Two-Step Relaxation of Non-Equilibrium Electrons in Graphene: The Key to Understanding Pump–Probe Experiments
Abstract
1. Introduction
2. Materials and Methods
2.1. Carrier Dynamics in Graphene upon Ultrafast Optical Excitation
2.2. Electron Relaxation Model
- Electron–electron (as well as hole–hole and electron–hole) scattering time, ;
- Energy intraband relaxation time, , due to the electron scattering by lattice phonons, which is of the order of picoseconds, slightly exceeding the momentum relaxation time;
- Interband recombination time, , determined by Auger recombination or via optical phonon or plasmon emission.
2.2.1. Non-Thermalized Carriers
- Since the pulse is much longer in time than , during pumping, a stationary situation is rapidly achieved for the distribution width , so we take its asymptotic limit: ;
- For 100 fs pulses, their spectral width (8 meV) should be much smaller than the thermalized distribution energy spread, so we take to be the Gaussian pulse’s spectral width:where is the full width at half-maximum (FWHM) of the pulse in the time domain.
- As the thermalized carriers relax toward lower energies, we assume that their distributions, and , for , are such thatso they do not affect the pump photon’s absorption.
2.2.2. Thermalized Carriers
2.2.3. Low Pump Intensity Approximation
2.2.4. Non-Equilibrium Conductivity Due to Hot Carriers
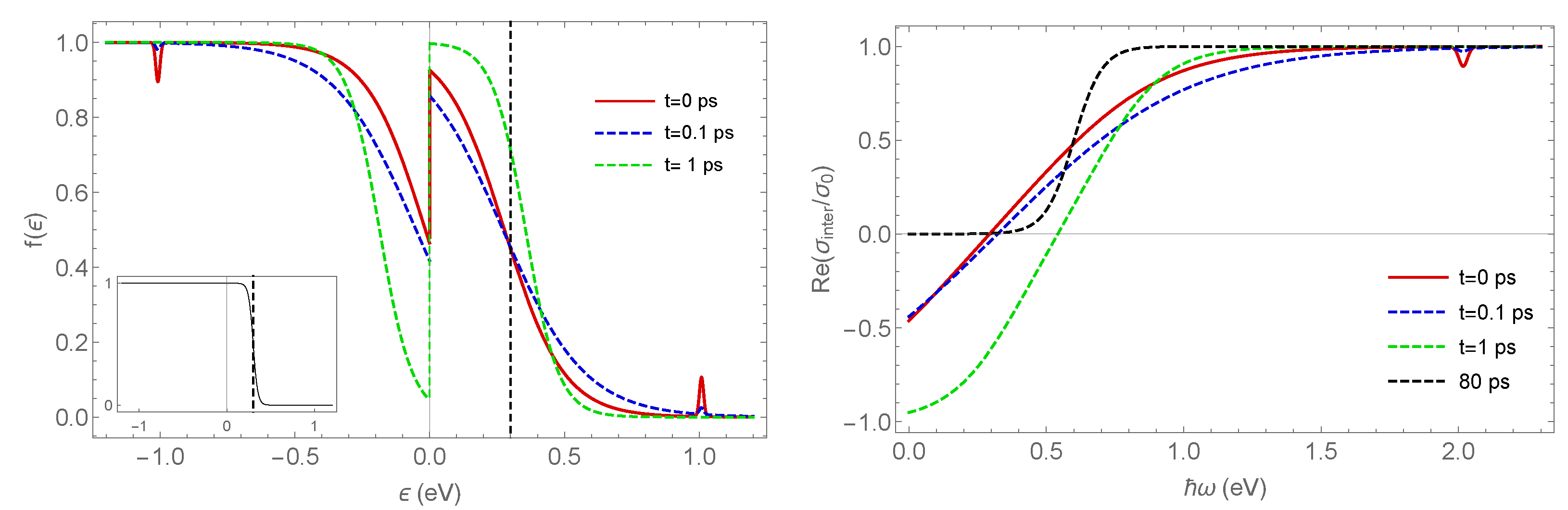
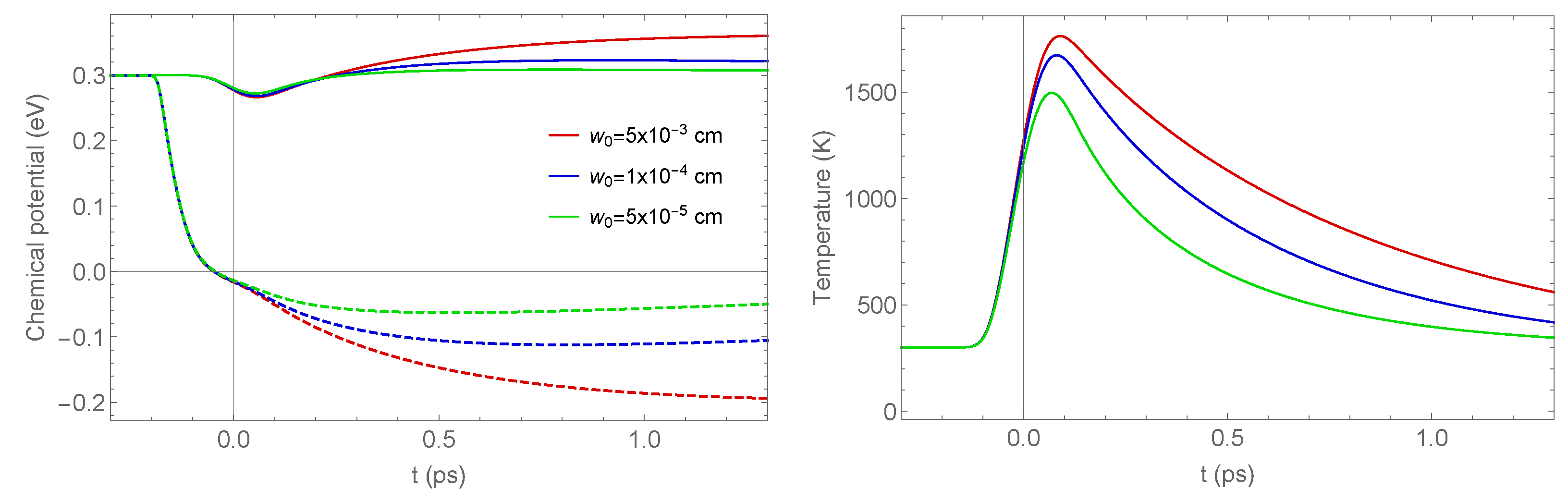
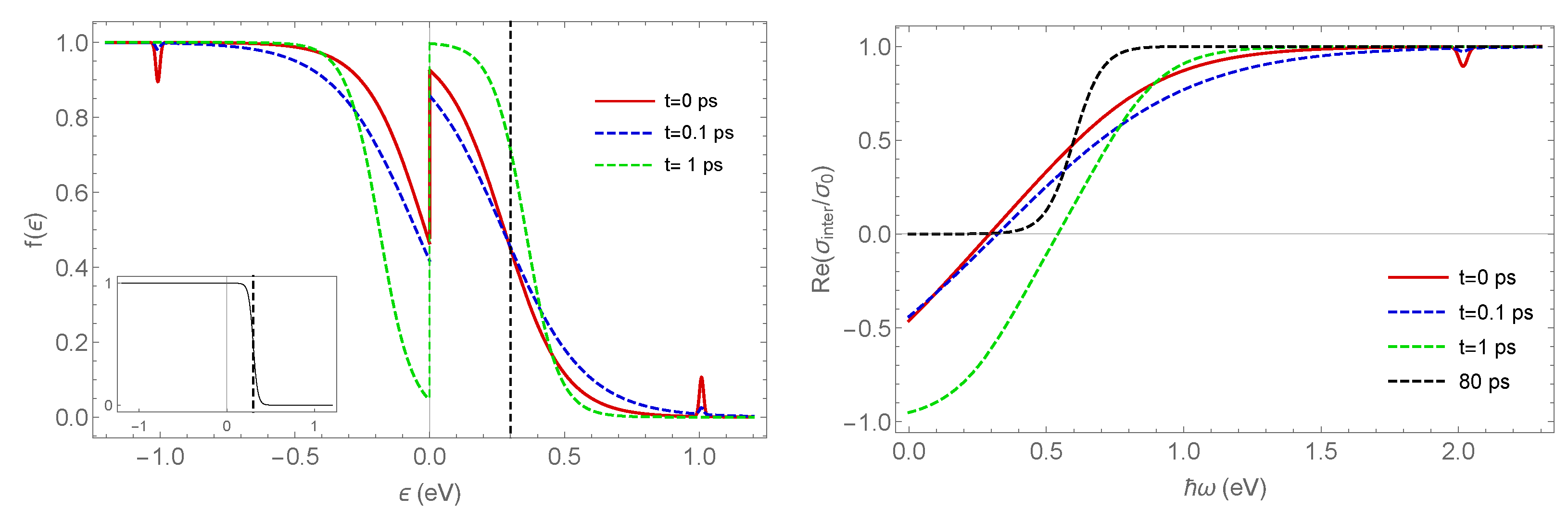
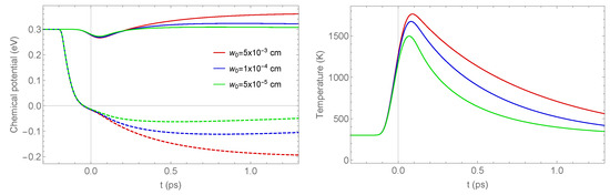
3. Case Study Results and Discussion
4. Concluding Remarks
Supplementary Materials
Author Contributions
Funding
Institutional Review Board Statement
Informed Consent Statement
Data Availability Statement
Acknowledgments
Conflicts of Interest
References and Note
- Boyd, R.W. Nonlinear Optics; Academic Press: Boston, MA, USA, 2008. [Google Scholar]
- Ashoka, A.; Tamming, R.R.; Girija, A.V.; Bretscher, H.; Verma, S.D.; Yang, S.D.; Lu, C.H.; Hodgkiss, J.M.; Ritchie, D.; Chen, C.; et al. Extracting quantitative dielectric properties from pump-probe spectroscopy. Nat. Commun. 2022, 13, 1437. [Google Scholar] [CrossRef]
