A Novel Method for Automatically and Accurately Diagnosing Demagnetization Fault in Direct-Drive PMSMs Using Three PNNs
Abstract
1. Introduction
2. Construction, Modeling, and Analysis of Fault Characteristic Signals for Diagnosing Demagnetization Faults
2.1. Construction of Demagnetization Fault Indications
2.1.1. Placement of Toroidal-Yoke-Search Coil
2.1.2. Building of Demagnetization Fault Identified Signal
2.2. Modeling of Demagnetization Fault Identified Signal
2.2.1. Modeling of the Main Identification Signal
2.2.2. Modeling of the First Auxiliary Identification Signal
2.2.3. Modeling of the Second Auxiliary Identification Signal
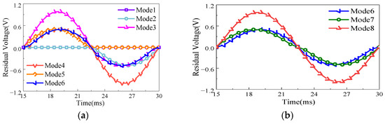
2.3. Analysis of Demagnetization Fault Identified Signal
2.3.1. Analysis of the Main Identification Signal
2.3.2. Effect of Demagnetization Severity on SIm−2
2.3.3. Analysis of the First Auxiliary Identification Signal
2.3.4. Analysis of the Second Auxiliary Identification Signal
2.4. Robustness of Demagnetization Fault Identified Signal
2.4.1. Effect of Load on Demagnetization Fault Identified Signal
2.4.2. Effect of Speed on Demagnetization Fault Identified Signal
3. Automatic Demagnetization Fault Diagnosis System Based on Three PNNs
3.1. The Process of Demagnetization Fault Diagnosis Using Three PNNs
3.2. Design of the Automatic Demagnetization Fault Diagnosis System Using Three PNNs
3.2.1. Structure of the PNN
3.2.2. The Design of Three PNNs
3.3. Database Creation
3.4. Training Results
3.5. Testing Results
4. Simulation Results and Experimental Results
4.1. Simulation Results
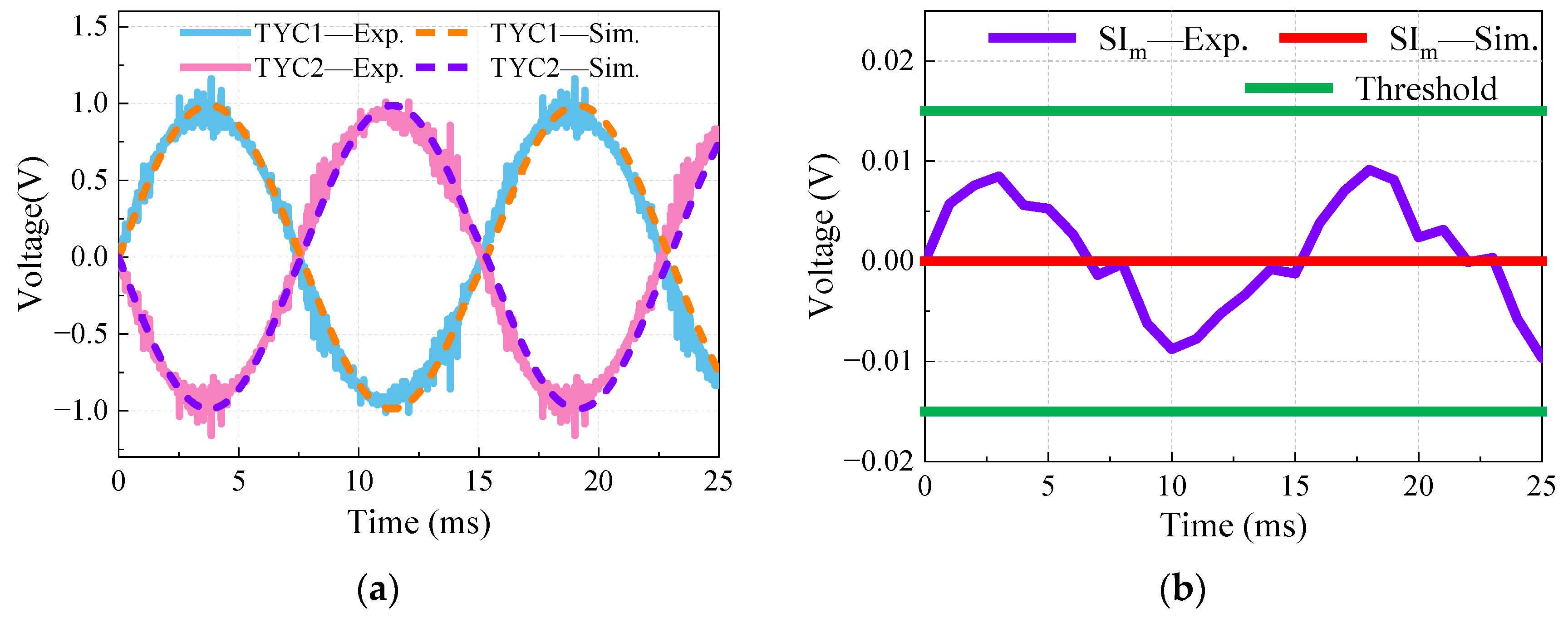
4.2. Experimental Results
5. Conclusions
Author Contributions
Funding
Institutional Review Board Statement
Informed Consent Statement
Data Availability Statement
Conflicts of Interest
Appendix A
| # | Speed (rpm) | Current (Arms) | Fault Mode | Demagnetized PMs | Demagnetized Severity | (O) | T/F Diagnosis |
|---|---|---|---|---|---|---|---|
| 1 | 200 | 28 | Mode 1 | / | / | 1 | T |
| ⋮ | ⋮ | ⋮ | ⋮ | ⋮ | ⋮ | ⋮ | T |
| 132 | 100 | 14 | Mode 1 | / | / | 1 | T |
| 133 | 200 | 28 | Mode 2 | PM2 | 10% | 2 | T |
| 134 | 100 | 14 | Mode 2 | PM2 | 10% | 2 | T |
| 135 | 200 | 28 | Mode 2 | PM2 | 50% | 2 | T |
| 136 | 100 | 14 | Mode 2 | PM2 | 50% | 2 | T |
| 137 | 200 | 28 | Mode 2 | PM2 | 100% | 2 | T |
| ⋮ | ⋮ | ⋮ | ⋮ | ⋮ | ⋮ | ⋮ | T |
| 264 | 100 | 14 | Mode 2 | PM2 | 100% | 2 | T |
| 265 | 200 | 28 | Mode 3 | PM44, PM1 | 10% | 3 | T |
