A Regional Brightness Control Method for a Beam Projector to Avoid Human Glare
Abstract
1. Introduction
2. Related Research
2.1. Structural Similarity Index Measure
2.2. Semantic Segmentation
3. Proposed System
3.1. Transformation Profile Generation Module
3.1.1. GTP Generator
3.1.2. CTP Generator
3.2. Transformation Module
3.3. Segmentation Module
3.4. Output Module
4. Implementation Details and Results
4.1. Hardware Configuration and Settings
4.2. Transformation Profile Generation Module Implementation
4.2.1. GTP Generation
- Finds the maximum and minimum brightness values of the two clusters.
- Sorts the values and taking the average of the second- and third-ranked values as the threshold.
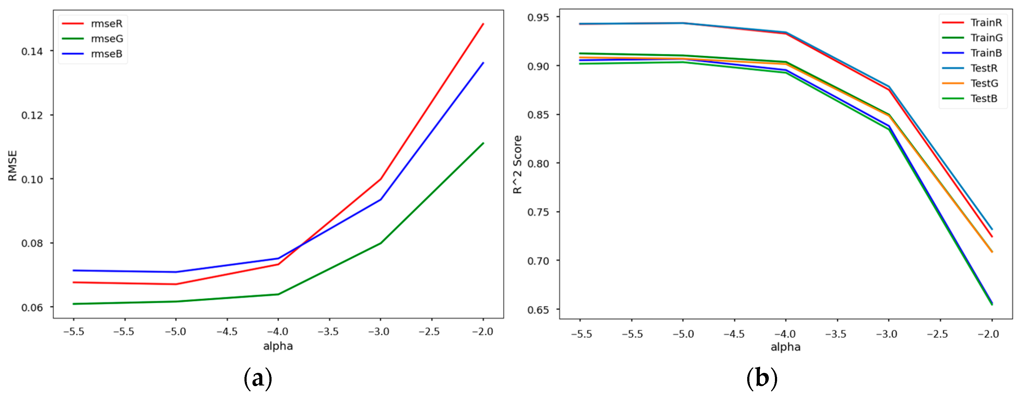
4.2.2. CTP Generation
4.3. Segmentation Module Implementation
4.3.1. SSIM-MAP Generator
4.3.2. Brightness Control Area Detector
4.4. Performance Evaluation
4.4.1. Evaluation Methods
4.4.2. Implementation Results
5. Conclusions
Author Contributions
Funding
Institutional Review Board Statement
Informed Consent Statement
Data Availability Statement
Conflicts of Interest
References
- Greenhill, L.P. The Educational Effectiveness, Acceptability, and Feasibility of the Eidophor Large-Screen Television Projector. 1962. Available online: https://eric.ed.gov/?id=ED030306 (accessed on 3 February 2024).
- Berman, S.M.; Bullimore, M.A.; Jacobs, R.J.; Bailey, I.L.; Gandhi, N. An Objective Measure of Discomfort Glare. J. Illum. Eng. Soc. 1994, 23, 40–49. [Google Scholar] [CrossRef]
- Dave, A.; Kang, M.; Hwang, J.; Lorenzo, M.; Oh, P. Towards Smart Classroom: Affordable and Simple Approach to Dynamic Projection Mapping for Education. In Proceedings of the 2020 10th Annual Computing and Communication Workshop and Conference (CCWC), Las Vegas, NV, USA, 6–8 January 2020; IEEE: New York, NY, USA, 2020; pp. 0942–0947. [Google Scholar]
- Hu, Y.; Li, Q.; Hsu, S. Interactive Visual Computer Vision Analysis Based on Artificial Intelligence Technology in Intelligent Education. Neural. Comput. Applic. 2022, 34, 9315–9333. [Google Scholar] [CrossRef]
- Lin, C.-Y.; Chang, W.-W.; Chen, Y.-H. Intelligent Projector System Based on Computer Vision. In Proceedings of the 2011 Fifth International Conference on Genetic and Evolutionary Computing, Kitakyushu, Japan, 29 August–1 September 2011; IEEE: New York, NY, USA, 2011; pp. 176–179. [Google Scholar]
- Wang, M.; Deng, W. Deep Face Recognition: A Survey. Neurocomputing 2021, 429, 215–244. [Google Scholar] [CrossRef]
- Goel, R.; Mehmood, I.; Ugail, H. A Study of Deep Learning-Based Face Recognition Models for Sibling Identification. Sensors 2021, 21, 5068. [Google Scholar] [CrossRef] [PubMed]
- Wang, Z.; Bovik, A.C.; Sheikh, H.R.; Simoncelli, E.P. Image Quality Assessment: From Error Visibility to Structural Similarity. IEEE Trans. Image Process. 2004, 13, 600–612. [Google Scholar] [CrossRef] [PubMed]
- Laouamer, L.; AlShaikh, M.; Nana, L.; Pascu, A.C. Robust Watermarking Scheme and Tamper Detection Based on Threshold versus Intensity. J. Innov. Digit. Ecosyst. 2015, 2, 1–12. [Google Scholar] [CrossRef]
- Wang, Z.; Bovik, A.C. Mean Squared Error: Love It or Leave It? A New Look at Signal Fidelity Measures. IEEE Signal Process. Mag. 2009, 26, 98–117. [Google Scholar] [CrossRef]