- Breusing, M.; Kuehn, S.; Winzer, T.; Malić, E.; Milde, F.; Severin, N.; Rabe, J.; Ropers, C.; Knorr, A.; Elsaesser, T. Ultrafast nonequilibrium carrier dynamics in a single graphene layer. Phys. Rev. B 2011, 83, 153410. [Google Scholar] [CrossRef]
- Brida, D.; Tomadin, A.; Manzoni, C.; Kim, Y.J.; Lombardo, A.; Milana, S.; Nair, R.R.; Novoselov, K.S.; Ferrari, A.C.; Cerullo, G.; et al. Ultrafast collinear scattering and carrier multiplication in graphene. Nat. Commun. 2013, 4, 1987. [Google Scholar] [CrossRef] [PubMed]
- Gierz, I.; Petersen, J.C.; Mitrano, M.; Cacho, C.; Turcu, I.C.E.; Springate, E.; Stöhr, A.; Köhler, A.; Starke, U.; Cavalleri, A. Snapshots of non-equilibrium Dirac carrier distributions in graphene. Nat. Mater. 2013, 12, 1119–1124. [Google Scholar] [CrossRef] [PubMed]
- Tielrooij, K.J.; Song, J.C.W.; Centeno, A.; Pesquera, A.; Zurutuza Elorza, A.; Bonn, M.; Levitov, L.S.; Koppens, F.H.L. Photoexcitation cascade and multiple hot-carrier generation in graphene. Nat. Phys. 2013, 9, 248. [Google Scholar] [CrossRef]
- Constant, T.J.; Hornett, S.M.; Chang, D.E.; Hendry, E. All-optical generation of surface plasmons in graphene. Nat. Phys. 2016, 12, 124–127. [Google Scholar] [CrossRef]
- Kundys, D.; Van Duppen, B.; Marshall, O.P.; Rodriguez, F.; Torre, I.; Tomadin, A.; Polini, M.; Grigorenko, A.N. Nonlinear Light Mixing by Graphene Plasmons. Nano Lett. 2018, 18, 282–287. [Google Scholar] [CrossRef]
- Tomadin, A.; Hornett, S.M.; Wang, H.I.; Alexeev, E.M.; Candini, A.; Coletti, C.; Turchinovich, D.; Kläui, M.; Bonn, M.; Koppens, F.H.L.; et al. The ultrafast dynamics and conductivity of photoexcited graphene at different Fermi energies. Sci. Adv. 2018, 4, eaar5313. [Google Scholar] [CrossRef] [PubMed]
- Pogna, E.A.A.; Jia, X.; Principi, A.; Block, A.; Banszerus, L.; Zhang, J.; Liu, X.; Sohier, T.; Forti, S.; Soundarapandian, K.; et al. Hot-Carrier Cooling in High-Quality Graphene Is Intrinsically Limited by Optical Phonons. ACS Nano 2021, 15, 11285–11295. [Google Scholar] [CrossRef] [PubMed]