| ⋮ | ⋮ | ⋮ | ⋮ | ⋮ | ⋮ | ⋮ | T |
| 396 | 100 | 14 | Mode 3 | PM44, PM1 | 100% | 3 | T |
| 397 | 200 | 28 | Mode 4 | PM1, PM2 | 10% | 4 | T |
| ⋮ | ⋮ | ⋮ | ⋮ | ⋮ | ⋮ | ⋮ | T |
| 528 | 100 | 14 | Mode 4 | PM1, PM2 | 100% | 4 | T |
| 529 | 200 | 28 | Mode 5 | PM44 | 10% | 5 | T |
| ⋮ | ⋮ | ⋮ | ⋮ | ⋮ | ⋮ | ⋮ | T |
| 660 | 100 | 14 | Mode 5 | PM44 | 100% | 5 | T |
| 661 | 200 | 28 | Mode 6 | PM1 | 10% | 6 | T |
| ⋮ | ⋮ | ⋮ | ⋮ | ⋮ | ⋮ | ⋮ | T |
| 792 | 100 | 14 | Mode 6 | PM1 | 100% | 6 | T |
| 793 | 200 | 28 | Mode 7 | PM44, PM2 | 10% | 6 | T |
| ⋮ | ⋮ | ⋮ | ⋮ | ⋮ | ⋮ | ⋮ | T |
| 924 | 100 | 14 | Mode 7 | PM44, PM2 | 100% | 6 | T |
| 925 | 200 | 28 | Mode 8 | PM44, PM1,PM2 | 10% | 6 | T |
| ⋮ | ⋮ | ⋮ | ⋮ | ⋮ | ⋮ | ⋮ | T |
| 1056 | 100 | 14 | Mode 8 | PM44, PM1,PM2 | 100% | 6 | T |
| # | Speed (rpm) | Current (Arms) | Fault Mode | Demagnetized PMs | Demagnetized Severity | (O) | T/F Diagnosis |
|---|---|---|---|---|---|---|---|
| 1 | 200 | 28 | Mode 6H | PM1 | 10% | 6 | T |
| 2 | 100 | 14 | Mode 6H | PM1 | 10% | 6 | T |
| 3 | 200 | 28 | Mode 6H | PM1 | 30% | 6 | T |
| 4 | 100 | 14 | Mode 6H | PM1 | 30% | 6 | T |
| 5 | 200 | 28 | Mode 6H | PM1 | 50% | 6 | T |
| ⋮ | ⋮ | ⋮ | ⋮ | ⋮ | ⋮ | ⋮ | T |
| 132 | 100 | 14 | Mode 6H | PM1 | 50% | 6 | T |
| 133 | 200 | 28 | Mode 7H | PM44, PM2 | 10% | 7 | T |
| ⋮ | ⋮ | ⋮ | ⋮ | ⋮ | ⋮ | ⋮ | T |
| 264 | 100 | 14 | Mode 7H | PM44, PM2 | 50% | 7 | T |
| 265 | 200 | 28 | Mode 8H | PM44, PM1, PM2 | 10% | 9 | T |
| ⋮ | ⋮ | ⋮ | ⋮ | ⋮ | ⋮ | ⋮ | T |
| 396 | 265 | 200 | Mode 8H | PM44, PM1, PM2 | 50% | 9 | T |
| 397 | 200 | 28 | Mode 6D | PM43, PM1 | 10% | 6 | T |
| ⋮ | ⋮ | ⋮ | ⋮ | ⋮ | ⋮ | ⋮ | T |
| 528 | 100 | 14 | Mode 6D | PM43, PM1 | 50% | 6 | T |
| 529 | 200 | 28 | Mode 7D | PM43, PM44, PM2 | 10% | 9 | T |
| ⋮ | ⋮ | ⋮ | ⋮ | ⋮ | ⋮ | ⋮ | T |
| 660 | 100 | 14 | Mode 7D | PM43, PM44, PM2 | 50% | 9 | T |
| 661 | 200 | 28 | Mode 8D | PM43, PM44, PM1, PM2 | 10% | 8 | T |
| ⋮ | ⋮ | ⋮ | ⋮ | ⋮ | ⋮ | ⋮ | T |
| 792 | 100 | 14 | Mode 8D | PM43, PM44, PM1, PM2 | 50% | 8 | T |
| 793 | 200 | 14 | Mode 6H | PM1 | 75% | 6 | T |
| ⋮ | ⋮ | ⋮ | ⋮ | ⋮ | ⋮ | ⋮ | T |
| 800 | 100 | 28 | Mode 6H | PM1 | 25% | 6 | T |
| ⋮ | ⋮ | ⋮ | ⋮ | ⋮ | ⋮ | ⋮ | T |
| 840 | 100 | 28 | Mode 8D | PM43, PM44, PM1, PM2 | 25% | 8 | T |
| # | Speed (rpm) | Current (Arms) | Fault Mode | Demagnetized PMs | Demagnetized Severity | (O) | T/F Diagnosis |
|---|---|---|---|---|---|---|---|
| 1 | 200 | 28 | Mode 7D | PM43, PM44, PM2 | 10% | 7 | T |
