Next Article in Journal
Investigation of Effects of Feed Rate and Cutting-Edge Angle Variation on Surface Roughness in External Cylindrical Turning Process of Ms58 Brass Material
Previous Article in Journal
Study on the Microstructure and Permeability Characteristics of Tailings Based on CT Scanning Technology
 
 
Font Type:
Arial Georgia Verdana
Font Size:
Aa Aa Aa
Line Spacing:
Column Width:
Background:
Article

Application of Machine Learning for Estimating the Physical Parameters of Three-Dimensional Fractures

by
Fadhillah Akmal
1,2,
Ardian Nurcahya
1,2,
Aldenia Alexandra
1,2,
Intan Nurma Yulita
3,4,
Dedy Kristanto
5 and
Irwan Ary Dharmawan
1,*
1
Department of Geophysics, Faculty of Mathematics and Natural Sciences, Universitas Padjadjaran, Sumedang 45363, Indonesia
2
Postgraduate Physics Study Program, Faculty of Mathematics and Natural Sciences, Universitas Padjadjaran, Sumedang 45363, Indonesia
3
Department of Computer Science, Faculty of Mathematics and Natural Sciences, Universitas Padjadjaran, Sumedang 45363, Indonesia
4
Research Center of Artificial Intelligence and Big Data, Universitas Padjadjaran, Sumedang 45363, Indonesia
5
Department of Petroleum Engineering, Faculty of Mineral Technology, Universitas Pembangunan Nasional “Veteran” Yogyakarta, Yogyakarta 55283, Indonesia
*
Author to whom correspondence should be addressed.
Appl. Sci. 2024, 14(24), 12037; https://doi.org/10.3390/app142412037
Submission received: 23 October 2024 / Revised: 18 December 2024 / Accepted: 20 December 2024 / Published: 23 December 2024
(This article belongs to the Section Computing and Artificial Intelligence)

Abstract

Hydrocarbon production in the reservoir depends on fluid flow through its porous media, such as fractures and their physical parameters, which affect the analysis of the reservoir’s physical properties. The fracture’s physical parameters can be measured conventionally by laboratory analysis or using numerical approaches such as simulations with the Lattice Boltzmann method. However, these methods are time-consuming and resource-intensive; therefore, this research explores the application of machine learning as an alternative method to predict the physical parameters of fractures such as permeability, surface roughness, and mean aperture. Synthetic three-dimensional digital fracture data that resemble real rock fractures were used to train the machine learning models. These included two convolutional neural networks (CNNs) designed and implemented in this research—which are referred to as CNN-1 and CNN-2—as well as three pre-trained models—including DenseNet201, VGG16, and Xception. The models were then evaluated using the R 2 and mean absolute percentage error (MAPE). CNN-2 was the best model for accurately predicting the three fracture physical parameters but experienced a drop in performance when tested on real rock fractures.

1. Introduction

Petroleum reservoirs are structures in the earth’s subsurface that consist of pores and a fracture network that can store hydrocarbons [1]. In fractured reservoirs, the fractures can increase the porosity and permeability of the reservoir, affecting fluid flow and transport [2]; therefore, understanding these physical parameters could improve oil extraction mechanisms [3]. The irregular and complex geometry of fractures is the main factor affecting fluid flow. The complexity of the geometry is due to the surface roughness and varying aperture widths [4]. Previous studies have shown that this irregular geometry significantly impacts fluid mobility within fractures [5,6].
Determination of the physical parameters of fractures is complex, generally achieved through laboratory tests, for example, by injecting a fluid through a rock fracture sample by maintaining the pressure and temperature conditions [7]. Numerical simulations are also widely used, employing the X-ray micro-computed tomography technique to create three-dimensional fracture geometry [8] for numerical fluid flow simulations, enabling us to obtain the physical parameters [9]. One of the numerical simulation methods often used for fractures to obtain fluid flow parameters in porous media and fractures is the Lattice Boltzmann method [10,11,12]. However, both these methods are time-consuming and resource-intensive [13].
The recently developed machine learning methods have been applied to resolve many problems in technology, industry, and science [14], including the optimisation of hydrocarbon production [15], well-log data analysis [16], and the estimation of physical parameters related to porous rocks and fractures. For example, the toughness of a fracture has been estimated using regression trees and neural networks [17], physical properties of two-dimensional porous media properties have been predicted [18], and the estimation of porous media porosity, permeability, and tortuosity [13]. Deep learning models are commonly applied to handle complex problems using artificial neural networks consisting of multiple layers of neurons which mimic the neurons in the human brains, with weights that are adjusted throughout the training process. A variant of the deep learning model is the convolutional neural network (CNN). The CNN has been used for image pattern recognition due to its ability to learn complex features from images [19,20]. CNN models have been used in research on fractures, for example, to estimate permeability in fracture networks [21], as well as for the estimation of physical parameters in two-dimensional fractures [22]. There are also pre-trained models that use transfer learning, which have yielded accurate results in estimating porous media parameters when working with small datasets [23]. Beyond the CNN, other deep learning models, such as transformers-based deep learning models, have been used to improve the prediction of permeability in porous media by leveraging their self-attention mechanisms to capture complex spatial correlations and heterogeneity [24].
CNN models were utilised in this study to predict the physical properties of three-dimensional singular fractures, including permeability, surface roughness, and mean aperture. Permeability refers to the ability of a medium to allow fluids to pass through it. Surface roughness refers to the roughness of the internal surface of fractures, and mean aperture is the mean aperture width of fractures. This study builds upon our previous work [22], which focused on estimating two-dimensional fracture properties using machine learning. This study advances from our previous one by transitioning to three-dimensional fracture geometries. Five CNN models were evaluated, two models developed specifically for this study, referred to as CNN-1 and CNN-2, and three pre-trained models consisting of DenseNet201, VGG16, and Xception to estimate the physical parameters of three-dimensional fractures.

2. Materials and Methods

The study flow is shown in Figure 1. Fracture geometry data converted into augmented images were utilised to train CNN models to develop a machine learning model to estimate physical parameters such as permeability, surface roughness, and mean aperture. This section discusses the fracture geometry and its physical parameters, data preprocessing, the use of CNN models, and model training and evaluation.
First, the geometry of the fractures with various surface roughness and mean apertures was generated using fractional Brownian motion (fBm). Then, the geometry was inputted into numerical simulations to simulate fluid flow and calculate the permeability using the Lattice Boltzmann method. The geometry was also used to create synthetic composite image as input. The input and three physical parameters were combined for model training before the model performance was evaluated using a test dataset.

2.1. Fracture Geometry Dataset

The dataset consisted of synthetic three-dimensional singular fracture geometry. A singular fracture refers to an isolated fracture that is not interconnected to other fractures. This fracture was modelled by a three-dimensional channel formed between two parallel surface plates. This fracture is characterised by its geometric form with two values, the width of the aperture and its internal surface roughness of the fracture [4,25]. The rough internal surface of the fracture could result in a distribution of aperture widths rather than a uniform aperture width. The roughness is frequently modelled as a stochastic function of a self-affine fractal. In this study, the surface roughness was described using the Hurst exponent, a parameter used to measure roughness by assessing the tendency of a time series or signal to follow a pattern. The height of the fracture surface is represented as a time series to describe its roughness and the Hurst exponent is related to the fractal dimension according to Equation (1) [6,26]:
D = 3 H
where D is the fractal dimension and H is the Hurst exponent.
Roughness profiles can be generated using the fBm method, which has a certain Hurst exponent similar to the roughness of real fracture surfaces in rocks [25]. The fractures were generated using the fBm method with Hurst exponent values ranging from 0.5 to 0.75, reflecting those found in natural rock fractures [5] and the mean aperture width (10 to 30 voxels) [27]. The fracture is created by two identical rough surfaces generated using the fBm method that with separated with a specific aperture. The surface roughness and mean aperture values in the dataset are discrete due to data generation process. Specific Hurst exponent values (0.5, 0.55, 0.6, 0.65, 0.7, and 0.75) were used to define surface roughness, while mean aperture values were selected at fixed intervals. Despite that, the machine learning models would predict this as continuous regression targets. The dimensions of the generated fractures were 200 × 200 × 200 voxels. Each voxels was represented as a lattice unit (lu) that was used in the fluid simulation. This lattice unit also served as the unit for the mean aperture because of the difference in the resolution of different fractures used in this study. The geometries were converted to binary arrays, with 0 representing the fracture and 1 representing solids.
Additional data used were real rock fracture samples for model validation from andesite rock in the geothermal region in Kyushu, Japan [28]. These samples were digital models of a fractured rock mass, mapped using a laser profilometer to obtain its fracture surface topography. The samples have dimensions of 200 × 1800 pixels with a resolution of 0.1 mm, divided into upper and lower surface plates. Two mapped surface plates were paired and separated with an aperture to create a three-dimensional fracture model. The roughness has a fractal dimension of 2.4 consistent with typical rock surface roughness [29]. Both surface plates were combined into multiple three-dimensional binary geometries with dimensions of 200 × 1800 × 200 voxels, varying aperture width and a Hurst exponent value of 0.6. These samples were then divided into subsamples measuring 200 × 200 × 200 voxels to match the dimensions of the generated fractures (Figure 2).
Other data that were used comprised hydraulic fracture samples from a shale oil reservoir in China [30]. The samples were obtained from original three-dimensional greyscale computed tomography images. The samples used consisted of the main fracture, aligned with its maximum effective subsurface stress direction. The whole three-dimensional fracture sample is shown in Figure 3. The original sample is a binary array of size of 800 × 100 × 800 voxels with a resolution of 27.4 μ m and a physical size of 21.92 × 2.74 × 21.92 mm. The sample is then divided into 37 subsamples of 200 × 200 × 200 voxels to match the training data.
All the data used in this study are summarised in Table 1.

