Abstract
1. Introduction
2. The Mechanism of Hydraulic Fracturing under Temperature Field
2.1. Mechanical Equilibrium under Temperature Field
2.2. The Equation for Gas Equilibrium under the Action of a Temperature Field
2.3. Consideration of Energy Conservation under the Influence of Temperature Field
3. Model Establishment
4. Analysis of Numerical Simulation Results
4.1. Variation of Rock Mass Physical Parameters under Pneumatic Fracturing
4.2. Impact of Parameter Variations on the Efficiency of Rock Extraction
5. Conclusions
- (1)
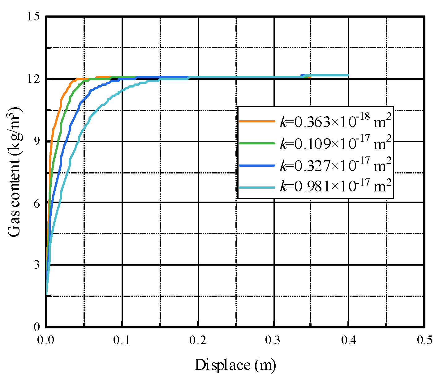
- The process of gas fracturing involves the propagation of cracks within rock specimens from the borehole towards the interior, eventually leading to complete fracturing. The efficiency of shale gas extraction is significantly affected by variations in rock parameters, and selecting appropriate rock parameters can enhance the extraction efficiency of shale gas.
- (2)
- The thermal aspect significantly influences the efficacy of gas fracturing. Lower temperatures result in poor gas fracturing effects, leading to lower efficiency in extracting shale gas. On the other hand, higher temperatures enhance the effectiveness of gas fracturing, resulting in higher extraction efficiency. Therefore, maintaining an appropriately high temperature can improve gas fracturing efficiency and promote more