| 2 | 100 | 14 | Mode 7D | PM43, PM44, PM2 | 10% | 7 | T |
| 3 | 200 | 28 | Mode 7D | PM43, PM44, PM2 | 50% | 7 | T |
| 4 | 100 | 14 | Mode 7D | PM43, PM44, PM2 | 50% | 7 | T |
| 5 | 200 | 28 | Mode 7D | PM43, PM44, PM2 | 100% | 7 | T |
| ⋮ | ⋮ | ⋮ | ⋮ | ⋮ | ⋮ | ⋮ | T |
| 132 | 100 | 14 | Mode 7D | PM43, PM44, PM2 | 100% | 7 | T |
| 133 | 200 | 28 | Mode 8H | PM44, PM1, PM2 | 10% | 8 | T |
| ⋮ | ⋮ | ⋮ | ⋮ | ⋮ | ⋮ | ⋮ | T |
| 264 | 100 | 14 | Mode 8H | PM44, PM1, PM2 | 100% | 8 | T |
| 265 | 200 | 14 | Mode 7D | PM43, PM44, PM2 | 75% | 7 | T |
| ⋮ | ⋮ | ⋮ | ⋮ | ⋮ | ⋮ | ⋮ | T |
| 286 | 100 | 28 | Mode 7D | PM43, PM44, PM2 | 25% | 7 | T |
| 287 | 200 | 14 | Mode 8H | PM44, PM1, PM2 | 75% | 8 | T |
| ⋮ | ⋮ | ⋮ | ⋮ | ⋮ | ⋮ | ⋮ | T |
| 308 | 100 | 28 | Mode 8H | PM44, PM1, PM2 | 25% | 8 | T |
| Fault Number | Setting Demagnetization PM Number | Signal Used | Electrical Period Number | Identified Fault Type | Identified Demagnetization PM Number |
|---|---|---|---|---|---|
| fault1 | PM20 | SIm | 10th | Mode 3 | PM20 |
| SIm | 11th | Mode 5 | PM20 | ||
| fault2 | PM43,44,2 | SIm | 1st | Mode 2/7/8 | |
| SIa1 | 1st | Mode 7B/8A | |||
| SIa2 | 1st | Mode 7B | PM43,44,2 | ||
| SIm | 2nd | Mode 5 | PM2 | ||
| SIm | 22th | Mode 4 | PM43,44 |
References
- Candelo-Zuluaga, C.; Riba, J.-R.; Espinosa, A.G.; Blanch, P.T. Customized PMSM Design and Optimization Methodology For Water Pumping Applications. IEEE Trans. Energy Convers. 2022, 37, 454–465. [Google Scholar] [CrossRef]
- Fang, S.; Liu, H.; Wang, H.; Yang, H.; Lin, H. High Power Density PMSM With Lightweight Structure and High-Performance Soft Magnetic Alloy Core. IEEE Trans. Appl. Supercond. 2019, 29, 0602805. [Google Scholar] [CrossRef]
- Xie, J.; Zhang, X.; Guo, J.; Qin, G.; Huang, F.; Huang, S.; Long, Z. Fault Detection of Permanent Magnet Synchronous Motor Based on Image Content Retrieval. IEEE Trans. Instrum. Meas. 2022, 71, 3530010. [Google Scholar] [CrossRef]
- Huang, F.; Zhang, X.; Qin, G.; Xie, J.; Peng, J.; Huang, S.; Long, Z.; Tang, Y. Demagnetization Fault Diagnosis of Permanent Magnet Synchronous Motors Using Magnetic Leakage Signals. IEEE Trans. Ind. Inform. 2023, 19, 6105–6116. [Google Scholar] [CrossRef]
- Zhao, K.; He, J.; Huang, G.; Li, X. Demagnetization-Fault Reconstruction and Tolerant-Control for PMSM Using Improved SMO-Based Equivalent-Input-Disturbance Approach. IEEE-ASME Trans. Mech. 2022, 27, 701–712. [Google Scholar] [CrossRef]