- Zhang, L.; Zhang, L.; Mou, X.; Zhang, D. FSIM: A Feature Similarity Index for Image Quality Assessment. IEEE Trans. Image Process. 2011, 20, 2378–2386. [Google Scholar] [CrossRef] [PubMed]
- Chandler, D.M.; Hemami, S.S. VSNR: A Wavelet-Based Visual Signal-to-Noise Ratio for Natural Images. IEEE Trans. Image Process. 2007, 16, 2284–2298. [Google Scholar] [CrossRef] [PubMed]
- Wang, Z.; Simoncelli, E.P.; Bovik, A.C. Multiscale Structural Similarity for Image Quality Assessment. In Proceedings of the Thrity-Seventh Asilomar Conference on Signals, Systems & Computers, 2003, Pacific Grove, CA, USA, 9–12 November 2003; IEEE: New York, NY, USA, 2004; pp. 1398–1402. [Google Scholar]
- Akl, A.; Yaacoub, C. Image Analysis by Structural Dissimilarity Estimation. In Proceedings of the 2019 Ninth International Conference on Image Processing Theory, Tools and Applications (IPTA), Istanbul, Turkey, 6–9 November 2019; IEEE: New York, NY, USA, 2019; pp. 1–4. [Google Scholar]
- Golestani, H.B.; Ghanbari, M. Window Size Influence on SSIM Fidelity. In Proceedings of the 7’th International Symposium on Telecommunications (IST’2014), Tehran, Iran, 9–11 September 2014; IEEE: New York, NY, USA, 2015; pp. 355–360. [Google Scholar]
- Sukthankar, R.; Mullin, M.D. Automatic Keystone Correction for Camera-Assisted Presentation Interfaces. In Advances in Multimodal Interfaces—ICMI 2000; Tan, T., Shi, Y., Gao, W., Eds.; Springer: Berlin/Heidelberg, Germany, 2000; pp. 607–614. [Google Scholar]
- Haralick, R.M.; Shapiro, L.G. Image Segmentation Techniques. Comput. Vis. Graph. Image Process. 1985, 29, 100–132. [Google Scholar] [CrossRef]
- Khoreva, A.; Benenson, R.; Hosang, J.; Hein, M.; Schiele, B. Simple Does It: Weakly Supervised Instance and Semantic Segmentation. In Proceedings of the IEEE Conference on Computer Vision and Pattern Recognition, Honolulu, HI, USA, 26 July 2017; pp. 876–885. [Google Scholar]
- Yamashita, R.; Nishio, M.; Do, R.K.G.; Togashi, K. Convolutional Neural Networks: An Overview and Application in Radiology. Insights Imaging 2018, 9, 611–629. [Google Scholar] [CrossRef] [PubMed]
- Long, J.; Shelhamer, E.; Darrell, T. Fully Convolutional Networks for Semantic Segmentation. In Proceedings of the IEEE Conference on Computer Vision and Pattern Recognition, Columbus, OH, USA, 28 June 2014. [Google Scholar] [CrossRef]
- Howard, A.; Sandler, M.; Chu, G.; Chen, L.-C.; Chen, B.; Tan, M.; Wang, W.; Zhu, Y.; Pang, R.; Vasudevan, V.; et al. Searching for MobileNetV3. In Proceedings of the IEEE/CVF International Conference on Computer Vision, Seoul, Republic of Korea, 27 October–2 November 2019. [Google Scholar] [CrossRef]
- MediaPipe Solutions Guide|Google for Developers. Available online: https://developers.google.com/mediapipe/solutions/guide (accessed on 12 July 2023).
- Chen, L.-C.; Papandreou, G.; Schroff, F.; Adam, H. Rethinking Atrous Convolution for Semantic Image Segmentation. arXiv 2017, arXiv:1706.05587. [Google Scholar] [CrossRef]
- OpenCV: Geometric Image Transformations. Available online: https://docs.opencv.org/4.x/da/d54/group__imgproc__transform.html (accessed on 12 July 2023).
- Harris, C.G.; Stephens, M. A Combined Corner and Edge Detector. Available online: https://www.semanticscholar.org/paper/A-Combined-Corner-and-Edge-Detector-Harris-Stephens/6818668fb895d95861a2eb9673ddc3a41e27b3b3 (accessed on 12 July 2023).
