Next Article in Journal
Micellized Naringenin Augments Hemodynamics After Myocardial Infarction by Suppressing Tubulin Detyrosination
Previous Article in Journal
Artificial Intelligence and Smart Technologies in Safety Management: A Comprehensive Analysis Across Multiple Industries
 
 
Font Type:
Arial Georgia Verdana
Font Size:
Aa Aa Aa
Line Spacing:
Column Width:
Background:
Article

Research on Optimization of Target Positioning Error Based on Unmanned Aerial Vehicle Platform

College of Weaponry Engineering, Naval University of Engineering, 717 Jiefang Road, Qiaokou District, Wuhan 430030, China
*
Author to whom correspondence should be addressed.
Appl. Sci. 2024, 14(24), 11935; https://doi.org/10.3390/app142411935
Submission received: 28 November 2024 / Revised: 17 December 2024 / Accepted: 18 December 2024 / Published: 20 December 2024

Abstract

Achieving precise target localization for UAVs is a complex problem that is often discussed. In order to achieve precise spatial localization of targets by UAVs and to solve the problems of premature convergence and easy to fall into local optimum in the original dung beetle algorithm, an error handling method based on the coordinate transformation of an airborne measurement system and the dung beetle optimization with crisscross and 3 Sigma Rule optimization (CCDBO) is proposed. Firstly, the total standard deviation is calculated by integrating the carrier position, the attitude angle, the pod azimuth, the pitch angle, and the given alignment error of the pod’s orientation. Subsequently, the Taylor series expansion method is adopted to linearize the approximated coordinate transformation process and simplify the error propagation model. Finally, in order to further improve the positioning accuracy, a target position correction strategy with the improved dung beetle optimization algorithm is introduced. The simulation and flight experiment results show that this method can significantly reduce the target positioning error of UAVs and improve the positioning accuracy by 20.42% on average compared with that of the original dung beetle algorithm, which provides strong support for the high-precision target observation and identification of UAVs in complex environments.