- Kuruppu, S.S.; Abeyratne, S.G. Disambiguation of Uniform Demagnetization Fault From Position Sensor Fault in FOC PMSM Applications. IEEE Access 2022, 10, 103099–103110. [Google Scholar] [CrossRef]
- Ruiz, J.-R.R.; Rosero, J.A.; Espinosa, A.G.; Romeral, L. Detection of Demagnetization Faults in Permanent-Magnet Synchronous Motors Under Nonstationary Conditions. IEEE Trans. Magn. 2009, 45, 2961–2969. [Google Scholar] [CrossRef]
- Urresty, J.-C.; Riba, J.-R.; Romeral, L. Influence of the Stator Windings Configuration in the Currents and Zero-Sequence Voltage Harmonics in Permanent Magnet Synchronous Motors With Demagnetization Faults. IEEE Trans. Magn. 2013, 49, 4885–4893. [Google Scholar] [CrossRef]
- Rosero, J.A.; Cusido, J.; Garcia, A.; Ortega, J.A.; Romeral, L. Study on the Permanent Magnet Demagnetization Fault in Permanent Magnet Synchronous Machines. In Proceedings of the IECON 2006—32nd Annual Conference on IEEE Industrial Electronics, Paris, France, 7–10 November 2006; pp. 879–884. [Google Scholar]
- Torregrossa, D.; Khoobroo, A.; Fahimi, B. Prediction of Acoustic Noise and Torque Pulsation in PM Synchronous Machines with Static Eccentricity and Partial Demagnetization Using Field Reconstruction Method. IEEE Trans. Ind. Electron. 2012, 59, 934–944. [Google Scholar] [CrossRef]
- Goktas, T.; Zafarani, M.; Lee, K.W.; Akin, B.; Sculley, T. Comprehensive Analysis of Magnet Defect Fault Monitoring Through Leakage Flux. IEEE Trans. Magn. 2017, 53, 8201010. [Google Scholar] [CrossRef]
- Cheng, M.; Hang, J.; Zhang, J. Overview of Fault Diagnosis Theory and Method for Permanent Magnet Machine. Chin. J. Electr. Eng. 2015, 1, 21–36. [Google Scholar] [CrossRef]
- Chen, H.; Gao, C.; Si, J.; Nie, Y.; Hu, Y. A Novel Method for Diagnosing Demagnetization Fault in PMSM Using Toroidal-Yoke-Type Search Coil. IEEE Trans. Instrum. Meas. 2022, 71, 7501012. [Google Scholar] [CrossRef]
- Rafaq, M.S.; Lee, H.-J.; Park, Y.; Lee, S.B.; Zapico, M.O.; Fernandez, D.; Reigosa, D. Airgap Search Coil Based Identification of PM Synchronous Motor Defects. IEEE Trans. Ind. Electron. 2022, 69, 6551–6560. [Google Scholar] [CrossRef]
- Zeng, C.; Huang, S.; Lei, J.; Wan, Z.; Yang, Y. Online Rotor Fault Diagnosis of Permanent Magnet Synchronous Motors Based on Stator Tooth Flux. IEEE Trans. Ind. Appl. 2021, 57, 2366–2377. [Google Scholar] [CrossRef]
