Next Article in Journal
Do Vibrational Forces Induce an Anabolic Effect in the Alveolar Bone of Animal Models? A Systematic Review
Previous Article in Journal
Storage and Management of Ship Position Based on Geographic Grid Coding and Its Efficiency Analysis in Neighborhood Search—A Case Study of Shipwreck Rescue and Google S2
 
 
Font Type:
Arial Georgia Verdana
Font Size:
Aa Aa Aa
Line Spacing:
Column Width:
Background:
Article

Deploying IIoT Systems for Long-Term Planning in Underground Mining: A Focus on the Monitoring of Explosive Atmospheres

1
Department of Computer Engineering, Universidad Pedagógica y Tecnológica de Colombia, Tunja 150003, Colombia
2
Department of Industrial Engineering, Universidad Pedagógica y Tecnológica de Colombia, Tunja 150003, Colombia
3
Department of Electronic Engineering, Universidad Pedagógica y Tecnológica de Colombia, Tunja 150003, Colombia
*
Author to whom correspondence should be addressed.
Appl. Sci. 2024, 14(3), 1116; https://doi.org/10.3390/app14031116
Submission received: 21 December 2023 / Revised: 19 January 2024 / Accepted: 24 January 2024 / Published: 29 January 2024
(This article belongs to the Section Earth Sciences)

Abstract

This paper presents a novel methodology for deploying wireless sensor nodes in the Industrial Internet of Things (IIoT) to address the safety and efficiency challenges in underground coal mining. The methodology is intended to support long-term planning on mitigating the risks in occupational health and safety policies. To ensure realistic and accurate deployment, we propose a software tool that generates mine models based on geolocation data or blueprints in image format, allowing precise adaptation to the specific conditions of each mine. Furthermore, the process is based on sensing and communication range values obtained through simulations and on-site experiments. The deployment strategy is articulated in two complementary steps: a deterministic deployment, where nodes are strategically placed according to the structure of the tunnels, followed by a random stage to include additional nodes that ensure optimal coverage and connectivity inside the mine by comparing different methodologies for deploying sensor networks using coverage density as a performance metric. We analyze coverage and connectivity based on the three probability density functions (PDFs) for the random deployment of nodes: uniform, normal, and exponential, evaluating both the degree of coverage (k-coverage) and the degree of connectivity (k-connectivity). The results show that our proposed methodology stands out for its lower density of sensors per square meter, which translates into a reduction of between 20.81% and 23.46% for uniform and exponential PDFs, respectively, concerning the number of sensors compared to the analyzed methodologies. In this way, it is possible to determine which distribution is suitable to cover the elongated area with the smallest number of nodes, considering the coverage and connectivity requirements, to reduce the deployment cost. The uniform PDF minimizes the number of sensors needed by 44.70% in small mines and 46.27% in medium ones compared to the exponential PDF. These findings provide valuable information to optimize node deployment regarding cost and efficiency; a uniform function is a good option depending on prices. The exponential distribution reached the highest values of k-coverage and k-connectivity for small and medium-sized mines; in addition, it has greater robustness and tolerance to faults like signal network intermittence. This methodology not only improves the collection of critical information for the mining operation but also plays a vital role in reducing the risks to the health and safety of workers by providing a more robust and adaptive monitoring system. The approach can be used to plan IIoT systems based on Wireless Sensor Networks (WSN) for underground mining exploitation, offering a more reliable and adaptable strategy for monitoring and managing complex work environments.

1. Introduction

Mining plays a vital role in the economic and social development of many countries, and their sustainable development helps to enhance workers’ occupational safety and health (OSH), promotes the participation of diverse communities, and fosters sustainable mining practices [1]. The economic impact of mining can be measured in terms of employment and income generation, considering that small-scale mining provides income to about 13 million workers and their families worldwide [2]. Mining is one of the most critical sectors for Colombia’s economic development. The mining sector contributed 5.4% of the country’s Gross Domestic Product (GDP) for the first trimester of 2019. Colombia is one of the largest coal exporters in the world [3], with proven reserves of 0.5% of the world’s total [4], which will allow it to remain one of the leading world producers during the next 183 years [5]. It is also the second-largest producer of emeralds in the world, after Zambia [6], so mining has become one of the economic alternatives in the rural sector in Colombia, which results in support of a high percentage of families and constitutes one of the essential industrial lines in the country. However, underground mining is a dangerous job. Between 2005 and 2019, there were 1316 mining emergencies in Colombia, with a balance of 1476 fatalities [7]. The causes range from falls (collapses) to other incidents, including the operation of heavy machinery and accidents involving explosions. These emergencies are associated with using explosives, coal dust, and/or the concentration of explosive gases. In this context, and recognizing the high number of fatalities in developing countries, the challenge invites us to create and adapt technological solutions to mitigate these OSH risks from prevention and alerts in the case of accidents. One of the most promising avenues to achieve this goal is the implementation of Industrial Internet of Things (IIoT) systems in underground mining environments. These systems, composed of wireless sensor networks, have the potential to continuously monitor environmental conditions, such as the concentration of explosive gases, and provide early warnings to prevent accidents. However, an open issue in this scenario is how to adopt these technologies for deployment and their cost, which can be an obstacle, particularly in small-scale mining operations.
Therefore, this study focuses on developing a methodology for the efficient deployment of Wireless Sensor Networks (WSNs) in underground mines aimed at early detection of hazardous gases and mitigation of explosion risks. At the same time, it focuses on cost efficiency, seeking to create an accessible and low-cost IIoT system that can be implemented in large mining operations and smaller mines with limited resources. Many technologies can be used to improve the miners’ safety, combining wireless and wired technologies. WSNs were designed to communicate with sensors by generating a cooperative network between nodes to measure and control various variables. They are characterized by using sensor nodes capable of processing data that work collaboratively. WSNs play a vital role in the IIoT, increasing the awareness of specific environments and linking physical and virtual objects, using WSNs to connect the sensor nodes. The IIoT applies Internet of Things (IoT) technology in industrial environments. In the IIoT context, sensors and devices collect real-time data regarding production processes, equipment, supply chain, and energy consumption. These data are analyzed to make decisions, predict maintenance, and optimize production.
According to the taxonomy proposed by Boyes et al. [8], the industry sectors that use the IIoT are the energy sector, water, sewerage, transport, telecommunications, agriculture, mining, manufacturing, and retail. All are considered critical infrastructure for the development of the economy, except the retail sector. In the mining sector, IIoT is used to improve worker safety [9,10] and the production and exploitation processes [11]. Furthermore, Zhou et al. [12] shows the potential benefits of applying IIoT systems in underground coal mines to improve safety, productivity, and equipment automation.
On the other hand, analyzing the information technology used in the mining sector and identifying the challenges regarding IIoT adoption, [13] proposes a unified architecture for the mining industry, considering IIoT frameworks and standards. We propose to design, develop, and implement an IIoT system that allows the monitoring of environmental variables in mining environments. The solution comprises static nodes in different mine locations and mobile nodes that the miners would carry. The nodes would communicate using a WSN and be sent to external monitoring centers over the Internet. The monitoring centers will be located in safety entities and with mine administrators.
The deployment of sensor nodes in IIoT systems refers to the site of sensors’ placement in the scenario. The node deployment methods fall into deterministic and random distribution [14]. In deterministic deployment, the locations are known according to some pattern or vector. In contrast, in random deployment, the sensors are scattered in the region of interest (RoI), following a randomized distribution [14]. Deterministic deployment schemes are ideal for network efficiency but impractical and impossible in large or inaccessible/harsh areas. For example, harsh environments like battlefields or disaster regions make deterministic deployment risky and infeasible. Random deployment becomes the only option, with sensors delivered from various sources such as planes, artillery shells, rockets, missiles, or ships [15]. The environment is the main criterion when defining which deployment method is used. However, it is also possible to consider the deployment objectives, such as coverage, connectivity, energy consumption, and network lifetime.
Sensor deployment is a crucial design issue in IIoT based on WSNs and is considered critical because it determines the network’s performance. The proper placement of sensors can optimize performance metrics such as coverage, network connectivity, network lifetime, energy efficiency, reliability, deployment cost, and fault tolerance. A good deployment improves performance in information gathering and communication. The application requirements and the deployment scenario mainly determine the method for node deployment. Monitoring underground coal mines’ environment at work fronts and in transport tunnels is mandatory. Nodes must be deployed deterministically or randomly, but choosing only one deployment method causes performance issues such as coverage holes and weak network connectivity. It could also affect the deployment cost. Coverage indicates how well the sensors detect behaviors in the RoI [16] and is a function of the sensing range (rs). Connectivity refers to ensuring the node’s communication with other nodes and the sink node and is a communication range (rc) function. To address these issues, a proper deployment methodology that combines deterministic and random deployment to support long-term planning is proposed in the present work.
This paper proposes a methodology for deploying WSN-based IIoT systems for gas monitoring of explosive atmosphere for long-term underground coal mine planning. Using a deterministic and random deployment, the algorithm locates the sensor nodes from a long-term planning blueprint. The sensors are located in tunnel crossings and at work fronts in the deterministic deployment step. Then, using random distributions, it locates new sensors to cover the whole scenario in case it does not meet the coverage and connectivity requirements. The strategy considers the communication and coverage sensing ranges obtained from previous experimental studies. The three main contributions of this paper are (1) a methodology based on a software tool to support operational planning of the deployment of IIoT systems to monitor explosive atmospheres in underground coal mines, to accomplish coverage and connectivity requirements, (2) an evaluation of the distributions for the random deployment of sensor nodes in underground mines, and (3) the use of real coordinates to replicate the actual structure of the mines and the sensor nodes’ location.
The remainder of this paper is organized as follows. Section 2 presents IIoT, deployment background, and related work. Section 3 offers the proposed deployment methodology. Section 4 and Section 5 show the experimental setup and discussion results of the tested distribution functions. Section 6 concludes the paper.