efficient shale gas extraction. It is important to note that gas fracturing technology can induce damage to the surrounding rocks, reducing their compressive strength while increasing their permeability. Additionally, under the influence of temperature, gas fracturing technology can achieve even better results.
- (3)
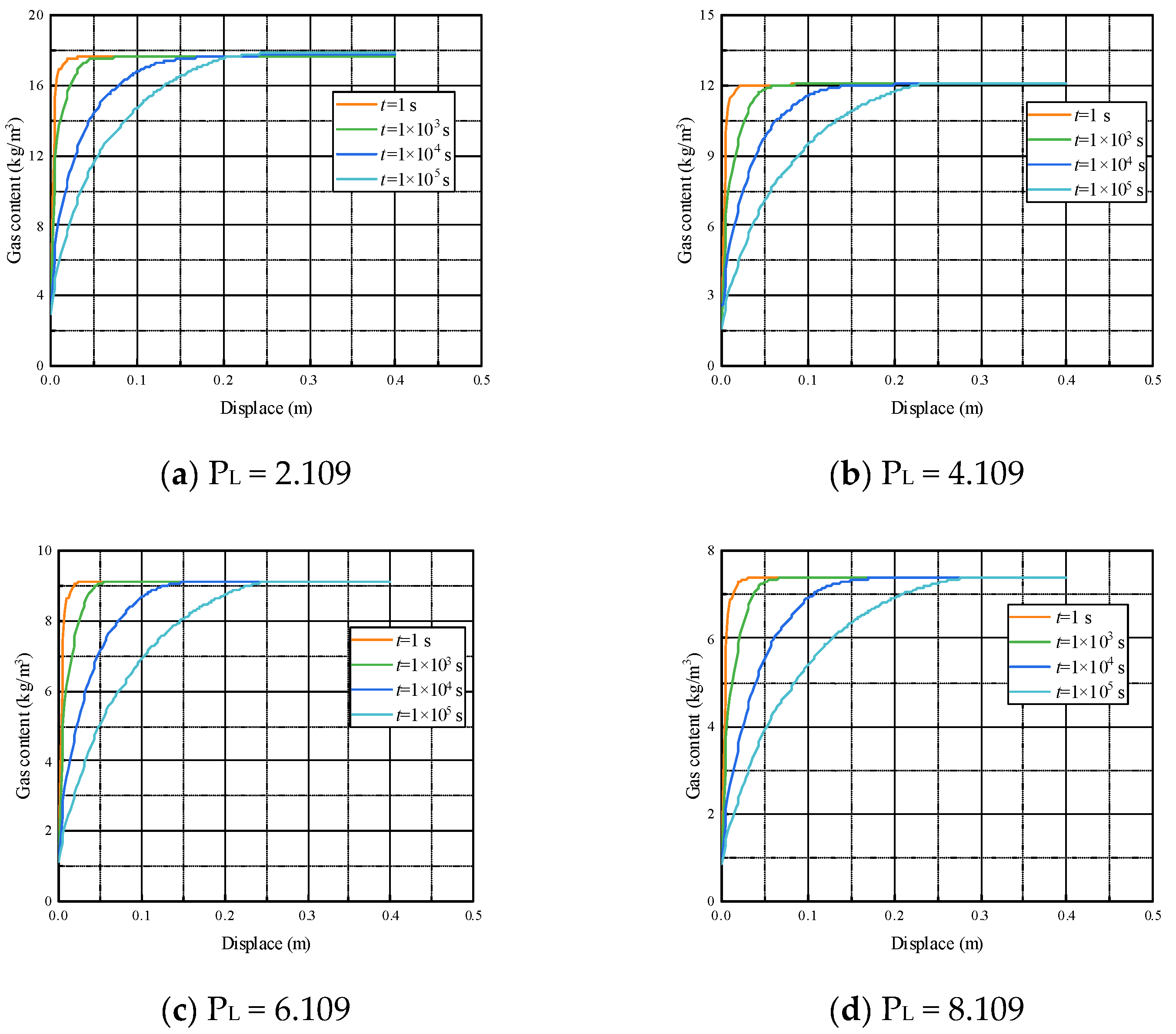
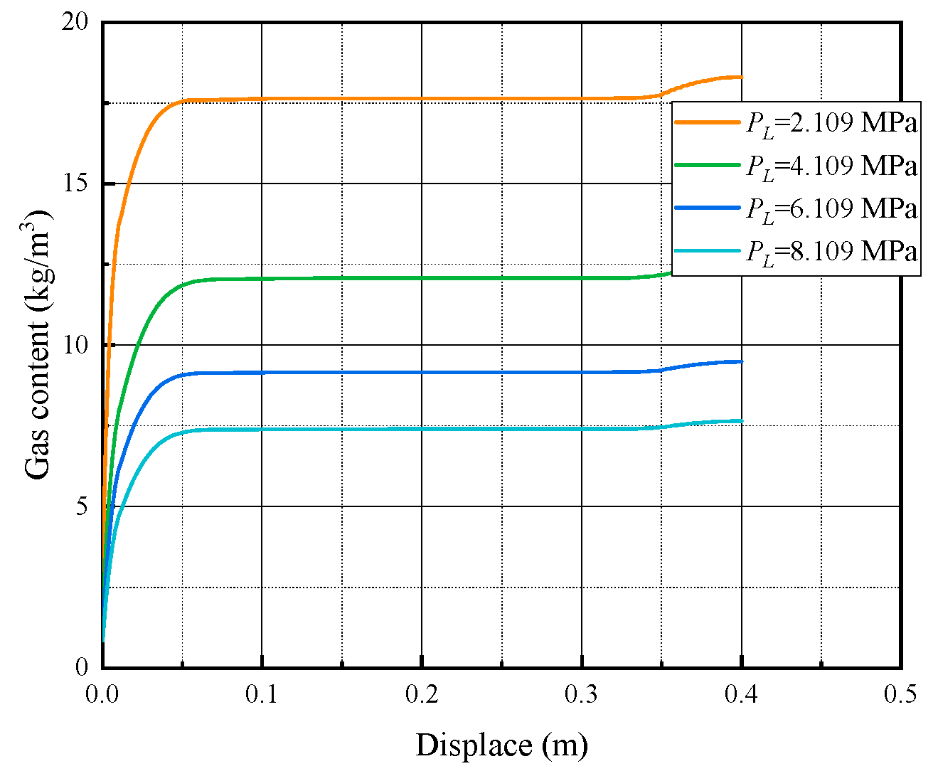
- Increasing the volume constant leads to an upward trend in gas content. This indicates that during the gas fracturing process, the gas present around the borehole is extracted, resulting in a significant decrease in gas content. However, the gas content within the undamaged regions of the rock specimen remains relatively stable. This suggests that an increase in the volume constant makes gas fracturing more challenging, consequently reducing the efficiency of shale gas extraction. Conversely, maintaining a constant pressure of the specimen results in an upward trajectory of the instantaneous extraction rate over the same time period. This increase in the pressure constant improves the fracturing effects on the rock, thereby enhancing gas extraction efficiency. Moreover, the increased degree of rock damage indirectly contributes to improved extraction efficiency. Thus, increasing the pressure constant proves beneficial for enhancing gas fracturing efficiency.