- Pogna, E.A.A.; Tomadin, A.; Balci, O.; Soavi, G.; Paradisanos, I.; Guizzardi, M.; Pedrinazzi, P.; Mignuzzi, S.; Tielrooij, K.J.; Polini, M.; et al. Electrically Tunable Nonequilibrium Optical Response of Graphene. ACS Nano 2022, 16, 3613–3624. [Google Scholar] [CrossRef]
- Mikhailov, S.A. Non-linear electromagnetic response of graphene. Europhys. Lett. 2007, 79, 27002. [Google Scholar] [CrossRef]
- Bonaccorso, F.; Sun, Z.; Hasan, T.; Ferrari, A. Graphene photonics and optoelectronics. Nat. Photonics 2010, 4, 611–622. [Google Scholar] [CrossRef]
- Dean, J.J.; van Driel, H.M. Second harmonic generation from graphene and graphitic films. Appl. Phys. Lett. 2009, 95, 261910. [Google Scholar] [CrossRef]
- Kumar, N.; Kumar, J.; Gerstenkorn, C.; Wang, R.; Chiu, H.Y.; Smirl, A.L.; Zhao, H. Third harmonic generation in graphene and few-layer graphite films. Phys. Rev. B 2013, 87, 121406. [Google Scholar] [CrossRef]
- Hong, S.Y.; Dadap, J.I.; Petrone, N.; Yeh, P.C.; Hone, J.; Osgood Jr, R.M. Optical third-harmonic generation in graphene. Phys. Rev. X 2013, 3, 021014. [Google Scholar] [CrossRef]
- Miao, L.; Jiang, Y.; Lu, S.; Shi, B.; Zhao, C.; Zhang, H.; Wen, S. Broadband ultrafast nonlinear optical response of few-layers graphene: Toward the mid-infrared regime. Photonics Res. 2015, 3, 214–219. [Google Scholar] [CrossRef]
- Dremetsika, E.; Dlubak, B.; Gorza, S.P.; Ciret, C.; Martin, M.B.; Hofmann, S.; Seneor, P.; Dolfi, D.; Massar, S.; Emplit, P.; et al. Measuring the nonlinear refractive index of graphene using the optical Kerr effect method. Opt. Lett. 2016, 41, 3281–3284. [Google Scholar] [CrossRef] [PubMed]
- Bao, Q.; Zhang, H.; Wang, Y.; Ni, Z.; Yan, Y.; Shen, Z.X.; Loh, K.P.; Tang, D.Y. Atomic-layer graphene as a saturable absorber for ultrafast pulsed lasers. Adv. Funct. Mater. 2009, 19, 3077–3083. [Google Scholar] [CrossRef]