1. Introduction

Driven by the fourth technological age, the second machine revolution led by intelligent technology is reshaping the reconnaissance field. As a representative of innovation, air-based mobile platforms are at the core of reconnaissance by virtue of their innovativeness and practicability, showing increasing strategic value [1,2]. The development of optoelectronic payloads enables UAVs to accomplish multiple tasks, such as target tracking and localization [3]. The continuous improvement of sensors, computer vision, and other fields has also led to significant developments in UAV target localization technology. Precise target localization is a key UAV technology, which can provide information support for subsequent mission planning [4,5].
The existing localization methods can be divided into active and passive. Commonly, active localization involves deriving a target’s position using laser ranging combined with chi-square coordinate transformation, which has high accuracy, but the laser action distance is limited, and this method does not meet the stealth and safety standards for UAVs [6]. Passive positioning does not transmit signals to the detected target; instead, it only uses received target radiation source signals for the reconnaissance and localization of the target. This approach has been widely studied by other scholars in recent years [7]. Bai et al. [8] established a multi-target localization model, which reduced the target localization error by improving the filtering effect. Qian et al. [9] studied the purely orientation-related passive localization problem of UAVs in an electromagnetic silent environment. Feng et al. [10] established a single-objective optimization-based UAV passive localization model. Due to the complexity of these application scenarios, we must further reduce the localization error and improve localization accuracy.
In the process of UAV target localization, multiple factors are intertwined and influence each other, thus triggering diverse error sources. Therefore, we must effectively handle and distribute these errors to improve the accuracy of UAV target positioning. Some methods that can effectively improve the target localization accuracy of UAVs are described below. Tan et al. [11] established a single-station passive positioning equation, analyzed the target positioning error, discussed the error factors affecting positioning, and gave suggestions for application. Sun et al. [12] viewed angle error allocation for a small micro-UAV-borne optoelectronic pod from the perspective of multi-objective optimization. The position or localization errors of UAVs can also be effectively eliminated using controllers. These controllers are designed to compensate for various factors that can cause inaccuracies in the UAV’s position or localization. By utilizing algorithms and data processing, controllers can adjust the UAV’s flight path and attitude in real time, ensuring that it maintains its intended position or trajectory with high precision. Shahrizal Saat et al. [13] propose an enhanced version of the SEDA to address the problem of control performance limited by the fixed probability coefficient. Zhen et al. [14] established a multi-constraint penetration combat model that can realize the autonomous control of UAV attack trajectory in complex battlefield environments and multi-constraint conditions. Omar Rodríguez-Abreo et al. [15] developed a fuzzy controller system gain optimizer for UAVs based on a metaheuristic algorithm to optimize the mission tracking trajectory of UAVs. Ren et al. [16] proposed an adaptive fuzzy neural fault-tolerant control scheme that integrates an inverse compensation strategy and a fuzzy neural network technique and demonstrated that the tracking error of a quadrotor UAV ultimately converges to a small, compact set by appropriately choosing the design parameters. However, traditional algorithms often have the disadvantages of high computational complexity, poor adaptability, strict initial condition requirements, etc. With the continuous development of population intelligence algorithms, the traditional optimization algorithms now present better results [17]. Some examples include the Particle Swarm Optimizer (PSO) [18], the Sparrow Search Algorithm (SSA) [19], and the Gray Wolf Optimizer (GWO) [20]. Although intelligent algorithms have shown significant advantages in many fields, their applications are increasingly widespread. They have achieved significant solutions to complex problems, optimizing the decision-making process and improving computational efficiency; however, there is still room for improvement [21]. Proposed by Xue et al., the dung beetle algorithm (DBO) [22] performs novel swarm intelligence optimization and mimics the survival behaviors of dung beetles, such as ball rolling, dancing, foraging, stealing, and reproduction. It can solve function optimization problems, search for the optimal value, and perform fast convergence. It has been widely used in path planning [23], engineering applications [24], feature selection [25], and so on. The original DBO has shown better performance in global optimization and engineering application problems, but the algorithm itself still has some flaws. For example, in the initialization stage of the population, randomly generated individuals with dense or sparse distribution will have an impact on the iteration period. The algorithm itself has a single mode of finding the optimum; in the late iteration stage, all the populations are close to the global optimum position, and if the individuals at the global optimum position fall into the local optimum at this time, some of the individuals in the vicinity are also prone to fall into the local optimum region. Up to now, scholars at home and abroad have made improvements to DBO to make it more capable of global optimization or successfully applied DBO to specific fields to show its application value. Zhou et al. [26] proposed the MSIDBO optimization algorithm, which incorporates multiple strategies to solve the integer programming solution problem that exists in cross-domain collaborative task allocation models. In order to avoid error allocation by UAVs in target localization, this study proposes an improved dung beetle algorithm (CCDBO) that integrates the optimization of crisscross and 3 Sigma Rule [27], takes the error to be allocated as an optimization parameter, gives the optimal solution under certain constraints, removes the local optimal state, and increases the quality and diversity of the population. These simulations and real experiments prove that the improved dung beetle optimization algorithm is more effective.
The key contributions presented in this paper are as follows:
  • We innovatively introduced vertical and horizontal crossover and 3σ strategies. This strategy allows certain dimensions in the population that fall into dimensional local optimality to have a chance to jump out of the iteration, solves the local optimality problem that exists in general intelligent algorithms, and excludes possible outliers.
  • We evaluated the CCDBO algorithm using simulation and compared the results with other algorithms, proving that the CCDBO algorithm outperforms other algorithms with the objective function set in this paper.
  • We apply the CCDBO algorithm to the optimization of target positioning error for UAVs and compare the results of this algorithm with other algorithms, and the comparison results show that the CCDBO algorithm has better performance in dealing with this kind of problem.
The goals of this study are as follows: (1) Establish a suitable coordinate system to show the UAV target localization process. (2) Introduce the error transfer theory of UAVs in the localization process. (3) Synthesize and consider the error and carry out error allocation using the principle of equal influence, the DBO, and the CCDBO. (4) Verify the superiority of the CCDBO algorithm through simulation and an actual flight experiment. (5) Comprehensively evaluate and analyze the experimental results.

2. Definition of a Coordinate System

Goal localization by UAVs refers to the establishment of a suitable coordinate system, such as geodetic, space rectangular, geographic, airframe, and camera coordinate types [28].