2.2. Surface Roughness and Mean Aperture Calculation

The two physical parameters of the fracture that the machine learning model tries to guess are the mean aperture and surface roughness. For synthetic fractures generated using the fBm method, these parameters are obtained when creating the fracture geometry. The surface roughness and mean aperture values were recalculated for the subsamples of andesite and shale fractures. The surface roughness parameter is obtained by calculating the Hurst exponent value using the rescaled range analysis method. This method derives the value of the Hurst exponent using the R / S statistic [31].
To obtain the Hurst exponent value, the fracture surface in the three-dimensional geometry needs to be extracted. This is achieved by analysing the binary representation of the fracture geometry. The surface of the fracture is identified by iteratively checking each layer of the three dimensional geometry for transitions in binary values. These boundaries are recorded as the surface points of the fracture, represented as a set of discrete data points. To quantify the roughness of the fracture, the Euclidean distances between consecutive points along the boundary are calculated using Equation (2).
L i = ( x i + 1 x i ) + ( y i + 1 y i ) + ( z i + 1 z i )
where L i is distance between point ( x i , y i , z i ) and ( x i + 1 , y i + 1 , z i + 1 ) .
After obtaining the distance of each point in the data, the range value (R) is obtained using Equation (3).
R = m a x ( L ) m i n ( L )
Next, the standard deviation (S) is calculated using Equations (4) and (5).
S = 1 N i = 1 N ( L i μ ) 2
μ = 1 N i = 1 N L i
where N is the number of data points, and μ is mean distance of each data point. The rescaled range is obtained by dividing R and S. The Hurst exponent (H) is then derived from Equation (6).
H = log ( R / S ) log ( N )
The calculation of the mean aperture value is completed by iterating through each two-dimensional grid cell in the x z plane. For each grid cell, it sums the binary values of the fracture along the y-axis (depth), which represent the aperture at that location. These sums are aggregated across all grid cells, and the average aperture is calculated by dividing the total aperture by the number of grid cells.

2.3. Permeability Calculation

Geometry data were then used to calculate permeability by simulating fluid flow using the Lattice Boltzmann method (LBM). The LBM describes fluid behaviour by simulating fluid molecules on a grid based on the distribution of several particles using the Boltzmann equation. In LBM simulations, fluid behaviour results from the flow of particle collisions on the grid. The simulation was conducted using the Palabos software (version 2.3.0) [32]. The three-dimensional fracture geometry was converted into an input file for the Palabos simulation to establish boundary conditions. Initially, the fluid flow had zero velocity, and the inlet and outlet of the geometry had a constant pressure difference. The simulation used the D 3 Q 19 movement scheme in which D 3 , corresponding to the simulation, is three-dimensional and Q 19 indicates the 19 directions of particle movement. The general form of the LBM is shown in Equation (7):
f i x + c i Δ t , t + Δ t ) = f i ( x , t ) + Ω i ( f )
where f i ( x , t ) represents the density distribution moving in the i-th direction with velocity as a discrete velocity vector c i heading to the nearest point x + c i Δ t at time t + Δ t . Particle movement is also affected by collisions described using the collision operator, Ω i ( f ) . The Bhatnagar–Gross–Krook approximation was used to determine the movement and collision of fluid particles and the collision operator is expressed as follows:
Ω i ( f ) = f i f i e q τ Δ t
where f i e q is the equilibrium distribution function and τ is the relaxation time. The equilibrium distribution function is shown in Equation (9), where c s is the lattice speed of sound, u is macroscopic velocity, c i is the discrete velocity vector, ρ is fluid density, and w i is the weight coefficient (Table 2):
f i e q ( x , t ) = w i ρ 1 + u · c i c s 2 + ( u · c i ) 2 2 c s 4 u · u 2 c s 2
The macroscopic value of the simulation, such as fluid density, ρ , and fluid momentum, ρ u , can be obtained by summing the distribution functions, as shown in Equations (10) and (11).
ρ = i f i
ρ u = i c i f i
The permeability calculation is derived from Darcy’s law, as shown in Equation (12).
Q = k A μ P
where Q is the flow rate, k is the permeability, A is the cross-sectional area of the media, and P is the pressure gradient. The LBM simulation provided the permeability values of the fracture geometry. This permeability value as well as the surface roughness in the form of the Hurst exponent and mean aperture were used as reference values for machine learning.

2.4. Dataset Distribution

The distributions of the fracture parameters are quite important for understanding the dataset structures. Figure 4 presents the histograms and box plots of the three primary features used for training data in this study.
Figure 4 shows the distribution of dataset used for training the model. The histogram of permeability values shows a skewed distribution, with a higher frequency of samples in the lower permeability range (0–0.0002 mm2). The frequency decreases as permeability increases, with relatively fewer samples beyond 0.0008 mm2. This distribution reflects the inherent variability of synthetic fractures, where lower permeability values are more common due to tighter fracture geometries. Despite this imbalance, the dataset still spans a wide range of permeability values, ensuring sufficient representation for model training. Surface roughness, represented by the Hurst exponent, exhibits a discrete distribution with samples concentrated at six specific values used on the data generation: 0.50, 0.55, 0.60, 0.65, 0.70, and 0.75. The uniformity of sample counts across these values demonstrates an equal representation of different roughness levels, ensuring no bias toward a particular roughness scale. The mean aperture values are distributed across fixed intervals, ranging from 10 to 30 lattice units (lu). The histogram shows an approximately uniform distribution, with similar sample counts across all intervals. This uniform representation provides balanced training data for predicting the mean aperture, ensuring the model learns effectively across the entire range of possible values.
Figure 5 and Figure 6 present the histograms and box plots of the three primary features from real rock fracture in this study.
Figure 5 (andesite) and Figure 6 (shale) reveal the distinct fracture properties of these two rock types. Andesite has significantly higher permeability, ranging from 0.0002 mm 2 to 0.001 mm 2 , with most values falling between 0.0002 mm 2 and 0.0006 mm 2 . In contrast, shale exhibits much lower permeability, predominantly between 0.0001 mm 2 and 0.0005 mm 2 . The Hurst exponent for andesite, which clusters around 0.61–0.62, indicates a more organized and interconnected fracture network, while shale, with a lower Hurst exponent (0.58–0.60), has more random and less systematic fractures. Additionally, andesite has larger mean aperture sizes, ranging from 10 to 30 lu and peaking around 20 lu, with its aperture also having consistent patterns, whereas shale features have smaller apertures (12 to 28 lu) with greater variability. These findings suggest that andesite, with its higher permeability, larger apertures, and more structured fractures, is more favourable for fluid flow, whereas shale’s lower permeability, smaller apertures, and less organized fractures make it a better barrier to fluid movement.