- Lowe, D.G. Object Recognition from Local Scale-Invariant Features. In Proceedings of the Seventh IEEE International Conference on Computer Vision, Kerkyra, Greece, 20–27 September 1999; IEEE: New York, NY, USA, 2002; Volume 2, pp. 1150–1157. [Google Scholar]
- Architectural Study of HOG Feature Extraction Processor for Real-Time Object Detection. Available online: https://ieeexplore.ieee.org/abstract/document/6363206/ (accessed on 12 July 2023).
- Bryson, M. K-Means Clustering Using Localized Histogram Analysis. 2008. Available online: https://cse.sc.edu/~songwang/CourseProj/proj2007/report/bryson-report.pdf (accessed on 6 February 2023).
- Gonzales-Barron, U.; Butler, F. A Comparison of Seven Thresholding Techniques with the K-Means Clustering Algorithm for Measurement of Bread-Crumb Features by Digital Image Analysis. J. Food Eng. 2006, 74, 268–278. [Google Scholar] [CrossRef]
- Hart, P. How the Hough Transform Was Invented [DSP History]. IEEE Signal Process. Mag. 2009, 26, 18–22. [Google Scholar] [CrossRef]
- OpenCV: Hough Line Transform. Available online: https://docs.opencv.org/3.4/d9/db0/tutorial_hough_lines.html (accessed on 12 July 2023).
- Tibshirani, R. Regression Shrinkage and Selection via the Lasso. J. R. Stat. Soc. 1996, 58, 267–288. [Google Scholar] [CrossRef]
- Sklearn.Linear_model.Lasso. Available online: https://scikit-learn.org/stable/modules/generated/sklearn.linear_model.Lasso.html (accessed on 12 July 2023).
- Damon, J. Generic Structure of Two-Dimensional Images Under Gaussian Blurring. SIAM J. Appl. Math. 1998, 59, 97–138. [Google Scholar] [CrossRef]
- Image Segmentation Guide |MediaPipe|Google for Developers. Available online: https://developers.google.com/mediapipe/solutions/vision/image_segmenter (accessed on 13 December 2023).
- Visa, S.; Ramsay, B.; Ralescu, A.; VanDerKnaap, E. Confusion Matrix-Based Feature Selection. All Fac. Artic. 2011, 710, 120–127. [Google Scholar]

















| Model Name | Input Shape | Quantization Type | CPU Latency | GPU Latency |
|---|---|---|---|---|
| SelfieSegmenter (square) | 256 × 256 | Float 16 | 33.46 ms | 35.15 ms |
| SelfieSegmenter (landscape) | 144 × 256 | Float 16 | 34.19 ms | 33.55 ms |
| HairSegmenter | 512 × 512 | None (float 32) | 57.90 ms | 52.14 ms |
| SelfieMulticlass | 256 × 256 | None (float 32) | 217.76 ms | 71.24 ms |
| DeepLab-V3 | 257 × 257 | None (float 32) | 123.93 ms | 103.30 ms |
| Component | Specifications |
|---|---|
| CPU | 13th Gen Intel(R) Core(TM) i7-13700K |
| GPU | Nvidia RTX4090 |
| RAM | DDR5 32 GB |
| Webcam | C930 e 1080 p, 30 fps |
| Beam Projector | Wanbo T2 Max 1080 p, LED Light source |
| Effects | Mean | Std |
|---|---|---|
| Original | 0.6575 | 0.1271 |
| Filtered | 0.6899 | 0.1251 |
| Blurred | 0.7508 | 0.0925 |
| Filtered + Blurred | 0.7837 | 0.0911 |
Disclaimer/Publisher’s Note: The statements, opinions and data contained in all publications are solely those of the individual author(s) and contributor(s) and not of MDPI and/or the editor(s). MDPI and/or the editor(s) disclaim responsibility for any injury to people or property resulting from any ideas, methods, instructions or products referred to in the content. |
© 2024 by the authors. Licensee MDPI, Basel, Switzerland. This article is an open access article distributed under the terms and conditions of the Creative Commons Attribution (CC BY) license (https://creativecommons.org/licenses/by/4.0/).
Share and Cite
Jeon, H.-G.; Lee, K.-H. A Regional Brightness Control Method for a Beam Projector to Avoid Human Glare. Appl. Sci. 2024, 14, 1335. https://doi.org/10.3390/app14041335
Jeon H-G, Lee K-H. A Regional Brightness Control Method for a Beam Projector to Avoid Human Glare. Applied Sciences. 2024; 14(4):1335. https://doi.org/10.3390/app14041335
Chicago/Turabian StyleJeon, Hyeong-Gi, and Kyoung-Hee Lee. 2024. "A Regional Brightness Control Method for a Beam Projector to Avoid Human Glare" Applied Sciences 14, no. 4: 1335. https://doi.org/10.3390/app14041335
APA StyleJeon, H.-G., & Lee, K.-H. (2024). A Regional Brightness Control Method for a Beam Projector to Avoid Human Glare. Applied Sciences, 14(4), 1335. https://doi.org/10.3390/app14041335