- Bao, Q.; Zhang, H.; Ni, Z.; Wang, Y.; Polavarapu, L.; Shen, Z.; Xu, Q.H.; Tang, D.; Loh, K.P. Monolayer graphene as a saturable absorber in a mode-locked laser. Nano Res. 2011, 4, 297–307. [Google Scholar] [CrossRef]
- Hendry, E.; Hale, P.J.; Moger, J.; Savchenko, A.; Mikhailov, S.A. Coherent nonlinear optical response of graphene. Phys. Rev. Lett. 2010, 105, 097401. [Google Scholar] [CrossRef]
- Ciesielski, R.; Comin, A.; Handloser, M.; Donkers, K.; Piredda, G.; Lombardo, A.; Ferrari, A.C.; Hartschuh, A. Graphene near-degenerate four-wave mixing for phase characterization of broadband pulses in ultrafast microscopy. Nano Lett. 2015, 15, 4968–4972. [Google Scholar] [CrossRef]
- Castelló-Lurbe, D.; Thienpont, H.; Vermeulen, N. Predicting Graphene’s Nonlinear-Optical Refractive Response for Propagating Pulses. Laser Photonics Rev. 2020, 14, 1900402. [Google Scholar] [CrossRef]
- Peres, N.; Bludov, Y.V.; Santos, J.E.; Jauho, A.P.; Vasilevskiy, M. Optical bistability of graphene in the terahertz range. Phys. Rev. B 2014, 90, 125425. [Google Scholar] [CrossRef]
- Cheng, J.L.; Vermeulen, N.; Sipe, J. Third-order nonlinearity of graphene: Effects of phenomenological relaxation and finite temperature. Phys. Rev. B 2015, 91, 235320. [Google Scholar] [CrossRef]
- Mikhailov, S.A. Quantum theory of the third-order nonlinear electrodynamic effects of graphene. Phys. Rev. B 2016, 93, 085403. [Google Scholar] [CrossRef]
- Ventura, G.B.; Passos, D.J.; Lopes dos Santos, J.M.B.; Viana Parente Lopes, J.M.; Peres, N.M.R. Gauge covariances and nonlinear optical responses. Phys. Rev. B 2017, 96, 035431. [Google Scholar] [CrossRef]
- Hafez, H.A.; Kovalev, S.; Deinert, J.C.; Mics, Z.; Green, B.; Awari, N.; Chen, M.; Germanskiy, S.; Lehnert, U.; Teichert, J.; et al. Extremely efficient terahertz high-harmonic generation in graphene by hot Dirac fermions. Nature 2018, 561, 507–511. [Google Scholar] [CrossRef] [PubMed]
- Constant, T.J.; Hornett, S.M.; Chang, D.E.; Hendry, E. Intensity dependences of the nonlinear optical excitation of plasmons in graphene. Phil. Trans. R. Soc. A 2017, 375, 20160066. [Google Scholar] [CrossRef] [PubMed]