2. Background and Related Work

2.1. Underground Mining

Underground mining consists of extracting and transporting material through tunnels and galleries that reach the surface. Mineral recovery must be based on safety and economy while providing adequate roof and floor support at the production fronts to preserve the surface from subsidence.
The development of an underground mine can be divided into five phases: prospecting, exploration, development, exploitation, and reclamation [17]. The first two phases, exploration and exploitation, are involved in finding and determining the efficiency of mining and exploration. The third phase, development, enables the processing of the ore through the development of drift (tunnels) in the ore and surrounding rock mass. The fourth stage, exploitation, is the actual exploration of the ore. Finally, the fifth stage, the recovery, is intended to restore the affected environment to its original state as far as possible.
Mining planning and scheduling aim to seek the rational use of the deposit, allowing the maximum recovery of reserves so that the project is technically, economically, and socially sustainable over time, and environmentally viable. Mine planning is usually divided into long-term, short-term, and production schedules. The short-term planning varies in time from about six months up to three years and plays a crucial role in ensuring that the day-to-day operations align with the long-term strategic goals of the mine. Long-term planning refers to the planning process, including operations and strategic decisions, through the years, and even decades. A long-term plan defines a master plan to seek the rational use of the deposit, while the short-term plan contains the activities to reach the objectives of long-term goals. In the Colombian context, a long-term plan must include information about:
  • The exploitation method.
  • The design of miners’ activities like use of explosives, loading and transport, support, ventilation, electrification, drainage system, dumps, and occupational health and safety systems.
  • Design of the mine, ventilation, drainage blueprints, and blasting and drilling designs.
  • Machinery and equipment.
  • Required staff.
  • Schedule.
  • Financial evaluation of the project.
Long-term planning takes advantage of an IIoT system because it helps to plan the occupational health and safety system by locating sensor nodes to monitor the environment to improve safety, establishing a network of communications integrating these nodes into emergency response strategies, and ensuring regulatory compliance. Moreover, integrating an IIoT system into the planning can be used to optimize ventilation systems and predict potential problems.

2.2. Internet of Things/Industrial Internet of Things

IoT is a paradigm that offers the benefits of the Internet to anything connected to the network, from watches to vehicles, and even clothing and household appliances. Although the IoT was initially conceived to use Radio Frequency Identification (RFID) [18], they were applied in other contexts due to the limitations of the identification and tracking labels’ range. Over the years, they have incorporated other technologies such as WSNs and Bluetooth, which, used individually or together, enhance the capabilities of the IoT, with WSNs being one of the most widely used technologies in deploying IoT-based products and services [19].
The potential of the IoT can be developed in many applications. Since 2008, the Beecham Research company has generated a map of the IoT world, in which nine key sectors are defined, among which IoT applications for coal mining stand out within the industrial sector [20]. The IoT in underground mining has been developing for a few years, mainly in monitoring environmental conditions [21,22,23], gas monitoring [24,25,26,27,28], preventing and managing disasters, and identifying and locating miners [29,30,31,32].
Alternatively, the Industrial Internet of Things (IIoT) refers to adopting IoT architecture and services in the industry, considering differences in the usage scenario, technical requirements, technology used, and implementation strategies. The IIoT is associated with concepts such as Industry 4.0, Cyber-physical Systems (CPS), control systems and industrial automation (Industrial Automation and Control Systems (IACS)), supervision, and control and acquisition Supervisory Control And Data Acquisition (SCADA) [33]. The IIoT is machine-oriented, typically used in mission-critical scenarios, and has many applications (e.g., predicting equipment failures, increasing production performance, and enhancing efficiency, safety, and working conditions).
Various technologies converge in IIoT systems, that is, a heterogeneous system that requires flexible architectures. Different architectures have been proposed in the literature. These architectures are varied in terms of functionalities and technical terminology. The basic model is a three-tier architecture comprising edge, platform, and enterprise layers [34] as follows:
  • The edge tier is responsible for perceiving the environment through edge nodes and communicating it using the proximity network.
  • The platform tier processes and analyzes data between tiers, relays, and forward control commands between the enterprise and edge tiers.
  • The enterprise tier is responsible for domain-specific applications and providing services to customers.

2.3. Designing an IIoT Solution for Gas Monitoring in Underground Mines

In the harsh environment of underground mining, continuous and precise monitoring of gases is paramount for ensuring the safety of the mining personnel and optimizing operational efficiency. Integrating Industrial Internet of Things (IIoT) solutions offers a sophisticated approach to achieving enhanced monitoring capabilities, facilitating real-time data acquisition, analysis, and proactive response mechanisms. The IIoT system’s comprehensive design aims to adapt to the diverse geological conditions and operational scenarios encountered in underground mines, thus providing a robust and reliable solution for gas monitoring. In this context, designing an IIoT solution for gas monitoring involves conceptualizing a multidimensional architecture that harmonizes sensor technologies, communication networks, data processing units, and user interfaces to formulate a coherent and efficient monitoring mechanism, as shown in Figure 1.
The proposed IIoT solution comprises the following components:
  • Sensor nodes. Nodes equipped with gas sensors can detect and measure concentrations of gases such as methane, carbon monoxide, carbon dioxide, and sulfur dioxide. Two sensor nodes must be deployed in the mine: static and mobile. The statics nodes will be deployed according to the normativity in work faces, roadways, and abandoned sites. Miners can carry the mobile nodes in their helmets. The nodes must be capable of performing initial data analysis, communicating data, and operating energy efficiently.
  • Communication network. A robust and reliable communication network is crucial. The network should be capable of maintaining connectivity in the harsh and dynamic underground mine environment to transmit data from the sensor nodes to the processing units in real time. The communications network can be wireless, wired, or a combination of technologies. The wireless nodes are linked using a WSN.
  • Data processing and analysis. Data collected from the sensor nodes are processed and analyzed, utilizing advanced algorithms and analytical tools to detect abnormal patterns and potential hazards. The system employs edge and cloud computing to ensure efficient data processing and storage.
  • Dashboard for monitoring. Information is presented to end-users using friendly interfaces, enabling informed decision-making. The interface visualizes the measure of gases and alerts and sends real-time notifications.
  • Deployment methodology. Considering the unique mine structures and conditions, the sensor deployment should be strategic to ensure optimal coverage and connectivity. The deployment can incorporate a deterministic and random strategy to adapt to scenario conditions, optimizing sensor locations based on environmental risk factors and mining activities.

2.4. WSN Deployment

WSNs are very interesting because they can monitor and collect data in different environments and provide valuable real-time information for decision-making processes. WSNs are a fundamental part of the IIoT system because they are responsible for interconnecting the edge nodes (sensors, actuators, devices, and control systems) in what is known as a proximity network.
One of the fundamental design problems of a WSN is the location of the sensors on the RoI, namely sensor or WSN deployment. The sensor’s location may affect the system requirements and network performance metrics like coverage and connectivity. Careful placement of sensors along the tunnel can be a very effective means of optimization to achieve the desired design objectives [15]. The node sensor deployment can be classified into deterministic and random.

2.4.1. Deterministic Deployment

Deterministic deployment predetermines the location of sensor nodes and is usually pursued in indoor applications [35]. This approach requires a detailed understanding of the monitored area, including terrain, physical characteristics, and specific monitoring requirements. Nodes are then strategically placed where they can provide the most effective coverage and connectivity. Deterministic deployments often use resources more efficiently because they can control where each node is placed. However, implementing it can be expensive and inaccurate, especially if the deployment area still needs to be determined.

2.4.2. Random Deployment

This deployment distributes the sensor nodes randomly within the area of interest using a probability density function (PDF) [36]. This approach is often used when a site is too large or dangerous to place manually or when the exact need for surveillance is not known in advance. Random deployment is generally faster and cheaper than deterministic deployment but can differ in coverage and connectivity.

2.4.3. Coverage and Connectivity

Two concepts are fundamental when talking about deployment: coverage and connectivity. Coverage is the ability of a network to monitor an entire area of interest and can be considered a quality measure in the WSN [37]. In the mining context, this means ensuring that every RoI of the mine is within range of at least one sensor node (e.g., work front and transport tunnels). Connectivity refers to the ability of nodes to communicate with each other and sink nodes. Coverage and connectivity are essential issues in the WSN [38] and IIoT.
Therefore, the optimal sensor deployment strategy aims to achieve a network connection while optimizing coverage. By optimizing coverage, deployment strategies ensure that sensor coverage covers the optimal areas of the sensor field, as the fundamental application requires. By ensuring that the network is connected, sensor information can be transferred to other nodes and possibly to centralized base stations to make decisions [38].
Previously, the communication range was obtained by carrying out campaign measures in a real mine. The objective of the experiment was to evaluate how the error metrics PER (packet error rate), BER (bit error rate), and RSSI (received signal strength indicator) as a function of distance are impacted in an underground mine tunnel environment. The measurement campaign was executed in the 433 MHz band because it is within the ISM band (industrial, scientific, and medical) to avoid interference with the radio communications equipment and alarm systems; in addition, the United States Mine Safety and Health Administration (MSHA) suggests using frequencies between 150 MHz and 6 GHz for communications in coal mines. This recommendation is because high-frequency signals face more significant attenuation than low-frequency signals [14,15].
We propose to design, develop, and implement an IIoT system, shown in Figure 2, that allows the monitoring of environmental variables in mining environments. The solution comprises static nodes in different mine locations and mobile nodes that the miners would carry. The nodes would communicate using a WSN and be sent to external monitoring centers over the Internet. The monitoring centers will be located in safety entities and mine administrators.
For the experiment, a WSN was designed with a point-to-point linear topology. The WSN comprises a receiver node and three transmitter nodes, which emulate the deployment of a network for monitoring and supervising gases in an explosive atmosphere in a coal mine. The action-taking starts when the receiving node sends a start signal to the sending nodes, and they respond to the packets in turns according to a timer set to 3 s. Packets are transmitted to the node closest to the receiver, then the second node in range, and finally, the third node at a maximum distance of up to 5 m. Each node transmits a total of 20 packets of 264 bytes in size. The packets are received by the receiving node and forwarded to a computer to be processed and stored. For each location, 100 measurements were taken at the receiver, for a total of 2000 readings averaged to represent the level of the parameter of interest. Measurements were collected under the line of sight (LOS) and NLOS conditions and divided into three parts. The first part of the measurement campaign was carried out between 15 and 25 m because the initial tests at the mine found a reliable transmission range of up to 15 m. Some environmental factors were identified from this distance, representing limitations in the range between nodes. The measurements showed a packet and bit error rate of 0% and a RSSI between −83 and −99 dBm. For the second part, nodes located at 30, 35, and 40 m, significant losses were observed in the third node. Due to the above, locating nodes in the 35 to 40 m range was decided. In the third test, nodes situated at 36, 37, and 38 m, a PER of 15%, 25%, and 90%, respectively, were observed, as well as the BER of 7.1%, 3.45%, and 59.51%. From the experiment, it is concluded that the reliable communication range within the mine is up to 35 m.
Regarding the coverage range, some authors assume approximate values without any basis, while others do not consider this value. In this work, a sensing range of 12 m is assumed, taking into account the results obtained in [39,40,41].