2.1. Geodetic Coordinate System  ( O B L H )

The origin of the WGS84 coordinate system is located at the geometric center of Earth’s ellipsoid, coinciding with Earth’s center of mass. The geodetic latitude  B  is defined as the angle between the ellipsoid normal and the plane of the equator at a given point in space. This angle is measured using the equator as the baseline, following the principle of positive north and negative south, and its range of variation covers the global latitude domain from −90° to +90°, which comprehensively maps the latitudinal variation in Earth’s surface. The determination of the geodesic longitude  L  is based on the angle between the meridian plane where the space point is located and the primary meridian plane. This angle is also based on the primary meridian, following the rule of positive associated with the east and negative associated with the west, with a range of values spanning from −180° to +180°. Geodetic elevation  H  quantifies the vertical distance from a space point to the surface of the ellipsoid, with a positive value given for being above the ellipsoid and a negative value given for being below the ellipsoid. The coordinates of a point can be expressed as  ( B , L , H ) .

2.2. Space Rectangular Coordinate System  ( O X e Y e Z e )

The space rectangular coordinate system has the same axes as the geodetic coordinate type, and the coordinates are projected on axes, as shown in Figure 1. The coordinates of a point can be expressed as  ( X e , Y e , Z e ) .

2.3. Geographic Coordinate System  ( O n X n Y n Z n )

The north–east Earth coordinate system is used, with the center of mass of the UAV represented as the origin, the X-axis pointing to the north, the Y-axis pointing to the east, and the Z-axis pointing down perpendicular to the surface of Earth, forming a right-handed coordinate system, as shown in Figure 2. The geographic coordinates of a point are written as  ( X n , Y n , Z n ) .

2.4. Airframe Coordinate System  ( O h X h Y h Z h )

The airframe coordinate system shares an origin with the geographic coordinate type. The X-axis points directly in front of the carrier aircraft, the Y-axis points in the direction of the right wing of the UAV, and the Z-axis is parallel to the vertical axis of the UAV, pointing downward, as shown in Figure 3. When there is no attitude change in the UAV, these coordinates coincide with the spatial, right-angled coordinate system. At a certain point, the coordinates are represented as  ( X h , Y h , Z h ) .

2.5. Camera Coordinate System  ( O c X c Y c Z c )

The origin is located at the intersection of the camera’s optical axis and lens plane; when the camera is in the initial position, the X-axis points toward the right wing of the UAV, the Y-axis points to the body of the UAV directly underneath, and the Z-axis is the optical axis of the camera. When the camera’s attitude angle changes, the coordinates at a certain point are expressed as  ( X c , Y c , Z c ) .

3. Error Transmission Theory

In the localization process of UAVs, a variety of error factors will have an impact on the results. Given that coordinate transformation is essentially a nonlinear process, the error will undergo a corresponding nonlinear transformation when it is transmitted. In order to effectively analyze this process, it is first necessary to linearize the errors using Taylor series and then further analyze the transmission of errors. In view of these errors, this section will use the principle of Taylor expansion to discuss the transfer mechanism of errors in depth in the process of target localization.
For vector  y , after a random vector  x  undergoes a nonlinear transformation  f ,
y = f ( x ) = f ( x 1 , x 2 , x n ) = f ( x ¯ + Δ x )
where  x ¯  represents the mean of the random vector  x = ( x 1 , x 2 , x n ) Δ x  denotes the random error variable, with mean 0 and covariance  P x .
The first-order Taylor expansion of the above equation at  x  is obtained:
y f ( x ) + d Δ x f
where  d Λ x f  represents the full differential of the function  f ( )  at  x ¯  with respect to  Δ x .
The random error variable is nonlinearly coordinate-transformed to obtain a variance of
P y = E [ ( y y ¯ ) ( y y ¯ ) T ] = E [ Δ x f T ( x ) Δ x T f ( x ) ] = J x ¯ P x J x ¯ T
where  J x ¯  represents the Jacobi matrix of  f ( )  at  x ¯ .
The UAV target localization process is affected by a variety of errors, so this study mainly analyzes the UAV position and attitude angle and pod heading and pitch angle errors; all of the above errors are random and obey normal distribution, and we assume that they are independent of each other.