2.5. Data Preprocessing

Two-dimensional slices of the fracture geometry were selected perpendicular to one of the major axes and fracture directions, in the x y and z y planes. This plane was chosen to obtain as much fracture geometry shape as possible. A slice of this geometry can show the roughness pattern of the fracture as well as the aperture size of the fracture, which has the geometry information of the fracture while reducing the information that needs to be processed by the model later. These slices have dimensions of 200 × 200 pixels and were stacked to form a synthetic composite image and saved in lossless image file format. This image was used as the input feature map for the model. An illustration of input preprocessing is shown in Figure 7.
This approach was applied to convert the input data into a format commonly used in the CNN while making it easier to store and read. This also reduced computational load when processing input data while still retaining its geometry information needed for predicting its parameters, although using the entire three-dimensional geometry as an input could provide more information and improve the model capabilities.

2.6. CNN Models

The CNN is designed to process image or spatial datasets using three main components: convolutional layers, pooling layers, and fully connected layers. Convolutional layers were applying convolution operation to extract features using a filter or kernel. This kernel is matrix that could detect simple patterns or features such as edges or textures. This convolution operation generates a feature map that highlights those features to be processed by another layer. Pooling layers reduce the spatial dimension of the data while retaining most of their critical information. This is typically carried out using the operation of max pooling, where the layers take the maximum value from a small region of the feature map. These pooling layers also reduce the computational load and make the model more invariant to small distortions in the input data. Fully connected layers are artificial neural networks that learn the relationship between the input and the output label, enabling the model to make predictions based on the features extracted from convolutional and pooling layers.
Three pre-trained models using transfer learning and two custom-designed CNN models were used to estimate physical parameters of three-dimensional fractures. Each model’s architecture was independent and trained for each of the three prediction targets: permeability, surface roughness, and mean aperture. This was completed because each physical parameter has unique characteristics and dependencies, which may require distinct feature representations. Training independent models allows each model to specialize in learning features relevant to its specific target without interference from unrelated features of other parameters.
The three pre-trained models were available from the Keras library and included DenseNet201 [33], VGG16 [34], and Xception [35], which were previously trained using the ImageNet dataset, a large-scale image dataset containing 14 million labelled images across more than 20,000 categories. These models have been used in several studies for predicting physical parameters using a CNN for fractured and porous media [21,36,37]. The three pre-trained models were adapted with a modified final layer to change from networks that perform classification into regression functions to predict physical parameters. This enables us to make use of the initial layers of the network that perform generic feature extraction, while the final layers act as classifiers tailored to specific prediction tasks [38]. The new final layer was implemented with a global maxpooling layer, a flattening layer, a fully connected layer with 512 hidden units with ReLU activation, and a fully connected sigmoid layer for predicting physical parameters. The full description of the model architecture can be seen in Appendix A. An illustration of the modifications made to the pre-trained models is shown in Figure 8.
In this research, two custom CNN models, CNN-1 and CNN-2, were designed and implemented to predict the physical properties of three-dimensional fractures. CNN-1 consists of three convolutional layers, each followed by a pooling layer to reduce feature dimensions connected to a fully connected layer and used linear activation functions (Figure 9).
CNN-2 is a modified version of CNN-1, incorporating batch normalisation layers to improve its training speed and generalisation, and ReLU activation functions to introduce non-linearity in the model, thus improving the model performance for learning more complex patterns (Figure 10).
Model training was performed using a dataset of composite images created from three-dimensional fractures as input that was split into training (80%) and testing (20%) data. Each model was trained to estimate the physical parameters of permeability, mean aperture, and Hurst exponent for 100 epochs with a learning rate set to 0.001. The loss function used for the training process was the mean squared error (MSE), as shown in Equation (13). In a research on rock parameter prediction, model training optimization using MSE produces models with better performance [13].
M S E = 1 n i = 1 n ( y i y ^ i ) 2
where n is number of data, y is the actual value, and y ^ i is the predicted value from the model. The algorithm used to adjust model parameters or the optimiser was Adam, which has better performance and faster training times compared to other optimisers [39]. The training process was performed using an Intel i5-9300H 2.40 GHz processor, an Nvidia Tesla T4 GPU, and 15 GB of RAM.

2.7. Model Evaluation

The models were evaluated utilising the metrics R 2 and mean absolute percentage error (MAPE). The R 2 , or coefficient of determination, ranges from 0 to 1; a value closer to 1 indicates better performance in predicting the data. MAPE measures the absolute error between the predicted and reference values in percentage form, making it easy to interpret as the error is expressed as a percentage. A model performs better when the R 2 value is larger and the MAPE value is smaller. The formulae for R 2 and MAPE are as follows:
R 2 = 1 i = 1 n ( y i y ^ i ) 2 i = 1 n ( y i y ¯ i ) 2
MAPE = 1 n i = 1 n | y i y ^ i y i | × 100 %
where y i represents the true parameter value, y ^ i is the predicted parameter value from the model, and n denotes the number of data samples. The interpretation of the MAPE value is shown in Table 3 and indicates the level of prediction accuracy [40].

3. Results and Discussion

3.1. Training Time Comparison

The computational efficiency of machine learning models is a crucial consideration, particularly when dealing with large datasets or complex architectures. We measured and compared the training times for CNN-1, CNN-2, and the three pre-trained models: Xception, DenseNet201, and VGG16. Each model is trained with 300 epochs, with the model with the best loss function results saved for use in the evaluation process. Table 4 shows the time required for each model to be trained.
As shown in Table 4, the custom CNN models, CNN-1 and CNN-2, required significantly less training time compared to the pre-trained models. Specifically, CNN-1 was the most efficient, completing training in just 20 min, while CNN-2 took 42 min. In comparison, all three pre-trained models require a considerably longer time to train.
The training time is also dependent on the hardware used. This was achieved using an NVIDIA Tesla T4 GPU, a high-end hardware device designed for machine learning tasks. However, the use of high-end hardware may not be accessible in all practical scenarios when the models are deployed. The comparison shows that CNN-1 and CNN-2, having simpler model architecture, can achieve faster training times, making them suitable for applications where the computational efficiency is a critical factor.