- Da, Y.; Shi, X.; Krishnamurthy, M. A New Approach to Fault Diagnostics for Permanent Magnet Synchronous Machines Using Electromagnetic Signature Analysis. IEEE Trans. Power Electron. 2013, 28, 4104–4112. [Google Scholar] [CrossRef]
- Singh, M.; Shaik, A.G. Incipient Fault Detection in Stator Windings of an Induction Motor Using Stockwell Transform and SVM. IEEE Trans. Instrum. Meas. 2020, 69, 9496–9504. [Google Scholar] [CrossRef]
- Liang, Y.; Li, K.-J.; Ma, Z.; Lee, W.-J. Multilabel Classification Model for Type Recognition of Single-Phase-to-Ground Fault Based on KNN-Bayesian Method. IEEE Trans. Ind. Appl. 2021, 57, 1294–1302. [Google Scholar] [CrossRef]
- Nyanteh, Y.; Srivastava, S. Application of Artificial Intelligence to Real-Time Fault Detection in Permanent-Magnet Synchronous Machines. IEEE Trans. Ind. Appl. 2013, 49, 1205–1214. [Google Scholar] [CrossRef]
- Bouzid, M.B.K.; Champenois, G. An Efficient Simplified Physical Faulty Model of a Permanent Magnet Synchronous Generator Dedicated to Stator Fault Diagnosis Part II: Automatic Stator Fault Diagnosis. IEEE Trans. Ind. Appl. 2017, 53, 2762–2771. [Google Scholar] [CrossRef]
- Maraaba, L.S.; Al-Hamouz, Z.M.; Milhem, A.S.; Abido, M.A. Neural Network-Based Diagnostic Tool for Detecting Stator Inter-Turn Faults in Line Start Permanent Magnet Synchronous Motors. IEEE Access 2019, 7, 89014–89025. [Google Scholar] [CrossRef]
- Zhang, J.; Zhang, D.; Shen, G.; Yang, J. Research on Fault Diagnosis of Marine Diesel Engine Based on Probabilistic Neural Network Optimized by Quantum Genetic Algorithm. In Proceedings of the 2021 IEEE 4th International Conference on Automation, Electronics and Electrical Engineering (AUTEEE), Shenyang, China, 19–21 November 2021; pp. 729–733. [Google Scholar]
- Liu, F.; Gao, J.; Liu, H. The Feature Extraction and Diagnosis of Rolling Bearing Based on CEEMD and LDWPSO-PNN. IEEE Access 2020, 8, 19810–19819. [Google Scholar] [CrossRef]
















| References | Methods | Advantages | Limitations | |
|---|---|---|---|---|
| [7,8,11] | MCSA-based method | non-invasive, online | sensitivity to operating conditions, controller parameters, and poor sensitivity | cannot detect uniform demagnetization faults, the fault signature characteristics depend on machine parameters and demagnetization fault parameters, cannot detect the location of demagnetization faults |
| [9,12] | ZSVC-based method | non-invasive, online, more sensitive performance than the MCSA-based method | requires an accessible neutral point for the stator windings, resistor network, and voltage sensor to measure the ZSVC | |