2.5. Related Work

Only some works propose the deployment of sensor nodes for long-term planning in underground mining. However, articles that propose general frameworks and strategies to deploy sensors in mining were found in the literature review. In [42], the authors focus on enhancing the communication approach of relay nodes in WSN—IoT for underground coal mines. They propose a framework design for relay node deployment patterns with load balancing to maximize the network’s lifetime. The proposed model improves the network coverage lifetime parameter compared to existing linear relay node deployment approaches. This paper does not provide any specific results as a proposal but suggests the need for experimental validation with various network analysis parameters to validate the proposed model.
On the other hand, Thirumal and Kumar [43] proposed a multilevel sensor deployment approach in an IIoT-based environmental monitoring system in underground coal mines to enhance the network’s lifetime and minimize the tunneling effect (a quantum phenomenon where a particle can cross a barrier, even if in classical physics it would not have enough energy to do so) at each level in the network. A simulation was performed in Matlab®, considering the parameters of transceivers such as frequency and packet size. The authors assumed parallel roadway mine structures in the 250–2000 m range. Also, they assumed a communication range of 40 m but did not consider the sensing range. The proposed technique extends the network lifetime by limiting the tunneling effect near the sink. Compared to previous algorithms [44,45], it consumes more than 80% of the average power of the network system.
Ref. [45] presents a deployment scheme for environmental monitoring in longwall coal mines. The proposed scheme is based on probabilistic event detection and applies the virtual force method to minimize overlapping regions, preserving network connectivity. The authors simulated the algorithm using a mine of 250 m in length. The sensing and communication ranges were assumed and set as 10 m and 20 m, but these values were not obtained through simulations or experimentation. The results show that the node deployment scheme improved connectivity and 2–3 hop communication to the nearest relay node compared to other schemes. Additionally, it optimized the coverage area using a minimal number of sensor nodes and was found to be cost-effective.
Zhou et al. [46] propose a 3D node deployment method for underground coal mine tunnels. These authors applied an algorithm to solve the problem of k-coverage from three points inside the mine: sidewalls, roof, and the combination of walls and ceiling. It was considered a typical mine tunnel with a 100 m length for simulations. Furthermore, there was a sensing radius of 7 m. The deployment was optimized using the Annealing algorithm. The algorithm was evaluated according to the sensing efficiency (sensing radius), and redundancy was evaluated according to the coverage degree. The results suggested that the sensing efficiency is determined by the characteristics of the sensors and by the terrain of the monitored area. The redundancy of nodes affects the coverage’s ability.
A study about the deployment strategies based on surface mines (open-pit) was conducted in [47]. The authors investigate how topographical changes from continuous mining over a decade affect the propagation conditions and the performance of different wireless network deployment strategies (small-cells, macro-cells, and heterogeneous). This article compares deployment strategies and network capabilities to existing technologies to see if they can achieve specific performance goals, path loss, and signal-to-noise ratios (SINR) to guarantee coverage. The results show that heterogeneous deployments can be exploited to ensure continuous coverage in this ever-changing topography. At the same time, interference mitigation techniques, such as enhanced inter-cell interference coordination (eICIC) and beamforming, can reduce the system outage without increasing the spectrum. Table 1 summarizes the weaknesses found in the state-of-the-art works analyzed.
Based on the previous work presented in this section, the limitations identified in the state of the art can be summarized as follows:
  • The actual scenarios and the safety requirements of an underground mine are not considered when designing a sensor deployment strategy.
  • The analyzed papers do not consider the actual structure of the mines nor their characteristics, such as tunnel geometry, galleries, levels of exploitation, inclination or tilt inside the tunnel; the authors evaluated ideal tunnel structures, or sometimes geometries which were far from reality.
  • The analyzed papers do not use distance-based accurate coverage and connectivity parameters.
  • There needs to be evidence of articles that analyze the behavior of distribution functions used in random deployments to determine the geolocation of sensor nodes in underground mining scenarios.

3. Proposed Deployment Methodology

The IIoT is essential to making mining operations safer and controllable. The effectiveness of IIoT systems in supporting long-term planning in underground mines is highly dependent on how they are deployed. The coverage and connectivity parameters should be incorporated and evaluated from the initial deployment. The contribution of this paper is a two-step methodology using a proposed software tool to deploy an IIoT node system to assist long-term planning, attending to safety regulations related to the monitoring of gases in underground mining, as shown in Figure 2. As mentioned, the methodology combines deterministic and random deployment because it can be the most effective and efficient deployment strategy for large-scale and mission-critical systems [47]. It is observed that the deterministic deployment needs to insert the number of nodes necessary to meet the coverage and connectivity requirements demanded for this type of system. This is due to changes in the inclination, distance between nodes, and length of the tunnels. Therefore, nodes are included following a random distribution. With this second step, random deployment, the aim is to meet the requirements to connect the nodes to the outside of the mine and cover the most significant area. In this way, robustness and reliability in the WSN are guaranteed.
To simplify a mine’s structure, it is modeled like a set of tunnels, considering the distance and the tilt using the graphs theory. A graph is a collection of entities known as vertices (or nodes) and a choice of pairs of vertices, referred to as edges, that may or may not possess directionality. Traditionally, a graph is depicted by a sequence of points (the vertices) linked by strokes (the edges). In the proposed approach, the vertices symbolize the intersection of tunnels, and the edges represent the tunnels.

3.1. First Step: Deterministic Deployment

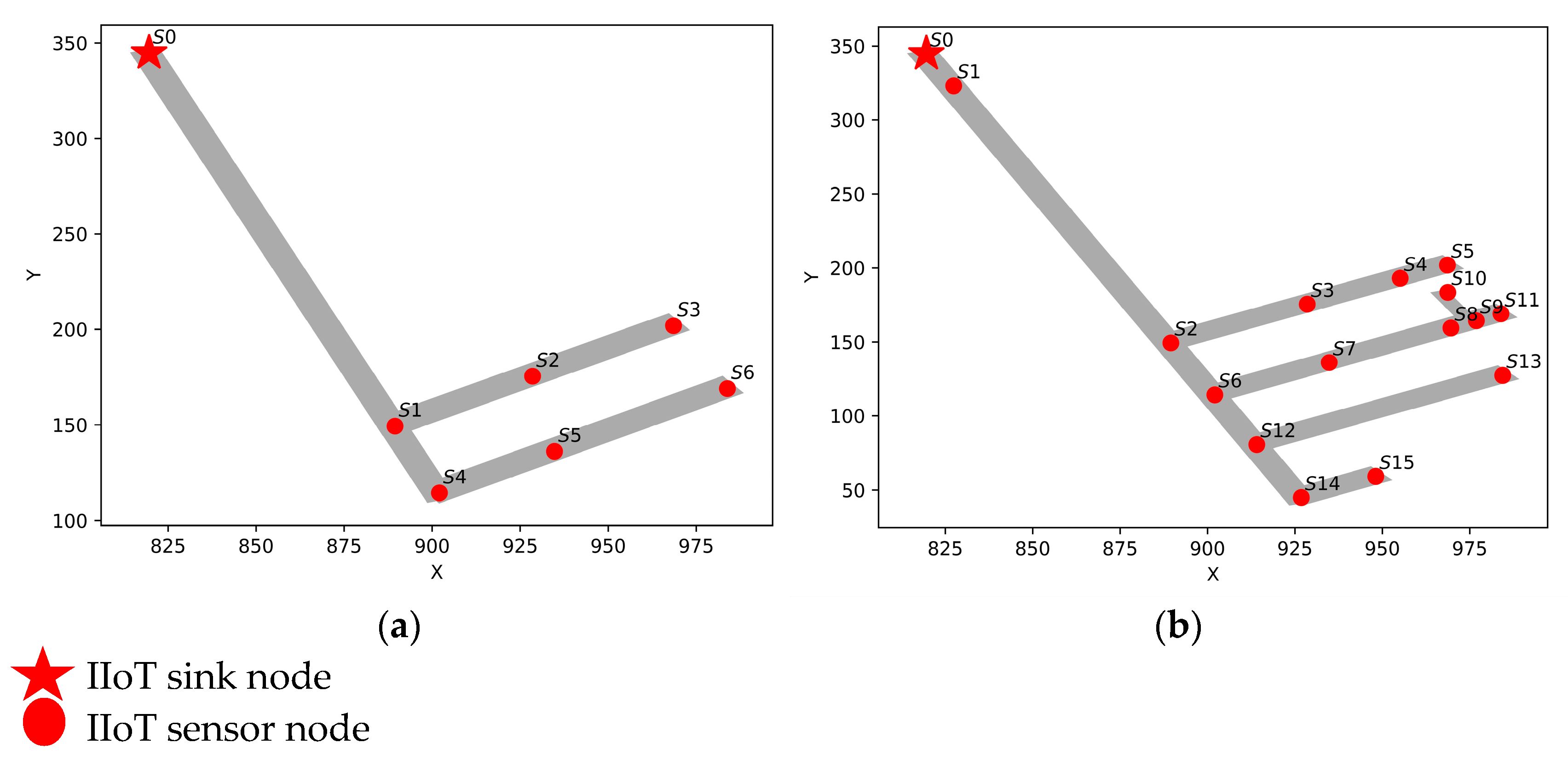
Initially, a deterministic deployment is made by locating sensor nodes in predetermined locations in the mine. The sensor nodes are deployed in the RoI, specifically at tunnel crossings, tilt changes, work faces, and portals. The software tool reads an Excel file that contains the coordinates (x and y axis), the ground elevation, and the convention per each change in the terrain, e.g., portal (PT), tunnel (TN), and level (LV), or creates the structure from a blueprint image. These data are obtained from total stations. With these data, the software tool constructs the initial blueprint in 2D, locating sensor nodes in the predetermined locations.
Table 2 shows the template used to construct the deterministic deployment. The cX col contains the x coordinate, cY contains the y coordinate, and cZ is the ground elevation. All parameters are in meters. Per each change in the ground elevation, one sensor is located due to changes in slope, which weaken signal propagation.
However, according to normativity, the user can place other nodes if required. In Colombia, it is mandatory to implement a continuous system to monitor methane in coal underground mines with a high content of grisu gas (category III). Decree 1886/2015 defines three types of underground coal mine regarding the methane concentration [48]:
  • Category I: underground workings for which the methane concentration at any site in the mine does not reach zero percent (0%).
  • Category II: underground workings for which the concentration of methane at any site in the mine is equal to or less than 0.3%.
  • Category III: underground workings for which the methane concentration at any site in the mine is more significant than 0.3%.
The monitoring system should be implemented in portals, work faces connected to the mine ventilation circuit, and roadways. In addition, it is mandatory to implement a carbon monoxide and oxygen monitoring system at work faces; underground sites with the presence of specialized electric systems, communication systems, and underground electrical substations; vehicles and personnel roadways; communications with old or abandoned works; and close to partitions that isolate burned areas [49].
The distance and location are evaluated to insert nodes in the network, as shown in Algorithm 1. The location refers to the nodes being at the same level or tunnel. Thus, it is necessary to calculate the Euclidean distance between a source node and a destination node. Then, it is determined if there is communication between the sensors according to the communication range (35 m) and, therefore, network connections. The sensing range (12 m) is used, too, to establish coverage areas. Subsequently, the algorithm evaluates if sensors can communicate with their neighborhoods. This evaluation is according to the distance and the location. Figure 3 shows the deterministic deployment in a medium-sized mine. The algorithm adds one sink node in the portal and, in this case, adds fifteen nodes distributed in crossings and slope changes.
On the other hand, the same evaluation is carried out with the coverage range. The results are stored in the distance matrix and the connection matrix. The distance matrix contains the distance between connected sensors, and the connection matrix shows if a connection between sensors exists.
Algorithm 1 Node Evaluation
1:for Si ← 0 to total_sensors
2:   for Sj ← 0 to total_sensors
3:      Calculate euclidean(sensor_source, sensor_destination)
4:      if (Euclidean <= comm_range) and (same tunnel or level)
5:        Communication = yes
6:      else
7:        Communication = no
8:      end if
9:      if (Euclidean <= sens_range) and (same tunnel or level)
10:        Sensing = yes
11:      else
12:        Sensing = no
13:      end if
14:      If sensor_source == sensor_destination
15:        Communication = no
16:        Sensing = yes
17:      end if
18:   end for
19:end for