- Tollerton, C.J.; Bohn, J.; Constant, T.J.; Horsley, S.A.R.; Chang, D.E.; Hendry, E.; Li, D.Z. Origins of All-Optical Generation of Plasmons in Graphene. Sci. Rep. 2019, 9, 3267. [Google Scholar] [CrossRef] [PubMed]
- Dias, R.; Viana Gomes, J.C.; Vasilevskiy, M.I. Analysis of All-Optical Generation of Graphene Surface Plasmons by a Frequency-Difference Process. Appl. Sci. 2022, 12, 12376. [Google Scholar] [CrossRef]
- Cardona, M.; Peter, Y.Y. Fundamentals of Semiconductors; Springer: Berlin/Heidelberg, Germany, 2005; Volume 619. [Google Scholar]
- Ridley, B.K. Hot electrons in low-dimensional structures. Rep. Prog. Phys. 1991, 54, 169. [Google Scholar] [CrossRef]
- Roukes, M.L.; Freeman, M.R.; Germain, R.S.; Richardson, R.C.; Ketchen, M.B. Hot electrons and energy transport in metals at millikelvin temperatures. Phys. Rev. Lett. 1985, 55, 422–425. [Google Scholar] [CrossRef]
- Wellstood, F.C.; Urbina, C.; Clarke, J. Hot-electron effects in metals. Phys. Rev. B 1994, 49, 5942–5955. [Google Scholar] [CrossRef] [PubMed]
- Oladyshkin, I.; Bodrov, S.; Sergeev, Y.A.; Korytin, A.; Tokman, M.; Stepanov, A. Optical emission of graphene and electron–hole pair production induced by a strong terahertz field. Phys. Rev. B 2017, 96, 155401. [Google Scholar] [CrossRef]
- Mikhailov, S.A. Theory of the strongly nonlinear electrodynamic response of graphene: A hot electron model. Phys. Rev. B 2019, 100, 115416. [Google Scholar] [CrossRef]
- Wang, H.; Strait, J.H.; George, P.A.; Shivaraman, S.; Shields, V.B.; Chandrashekhar, M.; Hwang, J.; Rana, F.; Spencer, M.G.; Ruiz-Vargas, C.S.; et al. Ultrafast relaxation dynamics of hot optical phonons in graphene. Appl. Phys. Lett. 2010, 96, 081917. [Google Scholar] [CrossRef]
- Plochocka, P.; Kossacki, P.; Golnik, A.; Kazimierczuk, T.; Berger, C.; De Heer, W.; Potemski, M. Slowing hot-carrier relaxation in graphene using a magnetic field. Phys. Rev. B 2009, 80, 245415. [Google Scholar] [CrossRef]
- Ruzicka, B.A.; Wang, S.; Werake, L.K.; Weintrub, B.; Loh, K.P.; Zhao, H. Hot carrier diffusion in graphene. Phys. Rev. B 2010, 82, 195414. [Google Scholar] [CrossRef]