3.2. Model Performance

Five CNN models were trained to estimate the fracture physical parameters’ permeability, surface roughness, and mean aperture using a dataset of 3878 training data, and they were then tested on 970 testing data. The model performance in estimating permeability is shown in Table 5 and Figure 11, which plots the predicted permeability against the permeability from the LBM simulation.
CNN-2 is the most accurate model with the smallest error ( R 2 value of 0.989 and MAPE of 8.596%), followed by CNN-1, DenseNet201, and VGG16. The model with the largest error was Xception. The performance of each model in estimating the surface roughness is presented in Table 6 and Figure 12, which shows that CNN-2 has the smallest error compared to the other models with an R 2 value of 0.962 and MAPE of 1.470%. Therefore, it is highly accurate in estimating surface roughness. The second-best performing model was VGG16, followed by DenseNet201 and Xception, with CNN-1 having the largest error.
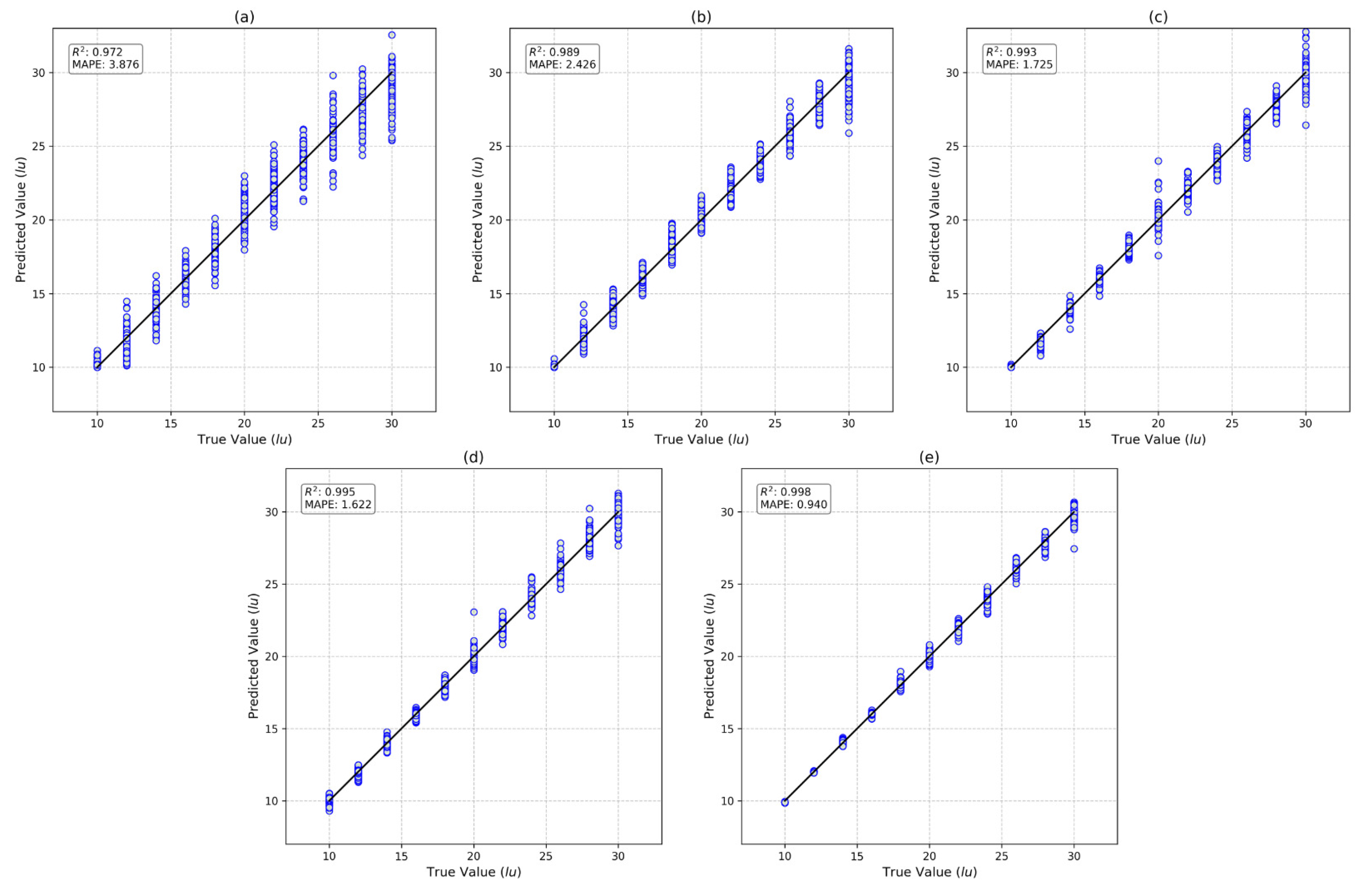
The performance of each model in estimating the mean aperture is presented in Table 7 and Figure 13, showing that CNN-2 has the smallest error of all the models with an R 2 value of 0.997 and MAPE of 0.941%, indicating that its prediction is highly accurate. The second-best performing model is CNN-1, followed by the DenseNet201 and VGG16. Xception had the largest error of all models that were evaluated.
The models performed best in estimating the mean aperture, possibly because the mean aperture can be observed more straightforwardly than other parameters; thus, it is easier to predict.
Five CNN models, consisting of CNN-1, CNN-2, and pre-trained models VGG16, DenseNet201, and Xception, were used to estimate three physical parameters of rocks: permeability, surface roughness, and average aperture width of a three-dimensional fracture. The evaluation metrics results show that the models can predict the physical parameter values accurately. Based on Table 3, the mean aperture and surface roughness parameters can be predicted with small errors, where R 2 values are close to 1 and MAPE values are small. For permeability, only the CNN-2 model has very accurate predictions, with the other four models having MAPE values greater than 10%, indicating less accurate predictions. Based on R 2 and MAPE metrics, the results show that CNN-2 outperforms the other CNN models. Compared to CNN-1, CNN-2 has a more complex architecture that makes use of the RELU activation function and batch normalization. The pre-trained models, while having more complex architectures than CNN-1 and CNN-2, were trained on ImageNet datasets, which might have different properties from the data used in this study, as pre-trained models’ networks were designed for their source task and were not compatible with the current task [41]. Therefore, it is possible that pre-trained models do not capture fracture features as well as CNN models that were trained from scratch.

3.3. Model Testing Using Real Fractures

The models’ performance in estimating fractures in actual rocks was evaluated to determine their ability to generalise, which refers to the their capacity to learn relationships from the training data and apply them effectively to previously unseen data [42].
First, permeability values from the andesite fracture data were predicted by each model. Their performance is shown in Table 8 and Figure 14. The best-performing model was CNN-2 ( R 2 value of 0.995 and MAPE of 12.606%), followed by CNN-1, VGG16 and DenseNet201, with Xception having the largest error.
The performance of the models in estimating surface roughness is shown in Table 9 and Figure 15, indicating that model predictions were not as accurate for andesite fractures. The models tended to predict higher values than the actual values, with DenseNet201 having the smallest error compared to the other models. The second-best performing model was Xception, followed by CNN-1 and VGG16. CNN-2 had the largest error. The models performed poorly in capturing the variations in surface roughness from the andesite data, which led to a relatively low R 2 value. This can be attributed to the small range of values in the andesite fracture compared to the broader range in the training dataset. Despite this, the models performed reasonably well when evaluated using MAPE, with DenseNet201 having an MAPE of 12.004%. The simpler models, CNN-1 and CNN-2, struggled to generalise the surface roughness of the synthetic data compared to real data, possibly due to the difference in the roughness geometry of the synthetic fracture compared to the real rock fracture.
The next parameter evaluated was the mean aperture of the andesite fractures. The performance of the models in estimating mean aperture values is depicted in Table 10 and Figure 16, showing that the CNN-2 model has the smallest error compared to other models with an R 2 value of 0.977 and MAPE of 4.583%. The CNN-2 model was the most accurate, followed by VGG16, Xception and CNN-1, with DenseNet201 having the largest error.
Next, permeability of the shale oil reservoir fracture dataset was predicted by each model, and their performance is shown in Table 11 and Figure 17. The Xception model achieved the highest R 2 value (0.473) but a high MAPE of 51.414 %, indicating moderate consistency but large absolute errors. VGG16 followed with an R 2 value of 0.393 and a lower MAPE of 38.881%, demonstrating a good balance of predictive accuracy and reliability. CNN-2 showed the lowest MAPE (35.666%), reflecting a minimal absolute error, but its R 2 value (0.258) indicates a weaker correlation with true values. DenseNet201 and CNN-1 performed the worst, with significant scatter in their predictions and low R 2 values (0.195 and 0.154, respectively). This drop in performance could be attributed to these fractures having a more complex and non-uniform geometry, differing from the synthetic data used for training.
The performance of various models in predicting the Hurst exponent of shale samples is depicted in Figure 18, with detailed metrics provided in Table 12. DenseNet201 was the most accurate model, with minimal deviation from the true values and the highest R 2 value, indicating strong predictive performance. CNN-2 followed as the second-best model, performing well but showing slightly larger prediction errors than DenseNet201. VGG16 performed reasonably, while Xception had a broader spread of points, signalling larger prediction errors. CNN-1 had the weakest performance, with points furthest from the diagonal and the lowest R 2 value, indicating less accurate predictions compared to the other models. Similarly to the andesite fracture dataset, the models performed poorly in capturing the variations in surface roughness from shale data, which led to relatively low R 2 values. This can be attributed to the small range of values in the shale fracture compared to the broader range in the training dataset. However, the models performed reasonably well when evaluated using the MAPE measure, with DenseNet201 having an MAPE of 4.493%. This result shows that the roughness of shale fractures is more similar to the training dataset, leading to more accurate predictions by the model when compared to the andesite fracture.
Figure 19 and Table 13 showcase the performance of different CNN models in predicting the mean aperture of shale samples. Among all models, VGG16 demonstrated the best performance, with its data points being tightly clustered around the diagonal and obtaining the highest R 2 value, having the most accurate predictions. Following VGG16, Xception showed strong performance, with a narrow spread of points and competitive accuracy. DenseNet201 was next, exhibiting slightly larger deviations but still delivering reliable results. CNN-1 performed reasonably well but had a wider spread of data points, indicating more variability in predictions compared to VGG16, Xception, and DenseNet201. CNN-2 had the weakest performance, with points furthest from the diagonal and the lowest R 2 value, suggesting less accurate predictions.
The evaluation of transfer learning models for predicting permeability, the Hurst exponent and surface roughness of andesite and shale samples has revealed key insights. This analysis suggests that models struggled with the complexity inherent in real shale fracture geometries, which differ significantly from the synthetic data used in training. These findings emphasize the critical need to incorporate real fracture data during the training process. Additionally, exploring hybrid models that integrate physics-based methodologies with data-driven approaches could further enhance the predictive accuracy and generalizability of machine learning models for characterizing shale surface roughness and the Hurst exponent.
CNN-2 performed the best when predicting physical parameters from synthetic fractures. Its performance in predicting real rock fractures had a noticeable drop in accuracy. This highlights the difference between the synthetic data used during training and real rock fractures used during testing. The andesite fractures still closely resemble synthetic data, with their permeability and mean aperture prediction being quite accurate with CNN-2. While the models struggled with having reasonable accuracy on permeability (MAPE = 35.666%) and exhibited a drop in accuracy regarding the mean aperture (MAPE = 10.014%) on shale oil reservoir fractures, this could be due to shale oil reservoir fractures having greater complexity with varying apertures, which could not be captured using a two-dimensional composite image. Predictions for surface roughness were less accurate for both real rock fractures due to the difference in geometry roughness between synthetic fractures and real rock fractures. Synthetic data generated using the fBm method featured geometric structures with uniform apertures and similar roughness geometry on both surfaces, which does not closely approximate the complexity of fractures in actual rocks. This shows the challenges that models face when trained using synthetic datasets due to the differences in their characteristics, such as geometry and roughness.
The results also show that a pre-trained model has less accuracy, likely due to its generalisation capabilities being optimised for datasets other than fractures. Some pre-trained models, such as DenseNet201 and VGG16, outperformed CNN-2 in predicting real rock fracture parameters, suggesting that a simpler model like CNN-2 might struggle with the complexity difference between synthetic data and real rock fractures.
Testing the models using real rock fractures demonstrates the significant potential of the CNN for estimating the physical parameters of fractures, such as permeability, surface roughness, and mean aperture, in three-dimensional models. By achieving high accuracy with synthetic datasets, the models, especially CNN-2, show promise for rapid and efficient analysis of fracture properties. ML-based approaches offer a cost-effective alternative by reducing reliance on repeated numerical simulations once models are trained, traditionally requiring resource-intensive methods like laboratory testing or numerical simulations. This scalability allows for large-scale evaluations of fracture datasets. While aperture estimation from binary fracture images can be performed using straightforward counting algorithms, ML-based approaches showcase the power of ML to streamline fracture characterizations by predicting all properties directly from the input data.
Future research could focus on incorporating real rock fracture datasets into the training process to enhance models’ ability to generalise the natural geometry that is not present in synthetic data. Used datasets could include real fracture samples with a broader range of parameters to improve models’ performance in predicting physical parameters across various fracture types. Additionally, for synthetic data generation, including variations in amplitude factors and having varying apertures in fractures could better mimic the geometry seen in real fractures. Implementing data augmentation strategies to mimic the variability of real fractures or utilising models that process fully three-dimensional input would allow them to capture more information and the characteristics of fractures. Finally, integrating physics-informed machine learning approaches into models’ architectures could improve the accuracy of predicting physical parameters.