3.2. Second Step: Random Deployment

This step is performed because it is possible that the first step does not reach coverage and connectivity requirements. The deployment process starts with the coordinate identifying the points between which additional nodes need to be deployed. These points indicate the section’s start and finish within the mine where the nodes will be located. The linear distance between nodes is calculated using the Euclidean distance (the same is applied in deterministic deployment). This measurement is essential to determine the necessary node quantity and simulate its distribution along the tunnel.
Next, the minimum and maximum sensing range parameters are defined. The parameters were obtained by analyzing previous research. The minimum sensing range for methane was established at 12 m after analyzing the simulations made in [39,40,41], and the maximum sensing range at 24 m for an overlap level of 50%. These ranges ensure that the nodes cover the RoI without holes or excessive overlap. Several random node placement strategies have been proposed based on a probability density function (PDF). Senouci et al. categorized the strategies into simple and compound [36]. Tree probability functions were chosen to model the nodes’ distribution in the tunnels. The normal probability distribution, the Gaussian distribution, was used considering the sensing range average μ = 18 m. The constant diffusion in [50] suggests an equal location probability over the interval; this work uses the minimum and maximum sensing range values. On the other hand, the exponential may prefer concentrations of nodes in certain areas, depending on the rate of the function, in this case, based on the minimum sensing range. The result of this step is the distance between sensors, which will be used to calculate the vector equation of the line.
The next step involves the calculation of the vector equation of the line that joins the initial and final nodes’ positions in the same section. The exact path along which the nodes will be distributed is obtained with this equation. By ensuring that the nodes are placed in line with this straight line, the model guarantees that the sensors will be correctly aligned with the physical section of the tunnel and, therefore, will be more effective regarding coverage and connectivity. The defined probability functions and the line equation proceed to the random generation of locations for the nodes. Each generated location is validated against the vector equation to ensure alignment with the span.
Figure 4 shows the random deployment in which the algorithm adds nodes based on the distribution function chosen. Add 45 nodes to complete the coverage and communication requirements for a mine in a RoI of 345 m by 98 m.
The solution to this system of equations provides the three-dimensional coordinates of the locations of the nodes that comply with the PDF, as shown in Algorithm 2. This process is repeated until all nodes are satisfactorily located, following the previously defined sensing range parameters and staying within the tunnel path.
Algorithm 2 Random Deployment
1:calculate euclidean(sensor_source, sensor_destination)
2:while (nodes do not cover section)
3:   distance = pdf.uniform(min_sensing_range, max_sensing_range)
4:   distance = pdf.exponential(min_sensing_range)
5:   distance = pdf.normal(average(min_sensing_range,max_sensing_range))
6:   if distance < euclidean
7:      xyz_coordinate = (x0,yo,zo)+ k(x,y,z)
8:      add_node
9:   end if
10:end while

4. Experimental Setup

The present work explored the effectiveness of different distribution functions for deploying sensor nodes in mining environments. To better understand the optimal distribution of these sensors, three types of probability functions—normal, uniform, and exponential—were implemented and tested using the software tool in two mines with different characteristics. The analysis and simulation of the deployments were carried out using a tool developed in Python. The choice of Python for this project was based on the set of specialized libraries that facilitate the implementation of complex algorithms and the handling of statistical calculations. Among these libraries, NumPy has been mainly used to efficiently manipulate matrices and mathematical operations: Pandas for data management and analysis, and Matplotlib to visualize the results.
The first mine, with a dimension of 265 m by 98 m, has two levels of exploitation. The second mine increased the measures by 345 m by 98 m and has four operating levels. These differences in size and complexity, shown in Figure 5, allow us to evaluate how the specific characteristics of each mine can influence the effectiveness of each probability function for sensor deployment.
Five hundred deployment replicates were performed for each probability function in both mines to obtain reliable results. This methodology allows not only the number of sensors deployed in each scenario to be evaluated but also the identification of patterns and trends that may need to be evident in a more limited data set.
The results presented below allow us to understand the efficiency of deploying sensor nodes in mines and provide information on the applicability of different probability functions for long-term planning in underground mining environments. These findings can influence decisions about safety and efficiency in the mining industry.

5. Results and Discussion

5.1. Software Tool

An underground mine typically consists of portals, shafts, adits, slopes, levels, galleries, roadways, and face area. To generate an optimal deployment model, it is necessary to consider the structure of the mine, with all its components, as well as characteristics regarding inclination, length of the tunnels, and their dimensions. For this reason, the tool proposed in this work starts from the generation of the blueprint from the coordinates obtained from a total station or from a blueprint (AutoCAD 2022 or higher), to which conventions are included so that the tool can interpret it. With this, it is possible to obtain the real structure of the mine, including inclinations and dimensions, as well as have an overall view of the mine and the tunnels that comprise it. The objective is to generate the deployment for the entire mine in a single process. In their multilevel deployment work, Thirumal and Kumar [43] assume parallel tunnels in an odd number to apply their strategy, as shown in Figure 6. This approach is different from the reality of most underground mines. For his part, Muduli and Mishra [45] and Zhou et al. [46] propose a deployment strategy that must be implemented in tunnels independently, assuming that the inclination does not change.
It is highlighted that the tool makes a precise and detailed mapping of the mine, considering crucial aspects such as its inclinations and specific dimensions. This approach provides a realistic understanding of the mine structure, which is critical for long-term planning. A benefit of this approach is the ability to estimate implementation costs. By knowing the number of nodes needed, sensor type, and their locations, a more accurate cost forecast can be made, avoiding unnecessary expenditure on equipment and resources.
Applying separate deployment strategies means having multiple networks. Our proposal generates a single network. Implementing a unified network reduces the need for numerous equipment and infrastructure systems, reducing the initial investment and maintenance costs. This resource efficiency saves money and simplifies technical support and maintenance operations. In addition, as the mine expands or changes, the network can quickly adapt to these new conditions without configuring additional systems. This represents an advantage regarding adaptability and responsiveness to changing mine needs and short-term planning.
Finally, we want to highlight that the deployment proposed by the methodology can be used to support the worker safety system and that by regulation, it must be part of the initial planning of mining work.

