A Fractal Prediction Model for the Friction Coefficient of Wet Clutch Friction Plates
Abstract
1. Introduction
2. Friction Plate Surface Roughness Contact Characteristics Research
2.1. Oil Film Torque Model
2.2. Rough Surface Fractal Prediction Model
2.3. Wet Clutch Motion Differential Equation
3. Friction Coefficient Fractal Prediction Model
3.1. Mathematical Prediction Model for Static Friction Coefficient
3.2. Dynamic Prediction Model for Kinetic Friction Coefficient
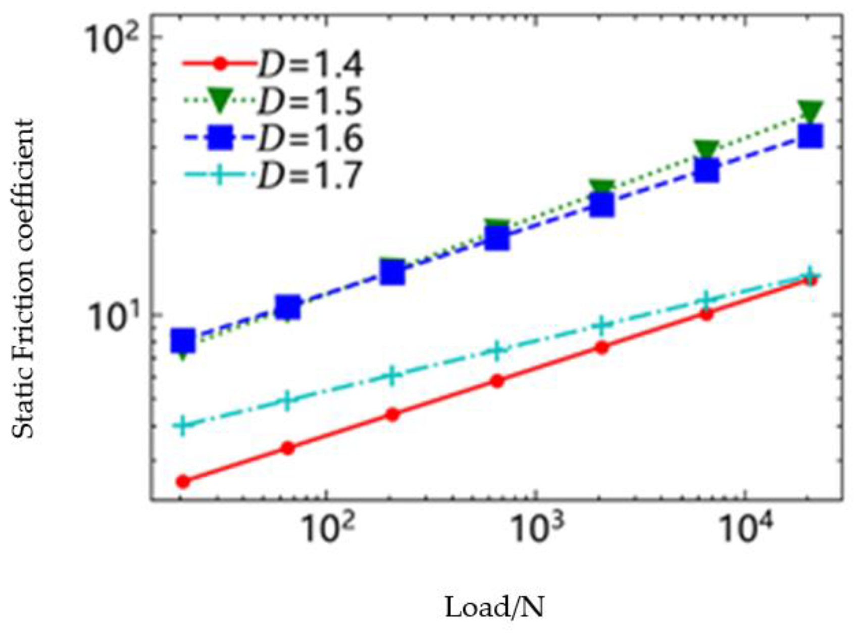
3.3. Influence of Different Fractal Dimensions on Friction Coefficient
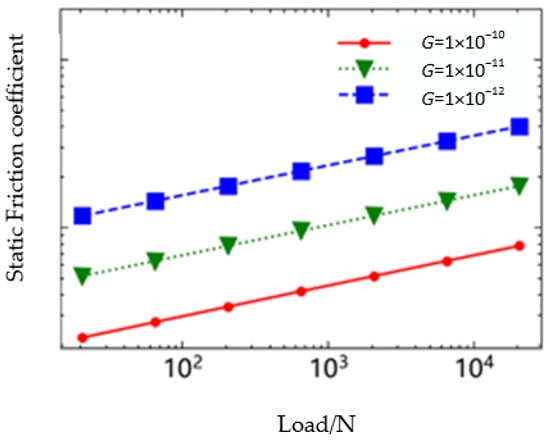
3.4. Influence of Different Scale Coefficients on Friction Coefficient
4. Experimental Verification
4.1. Introduction to Experimental Instruments and Subjects
4.2. Experiment on the Variation of Friction Disc Surface Topography and Coefficient of Friction
5. Conclusions
Author Contributions
Funding
Institutional Review Board Statement
Informed Consent Statement
Data Availability Statement
Conflicts of Interest
Abbreviations
| Nominal contact area Real contact area | Tf | Transfer torque | |
| Elastic contact area | Shear torque | ||
| Plastic contact area | Input shaft torque | ||
| Contact area of micro-convex body | Output shaft torque | ||
| Critical contact area | V | Wear loss | |
| Critical contact area | Wa | Micro convex bearing capacity | |
| c | Torsional damping | We | Elastic bearing capacity |
| D | The fractal dimension | Wh | Film bearing capacity |
| E | Hertzian modulus of elasticity | Wp | Plastic bearing capacity |
| Friction factor of micro-convex body | Critical deformation | ||
| G | Scale coefficient | Yield strength | |
| Actual oil film thickness | Pressure flow factor | ||
| Instantaneous wear depth | |||
| I | Moment of inertia | ||
| Hardness | |||
| Input shaft torsional stiffness | |||
| Output shaft torsional stiffness | |||
| Actual contact area ratio | |||
| P | Oil film pressure |
References
- Chen, H.; Hu, Y.; Wang, H.; Wang, W. Simulation and Characterization of Fractal Characteristics of Rough Surfaces. Chin. J. Mech. Eng. 2006, 42, 219–223. [Google Scholar]
- Mandelbrot, B.B. Stochastic Models for the Earth’s Relief, the Shape and the Fractal Dimension of the Coastlines, and the Number-area Rule for Islands. Proc. Natl. Acad. Sci. USA 1975, 72, 3825–3828. [Google Scholar] [CrossRef] [PubMed]
- Mandelbrot, B.B. How Long Is the Coast of Britain? Statistical Self-Similarity and Fractional Dimension. Science 1967, 156, 636–638. [Google Scholar] [CrossRef] [PubMed]
- Peta, K.; Stemp, W.J.; Chen, R.; Love, G.; Brown, C.A. Multiscale characterizations of topographic measurements on lithic materials and microwear using a GelSight Max: Investigating potential archaeological applications. J. Archaeol. Sci. Rep. 2024, 57, 104637. [Google Scholar] [CrossRef]
- Khamlichi, A.; Bezzazi, M.; Jabbouri, A.; Reis, P.; Davim, J. Optimizing friction behavior of clutch facings using pin-on-disk test. Int. J. Phys. Sci. 2008, 3, 065–070. [Google Scholar]