- Hale, P.J.; Hornett, S.M.; Moger, J.; Horsell, D.; Hendry, E. Hot phonon decay in supported and suspended exfoliated graphene. Phys. Rev. B 2011, 83, 121404. [Google Scholar] [CrossRef]
- Li, T.; Luo, L.; Hupalo, M.; Zhang, J.; Tringides, M.; Schmalian, J.; Wang, J. Femtosecond population inversion and stimulated emission of dense Dirac fermions in graphene. Phys. Rev. Lett. 2012, 108, 167401. [Google Scholar] [CrossRef]
- Doukas, S.; Mensz, P.; Myoung, N.; Ferrari, A.; Goykhman, I.; Lidorikis, E. Thermionic graphene/silicon Schottky infrared photodetectors. Phys. Rev. B 2022, 105, 115417. [Google Scholar] [CrossRef]
- Massicotte, M.; Soavi, G.; Principi, A.; Tielrooij, K.J. Hot carriers in graphene, fundamentals and applications. Nanoscale 2021, 13, 8376–8411. [Google Scholar] [CrossRef] [PubMed]
- Hamm, J.M.; Page, A.F.; Bravo-Abad, J.; Garcia-Vidal, F.J.; Hess, O. Nonequilibrium plasmon emission drives ultrafast carrier relaxation dynamics in photoexcited graphene. Phys. Rev. B 2016, 93, 041408. [Google Scholar] [CrossRef]
- Kim, L.; Kim, S.; Jha, P.K.; Brar, V.W.; Atwater, H.A. Mid-infrared radiative emission from bright hot plasmons in graphene. Nat. Mater. 2021, 20, 805–811. [Google Scholar] [CrossRef] [PubMed]
- Rana, F.; Strait, J.H.; Wang, H.; Manolatou, C. Ultrafast carrier recombination and generation rates for plasmon emission and absorption in graphene. Phys. Rev. B 2011, 84, 045437. [Google Scholar] [CrossRef]
- Tomadin, A.; Brida, D.; Cerullo, G.; Ferrari, A.C.; Polini, M. Nonequilibrium dynamics of photoexcited electrons in graphene: Collinear scattering, Auger processes, and the impact of screening. Phys. Rev. B 2013, 88, 035430. [Google Scholar] [CrossRef]
- Falkovsky, L.A. Optical properties of graphene. J. Phys. Conf. Ser. 2008, 129, 012004. [Google Scholar] [CrossRef]
- We notice that the “slowly varying amplitude” approximation is still valid here because the relevant frequency in Equation (43) is ωb and also satisfies ωτee > 1.
