An Estimation of Speech Privacy Class Based on ISO Parameter
Abstract
1. Introduction
2. Background
2.1. Ambient Noise and Speech Level in the Room
- As noise that passes through the elements of the facade from the outside environment (its level is denoted as Lin in Figure 1);
- As noise that passes through partition structures from neighboring rooms (its level is denoted as L2 in Figure 1);
- As the noise of devices and installations within the receiving room (its level is denoted as Lequip. in Figure 1).
2.2. Measurements of Sound Insulation in Buildings
3. Methodology
3.1. Speech Privacy Class (SPC)
3.2. Determination of SPC Confidence Intervals
3.3. Articulation Index AI
3.4. Proposed Procedure for Calculating SPI
4. Results and Discussion
4.1. Analyzed Rooms
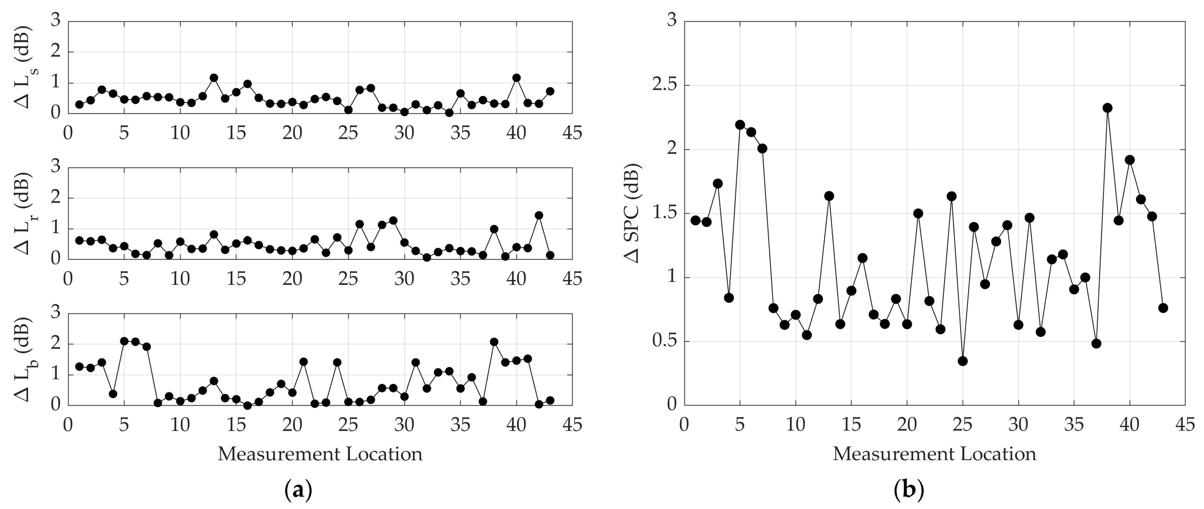
4.2. SPC Confidence Intervals
4.3. Correlation between the SPC and SPI Parameters
4.4. Correlation between the Articulation Index (AI) and SPI Parameters
4.5. Practical Implementation Potential
5. Conclusions
Author Contributions
Funding
Institutional Review Board Statement
Informed Consent Statement
Data Availability Statement
Conflicts of Interest
References
- Siefert, M.L. Concept Analysis of Comfort. Nurs. Forum 2002, 37, 16–23. [Google Scholar] [CrossRef] [PubMed]
- Jia, L.-R.; Han, J.; Chen, X.; Li, Q.-Y.; Lee, C.-C.; Fung, Y.-H. Interaction between Thermal Comfort, Indoor Air Quality and Ventilation Energy Consumption of Educational Buildings: A Comprehensive Review. Buildings 2021, 11, 591. [Google Scholar] [CrossRef]
- Aqilah, N.; Rijal, H.B.; Zaki, S.A. A Review of Thermal Comfort in Residential Buildings: Comfort Threads and Energy Saving Potential. Energies 2022, 15, 9012. [Google Scholar] [CrossRef]
- Blanco Cadena, J.D.; Poli, T.; Košir, M.; Lobaccaro, G.; Mainini, A.G.; Speroni, A. Current Trajectories and New Challenges for Visual Comfort Assessment in Building Design and Operation: A Critical Review. Appl. Sci. 2022, 12, 3018. [Google Scholar] [CrossRef]
- Monteiro da Silva, S.; Guedes de Almeida, M. Thermal and acoustic comfort in buildings. In Proceedings of the International Congress and Exposition on Noise Control Engineering: INTER-NOISE 2010, Lisbon, Portugal, 13–16 June 2010. [Google Scholar]
- Rasmussen, B. Sound insulation between dwellings—Requirements in building regulations in Europe. Appl. Acoust. 2010, 71, 373–385. [Google Scholar] [CrossRef]
- Montiel, I.; Mayoral, A.M.; Navarro Pedreño, J.; Maiques, S. Acoustic Comfort in Learning Spaces: Moving Towards Sustainable Development Goals. Sustainability 2019, 11, 3573. [Google Scholar] [CrossRef]