3.1. Error Transfer from Camera Coordinate System to Airframe Coordinate System

For the camera system coordinates  A c = ( x c , y c , z c ) T A c N ( μ c , P c ) , the pod heading angle  α , and the pitch angle  β  error  Ω = ( α , β , 0 ) T N ( μ Ω , P Ω ) , where  μ Ω = ( α ¯ , β ¯ , 0 ) T , the diagonal matrix  P Ω = d i a g ( ρ α 2 , ρ β 2 , 0 )  can be obtained by transforming the fuselage system coordinates  A h = ( x h , y h , z h ) T .
The coordinates are transformed into
[ x h y h z h ] = [ sin ( α ) cos ( α ) 0 cos ( α ) sin ( α ) 0 0 0 1 ] 1 [ 1 0 0 0 cos ( β ) sin ( β ) 0 sin ( β ) cos ( β ) ] 1 [ x c y c z c ] | Ω = [ α ¯ , β ¯ , 0 ]
P h = ( J c h ) P Ω ( J c h ) T
where
J c h = [ x h α x h β 0 y h α y h β 0 z h α z h β 0 ]

3.2. Error Transfer from Airframe to Geographic Coordinate Systems

For the airframe system coordinates  A h = ( x h , y h , z h ) T A h N ( μ h , P h ) ; the UAV attitude angle  Ψ = ( ϕ , θ , σ ) T N ( μ Ψ , P Ψ ) , where  μ Ψ = ( ϕ ¯ , θ ¯ , σ ¯ ) T , and the diagonal matrix  P Ψ = d i a g ( ρ ϕ 2 , ρ θ 2 , ρ σ 2 )  can be obtained by transforming the geographic system coordinates  A n = ( x n , y n , z n ) T .
The coordinate transformation is represented as follows:
[ x n y n z n ] = [ cos ( φ ) sin ( φ ) 0 sin ( φ ) cos ( φ ) 0 0 0 1 ] 1 [ cos ( θ ) 0 sin ( θ ) 0 1 0 sin ( θ ) 0 cos ( θ ) ] 1 [ 1 0 0 0 cos ( σ ) sin ( σ ) 0 sin ( σ ) cos ( σ ) ] 1 [ x h y h z h ] | Ψ = [ ϕ ¯ , θ ¯ , σ ¯ ]
P n = ( J h n ) P Ψ ( J h n ) T
where
J h n = [ x n ϕ x n θ x n σ y n ϕ y n θ y n σ z n ϕ z n θ z n σ ] | Ψ = μ Ψ

3.3. Error Transfer from Geographic to Space Rectangular Coordinate Systems

For the geographic coordinate system coordinates  A n = ( x n , y n , z n ) T , the UAV geodetic coordinates  A g f c = ( B , L , H ) T N ( μ g f c , P g f c ) , where  μ g f c = ( B ¯ , L ¯ , H ¯ ) T ; the diagonal matrix  P g f c = d i a g ( ρ B 2 , ρ L 2 , ρ H 2 )  can be obtained by transforming the geographic coordinate system  A e = ( x e , y e , z e ) T .
The coordinate transformation is represented as follows:
[ x e y e z e ] = [ cos ( L ) sin ( L ) 0 sin ( L ) cos ( L ) 0 0 0 1 ] 1 [ sin ( B ) 0 cos ( B ) 0 1 0 cos ( B ) 0 sin ( B ) ] 1 [ x n y n z n ] | μ g f c = [ B ¯ , L ¯ , H ¯ ] + [ x e 0 y e 0 z e 0 ]
P e = ( J n e ) P g f c ( J n e ) T
where  [ x e 0 y e 0 z e 0 ] T  represents the translation distance from the spatial Cartesian coordinate system to the origin of the geographic coordinate system.
J n e = [ x e B x e L x e H y e B y e L y e H z e B z e L z e H ] | A g f c = μ g f c

4. Error Synthesis and Distribution

According to Equations (4)–(12), the covariance matrix of the target coordinate position in the spatial Cartesian system after transformation is represented as follows:
P e = J n e [ J h n [ J c h P Ω ( J c h ) T O O P Ψ ] ( J h n ) T O O P g f c ] ( J n e ) T
Therefore, the standard deviation of the target localization error in the space rectangular coordinate system is
σ e = t r a c e ( P e )
where  t r a c e ( P e )  represents the sum of the diagonal elements of the matrix  P e .
The total error in the spatial Cartesian coordinate system is determined by the combined effect of individual errors, so error allocation is performed to differentiate them and then correct the results. The commonly used error allocation methods equally use the influence and possibility principles; this study proposes using the improved dung beetle optimization algorithm to allocate the errors.

4.1. Distribution of Errors According to the Principle of Equal Impact

Assuming that the errors are random and uncorrelated, the following is true:
σ t o t a l 2 = σ 1 2 + σ 2 2 + + σ n 2
The principle of equal affectivity allocates errors by assuming that each one has an equal effect on the total.
σ 1 = σ 2 = = σ n = σ t o t a l n
where  σ t o t a l  represents the total error and  n  denotes the number of errors.
Thus, the  x , y , z  axis error is
σ x e = σ y e = σ z e = σ e 3
The equal influence principle of assigning errors allows for fast assignment, i.e., assuming that each error has the same effect on the total. This is the preferred method to satisfy low accuracy requirements but can result in some easy-to-measure errors and other harder ones.