Author Contributions
Funding
Institutional Review Board Statement
Informed Consent Statement
Data Availability Statement
Conflicts of Interest
References
- Hemmati-Sarapardeh, A.; Mohagheghian, E. Modeling interfacial tension and minimum miscibility pressure in paraffin-nitrogen systems: Application to gas injection processes. Fuel 2017, 205, 80–89. [Google Scholar] [CrossRef]
- Fahandezhsaadi, M.; Amooie, M.A.; Hemmati-Sarapardeh, A.; Ayatollahi, S.; Schaffie, M.; Ranjbar, M. Laboratory evaluation of nitrogen injection for enhanced oil recovery: Effects of pressure and induced fractures. Fuel 2019, 253, 607–614. [Google Scholar] [CrossRef]
- Rui, Z.; Wang, X.; Zhang, Z.; Lu, J.; Chen, G.; Zhou, X.; Patil, S. A realistic and integrated model for evaluating oil sands development with Steam Assisted Gravity Drainage technology in Canada. Appl. Energy 2018, 213, 76–91. [Google Scholar] [CrossRef]
- Babadagli, T. Evaluation of EOR methods for heavy-oil recovery in naturally fractured reservoirs. J. Pet. Sci. Eng. 2003, 37, 25–37. [Google Scholar] [CrossRef]
- Yang, W.; Wang, H.; Zhuo, Q.; Lin, B.; Zhang, J.; Lu, C.; Lin, M. Mechanism of water inhibiting gas outburst and the field experiment of coal seam infusion promoted by blasting. Fuel 2019, 251, 383–393. [Google Scholar] [CrossRef]
- Zhou, J.; Liu, M.; Xian, X.; Jiang, Y.; Liu, Q.; Wang, X. Measurements and modelling of CH4 and CO2 adsorption behaviors on shales: Implication for CO2 enhanced shale gas recovery. Fuel 2019, 251, 293–306. [Google Scholar] [CrossRef]
- Wang, L.; Yao, B.; Cha, M.; Alqahtani, N.B.; Patterson, T.W.; Kneafsey, T.J.; Miskimins, J.L.; Yin, X.; Wu, Y.-S. Waterless fracturing technologies for unconventional reservoirs-opportunities for liquid nitrogen. J. Nat. Gas Sci. Eng. 2016, 35, 160–174. [Google Scholar] [CrossRef]
- Thomas, L.; Tang, H.; Kalyon, D.M.; Aktas, S.; Arthur, J.D.; Blotevogel, J.; Carey, J.W.; Filshill, A.; Fu, P.; Hsuan, G.; et al. Toward better hydraulic fracturing fluids and their application in energy production: A review of sustainable technologies and reduction of potential environmental impacts. J. Pet. Sci. Eng. 2019, 173, 793–803. [Google Scholar] [CrossRef]
- Li, L.; Tan, J.; Wood, D.A.; Zhao, Z.; Becker, D.; Lyu, Q.; Shu, B.; Chen, H. A review of the current status of induced seismicity monitoring for hydraulic fracturing in unconventional tight oil and gas reservoirs. Fuel 2019, 242, 195–210. [Google Scholar] [CrossRef]
- Tokunaga, T.K. Physicochemical controls on adsorbed water film thickness in unsaturated geological media. Water Resour. Res. 2011, 47, W08514. [Google Scholar] [CrossRef]
- Yang, W.; Zhou, C.; Qin, F.; Li, D. High-energy gas fracturing (HEGF) technology: Research and application. In Proceedings of the European Petroleum Conference, Cannes, France, 16–18 November 1992; p. 24990. [Google Scholar]
- Li, Z.; Xu, H.; Zhang, C. Liquid nitrogen gasification fracturing technology for shale gas development. J. Pet. Sci. Eng. 2016, 138, 253–256. [Google Scholar] [CrossRef]