4. Conclusions

This study explored the use of convolutional neural network (CNN) models to estimate essential physical parameters—permeability, surface roughness, and mean aperture—of three-dimensional fractures. The dataset included 3878 synthetic fracture samples for training, 970 for testing, and 93 real fracture samples for evaluation. Among the five models tested—CNN-1, CNN-2, and three pre-trained models (DenseNet201, VGG16, and Xception)—CNN-2 demonstrated the highest performances when estimating synthetic fractures. CNN-2 achieving superior R 2 values and a lower MAPE compared to the other models. For permeability estimation, DenseNet201 had an R 2 of 0.980 and an MAPE of 8.597%, with CNN-1 being close behind but exhibiting slightly higher error rates. CNN-2 was the most accurate for surface roughness, showing an R 2 of 0.962 and an MAPE of 1.470%, followed by VGG16. In terms of the mean aperture, CNN-2 again led with an R 2 of 0.997 and an MAPE of 0.941%, outperforming other models. However, when tested on real fracture datasets, the models’ performance dropped, indicating challenges in generalizing when applying synthetic data to real-world geometries. This decline was most noticeable for extreme values, where the accuracy of predictions suffered. CNN-1 and CNN-2, in particular, demonstrated the weakest generalization capabilities, suggesting the need for further improvements in their models’ architectures. Pre-trained models, such as DenseNet201 and VGG16, demonstrated generalization capabilities when faced with real fracture data and outperformed CNN-1 and CNN-2.
To address these limitations, future research should focus on training models with real fracture data to better capture the complexities of actual samples. Implementing data augmentation strategies to mimic the variability of real fractures and employing physics-informed CNN architectures that incorporate domain-specific knowledge could enhance predictive performance. These advancements would help bridge the gap between synthetic training data and real-world scenarios, enabling more accurate predictions and promoting wider use in geosciences and reservoir engineering.

Author Contributions

The authors’ responsibilities were as follows: F.A. and I.A.D. were responsible for the concept of this study; F.A., A.N. and A.A. were responsible for the conduct of this study, samples, and clinical data collection; F.A. was responsible for writing and editing this manuscript; F.A., I.N.Y., D.K. and I.A.D. were responsible for sample analysis and data analysis. All authors have read and approved the published version of the manuscript.

Funding

This research was financially supported by the Ministry of Education, Culture, Research, and Technology, Directorate of Research, Technology, and Community Service, Directorate General of Higher Education, Research, and Technology under the Fundamental Research and Master’s Thesis Research Scheme (Contract No. 074/E5/PG.02.00.PL/2024). Additional funding was provided by Hibah Riset Universitas Padjadjaran under the Riset Kompetensi Dosen Unpad scheme (Contract No. 1948/UN6.3.1/PT.00/2024).

Institutional Review Board Statement

Not applicable.

Informed Consent Statement

All authors of this work concur with this submission. The data presented have not been previously reported, nor are they under consideration for publication elsewhere.

Data Availability Statement

The raw data supporting the conclusions of this article will be made available by the authors on request.

Acknowledgments

The authors acknowledge the Department of Geophysics Universitas Padjadjaran supercomputing resources “RockExplorer”, which were made available for conducting the research reported in this paper.

Conflicts of Interest

The authors declare no conflicts of interest.

Abbreviations

The following abbreviations are used in this manuscript:
CNNConvolutional neural network
MAPEMean absolute percentage error
fBmFractal Brownian motion
LBMLattice Boltzmann method

Appendix A

Table A1. Layer arrangement of Xception architecture model.
Table A1. Layer arrangement of Xception architecture model.
Layer (Type)Output ShapeParameter
Input layer(None, 200, 200, 3)0
Xception(None, 7, 7, 2048)18,314,304
GlobalMaxPooling2D(None, 2048) 
Dense(None, 128)12,845,184
Dense(None, 1)129
Table A2. Layer arrangement of DenseNet201 architecture model.
Table A2. Layer arrangement of DenseNet201 architecture model.
Layer (Type)Output ShapeParameter
Input layer(None, 200, 200, 3)0
DenseNet201(None, 6, 6, 1920)18,314,304
GlobalMaxPooling2D(None, 1920) 
Dense(None, 128)8,847,617
Dense(None, 1)129
Table A3. Layer arrangement of VGG16 architecture model.
Table A3. Layer arrangement of VGG16 architecture model.
Layer (Type)Output ShapeParameter
Input layer(None, 200, 200, 3)0
VGG16(None, 6, 6, 512)2,359,808
GlobalMaxPooling2D(None, 512) 
Dense(None, 128)2,359,424
Dense(None, 1)129
Table A4. Layer arrangement of the CNN-1 model architecture.
Table A4. Layer arrangement of the CNN-1 model architecture.
Layer (Type)Output ShapeParam
Input layer(None, 200, 200, 3)0
Conv2D(None, 66, 66, 16)448
MaxPooling2D(None, 33, 33, 16)0
Conv2D(None, 11, 11, 32)4640
MaxPooling2D(None, 6, 6, 32)0
Conv2D(None, 2, 2, 64)18,496
MaxPooling2D(None, 1, 1, 64)0
Flatten(None, 64)0
Dense(None, 1024)66,560
Dense(None, 512)524,800
Dense(None, 20)10,260
Dense(None, 1)257
Table A5. Layer arrangement of the CNN-2 model architecture.
Table A5. Layer arrangement of the CNN-2 model architecture.
Layer (Type)Output ShapeParam
Input layer(None, 200, 200, 3)0
Conv2D(None, 66, 66, 16)448
BatchNormalization(None, 66, 66, 16)64
MaxPooling2D(None, 99, 99, 16)0
Conv2D(None, 97, 97, 32)4640
BatchNormalization(None, 97, 97, 32)128
MaxPooling2D(None, 49, 49, 32)0
Conv2D(None, 47, 47, 64)18,496
BatchNormalization(None, 47, 47, 64)256
MaxPooling2D(None, 24, 24, 64)0
Flatten(None, 36,864)0
Dense(None, 1024)37,749,760
BatchNormalization(None, 1024)4096
Dense(None, 512)524,800
BatchNormalization(None, 512)2048
Dense(None, 128)65,664
BatchNormalization(None, 128)512
Dense(None, 1)129