- Ompusunggu, A.P.; Sas, P.; van Brussel, H. Modeling and simulation of the engagement dynamics of a wet friction clutch system subjected to degradation: An application to condition monitoring and prognostics. Mechatronics 2013, 23, 700–712. [Google Scholar] [CrossRef]
- Wang, Y.; Guo, C.; Li, Y.; Li, G. Modelling the influence of velocity on wet friction-element friction in clutches. Ind. Lubr. Tribol. 2018, 70, 42–50. [Google Scholar] [CrossRef]
- Yoshizumi, F.; Tani, H.; Sanda, S. Simulation of the Friction Coefficient of Paper-Based Wet Clutch With Wavy Separators. J. Tribol. 2019, 141, 011702. [Google Scholar] [CrossRef]
- Rogkas, N.; Vasilopoulos, L.; Spitas, V. A hybrid transient/quasi-static model for wet clutch engagement. Int. J. Mech. Sci. 2023, 256, 108507. [Google Scholar] [CrossRef]
- Bao, H.-Y.; Huang, W.; Lu, F.-X. Investigation of engagement characteristics of a multi-disc wet friction clutch. Tribol. Int. 2021, 159, 106940. [Google Scholar] [CrossRef]
- Wu, B.; Qin, D.; Hu, J.; Wang, X.; Wang, Y.; Lv, H. Analysis of influencing factors and changing laws on friction behavior of wet clutch. Tribol. Int. 2021, 162, 107125. [Google Scholar] [CrossRef]
- Bao, H.; Xu, T.; Jin, G.; Huang, W. Analysis of Dynamic Engaged Characteristics of Wet Clutch in Variable Speed Transmission of a Helicopter. Processes 2020, 8, 1474. [Google Scholar] [CrossRef]
- Li, B.; Wang, D.; Meng, Y.; Hai, J. Experimental Study on the Friction Characteristics of Paper-Based Wet Friction Clutches. Tribology Society of Chinese Mechanical Engineering Society. In Proceedings of the 2006 National Tribology Academic Conference (Volume I); State Key Laboratory of Friction, Tsinghua University: Beijing, China, 2006; pp. 251–253+257. [Google Scholar]
- Zhu, H.; Ge, S. A Comparison of Structural Function and Root Mean Square Fractal Characterization Effects. J. China Univ. Min. Technol. 2004, 4, 34–37. [Google Scholar]
- Ge, S.R.; Tonder, K. The fractal behavior and fractal characterization of rough surfaces. Tribology 1997, 17, 73–80. [Google Scholar]
- Yan, Z.; Chang, Z.; Gong, C.; Dong, P.; Mei, Q.; Ma, Z.; Shen, L. Numerical Simulation of the Sliding Process of Wet Clutches. Ningxia J. Eng. Technol. 2011, 10, 55–57. [Google Scholar]
- Qi, Y.; Chen, M.; Chen, F. Research on the Actual Contact Area Model of Clutch Friction Pairs. J. Guangxi Univ. (Nat. Sci. Ed.) 2016, 41, 707–713. [Google Scholar]
- Zhao, E.; Ma, B.; Li, H.; Du, Q.; Li, H.; Ma, C. Research on the Influence of Rotational Speed on the Local Lubrication and Friction Characteristics of Wet Clutches. Acta Armamentarii 2017, 38, 625–633. [Google Scholar]
- Yang, L. Research on the Friction Vibration Characteristics of the Clutch Engagement Process. Ph.D. Thesis, Beijing Institute of Technology, Beijing, China, 2018. [Google Scholar]
- Zhang, X.; Zhang, W.; Wen, S.; Yao, S. A Three-Dimensional Fractal Model for the Scale Correlation of the Static Friction Coefficient on the Contact Surface. J. Mech. Eng. 2021, 57, 127–138. [Google Scholar]