- Cai, C.; Li, G.; Huang, Z.; Shen, Z.; Tian, S. Rock pore structure damage due to freeze during liquid nitrogen fracturing. Arab. J. Sci. Eng. 2014, 39, 9249–9257. [Google Scholar] [CrossRef]
- Cai, C.; Li, G.; Huang, Z.; Tian, S.; Shen, Z.; Fu, X. Experiment of coal damage due to super-cooling with liquid nitrogen. J. Nat. Gas Sci. Eng. 2015, 22, 42–48. [Google Scholar] [CrossRef]
- Li, H.; Wang, L.; Zhang, C.; Du, W.; Li, J. Experimental study of the fatigue crack extension influences of liquid nitrogen on water cut coal sample. J. Exp. Mech. 2016, 31, 119–126. [Google Scholar]
- Zhai, C.; Qin, L.; Liu, S.; Xu, J.; Tang, Z.; Wu, S. Pore structure in coal: Pore evolution after cryogenic freezing with cyclic liquid nitrogen injection and its implication on coalbed methane extraction. Energy Fuels 2016, 30, 6009–6020. [Google Scholar] [CrossRef]
- Cai, Y.; Ma, Y.; Teng, T.; Xue, Y.; Wang, L.; Cao, Z.; Zhang, Z. Risk Assessment and Analysis of Rock Burst under High-Temperature Liquid Nitrogen Cooling. Water 2024, 16, 516. [Google Scholar] [CrossRef]
- Chen, Z.; Liu, J.; Kabir, A.; Wang, J.; Pan, Z. Impact of various parameters on the production of coalbed methane. SPE J. 2013, 18, 910–923. [Google Scholar] [CrossRef]
- Gensterblum, Y.; Busch, A.; Krooss, B.M. Molecular concept and experimental evidence of competitive adsorption of H2O, CO2 and CH4 on organic material. Fuel 2014, 115, 581–588. [Google Scholar] [CrossRef]
- Wu, C.; Chu, J.; Wu, S.; Hong, Y. 3D characterization of microbially induced carbonate precipitation in rock fracture and the resulted permeability reduction. Eng. Geol. 2019, 249, 23–30. [Google Scholar] [CrossRef]
- Wanniarachchi, W.A.M.; Ranjith, P.G.; Perera, M.S.A. Shale gas fracturing using foam-based fracturing fluid: A review. Environ. Earth Sci. 2017, 76, 91. [Google Scholar] [CrossRef]
- King, G.E. Thirty years of gas shale fracturing: What have we learned? In Proceedings of the SPE Annual Technical Conference and Exhibition, Florence, Italy, 19–22 September 2010. [Google Scholar]
- Barati, R.; Liang, J. A review of fracturing fluid systems used for hydraulic fracturing of oil and gas wells. J. Appl. Polym. Sci. 2014, 16, 131. [Google Scholar] [CrossRef]
- Green, C.A.; Styles, P.; Baptie, B.J. Preese Hall Shale Gas Fracturing Review and Recommendations for Induced Seismic Mitigation; Technical Report; British Geological Survey: London, UK, 2012. [Google Scholar]
- Karra, S.; Makedonska, N.; Viswanathan, H.S.; Painter, S.L.; Hyman, J.D. Effect of advective flow in fractures and matrix diffusion on natural gas production. Water Resour. Res. 2015, 51, 8646–8657. [Google Scholar] [CrossRef]
- Edwards, R.W.; Doster, F.; Celia, M.A.; Bandilla, K.W. Numerical modeling of gas and water flow in shale gas formations with a focus on the fate of hydraulic fracturing fluid. Environ. Sci. Technol. 2017, 51, 13779–13787. [Google Scholar] [CrossRef]