References

  1. Koesoemadinata, R. Geologi Minyak dan Gas Bumi; Institut Teknologi Bandung: Bandung, Indonesia, 1980. [Google Scholar]
  2. Wardhana, B.; Arsyi, H.; Azransyah, T.; Mawardi, F.; Hafizh, I.; Mulyawan, M. Fractured Reservoir in Baong Formation, North Sumatra Basin, Indonesia. In Proceedings of the Joint Convention Bandung (JCB) 2021, Bandung, Indonesia, 1–3 December 2021. [Google Scholar]
  3. Joseph, J.; Gunda, N.S.K.; Mitra, S.K. On-chip porous media: Porosity and permeability measurements. Chem. Eng. Sci. 2013, 99, 274–283. [Google Scholar] [CrossRef]
  4. Sahimi, M. Flow and Transport in Porous Media and Fractured Rock; WILEY-VCH Verlag GmbH & Co. KGaA: Weinheim, Germany, 2011. [Google Scholar]
  5. Wang, M.; Chen, Y.F.; Ma, G.W.; Zhou, J.Q.; Zhou, C.B. Influence of surface roughness on nonlinear flow behaviors in 3D self-affine rough fractures: Lattice Boltzmann simulations. Adv. Water Resour. 2016, 96, 373–388. [Google Scholar] [CrossRef]
  6. Tian, X.; Deng, Y.; Jing, D.; Peng, X.; Duan, M. Research on the influence of geometry on nonlinear flow in constructed rough fractures by lattice Boltzmann simulation. Arab. J. Geosci. 2020, 13, 69. [Google Scholar] [CrossRef]
  7. Blaisonneau, A.; Peter-Borie, M.; Gentier, S. Evolution of fracture permeability with respect to fluid/rock interactions under thermohydromechanical conditions: Development of experimental reactive percolation tests. Geotherm. Energy 2016, 4, 3. [Google Scholar] [CrossRef]
  8. Blunt, M.J.; Bijeljic, B.; Dong, H.; Gharbi, O.; Iglauer, S.; Mostaghimi, P.; Paluszny, A.; Pentland, C. Pore-scale imaging and modelling. Adv. Water Resour. 2013, 51, 197–216. [Google Scholar] [CrossRef]
  9. Chung, T.; Wang, Y.D.; Armstrong, R.T.; Mostaghimi, P. Approximating Permeability of Microcomputed-Tomography Images Using Elliptic Flow Equations. SPE J. 2019, 24, 1154–1163. [Google Scholar] [CrossRef]
  10. Dharmawan, I.A.; Ulhag, R.Z.; Endyana, C.; Aufaristama, M. Numerical Simulation of non-Newtonian Fluid Flows through Fracture Network. IOP Conf. Ser. Earth Environ. Sci. 2016, 29, 012030. [Google Scholar] [CrossRef]
  11. Nurcahya, A.; Alexandra, A.; Akmal, F.; Dharmawan, I.A. The Lattice Boltzmann Method and Image Processing Techniques for Effective Parameter Estimation of Digital Rock. Appl. Sci. 2024, 14, 7509. [Google Scholar] [CrossRef]
  12. Az-Zahra, F.; Dharmawan, I.A. A Study of Geometrical Effects on Permeability Estimation in Three-dimensional Fractures Using the Lattice Boltzmann Method. CFD Lett. 2023, 15, 1–18. [Google Scholar] [CrossRef]
  13. Graczyk, K.M.; Matyka, M. Predicting porosity, permeability, and tortuosity of porous media from images by deep learning. Sci. Rep. 2020, 10, 21488. [Google Scholar] [CrossRef]
  14. Pugliese, R.; Regondi, S.; Marini, R. Machine learning-based approach: Global trends, research directions, and regulatory standpoints. Data Sci. Manag. 2021, 4, 19–29. [Google Scholar] [CrossRef]
  15. Chahar, J.; Verma, J.; Vyas, D.; Goyal, M. Data-driven approach for hydrocarbon production forecasting using machine learning techniques. J. Pet. Sci. Eng. 2022, 217, 110757. [Google Scholar] [CrossRef]
  16. Kumar, T.; Seelam, N.K.; Rao, G.S. Lithology prediction from well log data using machine learning techniques: A case study from Talcher coalfield, Eastern India. J. Appl. Geophys. 2022, 199, 104605. [Google Scholar] [CrossRef]
  17. Liu, X.; Athanasiou, C.E.; Padture, N.P.; Sheldon, B.W.; Gao, H. A machine learning approach to fracture mechanics problems. Acta Mater. 2020, 190, 105–112. [Google Scholar] [CrossRef]
  18. Alqahtani, N.; Alzubaidi, F.; Armstrong, R.T.; Swietojanski, P.; Mostaghimi, P. Machine learning for predicting properties of porous media from 2d X-ray images. J. Pet. Sci. Eng. 2020, 184, 106514. [Google Scholar] [CrossRef]
  19. Ciresan, D.; Meier, U.; Masci, J.; Gambardella, L.M.; Schmidhuber, J. Flexible, High Performance Convolutional Neural Networks for Image Classification. In Proceedings of the Twenty-Second International Joint Conference on Artificial Intelligence—Volume Two, Barcelona, Catalonia, Spain, 16–22 July 2011; AAAI Press: Barcelona, Spain, 2011; pp. 1237–1242. [Google Scholar] [CrossRef]
  20. Talo, M. Automated Classification of Histopathology Images Using Transfer Learning. Artif. Intell. Med. 2019, 101, 101743. [Google Scholar] [CrossRef]
  21. Zhu, C.; Wang, J.; Sang, S.; Liang, W. A multiscale neural network model for the prediction on the equivalent permeability of discrete fracture network. J. Pet. Sci. Eng. 2023, 220, 111186. [Google Scholar] [CrossRef]
  22. Nurcahya, A.; Alexandra, A.; Zainuddin, S.; Az-Zahra, F.; Haq, M.; Dharmawan, I. Machine Learning Application of Two-Dimensional Fracture Properties Estimation. J. Geosci. Eng. Environ. Technol. 2023, 8, 1–5. [Google Scholar] [CrossRef]
  23. Aliakbardoust, E.; Rahimpour-Bonab, H. Integration of rock typing methods for carbonate reservoir characterization. J. Geophys. Eng. 2013, 10, 55004. [Google Scholar] [CrossRef]
  24. Meng, Y.; Jiang, J.; Wu, J.; Wang, D. Transformer-based Deep Learning Models for Predicting Permeability of Porous Media. Adv. Water Resour. 2023, 179, 104520. [Google Scholar] [CrossRef]
  25. Madadi, M.; VanSiclen, C.D.; Sahimi, M. Fluid flow and conduction in two-dimensional fractures with rough, self-affine surfaces: A comparative study. J. Geophys. Res. Solid Earth 2003, 108, 2396. [Google Scholar] [CrossRef]
  26. Askari, A.A.; Bashiri, G.; Kamali, M.R. Model Ranking and Optimization of Fractured Reservoir Using Streamline Simulation, Case Study a Gas Condensate Reservoir. In Proceedings of the SPE Kingdom of Saudi Arabia Annual Technical Symposium and Exhibition—Volume All Days, Al-Khobar, Saudi Arabia, 9–11 May 2009; Society of Petroleum Engineer: Richardson, TX, USA, 2009; p. SPE-126074-MS. [Google Scholar] [CrossRef]
  27. Muntashir, A.W.; Dharmawan, I. SmartFract. 2015. Available online: http://grid.unpad.ac.id/~smartfract2/ (accessed on 18 October 2022).
  28. Sawayama, K.; Tsuji, T.; Jiang, F. Digitized Fracture Surfaces of Andesite Retrieved from Geothermal Area. 2021. Available online: https://www.digitalrocksportal.org/projects/394 (accessed on 11 May 2024).
  29. Sawayama, K.; Ishibashi, T.; Jiang, F.; Tsuji, T.; Nishizawa, O.; Fujimitsu, Y. Scale-independent relationship between permeability and resistivity in mated fractures with natural rough surfaces. Geothermics 2021, 94, 102065. [Google Scholar] [CrossRef]
  30. Song, W.; Prodanovic, M.; Santos, J.E.; Yao, J.; Zhang, K.; Yang, Y. Upscaling of Transport Properties in Complex Hydraulic Fracture Systems. SPE J. 2023, 28, 1026–1044. [Google Scholar] [CrossRef]
  31. Clegg, R.G. A Practical Guide to Measuring the Hurst Parameter. Int. J. Simul. Syst. Sci. Technol. 2006, 7, 3–14. [Google Scholar] [CrossRef]
  32. Latt, J.; Malaspinas, O.; Kontaxakis, D.; Parmigiani, A.; Lagrava, D.; Brogi, F.; Belgacem, M.B.; Thorimbert, Y.; Leclaire, S.; Li, S.; et al. Palabos: Parallel Lattice Boltzmann Solver. Comput. Math. Appl. 2021, 81, 334–350. [Google Scholar] [CrossRef]
  33. Huang, G.; Liu, Z.; van der Maaten, L.; Weinberger, K.Q. Densely Connected Convolutional Networks. In Proceedings of the IEEE Conference on Computer Vision and Pattern Recognition, Honolulu, HI, USA, 21–26 July 2017; pp. 2261–2269. [Google Scholar] [CrossRef]
  34. Simonyan, K.; Zisserman, A. Very Deep Convolutional Networks for Large-Scale Image Recognition. arXiv 2014, arXiv:1409.1556. [Google Scholar] [CrossRef]
  35. Chollet, F. Xception: Deep Learning with Depthwise Separable Convolutions. In Proceedings of the 2017 IEEE Conference on Computer Vision and Pattern Recognition (CVPR), Honolulu, HI, USA, 21–26 July 2017; pp. 1800–1807. [Google Scholar]
  36. Rabbani, A.; Babaei, M.; Shams, R.; Wang, Y.D.; Chung, T. DeePore: A deep learning workflow for rapid and comprehensive characterization of porous materials. Adv. Water Resour. 2020, 146, 103787. [Google Scholar] [CrossRef]
  37. Haq, M.I.K.; Yulita, I.N.; Dharmawan, I.A. A study of transfer learning in digital rock properties measurement. Mach. Learn. Sci. Technol. 2023, 4, 035034. [Google Scholar] [CrossRef]
  38. Yosinski, J.; Clune, J.; Bengio, Y.; Lipson, H. How transferable are features in deep neural networks? In Advances in Neural Information Processing Systems; Ghahramani, Z., Welling, M., Cortes, C., Lawrence, N., Weinberger, K., Eds.; Curran Associates, Inc.: Red Hook, NY, USA, 2014; Volume 27. [Google Scholar]
  39. López-Sánchez, M.; Hernández-Torruco, J.; Hernández-Ocaña, B.; Chávez-Bosquez, O. Comparative Study of Optimizers in the Training of a Convolutional Neural Network in a Binary Recognition Model. Res. Comput. Sci. 2021, 150, 73–82. [Google Scholar]
  40. Lewis, C.D. Industrial and Business Forecasting Methods: A Practical Guide to Exponential Smoothing and Curve Fitting; Butterworth Scientific: London, UK, 1982. [Google Scholar]
  41. Wen, Y.W.; Peng, S.H.; Ting, C.K. Two-Stage Evolutionary Neural Architecture Search for Transfer Learning. IEEE Trans. Evol. Comput. 2021, 25, 928–940. [Google Scholar] [CrossRef]
  42. Barbiero, P.; Squillero, G.; Tonda, A.P. Modeling Generalization in Machine Learning: A Methodological and Computational Study. arXiv 2020, arXiv:2006.15680. [Google Scholar] [CrossRef]
Figure 1. The study flow of CNN modelling to estimate fracture physical parameters.
Figure 1. The study flow of CNN modelling to estimate fracture physical parameters.
Applsci 14 12037 g001
Figure 2. Illustration of some fracture samples used in this study: (a) synthetic fracture samples with surface roughness and mean aperture values, (b) fracture geometry of andesite rocks, and (c) subsamples of andesite rock fractures (lu refers to the lattice unit).