| [10] | Vibration/noise signal-based method | non-invasive, online, low cost | affected by environmental noise and other interference signals | |
| [11,12,13,14,15,16] | Search coil-based method | more sensitive than above two methods, online, can locate demagnetized magnets | highly invasive, causing complex manufacturing processes for PMSMs, can locate demagnetized magnets in a PMSM with a single demagnetized permanent magnet | |
| References | Methods | Advantages | Limitations |
|---|---|---|---|
| [17] | SVM-based method | effective for small sample data, strong generalization ability | low training efficiency for large-scale data, multiclassification problems are complex to handle, difficulties in kernel function selection and parameter adjustment |
| [18] | KNN-based method | no training process (non-parametric model), able to handle complex data distributions | high computational complexity, sensitive to the curse of the dimensionality of data, sensitive to the distribution and proportion of data |
| [19,20,21] | ANN-based method | strong learning ability, parallel processing capabilities, and a certain tolerance for noise and partially missing data in the data | requires a large amount of data and computing resources, prone to overfitting, difficulties in network structure and parameter selection |
| [22,23] | PNN-based method | learning process is simple, high classification accuracy, insensitive to outliers | need to determine the smoothing coefficient |
| Demagnetization Fault Mode | PM Number or Electrical Period Number (i = 1) | PM Number or Electrical Period Number (1 < i ≤ p) | ||||
|---|---|---|---|---|---|---|
| 2p | 1 | 2 | 2(i – 1) | 2i – 1 | 2i | |
| Mode 1(000) | 0 | 0 | 0 | 0 | 0 | 0 |
| Mode 2(001) | 0 | 0 | 1 | 0 | 0 | 1 |
| Mode 3(110) | 1 | 1 | 0 | 1 | 1 | 0 |
| Mode 4(011) | 0 | 1 | 1 | 0 | 1 | 1 |
| Mode 5(100) | 1 | 0 | 0 | 1 | 0 | 0 |
| Mode 6(010) | 0 | 1 | 0 | 0 | 1 | 0 |
| Mode 7(101) | 1 | 0 | 1 | 1 | 0 | 1 |
| Mode 8(111) | 1 | 1 | 1 | 1 | 1 | 1 |
| Items | Values | Unit |
|---|---|---|
| Rated power | 1.5 | kW |
| Rated current | 4 | Arms |
| Rated speed | 180 | rpm |
| Rated frequency | 66 | Hz |
| Number of phases | 3 | / |
| Number of parallel circuits per phase | 1 | / |
| Number of coils | 24 | / |
| Air-gap length | 0.9 | mm |
| Stator out diameter | 270 | mm |