- Eyring, V.; Bony, S.; Meehl, G.A.; Senior, C.A.; Stevens, B.; Stouffer, R.J.; Taylor, K.E. Overview of the Coupled Model Intercomparison Project Phase 6 (CMIP6) experimental design and organization. Geosci. Model Dev. 2016, 9, 1937–1958. [Google Scholar] [CrossRef]
- Striolo, A.; Cole, D.R. Understanding Shale Gas: Recent Progress and Remaining Challenges. Energy Fuels 2017, 31, 10300–10310. [Google Scholar] [CrossRef]
- Tenno, T.; Rikmann, E.; Zekker, I. Modelling the solubility of sparingly soluble compounds depending on their particles size. Proc. Estonian Acad. Sci. 2018, 67, 300–302. [Google Scholar] [CrossRef]
- Middleton, R.S.; Gupta, R.; Hyman, J.D.; Viswanathan, H.S. The shale gas revolution: Barriers, sustainability, and emerging opportunities. Appl. Energy 2017, 199, 88–95. [Google Scholar] [CrossRef]
- Bitzek, E.; Kermode, J.R.; Gumbsch, P. Atomistic aspects of fracture. Int. J. Fract. 2015, 191, 13–30. [Google Scholar] [CrossRef]
- Khan, A.; Naeem, M.; Zekker, I.; Arian, M.B.; Michalski, G.; Khan, A.; Shah, N.; Zeeshan, S.; Haq, H.U.; Subhan, F.; et al. Evaluating groundwater nitrate and other physicochemical parameters of the arid and semi-arid district of DI Khan by multivariate statistical analysis. Environ. Technol. 2023, 44, 911–920. [Google Scholar] [CrossRef] [PubMed]
















Disclaimer/Publisher’s Note: The statements, opinions and data contained in all publications are solely those of the individual author(s) and contributor(s) and not of MDPI and/or the editor(s). MDPI and/or the editor(s) disclaim responsibility for any injury to people or property resulting from any ideas, methods, instructions or products referred to in the content. |
© 2024 by the authors. Licensee MDPI, Basel, Switzerland. This article is an open access article distributed under the terms and conditions of the Creative Commons Attribution (CC BY) license (https://creativecommons.org/licenses/by/4.0/).
Share and Cite
Qi, E.; Xiong, F.; Cao, Z.; Zhang, Y.; Xue, Y.; Zhang, Z.; Ji, M. Simulation of Gas Fracturing in Reservoirs Based on a Coupled Thermo-Hydro-Mechanical-Damage Model. Appl. Sci. 2024, 14, 1763. https://doi.org/10.3390/app14051763
Qi E, Xiong F, Cao Z, Zhang Y, Xue Y, Zhang Z, Ji M. Simulation of Gas Fracturing in Reservoirs Based on a Coupled Thermo-Hydro-Mechanical-Damage Model. Applied Sciences. 2024; 14(5):1763. https://doi.org/10.3390/app14051763
Chicago/Turabian StyleQi, Enze, Fei Xiong, Zhengzheng Cao, Yun Zhang, Yi Xue, Zhizhen Zhang, and Ming Ji. 2024. "Simulation of Gas Fracturing in Reservoirs Based on a Coupled Thermo-Hydro-Mechanical-Damage Model" Applied Sciences 14, no. 5: 1763. https://doi.org/10.3390/app14051763
APA StyleQi, E., Xiong, F., Cao, Z., Zhang, Y., Xue, Y., Zhang, Z., & Ji, M. (2024). Simulation of Gas Fracturing in Reservoirs Based on a Coupled Thermo-Hydro-Mechanical-Damage Model. Applied Sciences, 14(5), 1763. https://doi.org/10.3390/app14051763