Figure 2. Illustration of some fracture samples used in this study: (a) synthetic fracture samples with surface roughness and mean aperture values, (b) fracture geometry of andesite rocks, and (c) subsamples of andesite rock fractures (lu refers to the lattice unit).
Applsci 14 12037 g002
Figure 3. Illustration of shale oil reservoir fracture samples. The image represents the full 800 × 100 × 800 sample.
Figure 3. Illustration of shale oil reservoir fracture samples. The image represents the full 800 × 100 × 800 sample.
Applsci 14 12037 g003
Figure 4. Histograms and box plots of the parameters in the training dataset: (a) permeability, (b) surface roughness, and (c) mean aperture.
Figure 4. Histograms and box plots of the parameters in the training dataset: (a) permeability, (b) surface roughness, and (c) mean aperture.
Applsci 14 12037 g004
Figure 5. Histograms and box plots of the parameters in the andesite fracture dataset: (a) permeability, (b) surface roughness, and (c) mean aperture.
Figure 5. Histograms and box plots of the parameters in the andesite fracture dataset: (a) permeability, (b) surface roughness, and (c) mean aperture.
Applsci 14 12037 g005
Figure 6. Histograms and box plots of the parameters in the shale oil reservoir fracture dataset: (a) permeability, (b) surface roughness, and (c) mean aperture.
Figure 6. Histograms and box plots of the parameters in the shale oil reservoir fracture dataset: (a) permeability, (b) surface roughness, and (c) mean aperture.
Applsci 14 12037 g006
Figure 7. The process of creating a composite image as the input data. The green slice represents the x y plane, and the blue slice represents the z y plane. These slices are extracted, separated, and stacked into a composite image.
Figure 7. The process of creating a composite image as the input data. The green slice represents the x y plane, and the blue slice represents the z y plane. These slices are extracted, separated, and stacked into a composite image.
Applsci 14 12037 g007
Figure 8. Pre-trained model modification.
Figure 8. Pre-trained model modification.
Applsci 14 12037 g008
Figure 9. Illustration of the CNN-1 model.
Figure 9. Illustration of the CNN-1 model.
Applsci 14 12037 g009
Figure 10. Illustration of CNN-2 model diagram.
Figure 10. Illustration of CNN-2 model diagram.
Applsci 14 12037 g010
Figure 11. Scatter plot of the predicted permeability versus the actual permeability of the (a) Xception, (b) DenseNet201, (c) VGG16, (d) CNN-1, and (e) CNN-2 models.
Figure 11. Scatter plot of the predicted permeability versus the actual permeability of the (a) Xception, (b) DenseNet201, (c) VGG16, (d) CNN-1, and (e) CNN-2 models.
Applsci 14 12037 g011
Figure 12. Scatter plot of the predicted surface roughness value versus the actual roughness of the (a) Xception, (b) DenseNet201, (c) VGG16, (d) CNN-1, and (e) CNN-2 models.
Figure 12. Scatter plot of the predicted surface roughness value versus the actual roughness of the (a) Xception, (b) DenseNet201, (c) VGG16, (d) CNN-1, and (e) CNN-2 models.
Applsci 14 12037 g012
Figure 13. Scatter plot of the predicted mean aperture versus the actual mean aperture of the (a) Xception, (b) DenseNet201, (c) VGG16, (d) CNN-1, and (e) CNN-2 models.
Figure 13. Scatter plot of the predicted mean aperture versus the actual mean aperture of the (a) Xception, (b) DenseNet201, (c) VGG16, (d) CNN-1, and (e) CNN-2 models.
Applsci 14 12037 g013
Figure 14. Scatter plot of the predicted permeability versus its actual permeability from the andesite fracture dataset: (a) Xception, (b) DenseNet201, (c) VGG16, (d) CNN-1, and (e) CNN-2 models.
Figure 14. Scatter plot of the predicted permeability versus its actual permeability from the andesite fracture dataset: (a) Xception, (b) DenseNet201, (c) VGG16, (d) CNN-1, and (e) CNN-2 models.
Applsci 14 12037 g014
Figure 15. Scatter plot of the predicted surface roughness versus the actual surface roughness using an andesite fracture dataset: (a) Xception, (b) DenseNet201, (c) VGG16, (d) CNN-1, and (e) CNN-2 models.
Figure 15. Scatter plot of the predicted surface roughness versus the actual surface roughness using an andesite fracture dataset: (a) Xception, (b) DenseNet201, (c) VGG16, (d) CNN-1, and (e) CNN-2 models.
Applsci 14 12037 g015
Figure 16. Scatter plot of the predicted mean aperture versus the actual mean aperture from the andesite fracture dataset: (a) Xception, (b) DenseNet201, (c) VGG16, (d) CNN-1, and (e) CNN-2 models.
Figure 16. Scatter plot of the predicted mean aperture versus the actual mean aperture from the andesite fracture dataset: (a) Xception, (b) DenseNet201, (c) VGG16, (d) CNN-1, and (e) CNN-2 models.
Applsci 14 12037 g016
Figure 17. Scatter plot of the predicted permeability versus the actual permeability using a shale oil reservoir fracture dataset: (a) Xception, (b) DenseNet201, (c) VGG16, (d) CNN-1, and (e) CNN-2 models.
Figure 17. Scatter plot of the predicted permeability versus the actual permeability using a shale oil reservoir fracture dataset: (a) Xception, (b) DenseNet201, (c) VGG16, (d) CNN-1, and (e) CNN-2 models.
Applsci 14 12037 g017
Figure 18. Scatter plot of the predicted Hurst exponent versus the actual Hurst exponent using a shale oil reservoir fracture dataset: (a) Xception, (b) DenseNet201, (c) VGG16, (d) CNN-1, and (e) CNN-2 models.
Figure 18. Scatter plot of the predicted Hurst exponent versus the actual Hurst exponent using a shale oil reservoir fracture dataset: (a) Xception, (b) DenseNet201, (c) VGG16, (d) CNN-1, and (e) CNN-2 models.
Applsci 14 12037 g018
Figure 19. Scatter plot of the predicted mean aperture versus the actual mean aperture using a shale oil reservoir fracture dataset: (a) Xception, (b) DenseNet201, (c) VGG16, (d) CNN-1, and (e) CNN-2 models.
Figure 19. Scatter plot of the predicted mean aperture versus the actual mean aperture using a shale oil reservoir fracture dataset: (a) Xception, (b) DenseNet201, (c) VGG16, (d) CNN-1, and (e) CNN-2 models.
Applsci 14 12037 g019
Table 1. The datasets used in this study.
Table 1. The datasets used in this study.
DatasetNumber of SampleType of Dataset
Synthetic Fracture3878Training
Synthetic Fracture970Testing
Andesite Fracture [28]56Testing
Shale Fracture [30]37Testing
Table 2. The weight coefficient for the D 3 Q 19 model.
Table 2. The weight coefficient for the D 3 Q 19 model.
i w i
0 1 3
1,…, 6 1 18
7,…, 18 1 36
Table 3. Prediction accuracy based on MAPE [40].
Table 3. Prediction accuracy based on MAPE [40].
MAPE (%)Interpretation
<10Highly accurate
10–20Good forecast
20–50Reasonable forecast
>50Inaccurate forecast
Table 4. Time to train the models.
Table 4. Time to train the models.
ModelsTime to Train
Xception2 h 13 min
DenseNet2011 h 56 min
VGG162 h 10 min
CNN-120 min
CNN-242 min
Table 5. Model performance in estimating permeability.
Table 5. Model performance in estimating permeability.
Model R 2 MAPE
Xception0.83920.966%
DenseNet2010.94814.171%
VGG160.93814.507%
CNN-10.96414.146%
CNN-20.9898.597%
Table 6. Model performance in estimating surface roughness.
Table 6. Model performance in estimating surface roughness.
Model R 2 MAPE
Xception0.8993.087%
DenseNet2010.9092.916%
VGG160.9222.585%
CNN-10.8893.304%
CNN-20.9621.470%
Table 7. Model performance in estimating mean aperture.
Table 7. Model performance in estimating mean aperture.
Model R 2 MAPE
Xception0.9713.876%
DenseNet2010.9882.425%
VGG160.9221.725%
CNN-10.9951.621%
CNN-20.9970.941%
Table 8. Model performance in estimating the permeability on andesite fracture.
Table 8. Model performance in estimating the permeability on andesite fracture.
Model R 2 MAPE
Xception0.86223.748%
DenseNet2010.94321.417%
VGG160.95317.231%
CNN-10.98611.041%
CNN-20.99512.606%
Table 9. Model performance in estimating the surface roughness of andesite fracture.
Table 9. Model performance in estimating the surface roughness of andesite fracture.
Model R 2 MAPE
Xception−42.38412.887%
DenseNet201−37.61512.004%
VGG16−51.27113.996%
CNN-1−45.25313.233%
CNN-2−53.80014.279%
Table 10. Model performance in estimating the mean aperture of andesite fracture.
Table 10. Model performance in estimating the mean aperture of andesite fracture.
Model R 2 MAPE
Xception0.9584.879%
DenseNet2010.9635.029%
VGG160.9754.718%
CNN-10.9714.973%
CNN-20.9774.583%
Table 11. Model performance in estimating the permeability of shale oil reservoir fracture.
Table 11. Model performance in estimating the permeability of shale oil reservoir fracture.
Model R 2 MAPE
Xception0.47351.414%
DenseNet2010.19542.712%
VGG160.39338.881%
CNN-10.15437.581%
CNN-20.25835.666%
Table 12. Model performance in estimating the Hurst exponent of shale oil reservoir fracture.
Table 12. Model performance in estimating the Hurst exponent of shale oil reservoir fracture.
Model R 2 MAPE
Xception−17.7386.599%
DenseNet201−10.1144.493%
VGG16−22.0387.516%
CNN-1−43.3657.948%
CNN-2−24.7186.553%
Table 13. Model performance in estimating the mean aperture of shale oil reservoir fracture.
Table 13. Model performance in estimating the mean aperture of shale oil reservoir fracture.
Model R 2 MAPE
Xception0.7279.782%
DenseNet2010.7199.689%
VGG160.7489.580%
CNN-10.7219.846%
CNN-20.70810.014%
Disclaimer/Publisher’s Note: The statements, opinions and data contained in all publications are solely those of the individual author(s) and contributor(s) and not of MDPI and/or the editor(s). MDPI and/or the editor(s) disclaim responsibility for any injury to people or property resulting from any ideas, methods, instructions or products referred to in the content.