- Zhang, X.; Xu, Y.; Zhao, H. A Model for the Static Friction Coefficient of the Contact Surface Considering the Interaction of Micro-Asperities. Modul. Mach. Tool Autom. Manuf. Tech. 2022, 579, 62–66. [Google Scholar]
- Patir, N.; Cheng, M.S. Application of average flow model to lubrication between rough sliding surfaces. J. Lubr. Technol. 1979, 101, 220–229. [Google Scholar] [CrossRef]
- Hill, R. The Mathematical Theory of Plasticity; Oxford University Press: Oxford, UK, 1998. [Google Scholar]
- Hamilton, G.M. Explicit Equations for the Stresses beneath a Sliding Spherical Contact. Proc. Inst. Mech. Eng. Part C J. Mech. Eng. Sci. 1983, 197, 53–59. [Google Scholar] [CrossRef]
- Yang, S. Research on Dynamic Wear Calculation Method of Friction Pair of Friction Clutch Based on Fractal Model. Master’s Thesis, Nanjing University of Aeronautics and Astronautics, Nanjing, China, 2024. [Google Scholar]














| Parameter Name | Parameter Value |
|---|---|
| Friction Pair Inner Diameter, r1/mm | 59.5 |
| Friction Pair Outer Diameter, r2/mm | 73.5 |
| Counter Steel Plate Thickness, t/mm | 3 |
| Friction Plate Thickness, t/mm | 3 |
| Friction Plate Material | 9802 Paper-Based |
| Surface Roughness | 6.3107 × 10−6 |
| Engagement Speed, n/rpm | 300,010 |
| Engagement Pressure, P/Mpa | 1.2~1.5 |
| Lubricating Oil Flow Rate, Q0/(L/min) | 0.5 |
| Lubricating Oil Grade | Shell Shellite 555 |
| Lubricating Oil Temperature, ℃ | 40 |
Disclaimer/Publisher’s Note: The statements, opinions and data contained in all publications are solely those of the individual author(s) and contributor(s) and not of MDPI and/or the editor(s). MDPI and/or the editor(s) disclaim responsibility for any injury to people or property resulting from any ideas, methods, instructions or products referred to in the content. |
© 2024 by the authors. Licensee MDPI, Basel, Switzerland. This article is an open access article distributed under the terms and conditions of the Creative Commons Attribution (CC BY) license (https://creativecommons.org/licenses/by/4.0/).
Share and Cite
Cao, J.; Yang, S.; Chen, Z.; Sun, H.; Ning, F.; Bao, H. A Fractal Prediction Model for the Friction Coefficient of Wet Clutch Friction Plates. Appl. Sci. 2024, 14, 12075. https://doi.org/10.3390/app142412075
Cao J, Yang S, Chen Z, Sun H, Ning F, Bao H. A Fractal Prediction Model for the Friction Coefficient of Wet Clutch Friction Plates. Applied Sciences. 2024; 14(24):12075. https://doi.org/10.3390/app142412075
Chicago/Turabian StyleCao, Jianfeng, Sirui Yang, Zhigang Chen, Haoxuan Sun, Fenglian Ning, and Heyun Bao. 2024. "A Fractal Prediction Model for the Friction Coefficient of Wet Clutch Friction Plates" Applied Sciences 14, no. 24: 12075. https://doi.org/10.3390/app142412075
APA StyleCao, J., Yang, S., Chen, Z., Sun, H., Ning, F., & Bao, H. (2024). A Fractal Prediction Model for the Friction Coefficient of Wet Clutch Friction Plates. Applied Sciences, 14(24), 12075. https://doi.org/10.3390/app142412075