- Andargie, M.; Touchie, T.; O’Brien, W.; Müller-Trapet, M. A field study of the relationship between sound insulation and noise annoyance, activity disturbance and wellbeing in multi-unit residences. Appl. Acoust. 2023, 206, 109291. [Google Scholar] [CrossRef]
- Galbrun, L. The prediction of airborne sound transmission between two rooms using first-order flanking paths. Appl. Acoust. 2008, 69, 1332–1342. [Google Scholar] [CrossRef]
- Guha, M. Noise pollution and mental health. J. Ment. Health 2022, 31, 605–606. [Google Scholar] [CrossRef]
- Di Blasio, S.; Shtrepi, L.; Puglisi, G.E.; Astolfi, A. A Cross-Sectional Survey on the Impact of Irrelevant Speech Noise on Annoyance, Mental Health and Well-being, Performance and Occupants’ Behavior in Shared and Open-Plan Offices. Int. J. Environ. Res. Public Health 2019, 16, 280. [Google Scholar] [CrossRef]
- Cavanaugh, W.; Farrell, W.; Hirtle, P.; Watters, B. Speech Privacy in Buildings. J. Acoust. Soc. Am. 1962, 34, 475–492. [Google Scholar] [CrossRef]
- Benz, S.L.; Kuhlmann, J.; Schreckenberg, D.; Wothge, J. Contributors to Neighbor Noise Annoyance. Int. J. Environ. Res. Public Health 2021, 18, 8098. [Google Scholar] [CrossRef] [PubMed]
- Lee, S.; Kim, J.; Kim, S.; Song, H.; Ryu, J. An online survey on self-reported workplace design and personal factors concerning speech privacy satisfaction in open-plan office environment. Appl. Acoust. 2023, 202, 109179. [Google Scholar] [CrossRef]
- Braat-Eggen, E.; Poll, M.K.; Hornikx, M.; Kohlrausch, A. Auditory distraction in open-plan study environments: Effects of background speech and reverberation time on a collaboration task. Appl. Acoust. 2019, 154, 148–160. [Google Scholar] [CrossRef]
- Regulation on noise indicators, limit values, methods for evaluating noise indicators, disturbance and harmful effects of noise in the environment. 75/2010. The Official Gazette Republic Serbia, 1 June 2010.
- Robinson, M.; Hopkins, C.; Worrall, K.; Jackson, T. Thresholds of information leakage for speech security outside meeting rooms. JASA Express Lett. 2014, 136, 1149–1159. [Google Scholar] [CrossRef] [PubMed]
- Ren, X. Combined effects of dominant sounds, conversational speech and multisensory perception on visitors’ acoustic comfort in urban open spaces. Landsc. Urban Plan. 2023, 232, 104674. [Google Scholar] [CrossRef]
- Yu, J.; Wang, S.; Qiu, X.; Shaid, A.; Wang, L. Contributions of various transmission paths to speech privacy of open ceiling meeting rooms in open-plan offices. Appl. Acoust. 2016, 112, 59–69. [Google Scholar] [CrossRef]
- ISO 140; Measurement of Sound Insulation in Buildings and of Building Elements—Part 3: Laboratory Measurement of Airborne Sound Insulation of Building Elements. International Organization for Standardization: Geneva, Switzerland, 1998.