| Stator inner diameter | 203 | mm |
| Permanent magnet thickness | 4.5 | mm |
| Permanent magnet width | 11 | mm |
| Permanent magnet length | 100 | mm |
| Permanent magnet material | NdFeB | / |
| Pole-arc coefficient | 0.73 | / |
| Slot–pole combination | 48-slot/44-pole | / |
| Demagnetization Fault Mode | PM Number or Electrical Period Number (i = 1) | PM Number or Electrical Period Number (1 < i ≤ p) | ||||||
|---|---|---|---|---|---|---|---|---|
| 2p − 1 | 2p | 1 | 2 | 2k − 3 | 2k − 2 | 2k − 1 | 2k | |
| Mode 6H(0010) | 0 | 0 | 1 | 0 | 0 | 0 | 1 | 0 |
| Mode 7H(0101) | 0 | 1 | 0 | 1 | 0 | 1 | 0 | 1 |
| Mode 8H(0111) | 0 | 1 | 1 | 1 | 0 | 1 | 1 | 1 |
| Mode 6D(1010) | 1 | 0 | 1 | 0 | 1 | 0 | 1 | 0 |
| Mode 7D(1101) | 1 | 1 | 0 | 1 | 1 | 1 | 0 | 1 |
| Mode 8D(1111) | 1 | 1 | 1 | 1 | 1 | 1 | 1 | 1 |
Disclaimer/Publisher’s Note: The statements, opinions and data contained in all publications are solely those of the individual author(s) and contributor(s) and not of MDPI and/or the editor(s). MDPI and/or the editor(s) disclaim responsibility for any injury to people or property resulting from any ideas, methods, instructions or products referred to in the content. |
© 2024 by the authors. Licensee MDPI, Basel, Switzerland. This article is an open access article distributed under the terms and conditions of the Creative Commons Attribution (CC BY) license (https://creativecommons.org/licenses/by/4.0/).
Share and Cite
Xiong, Y.; Zhao, J.; Yan, S.; Wei, K.; Zhou, H. A Novel Method for Automatically and Accurately Diagnosing Demagnetization Fault in Direct-Drive PMSMs Using Three PNNs. Appl. Sci. 2024, 14, 11943. https://doi.org/10.3390/app142411943
Xiong Y, Zhao J, Yan S, Wei K, Zhou H. A Novel Method for Automatically and Accurately Diagnosing Demagnetization Fault in Direct-Drive PMSMs Using Three PNNs. Applied Sciences. 2024; 14(24):11943. https://doi.org/10.3390/app142411943
Chicago/Turabian StyleXiong, Yiyong, Jinghong Zhao, Sinian Yan, Kun Wei, and Haiwen Zhou. 2024. "A Novel Method for Automatically and Accurately Diagnosing Demagnetization Fault in Direct-Drive PMSMs Using Three PNNs" Applied Sciences 14, no. 24: 11943. https://doi.org/10.3390/app142411943
APA StyleXiong, Y., Zhao, J., Yan, S., Wei, K., & Zhou, H. (2024). A Novel Method for Automatically and Accurately Diagnosing Demagnetization Fault in Direct-Drive PMSMs Using Three PNNs. Applied Sciences, 14(24), 11943. https://doi.org/10.3390/app142411943