Share and Cite

MDPI and ACS Style

Akmal, F.; Nurcahya, A.; Alexandra, A.; Yulita, I.N.; Kristanto, D.; Dharmawan, I.A. Application of Machine Learning for Estimating the Physical Parameters of Three-Dimensional Fractures. Appl. Sci. 2024, 14, 12037. https://doi.org/10.3390/app142412037

AMA Style

Akmal F, Nurcahya A, Alexandra A, Yulita IN, Kristanto D, Dharmawan IA. Application of Machine Learning for Estimating the Physical Parameters of Three-Dimensional Fractures. Applied Sciences. 2024; 14(24):12037. https://doi.org/10.3390/app142412037

Chicago/Turabian Style

Akmal, Fadhillah, Ardian Nurcahya, Aldenia Alexandra, Intan Nurma Yulita, Dedy Kristanto, and Irwan Ary Dharmawan. 2024. "Application of Machine Learning for Estimating the Physical Parameters of Three-Dimensional Fractures" Applied Sciences 14, no. 24: 12037. https://doi.org/10.3390/app142412037

APA Style

Akmal, F., Nurcahya, A., Alexandra, A., Yulita, I. N., Kristanto, D., & Dharmawan, I. A. (2024). Application of Machine Learning for Estimating the Physical Parameters of Three-Dimensional Fractures. Applied Sciences, 14(24), 12037. https://doi.org/10.3390/app142412037

Note that from the first issue of 2016, this journal uses article numbers instead of page numbers. See further details here.

Article Metrics

Back to TopTop