- Chevret, P. Release from masking of speech intelligibility due to fluctuating ambient noise in open-plan offices. Appl. Acoust. 2016, 101, 156–167. [Google Scholar] [CrossRef]
- Proakis, J.; Salehi, M. Fundamentals of Communication Systems, 2nd ed.; Pearson: London, UK, 2014; pp. 275–294. [Google Scholar]
- In Jo, H.; Santika, B.; Lee, H.; Jeon, J. Classification of sound environment based on subjective response with speech privacy in open plan offices. Appl. Acoust. 2022, 189, 108595. [Google Scholar] [CrossRef]
- Sato, H.; Morimoto, M.; Ohtani, S.; Hoshino, Y.; Sato, H. Subjective evaluation of speech privacy at consulting rooms in hospitals: Relationship between feeling evoked by overhearing speech and word intelligibility score. Appl. Acoust. 2017, 124, 38–47. [Google Scholar] [CrossRef]
- Bradley, J.; Gover, B. Speech Privacy Class for Rating the Speech Privacy of Meeting Rooms. Can. Acoust. 2008, 36, 22–23. [Google Scholar]
- Krasnov, A.; Green, E.R.; Engels, B.; Corden, B. Enhanced speech privacy in office spaces. Build. Acoust. 2019, 26, 57–66. [Google Scholar] [CrossRef]
- Gover, B.; Bradley, J. Measures for assessing architectural speech security (privacy) of closed offices and meeting rooms. J. Acoust. Soc. Am. 2004, 116, 3480–3490. [Google Scholar] [CrossRef] [PubMed]
- Hongisto, V.; Keränen, J. Comfort Distance—A Single-Number Quantity Describing Spatial Attenuation in Open-Plan Offices. Appl. Sci. 2021, 11, 4596. [Google Scholar] [CrossRef]
- Kim, J.; Dear, R. Workspace satisfaction: The privacy communication trade-off in open plan offices. J. Environ. Psychol. 2013, 36, 18–26. [Google Scholar] [CrossRef]
- Koukounian, V. A systematic investigation to assess the merits of measurement preconditions critical to speech privacy standards. J. Acoust. Soc. Am. 2022, 151, A50. [Google Scholar] [CrossRef]
- Keränen, J.; Hongisto, V. Prediction of the spatial decay of speech in open-plan offices. Appl. Acoust. 2013, 74, 1315–1325. [Google Scholar] [CrossRef]
- Müller-Trapet, M. Harmonizing Different Metrics for Speech Privacy. In Proceedings of the 23rd International Congress on Acoustics, Aachen, Germany, 9–13 September 2019. [Google Scholar]
- Payton, K.; Braida, L. A method to determine the speech transmission index from speech waveforms. J. Acoust. Soc. Am. 1999, 106, 3637–3648. [Google Scholar] [CrossRef]
- Schwerin, B.; Paliwal, K. An improved speech transmission index for intelligibility prediction. Speech Commun. 2014, 65, 9–19. [Google Scholar] [CrossRef]
- Goldsworthy, R.; Greenberg, J. Analysis of speech-based Speech Transmission Index methods with implications for nonlinear operations. J. Acoust. Soc. Am. 2004, 116, 3679–3689. [Google Scholar] [CrossRef]
- ASTM E1130-16; Standard Test Method for Objective Measurement of Speech Privacy in Open Plan Spaces Using Articulation Index. ASTM International: West Conshohocken, PA, USA, 2021.
- Amlani, A.; Punch, J.; Ching, T. Methods and applications of the audibility index in hearing aid selection and fitting. Trends Amplif. 2002, 6, 81–129. [Google Scholar] [CrossRef]
- Stiles, D. Speech intelligibility index (SII). SAGE Encycl. Hum. Commun. Sci. Disord. 2019, 4, 1770–1772. [Google Scholar] [CrossRef][Green Version]
- Kates, J.; Arehart, K. Coherence and the speech intelligibility index. J. Acoust. Soc. Am. 2005, 117, 2224–2237. [Google Scholar] [CrossRef]
- Pavlovic, C. The speech intelligibility index standard and its relationship to the articulation index, and the speech transmission index. J. Acoust. Soc. Am. 2006, 119, 3326. [Google Scholar] [CrossRef]
- Bradley, J.; Gover, B. Speech levels in meeting rooms and the probability of speech privacy problems. J. Acoust. Soc. Am. 2010, 127, 815–822. [Google Scholar] [CrossRef]
- ASTM E2638-10; Standard Test Method for Objective Measurement of the Speech Privacy Provided by a Closed Room. ASTM International: West Conshohocken, PA, USA, 2017.
- Fortier, C. Speech Privacy Class measurements in Real Office Buildings according to the new ASTM 2638 standard and related STC values. In Proceedings of the Inter Noise, Ottawa, ON, Canada, 23–26 August 2009. [Google Scholar]
- ISO 717-1; Acoustics Rating of Sound Insulation in Buildings and of Building Elements—Part 1: Airborne Sound Insulation. International Organization for Standardization: Geneva, Switzerland, 2013.
- ISO 1996-1; Acoustics—Description, Measurement and Assessment of Environmental Noise—Part 1: Basic Quantities and Assessment Procedures. International Organization for Standardization: Geneva, Switzerland, 2016.
- Adnađević, M.; Mijić, M.; Šumarac Pavlović, D.; Mašović, D. Noise in dwellings generated in normal home activities—General approach. In Proceedings of the Forum Acusticum, Aalburg, Denmark, 7–12 September 2011. [Google Scholar]
- Rulebook on conditions and norms for the design of residential buildings and apartments. 82/2015. The Official Gazette Republic Serbia, 2015.