5.2. Distributions Performance

Evidence of work has yet to determine the performance of the distribution functions used in random deployment for underground mining. The selection of probabilistic distributions for random implementations depends on the application and the system’s objectives to be deployed. Coverage, connectivity, energy consumption, and cost are some objectives that can be chosen to consider a probability function. It is also possible to use combinations of distributions or customize distributions according to the application’s needs.
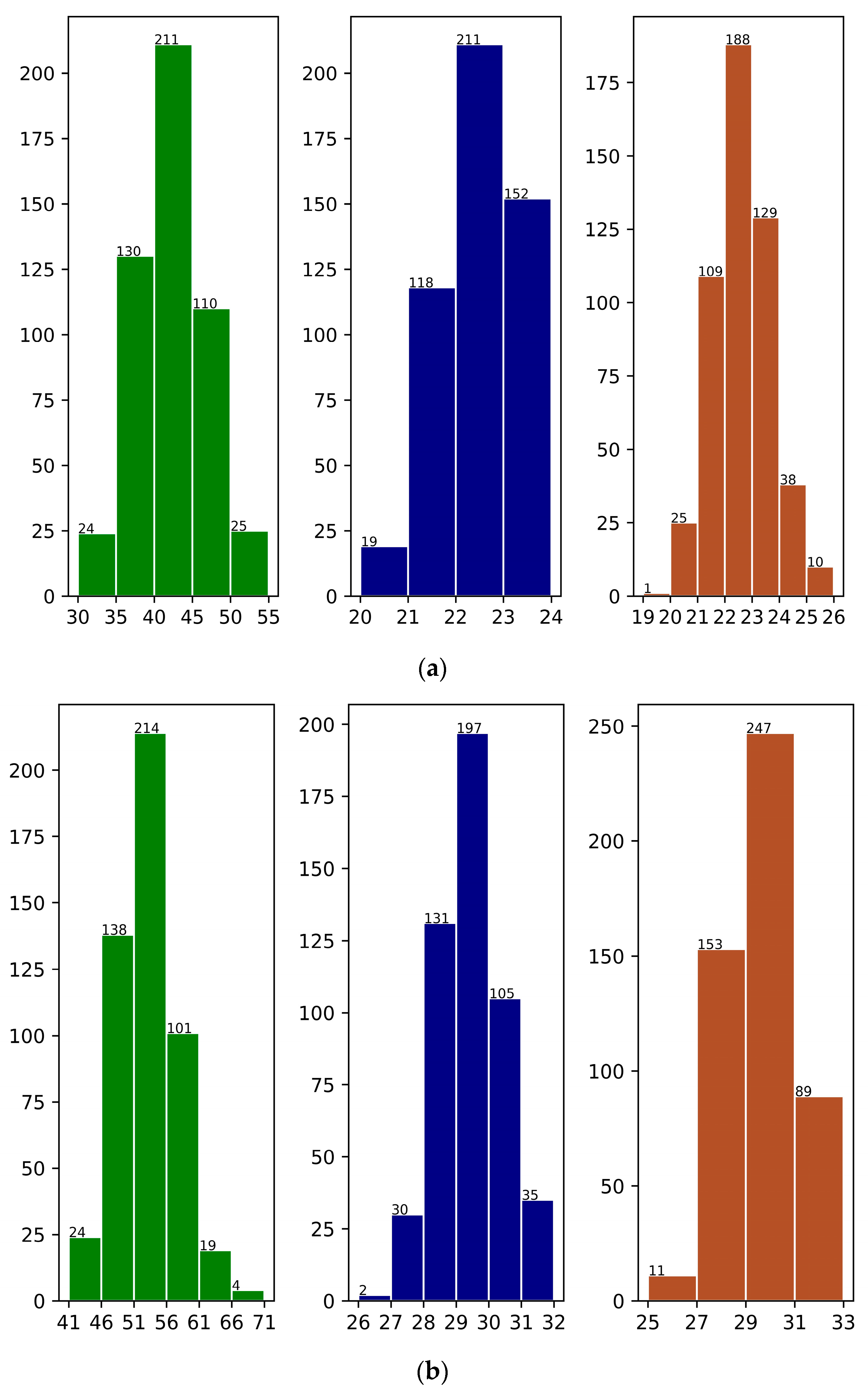
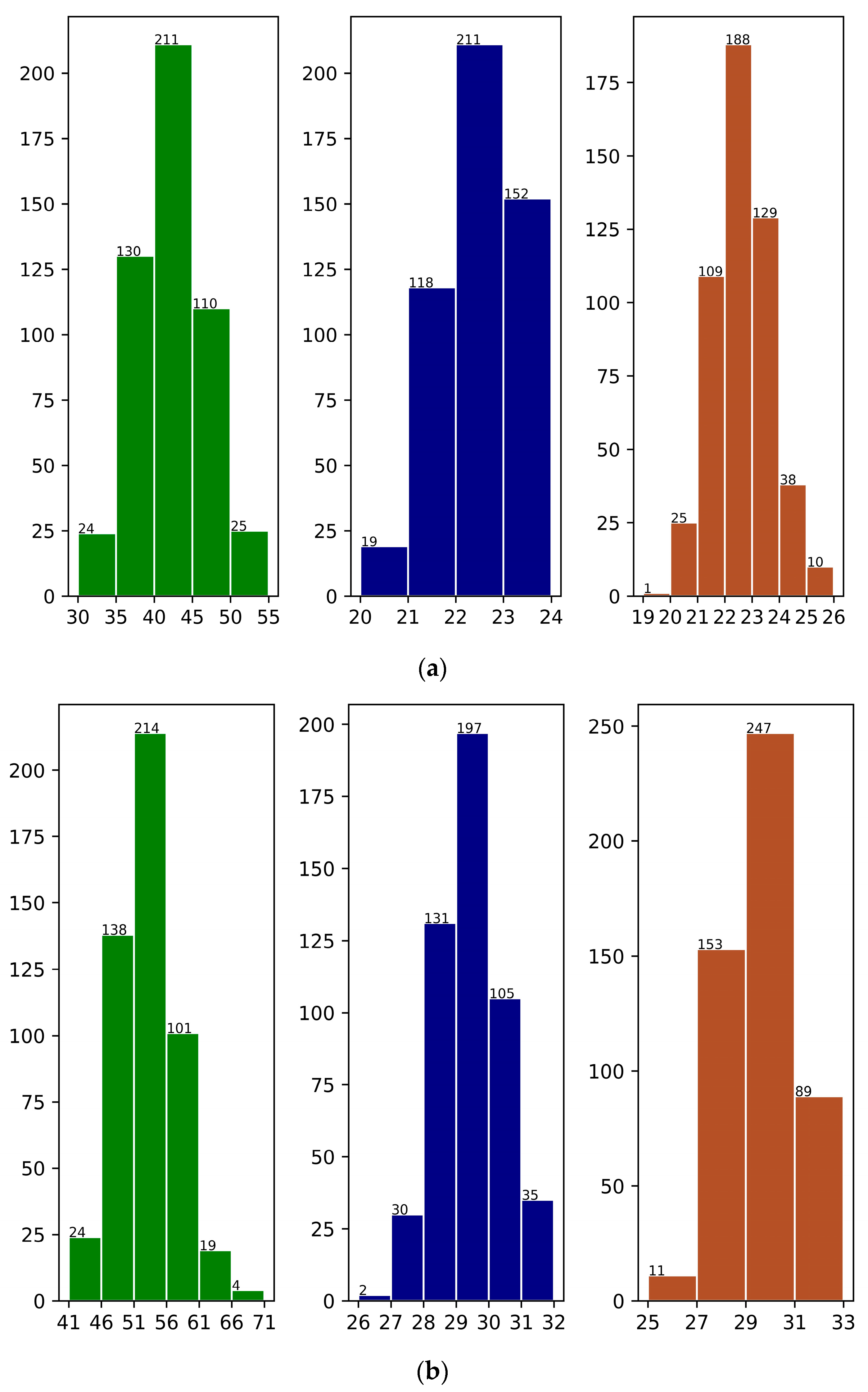
The performance of three distribution functions in terms of number of nodes was evaluated. The proposed methodology was applied in two mines generated from coordinates obtained of the total station. The distribution functions considered were exponential, normal, and uniform. Figure 7a,b show each event’s relative frequency of occurrence, with its corresponding fitting curve, providing a comprehensive visualization of the patterns observed in the data for exponential, normal, and uniform distributions.
As can be seen, the nodes added in the second step, random deployment, using the distribution functions, follow the expected pattern. According to the distribution function used in the random deployment, it is possible to calculate the number of nodes necessary to cover a RoI in underground mines. The number of nodes allows for determining the type of node sensor and the cost deployment, which is information suitable for planning the safety and health system and operational and financial planning. Figure 8a,b show the number of nodes by exponential, normal, and uniform distributions, where the number of each bar represents the relative frequency of the number of sensors added. For example, in Figure 8a, for the exponential distribution, 24 times 30 sensors were assigned.
Table 3 summarizes the ranges of sensors added and the variability associated with each probability function in small and medium-sized mines. An increase in the minimum and maximum number of deployed sensors is observed when moving from small to medium-sized mines, which is consistent with the expectation that larger mines would require more sensors to achieve adequate coverage.
In small mines, the exponential function showed the most significant variability in the number of sensors added, with a difference of 25 sensors between the minimum and maximum and a standard deviation of 4.47, which could reflect an adaptability in the density of the deployment in response to topological variations within the mine. The normal and uniform distribution presented less variability, indicating a more controlled and predictable deployment. When increasing the mine size to medium, all probability functions showed an increase in the number of sensors deployed, particularly notable in the exponential function, where the minimum number of sensors increased by 11 and the maximum by 16, with a slight rise in the standard deviation. This change may imply that the exponential function is more sensitive to mine size, adjusting the number of sensors more steeply to maintain deployment effectiveness. The uniform distribution function in medium-sized mines also presented an increase in variability (standard deviation of 1.43), suggesting that, although the deployment attempts to be homogeneous, there are factors within medium-sized mines that introduce a more excellent dispersion in the number of sensors.
For small mines, the minimum variation of the number of sensors is approximately −36.67%, and the maximum is −52.73%. For medium mines, the minimum variation is −39.02%, and the maximum is −53.52%. These variations show that the uniform function deploys fewer sensors than the exponential function. The average value of the percentage variation between the exponential and uniform functions is −44.70% for small mines and −46.27% for medium mines. This indicates that, on average, the uniform function deploys 44.70% fewer sensors in small mines and 46.27% fewer in medium mines than the exponential function. Consequently, the exponential distribution is the one that adds the most significant number of nodes, while the number of nodes located by the normal and uniform distributions are similar.
The exponential distribution typically requires more nodes because it is designed to model events that occur independently and at a constant average rate but with the possibility of clustering or spreading over the area. This leads to more nodes being deployed to cover less predictable regions adequately. On the other hand, a uniform distribution assumes that the events (in this case, the locations of the nodes) are uniformly distributed over an interval. This distribution is consistent and varies less, meaning that fewer nodes can achieve coverage since each node covers a predictable space. The above data also suggest that the deployment strategy based on exponential distribution tends to result in a higher sensor density.