4.2. Assigning Errors Using Improved Dung Beetle Optimization Algorithm

4.2.1. Target Allocation Model

In this study, the difference in latitude and longitude between the target and calculation points is used as the index to evaluate the positioning accuracy of the UAV. The smaller the difference, the closer the straight-line distance between the target and calculation points. At the same time, error allocation should be as close as possible to the total to ensure full utilization. The above-mentioned objective function and constraints are shown in Equation (18).
P = min { i = 1 n ( | B t r u e B i | + | L t r u e L i | ) } s . t . { σ t o a l 2 σ x e 2 σ y e 2 σ z e 2 > 0
where  B t r u e  and  L t r u e  denote the true latitude and longitude of the target point,  B i  and  L i  denote the latitude and longitude of the computation point,  σ t o t a l  represents the total error to be assigned, and  σ x e , σ y e , σ z e  stands for the error assigned to the  x , y , z  axis. The constraints limit the error to be assigned by the total.

4.2.2. Dung Beetle Optimization Algorithm

If the error standard deviation needs to be optimized, i.e., the objective function composed of this variable is minimized, the originally complex error allocation problem can be abstracted into a mathematical problem of parameter optimization. Therefore, this study introduces an improved dung beetle optimization algorithm as an efficient solution strategy, with the aim of optimal error allocation.
The dung beetle optimization algorithm is inspired by the biological behavior of dung beetles, and it has the advantages of strong optimization and a fast convergence speed. The principle of the original dung beetle algorithm is briefly described as follows:
(1) Ball rolling behavior: When there is no obstacle in front of the dung beetle, it will use the sun to navigate when rolling a dung ball. The position updating formula for the dung beetle’s ball rolling is shown in Equation (19):
p i ( t + 1 ) = p i ( t ) + a × k × p i ( t 1 ) + b × Δ p Δ p = | p i ( t ) P w |
where  t  denotes the current number of iterations;  p i ( t )  represents the position of the  i - th  dung beetle after  t  iterations;  a  stands for the natural coefficient (there is no deviation when  a = 1 , but there is deviation from the original direction when  a = 1 );  k  is the deflection coefficient, which has a constant value of  b ( 0 , 1 ) Δ x  simulates the change in light intensity; and  P w  is the global worst position.
(2) Dancing behavior: When the dung beetle encounters an obstacle and is unable to travel, it dances to reposition itself, and this is represented as Equation (20).
p i ( t + 1 ) = p i ( t ) + tan ( θ ) | p i ( t ) p i ( t + 1 ) |
where  θ  represents the deflection angle, which takes the value  [ 0 , π ] .
(3) Reproductive behavior: In order to provide a safe environment for their offspring, dung beetles select suitable spawning sites. The area boundary selection strategy for simulating dung beetle spawning is shown in Equation (21).
L b = max ( P × ( 1 R ) , L b ) U b = min ( P × ( 1 + R ) , U b )
where  L b  and  U b  denote the lower and upper bounds of the spawning region, respectively, and  P  represents the current local optimal position.  R = 1 t T max T max  represents the set maximum number of iterations; and  L b  and  U b  denote the lower and upper bounds of the optimization problem.
As the number of iterations increases, the spawning region is dynamically updated, as shown in Equation (22).
T i ( t + 1 ) = P + k 1 × ( T i ( t ) L b ) + k 2 × ( T i ( t ) U b )
where  T i ( t )  denotes the position of the  i - t h  dung beetle egg at the  t  iteration;  k 1  and  k 2  represent random vectors of size  1 × D , and  D  denotes the dimension of the optimization problem.
(4) Foraging behavior: Grown dung beetles will burrow out of the ground to forage for food, so they must determine the optimal area. The boundaries of the optimal area are defined as shown in Equation (23).
L b b = max ( P b × ( 1 R ) , L b ) U b b = min ( P b × ( 1 + R ) , U b )
where  P b  represents the global optimal foraging position, and  L b b  and  U b b  denote the lower and upper bounds of the optimal foraging area, respectively.
The position of a small dung beetle is updated, as shown in Equation (24).
p i ( t + 1 ) = p i ( t ) + k 3 × ( p i ( t ) L b b ) + k 4 × ( p i ( t ) U b b )
where  k 3  and  k 4  represent two independent random numbers, with the former obeying a normal distribution and the latter taking values ranging from 0 to 1.
(5) Stealing behavior: Dung beetles will steal dung balls from others, and this is represented as Equation (25).
p i ( t + 1 ) = P b + S × g × ( | p i ( t ) P | ) + ( | p i ( t ) P b | )
where  S  is constant and  g  denotes a random vector of size  1 × D  and follows a normal distribution.