- Di Loreto, S.; Serpilli, F.; Lori, V.; Di Perna, C. Comparison between Predictive and Measurement Methods of Speech Intelligibility for Educational Rooms of Different Sizes with and without HVAC Systems. Energies 2023, 16, 2719. [Google Scholar] [CrossRef]
- U.J6.201; Technical Requirements for Designing and Constructing of Buildings. Institute for Standardization of Serbia: Belgrade, Serbia, 1990.
- ISO 16283-1; Acoustics—Field Measurement of Sound Insulation in Buildings and of Building Elements—Part 1: Airborne Sound Insulation. International Organization for Standardization: Geneva, Switzerland, 2014.
- ISO 3382; Acoustics Measurement of Room Acoustic Parameters Part 2: Reverberation Time in Ordinary Rooms. International Organization for Standardization: Geneva, Switzerland, 2008.
- Müller-Trapet, M.; Gover, B. Relationship between the privacy index and the speech privacy class. J. Acoust. Soc. Am. 2019, 145, 435–441. [Google Scholar] [CrossRef]
- Mijić, M.; Šumarac Pavlović, D.; Bjelić, M.; Miljković, T. The influence of “silence” on sound comfort. In Proceedings of the ETRAN, Srebrno Jezero, Serbia, 3–6 June 2019. [Google Scholar]
- Zaporozhets, O.; Fiks, B.; Jagniatinskis, A.; Tokarev, V.; Karpenko, S.; Mickaitis, M. Indoor noise A-level assessment related to the environmental noise spectrum on the building façade. Appl. Acoust. 2022, 185, 108380. [Google Scholar] [CrossRef]
- Glean, A.A.; Gatland, S.D., II; Elzeyadi, I. Visualization of Acoustic Comfort in an Open-Plan, High-Performance Glass Building. Buildings 2022, 12, 338. [Google Scholar] [CrossRef]
- Wallace, D.; Cheer, J. Design and evaluation of personal audio systems based on speech privacy constraints. J. Acoust. Soc. Am. 2020, 147, 2271–2282. [Google Scholar] [CrossRef]
- Renz, T.; Leistner, P.; Liebl, P. Auditory distraction by speech: Sound masking with speech-shaped stationary noise outperforms−5 dB per octave shaped noise. J. Acoust. Soc. Am. 2018, 143, 212–217. [Google Scholar] [CrossRef] [PubMed]







| SPC | Privacy States |
|---|---|
| <60 | Speech is almost always audible and often understood |
| 60–65 | Speech mostly audible; short spoken phrases occasionally understood |
| 65–70 | Speech is often heard; short spoken phrases are less often understood |
| 70–75 | Speech is rarely heard; speech is essentially unintelligible (short phrases heard no more than once every 15 min) |
| 75–80 | Speech is seldom audible, and when heard, it is incomprehensible. |
| 80–85 | Speech possibly heard every 15 min; speech unintelligible |
| >85 | Speech imperceptible |
| SPC | Number of Measurement Location |
|---|---|
| <60 | 11 |
| 60–65 | 5 |
| 65–70 | 8 |
| 70–75 | 12 |
| 75–80 | 5 |
| 80–85 | 2 |
| >85 | 0 |
Disclaimer/Publisher’s Note: The statements, opinions and data contained in all publications are solely those of the individual author(s) and contributor(s) and not of MDPI and/or the editor(s). MDPI and/or the editor(s) disclaim responsibility for any injury to people or property resulting from any ideas, methods, instructions or products referred to in the content. |
© 2024 by the authors. Licensee MDPI, Basel, Switzerland. This article is an open access article distributed under the terms and conditions of the Creative Commons Attribution (CC BY) license (https://creativecommons.org/licenses/by/4.0/).
Share and Cite
Bjelić, M.; Miljković, T.; Mijić, M.; Pavlović, D.Š. An Estimation of Speech Privacy Class Based on ISO Parameter. Appl. Sci. 2024, 14, 967. https://doi.org/10.3390/app14030967
Bjelić M, Miljković T, Mijić M, Pavlović DŠ. An Estimation of Speech Privacy Class Based on ISO Parameter. Applied Sciences. 2024; 14(3):967. https://doi.org/10.3390/app14030967
Chicago/Turabian StyleBjelić, Miloš, Tatjana Miljković, Miomir Mijić, and Dragana Šumarac Pavlović. 2024. "An Estimation of Speech Privacy Class Based on ISO Parameter" Applied Sciences 14, no. 3: 967. https://doi.org/10.3390/app14030967
APA StyleBjelić, M., Miljković, T., Mijić, M., & Pavlović, D. Š. (2024). An Estimation of Speech Privacy Class Based on ISO Parameter. Applied Sciences, 14(3), 967. https://doi.org/10.3390/app14030967