5.3. Number of Nodes

The number of nodes deployed is a crucial factor in planning WSNs because it affects the cost of implementation. Coverage density in a WSN is a crucial metric that measures the number of sensors deployed per unit area. This metric, which represents the number of sensors per square meter, is handy for comparing the efficiency of different methodologies in terms of resources used, regardless of the total size of the deployment areas, and provides direct information on the efficiency of the network in terms of the resources used for coverage. Lower coverage density indicates that fewer sensors are needed to monitor a unit area, which indicates greater efficiency and potentially lower deployment and maintenance costs. Coverage density is calculated by dividing the total number of sensors deployed by the total area that the network must cover. This formula provides a normalized comparison independent of the network’s absolute size or deployment area, allowing networks of different scales to be compared.
It is impossible to directly compare the results of the strategy proposed in this work because the tool recreates the accurate and complete structure of the mine. However, comparing the number of nodes deployed in a specific tunnel is possible. Over a tunnel of 180 m without inclinations, Thirumal and Kumar [43] deployed 28 nodes, Akyildiz et al. [51] deployed 29 nodes, while our proposal deployed 29 nodes, in the worst case, using the exponential distribution function, in the main tunnel of 345 m in length with inclinations, guaranteeing the coverage and connectivity requirements.
Our results show that the proposed methodology achieves a coverage density of approximately 0.0274 sensors per square meter, while the methods of Thirumal and Kumar and Akyildiz et al. present densities of 0.0346 and 0.0358 sensors per square meter, respectively (see Figure 9). This indicates that our methodology requires fewer sensors to cover the same area, guaranteeing coverage and connectivity, which suggests greater efficiency in network deployment.
A slightly larger number of sensors deployed over a greater distance of the tunnel indicates that, despite not prioritizing optimization, our methodology can maintain a comparable sensor density under more complex and realistic conditions. This suggests that our methodology could offer similar or even superior results regarding coverage and efficiency in natural mining environments. Notably, the smaller number of sensors required means a lower cost deployment and reduces the initial hardware investment and network complexity. This reduction can lead to easier maintenance and greater system longevity. This efficient approach is especially advantageous in challenging environments such as underground mines, where installing and maintaining nodes can be costly and logistically complicated. Additionally, by decreasing the number of sensors required to achieve complete coverage, our methodology can decrease the interference between sensors and improve battery life across the network as fewer devices compete for the same power and communication resources.
It is essential to emphasize that our methodology is based on real sensing and communication range values. This means that each sensor is configured and located, taking into account the actual limitations and needs of the mine, which can result in a more effective sensor network suitable for the specific conditions of each mine. In conclusion, the proposed methodology improves the network efficiency regarding coverage density and offers high operating costs and ease of maintenance advantages, making it a better option than existing methods.

5.4. Coverage and Connectivity

A concept associated with coverage is the k-coverage, which is related to the number of sensors sensing a specific area or point. The k-coverage depends on the application and, in some cases, can be dynamically configured [38]. The maximum value of k is called the coverage degree [52]. Fault tolerance in WSNs increases network costs while enhancing robustness. However, sensing coverage would only be worthwhile with communication paths between the sink and the source sensors. In other words, network connectivity is essential. Similar to the concept of k-coverage, there exists k-connectivity. A network is said to have k-connectivity if removing k − 1 nodes does not result in lost communication between them. k-coverage and k-connectivity are used to guarantee fault tolerance.
This work also determined the behavior of the exponential, uniform, and normal distributions concerning the requirements of k-coverage and k-connectivity. For analysis, the tool was executed 500 times for each of the prototype mines and each probability function.
Figure 10a–c show the maximum value for k-coverage and k-connectivity for exponential, normal, and uniform distributions in small-sized mines. In exponential distribution, it obtained k-coverage = 3 and k-connectivity = 2. This means that one point can be sensing up to three sensors and that for 54.2% of the time, it is possible to have k = 2, for 37.2% of the time, k = 1, and for 8.6% of the time, k = 3. In addition, normal and uniform distributions, for 76.2% and 74.8% of the time, a value of k = 1 was obtained.
Regarding connectivity, again, in Figure 10, the exponential distribution has the maximum value with k = 2 (2-connectivity); in 72.8% of the cases, it is possible to have two routes through which the data can be routed. On the other hand, in normal and uniform distributions, k = 1 (1-connectivity) was obtained.
Now, the results obtained in the medium-sized mine will be analyzed. Figure 11a–c show the maximum value for k-coverage and k-connectivity for exponential, normal, and uniform distributions in medium-sized mines. The three distributions function shows the same values for k-coverage k = 2, although for the highest percentage of times (53%) it is the exponent function, a value close to that obtained in the small mine for the exact value of k. In the case of the normal and uniform functions, it is observed that although we have the same values of k = 2, the percentage of times that it is repeated increases. Likewise, in regard to k-connectivity, the same behavior is shown. The exponential distribution has k = 2, while in the normal and uniform distribution functions, k = 1.
The analysis of the degrees of coverage and connectivity reveals that the exponential distribution achieves the highest values, facilitating a fault-tolerant network. This is because it deploys a more significant number of nodes compared to the other distributions. However, this increased number of nodes increases network implementation and maintenance costs. Therefore, it is vital to find a balance between the number of nodes and coverage and connectivity requirements versus the cost of deployment. The selection of the distribution must be aligned with the specific objective of the deployment, and it is necessary to perform a trade-off analysis between the goals, that is, choose a distribution that meets all the requirements in a balanced way.
Few studies address the problem of k-coverage in underground mines. Muduli, Jana, and Mishra [45] proposed a deployment scheme that analyzes the event detection probabilities for different detection ranges, considering the relationship between the sensing range and the communication range and associating the event detection probability with specific parameters of the communications system. In contrast, our approach separates these two parameters. The overlap value is a user requirement, and the sensing range is not dependent on the parameters associated with the communication system.
Zhou et al. [46] employed an annealing method to optimize the degree of coverage. It is not possible to make a comparison on equal terms because our results show the number of nodes after optimization. Considering that the simulation uses a 200 m long tunnel and that the small mine that we reconstructed has a 265 m main tunnel, we observe that for k = 3, approximately 65 nodes are deployed. In contrast, our proposal deploys 55 nodes with k = 1. It can be inferred that there is a 54.2% probability of reaching k = 2 and an 8.6% probability of reaching k = 3 without optimizing the degree of coverage.

6. Conclusions and Future Work

In Colombia, unfortunately, during the last three years, coal mining accidents have risen, on average, with 150 fatalities, exhibiting a poor safety policy and lack of attention to the mining workforce. For this reason, this study proposes and evaluates a methodology for deploying a WSN-based IIoT system for monitoring and alerting in underground mines. The method employs a two-step deployment approach supported by a software tool that facilitates the creation of the mine structure from geolocation or using flat images. The critical metric was defined as the coverage density in evaluating the efficiency of different methodologies in deploying sensor networks in underground mines. This metric, which represents the number of sensors per square meter, is handy for comparing the efficiency of different methodologies regarding the resources used, regardless of the total size of the deployment areas. We comprehensively analyze three PDFs for random deployment and their impact on the number of nodes added to choose the appropriate distribution according to the IIoT system requirements. Compared to other identified state-of-the-art methodologies, the results show that our proposal achieves a lower density of sensors deployed per m2. The number of sensors is reduced to around 20.81% and up to 23.46% for uniform and exponential PDFs with fewer sensors per square meter to cover the same area (180 m2). The tool’s methodology and software were tested with two mines, demonstrating that the uniform function deploys, on average, 44.70% fewer sensors in small mines and 46.27% fewer in medium-sized mines compared to the exponential function.
Additionally, coverage and connectivity were analyzed for the three distribution functions. The exponential PDF allowed us to identify a k-connectivity value of 2 for medium-sized mines, while in the normal and uniform distribution functions, k = 1. Although the number of nodes can be increased, it is not compared to the cost of a life. Suppose that connectivity inside the tunnels is not guaranteed. In that case, coverage and risk will be lost in communication to alert against possible variations in atmospheric conditions and explosion risks, which would be monitored from the front of the mine and in a supervision center.
The values of the normal function were similar to those of the uniform function; additionally, the exponential distribution reached the highest coverage and connectivity values for both mine sizes, and the distribution function for random deployment is selected based on user requirements: coverage, connectivity, and deployment cost. The proposed method can be used to plan IIoT systems based on realistic structures and parameters.
Regarding the future deployment of sensor nodes in mines, we propose to expand our research through additional measurement campaigns to specify the communication range of the nodes, exploring different frequencies and mining conditions. The methodology may also be adapted to other subsurface work with some adjustments. Simulations are also planned to estimate the detection range of the sensors more realistically. A key objective will be to optimize sensor deployment, balancing coverage, connectivity, and cost, which will not only improve accuracy and efficiency but also the economic viability of monitoring systems in underground environments. A preliminary measurement campaign is being conducted to complement the methodology with quality metrics such as Bit Error Rate (BER), Packet Error Rate (PER), and Received Signal Strength Indicator (RSSI).

Author Contributions

H.R. and F.M. performed the experiments, developed the tool, analyzed the data, and wrote the paper. E.A. and J.E. supervised the research and revised the paper. All authors have read and agreed to the published version of the manuscript.

Funding

This research received no external funding.

Institutional Review Board Statement

Not applicable.

Informed Consent Statement

Not applicable.

Data Availability Statement

The data presented in this study are available on request from the corresponding author. The data are not publicly available due to professional secrecy.

Acknowledgments

The authors thank Oscar Javier Montañez Montañez for his support in the measurement campaign.