4.2.3. Improving the Dung Beetle Optimization Algorithm

As the number of iterations increases, the DBO algorithm adopts a low convergence accuracy and performs local optimization. To address the above shortcomings, this study carries out a longitudinal and transverse crossover strategy to determine the new position of a target after each update using the dung beetle optimization algorithm.
The longitudinal crossover algorithm performs both horizontal and vertical crossovers in each generation during the iteration process, thus giving certain dimensions in the population that are trapped in dimensional local optimums a chance to jump out of the iteration. The two crossovers are combined by introducing a competition operator, which is introduced after each crossover operation to compete with the parent generation, and only the particles that are better than the parent generation are retained in the next iteration, and the resulting solution is called the dominant solution.
Horizontal crossover is arithmetic between two different individual particles of the same dimension in the population; the formula is as follows:
X S h c ( i , d ) = r 1 x ( i , d ) + ( 1 r 1 ) x ( j , d ) + c 1 ( x ( i , d ) x ( j , d ) )
X S h c ( j , d ) = r 1 x ( j , d ) + ( 1 r 1 ) x ( i , d ) + c 2 ( x ( j , d ) x ( i , d ) )
where  x ( i , d )  and  x ( j , d )  represent the  d - t h  dimension of the individual particles  x ( i )  and  x ( j )  in the parent population, respectively;  X S h c ( i , d )  and  X S h c ( j , d )  denote the  d - t h  dimension offspring of  x ( i , d )  and  x ( j , d )  generated by lateral crossover, respectively;  r 1  and  r 2  stand for  [ 0 , 1 ]  random numbers; and  c 1  and  c 2  represent  [ 1 , 1 ]  random numbers. The obtained offspring are compared with the parents to retain the individuals with a smaller objective function. The upper and lower ranges of the same dimension are the same for different individual particles.  c 1  and  c 2  are the learning factor, so the third term can increase the search interval and find the best at the edge.
Longitudinal crossover is arithmetic between two different dimensions of a particle in a population, where one instance per individual updates only one of the dimensions, leaving the other dimensions unchanged. This is denoted by the following formula:
X S l c ( i , d 1 ) = r x ( i , d 1 ) + ( 1 r ) x ( i , d 2 )
where  x ( i , d 1 )  and  x ( i , d 2 )  denote the  d 1  and  d 2  dimensions of the individual particle  x ( i ) X S l c ( i , d 1 )  represents the  d 1  dimensional offspring of the  d 1  and  d 2  dimensions of  x ( i )  produced by longitudinal crossover. The resulting offspring are compared with their parents to retain the individuals with smaller objective functions.
The principle of  3 σ  is also introduced. Within the mathematical framework of normal distribution, the mean  μ  represents the average of all the data, and standard deviation  σ  measures the dispersion of data points with respect to the mean, i.e., the probability of a value being distributed in the interval  ( μ 3 σ , μ + 3 σ )  in a normal distribution is 0.9973, and the likelihood of exceeding this range is only 0.3%, so the data outside this interval are rounded off. A flowchart of the CCDBO algorithm is shown in Figure 4.
  • Set the basic parameters of the CCDBO algorithm, including UAV position error, UAV attitude angle error, and pod attitude angle error.
  • The dung beetle population is first initialized, and then the initialized dung beetle population is sorted according to the size of the fitness to obtain the dung beetle location with the optimal fitness value.
  • Adjust the positioning of the dung beetle’s rolling balls as per Equation (19), and in the event that a dung beetle strays from its path, execute a dance to redefine the direction using Equation (20).
  • Identify the best area for egg deposition following Equation (21) and modify the location of the hatching spheres in accordance with Equation (22), then identify the ideal foraging area based on Equation (23) and adjust the location of the small dung beetles in accordance with Equation (24), and finally, adjust the positioning of the dung-stealing beetles in accordance with Equation (25).
  • The positions of individual dung beetles for each behavior are updated according to Equations (26)–(28), and the updated positions are compared with the original positions in terms of fitness so that only the better-fit solutions can be retained for the next iteration.
  • Substitute the results of the updated dung beetle optimization algorithm into the target’s localization algorithm, determine whether the results meet the 3σ criterion, and round off the positions that do not meet the 3σ criterion.
  • The CCDBO algorithm ends.