- Du, S.; Xie, H.; Yin, J.; Sun, Y.; Wang, Q.; Liu, H.; Qi, W.; Cai, C.; Bi, G.; Xiao, D.; et al. Giant hot electron thermalization via stacking of graphene layers. Carbon 2023, 203, 835–841. [Google Scholar] [CrossRef]
- Dias, R.; Cunha, D.; Vasilevskiy, M. Generation of hot surface plasmons in graphene by a powerful optical beam. In Proceedings of the 2023 23rd International Conference on Transparent Optical Networks (ICTON), Bucharest, Romania, 2–6 July 2023; pp. 1–4. [Google Scholar] [CrossRef]
- Yao, X.; Tokman, M.; Belyanin, A. Efficient Nonlinear Generation of THz Plasmons in Graphene and Topological Insulators. Phys. Rev. Lett. 2014, 112, 055501. [Google Scholar] [CrossRef]
- Gonçalves, P.A.D.; Peres, N.M.R. An Introduction to Graphene Plasmonics; World Scientific Publishing: Singapore, 2016. [Google Scholar]
- Seeger, K. Semiconductor Physics: An Introduction; Springer: Berlin/Heidelberg, Germany, 2004. [Google Scholar]
- Arfken, G.B.; Weber, H.J.; Harris, F.E. Mathematical Methods for Physicists; Elsevier: Amsterdam, The Netherlands, 2012. [Google Scholar]





| 615 nm | 85 fs | ||
| 40° | 20° | ||
| 0.26 mJ/cm2 | 0.0028 mJ/cm2 | ||
| 300 m | 300 K | ||
| n | 1.46 | 0.3 meV |
Disclaimer/Publisher’s Note: The statements, opinions and data contained in all publications are solely those of the individual author(s) and contributor(s) and not of MDPI and/or the editor(s). MDPI and/or the editor(s) disclaim responsibility for any injury to people or property resulting from any ideas, methods, instructions or products referred to in the content. |
© 2024 by the authors. Licensee MDPI, Basel, Switzerland. This article is an open access article distributed under the terms and conditions of the Creative Commons Attribution (CC BY) license (https://creativecommons.org/licenses/by/4.0/).
Share and Cite
Cunha, D.F.P.; Dias, R.; Rodrigues, M.J.L.F.; Vasilevskiy, M.I. Two-Step Relaxation of Non-Equilibrium Electrons in Graphene: The Key to Understanding Pump–Probe Experiments. Appl. Sci. 2024, 14, 1250. https://doi.org/10.3390/app14031250
Cunha DFP, Dias R, Rodrigues MJLF, Vasilevskiy MI. Two-Step Relaxation of Non-Equilibrium Electrons in Graphene: The Key to Understanding Pump–Probe Experiments. Applied Sciences. 2024; 14(3):1250. https://doi.org/10.3390/app14031250
Chicago/Turabian StyleCunha, Diogo F. P., Rui Dias, Manuel J. L. F. Rodrigues, and Mikhail I. Vasilevskiy. 2024. "Two-Step Relaxation of Non-Equilibrium Electrons in Graphene: The Key to Understanding Pump–Probe Experiments" Applied Sciences 14, no. 3: 1250. https://doi.org/10.3390/app14031250
APA StyleCunha, D. F. P., Dias, R., Rodrigues, M. J. L. F., & Vasilevskiy, M. I. (2024). Two-Step Relaxation of Non-Equilibrium Electrons in Graphene: The Key to Understanding Pump–Probe Experiments. Applied Sciences, 14(3), 1250. https://doi.org/10.3390/app14031250