Conflicts of Interest

The authors declare no conflicts of interest.

References

  1. United Nations. Report of the World Summit on Sustainable Development. In Proceedings of the A/CONF.199/20, Johannesburg, South Africa, 26 August–4 September 2002; United Nations: New York, NY, USA, 2002. [Google Scholar]
  2. Walser, G. Economic Impact of World Mining (IAEA-SM-362); International Atomic Energy Agency: Vienna, Austria, 2002. [Google Scholar]
  3. International Energy Agency. Coal Information Overview; International Energy Agency: Paris, France, 2020. [Google Scholar]
  4. British Petroleum. BP Statistical Review of World Energy; British Petroleum: London, UK, 2019. [Google Scholar]
  5. Agencia Nacional de Minería Carbón. Available online: https://www.anm.gov.co/sites/default/files/ficha_carbon_es.pdf (accessed on 1 June 2020).
  6. CRU Consulting, Unidad de Planeación Minero Energética. Esmeraldas; CRU–UPME: Santiago, Chile, 2018.
  7. Agencia Nacional de Minería Emergencias Mineras. Available online: https://www.anm.gov.co/?q=emergencias_mineras (accessed on 20 May 2019).
  8. Boyes, H.; Hallaq, B.; Cunningham, J.; Watson, T. The Industrial Internet of Things (IIoT): An Analysis Framework. Comput. Ind. 2018, 101, 1–12. [Google Scholar] [CrossRef]
  9. Prasad, G.S.C.; Pillai, A.S. Role of Industrial IoT in Critical Environmental Conditions. In Proceedings of the 2018 Second International Conference on Intelligent Computing and Control Systems (ICICCS), Madurai, India, 14–15 June 2018; pp. 1369–1372. [Google Scholar] [CrossRef]
  10. Peng, Y.; Tan, A.; Wu, J.; Bi, Y. Hierarchical Edge Computing: A Novel Multi-Source Multi-Dimensional Data Anomaly Detection Scheme for Industrial Internet of Things. IEEE Access 2019, 7, 111257–111270. [Google Scholar] [CrossRef]
  11. De Moura, R.L.; Ceotto, L.D.L.F.; Gonzalez, A. Industrial IoT and Advanced Analytics Framework: An Approach for the Mining Industry. In Proceedings of the International Conference on Computational Science and Computational Intelligence (CSCI), Las Vegas, NV, USA, 14–16 December 2017; pp. 1308–1314. [Google Scholar] [CrossRef]
  12. Zhou, C.; Damiano, N.; Whisner, B.; Reyes, M. Industrial Internet of Things: (IIoT) Applications in Underground Coal Mines. Min. Eng. 2017, 176, 50–56. [Google Scholar] [CrossRef] [PubMed]
  13. Aziz, A.; Schelén, O.; Bodin, U. A Study on Industrial IoT for the Mining Industry: Synthesized Architecture and Open Research Directions. IoT 2020, 1, 529–550. [Google Scholar] [CrossRef]
  14. Deif, D.; Gadallah, Y. Classification of Wireless Sensor Networks Deployment Techniques. IEEE Commun. Surv. Tutor. 2014, 16, 215–230. [Google Scholar] [CrossRef]
  15. Senouci, M.R.; Mellouk, A. Deploying Wireless Sensor Networks: Theory and Practice; Elsevier: Amsterdam, The Netherlands, 2016; ISBN 9781785480997. [Google Scholar]
  16. Farsi, M.; Elhosseini, M.A.; Badawy, M.; Arafat Ali, H.; Zain Eldin, H. Deployment Techniques in Wireless Sensor Networks, Coverage and Connectivity: A Survey. IEEE Access 2019, 7, 28940–28954. [Google Scholar] [CrossRef]
  17. Newman, A.M.; Rubio, E.; Caro, R.; Weintraub, A.; Eurek, K. A Review of Operations Research in Mine Planning. Interfaces 2010, 40, 222–245. [Google Scholar] [CrossRef]
  18. Kevin, A. That “Internet of Things” Thing. RFID J. 2009, 22, 4986. [Google Scholar] [CrossRef]
  19. Lee, I.; Lee, K. The Internet of Things (IoT): Applications, Investments, and Challenges for Enterprises. Bus. Horiz. 2015, 58, 431–440. [Google Scholar] [CrossRef]
  20. McKinsey. IoT Value Set to Accelerate through 2030: Where and How to Capture It. Available online: https://www.mckinsey.com/capabilities/mckinsey-digital/our-insights/iot-value-set-to-accelerate-through-2030-where-and-how-to-capture-it (accessed on 28 May 2023).
  21. Zhang, D.A.; Ji, H.; Ji, H.; Lou, Q. A Cloud Platform-Based Micro-Power Microseismic Monitoring IoT System for Underground Mine. In Proceedings of the 2nd International Conference on Industrial Artificial Intelligence (IAI), Shenyang, China, 23–25 October 2020; pp. 1–6. [Google Scholar] [CrossRef]
  22. Jo, B.W.; Khan, R.M.A. An Internet of Things System for Underground Mine Air Quality Pollutant Prediction Based on Azure Machine Learning. Sensors 2018, 18, 930. [Google Scholar] [CrossRef]
  23. Singh, A.; Singh, U.K.; Kumar, D. IoT in Mining for Sensing, Monitoring and Prediction of Underground Mines Roof Support. In Proceedings of the 4th IEEE International Conference on Recent Advances in Information Technology, RAIT 2018, Dhanbad, India, 15–17 March 2018; pp. 1–5. [Google Scholar]
  24. Liu, C.; Su, X.; Li, C. Edge Computing for Data Anomaly Detection of Multi-Sensors in Underground Mining. Electronics 2021, 10, 302. [Google Scholar] [CrossRef]
  25. Jo, B.W.; Khan, R.M.A. An Event Reporting and Early-Warning Safety System Based on the Internet of Things for Underground Coal Mines: A Case Study. Appl. Sci. 2017, 7, 925. [Google Scholar] [CrossRef]
  26. Li, J.; Xie, J.; Yang, Z.; Li, J. Fault Diagnosis Method for a Mine Hoist in the Internet of Things Environment. Sensors 2018, 18, 1920. [Google Scholar] [CrossRef] [PubMed]
  27. Jo, B.W.; Khan, R.M.A.; Javaid, O. Arduino-Based Intelligent Gases Monitoring and Information Sharing Internet-of-Things System for Underground Coal Mines. J. Ambient Intell. Smart Environ. 2019, 11, 183–194. [Google Scholar] [CrossRef]
  28. Mishra, P.K.; Kumar, S.; Pratik; Kumar, M.; Kumar, J. IoT Based Multimode Sensing Platform for Underground Coal Mines. Wirel. Pers. Commun. 2019, 108, 1227–1242. [Google Scholar] [CrossRef]
  29. Xie, X.; Lin, R.; Yu, B.; Wen, W.; Gu, F.; Sivaparthipan, C.B.; Vadivel, T. Internet of Things Assisted Radio Frequency Identification Based Mine Safety Management Platform. Comput. Intell. 2021, 37, 1322–1337. [Google Scholar] [CrossRef]
  30. Niu, M.; Zhu, S.; Du, C.; Yang, N.; Xu, W. Study and Application of Typical Disaster Monitoring and Early Warning System in Metal Mine. Procedia Eng. 2012, 45, 125–130. [Google Scholar] [CrossRef]
  31. Liu, C.; Song, W.; Guo, D.; Wang, L. Rescue Command Communication Systems and Emergency Management Platform in Mine Based on Internet of Things. In Proceedings of the International Conference on Information Technology and Applications, ITA 2013, Chengdu, China, 16–17 November 2013; pp. 17–22. [Google Scholar]
  32. Wu, Y.; Chen, M.; Wang, K.; Fu, G. A Dynamic Information Platform for Underground Coal Mine Safety Based on Internet of Things. Saf. Sci. 2019, 113, 9–18. [Google Scholar] [CrossRef]
  33. Sisinni, E.; Saifullah, A.; Han, S.; Jennehag, U.; Gidlund, M. Industrial Internet of Things: Challenges, Opportunities, and Directions. IEEE Trans. Ind. Inform. 2018, 14, 4724–4734. [Google Scholar] [CrossRef]
  34. Industry IoT Consortium The Industrial Internet Reference Architecture. 2022. Available online: https://www.iiconsortium.org/wp-content/uploads/sites/2/2022/11/IIRA-v1.10.pdf (accessed on 20 December 2023).
  35. Younis, M.; Akkaya, K. Strategies and Techniques for Node Placement in Wireless Sensor Networks: A Survey. Ad Hoc Netw. 2008, 6, 621–655. [Google Scholar] [CrossRef]
  36. Senouci, M.R.; Mellouk, A.; Aissani, A. Random Deployment of Wireless Sensor Networks: A Survey and Approach. Int. J. Ad Hoc Ubiquitous Comput. 2014, 15, 133–146. [Google Scholar] [CrossRef]
  37. Meguerdichian, S.; Koushanfar, F.; Potkonjak, M.; Srivastava, M. Coverage Problems in Wireless Ad-Hoc Sensor Networks. Comput. Commun. 2001, 29, 413–420. [Google Scholar] [CrossRef]
  38. Ghosh, A.; Das, S.K. Coverage and Connectivity Issues in Wireless Sensor Networks: A Survey. Pervasive Mob. Comput. 2008, 4, 303–334. [Google Scholar] [CrossRef]
  39. Kumar, P.; Mishra, D.P.; Panigrahi, D.C.; Sahu, P. Numerical Studies of Ventilation Effect on Methane Layering Behaviour in Underground Coal Mines. Curr. Sci. 2017, 112, 1873–1881. [Google Scholar] [CrossRef]
  40. Hasheminasab, F.; Bagherpour, R.; Aminossadati, S.M. Numerical Simulation of Methane Distribution in Development Zones of Underground Coal Mines Equipped with Auxiliary Ventilation. Tunn. Undergr. Sp. Technol. 2019, 89, 68–77. [Google Scholar] [CrossRef]
  41. Obracaj, D.; Korzec, M.; Deszcz, P. Study on Methane Distribution in the Face Zone of the Fully Mechanized Roadway with Overlap Auxiliary Ventilation System. Energies 2021, 14, 6379. [Google Scholar] [CrossRef]
  42. Sharma, R.; Prakash, S. Enhancement of Relay Nodes Communication Approach in WSN-IoT for Underground Coal Mine. J. Inf. Optim. Sci. 2020, 41, 521–531. [Google Scholar] [CrossRef]
  43. Thirumal, G.; Kumar, C. Multilevel Sensor Deployment Approach in IIoT-Based Environmental Monitoring System in Underground Coal Mines. Comput. Commun. 2022, 195, 1–13. [Google Scholar] [CrossRef]
  44. Li, M.; Liu, Y. Underground Coal Mine Monitoring with Wireless Sensor Networks. ACM Trans. Sens. Netw. 2009, 5, 1–29. [Google Scholar] [CrossRef]
  45. Muduli, L.; Jana, P.K.; Mishra, D.P. A Novel Wireless Sensor Network Deployment Scheme for Environmental Monitoring in Longwall Coal Mines. Process Saf. Environ. Prot. 2017, 109, 564–576. [Google Scholar] [CrossRef]
  46. Zhou, G.; Zhu, Z.; Zhang, P.; Li, W. Node Deployment of Band-Type Wireless Sensor Network for Underground Coalmine Tunnel. Comput. Commun. 2016, 81, 43–51. [Google Scholar] [CrossRef]
  47. Almeida, E.P.L.; Vieira, R.D.; Guieiro, G.; Rodriguez, I.; Sorensen, T.B.; Mogensen, P.; Garcia, L.G.U. Deployment Strategies for the Industrial IoT: A Case Study Based on Surface Mines. In Proceedings of the IEEE 90th Vehicular Technology Conference (VTC2019-Fall), Honolulu, HI, USA, 22–25 September 2019. [Google Scholar] [CrossRef]
  48. Ministerio de Minas y Energía. Decreto 1886 de 2015; Ministerio de Minas y Energía: Bogotá, Colombia, 2015; p. 82.
  49. Ministerio de Minas y Energía. Decreto 944 de 2022; Ministerio de Minas y Energía: Bogotá, Colombia, 2022.
  50. Gupta, P.; Kumar, P.R. Critical Power for Asymptotic Connectivity in Wireless Networks. In Proceedings of the 37th IEEE Conference on Decision and Control, Tampa, FL, USA, 18 December 1998. [Google Scholar] [CrossRef]
  51. Akyildiz, I.F.; Su, W.; Sankarasubramaniam, Y.; Cayirci, E. Wireless Sensor Networks: A Survey. Comput. Netw. 2002, 38, 393–422. [Google Scholar] [CrossRef]
  52. Ammari, H.M.; Das, S. A Study of K-Coverage and Measures of Connectivity in 3D Wireless Sensor Networks. IEEE Trans. Comput. 2010, 59, 243–257. [Google Scholar] [CrossRef]
Figure 1. IIoT proposed solution for gas monitoring in underground coal mines.
Figure 1. IIoT proposed solution for gas monitoring in underground coal mines.
Applsci 14 01116 g001
Figure 2. Methodology general process.
Figure 2. Methodology general process.
Applsci 14 01116 g002
Figure 3. Deterministic deployment.
Figure 3. Deterministic deployment.
Applsci 14 01116 g003
Figure 4. Random deployment.
Figure 4. Random deployment.
Applsci 14 01116 g004
Figure 5. Size of mines used to test the tool. (a) Small-sized mine. (b) Medium-sized mine.
Figure 5. Size of mines used to test the tool. (a) Small-sized mine. (b) Medium-sized mine.
Applsci 14 01116 g005
Figure 6. Deployment proposed by Thirumal and Kumar. Image from [43].
Figure 6. Deployment proposed by Thirumal and Kumar. Image from [43].
Applsci 14 01116 g006
Figure 7. Data distribution and fitting curve. (a) Graph of data distribution and fitting curve for small-sized mine. (b) Graph of data distribution and fitting curve for medium-sized mine.
Figure 7. Data distribution and fitting curve. (a) Graph of data distribution and fitting curve for small-sized mine. (b) Graph of data distribution and fitting curve for medium-sized mine.
Applsci 14 01116 g007
Figure 8. Number of nodes by distribution function. (a) Number of nodes chosen by distribution function (exponential, normal, uniform) for small-sized mine. (b) Number of nodes chosen by distribution function (exponential, normal, uniform) for medium-sized mine.
Figure 8. Number of nodes by distribution function. (a) Number of nodes chosen by distribution function (exponential, normal, uniform) for small-sized mine. (b) Number of nodes chosen by distribution function (exponential, normal, uniform) for medium-sized mine.
Applsci 14 01116 g008
Figure 9. Coverage density comparison [43,51].
Figure 9. Coverage density comparison [43,51].
Applsci 14 01116 g009
Figure 10. k-coverage and k-connectivity in small-sized mines by distribution function. (a) Coverage and connectivity percentage for small-sized mine using an exponential function. (b) Coverage and connectivity percentage for small-sized mine using a normal function. (c) Coverage and connectivity percentage for small-sized mine using a uniform function.
Figure 10. k-coverage and k-connectivity in small-sized mines by distribution function. (a) Coverage and connectivity percentage for small-sized mine using an exponential function. (b) Coverage and connectivity percentage for small-sized mine using a normal function. (c) Coverage and connectivity percentage for small-sized mine using a uniform function.
Applsci 14 01116 g010aApplsci 14 01116 g010b
Figure 11. k-coverage and k-connectivity in medium-sized mine by distribution function. (a) Coverage and connectivity percentage for medium-sized mine using an exponential function. (b) Coverage and connectivity percentage for medium-sized mine using a normal function. (c) Coverage and connectivity percentage for medium-sized mine using a uniform function.
Figure 11. k-coverage and k-connectivity in medium-sized mine by distribution function. (a) Coverage and connectivity percentage for medium-sized mine using an exponential function. (b) Coverage and connectivity percentage for medium-sized mine using a normal function. (c) Coverage and connectivity percentage for medium-sized mine using a uniform function.
Applsci 14 01116 g011aApplsci 14 01116 g011b
Table 1. Resume of related work.
Table 1. Resume of related work.
AuthorsApproachParameters EvaluatedLimitations
Sharma, Prakash [42]Enhancement of relay nodes communication approach in WSN-IoT for underground coal minesCoverage and connectivity Only consider relay node deployment
No simulations or experiments are conducted
Thirumal and Kumar [43]Multilevel sensor deployment approach in IIoT-based environmental monitoring systems in underground coal minesNumber of nodes deployed, network lifetime, energy efficiencyUse mine structures far from reality (many parallel roadways)
Uses sensing and communication range values not supported with experiments or simulations
Muduli, Jana, Mishra [45]A novel wireless sensor network deployment scheme for environmental monitoring in longwall coal minesCoverage, energy hole problemUses sensing and communication range values not supported with experiments or simulations
Focused on the longwall exploitation technique, which represents a mine structure composed of a single tunnel
Zhou et al. [46]Node deployment of band-type wireless sensor network for underground coalmine tunnelsSensing efficiency, coverageUses sensing range value not supported with experiments or simulations
Involves a mine structure composed of a single tunnel
Almeida et al. [47]Deployment strategies for the industrial IoT: A case study based on surface minesCoverage and connectivityFocused on open-pit mines
Table 2. Template with coordinates obtained from the total station.
Table 2. Template with coordinates obtained from the total station.
No.cX (m)cY (m)cZ (m)Convention
11,024,819,61,067,344.72892PT
21,024,819.61,067,344.72880TN
31,024,827.4106,323.12802TN-I-LV1
41,024,889.51,067,149.42802LV1-G1
51,024,928.51,067,175.52803LV1-G2
61,024,955.11,067,193.02803F-LV1
Conventions: PT: portal; TN: main tunnel; I: level initial; F: level final; and G: gallery.
Table 3. Sensors added for distribution function and mine size.
Table 3. Sensors added for distribution function and mine size.
Mine SizeDistribution FunctionSensors MinimumSensors MaximumStandard Deviation
SmallExponential30554.47
SmallNormal20240.88
SmallUniform19261.08
MediumExponential41714.69
MediumNormal26321.02
MediumUniform25331.43
Disclaimer/Publisher’s Note: The statements, opinions and data contained in all publications are solely those of the individual author(s) and contributor(s) and not of MDPI and/or the editor(s). MDPI and/or the editor(s) disclaim responsibility for any injury to people or property resulting from any ideas, methods, instructions or products referred to in the content.

Share and Cite

MDPI and ACS Style

Medina, F.; Ruiz, H.; Espíndola, J.; Avendaño, E. Deploying IIoT Systems for Long-Term Planning in Underground Mining: A Focus on the Monitoring of Explosive Atmospheres. Appl. Sci. 2024, 14, 1116. https://doi.org/10.3390/app14031116

AMA Style

Medina F, Ruiz H, Espíndola J, Avendaño E. Deploying IIoT Systems for Long-Term Planning in Underground Mining: A Focus on the Monitoring of Explosive Atmospheres. Applied Sciences. 2024; 14(3):1116. https://doi.org/10.3390/app14031116

Chicago/Turabian Style

Medina, Fabian, Hugo Ruiz, Jorge Espíndola, and Eduardo Avendaño. 2024. "Deploying IIoT Systems for Long-Term Planning in Underground Mining: A Focus on the Monitoring of Explosive Atmospheres" Applied Sciences 14, no. 3: 1116. https://doi.org/10.3390/app14031116

APA Style

Medina, F., Ruiz, H., Espíndola, J., & Avendaño, E. (2024). Deploying IIoT Systems for Long-Term Planning in Underground Mining: A Focus on the Monitoring of Explosive Atmospheres. Applied Sciences, 14(3), 1116. https://doi.org/10.3390/app14031116

Note that from the first issue of 2016, this journal uses article numbers instead of page numbers. See further details here.

Article Metrics

Back to TopTop