5. Simulation Experiment

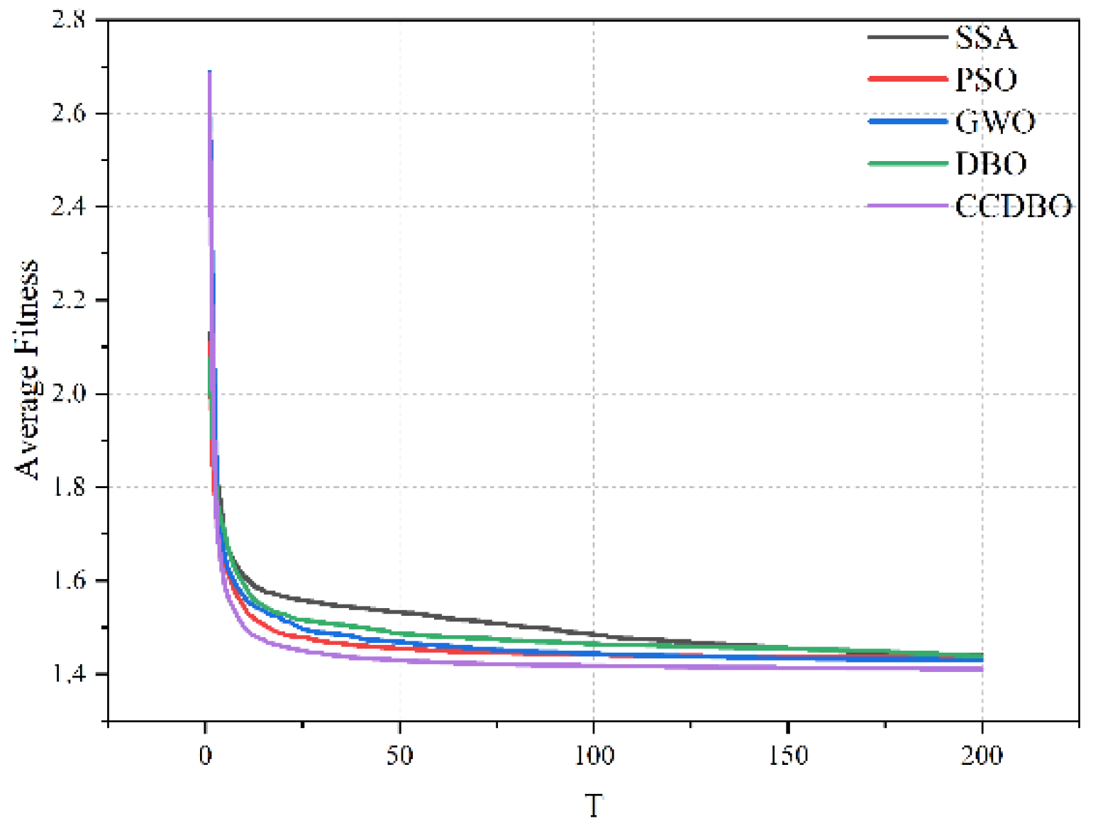
In order to verify the effectiveness of the improved dung beetle algorithm proposed in this study in enhancing the target positioning accuracy of UAVs, the Particle Swarm Optimizer (PSO), the Sparrow Search Algorithm (SSA), the Gray Wolf Optimizer (GWO), and the original dung beetle algorithms (DBO) are added to compare the optimization-seeking effects. This experiment is based on the Windows 11 operating system and the Matlab R2023b simulation platform. The constants are set to k = 0.1, b = 0.3, S = 0.5. The population size was set to 30, and 200 algorithm iterations were used in order to verify the reliability of the simulation results. In order to visualize the performance of each algorithm, the average of 100 Monte Carlo simulation results is taken to plot the change curve of each algorithm’s objective function with the increase in the number of iterations, as shown in Figure 5.
Figure 5 shows that although the CCDBO algorithm has a large value for initial adaptation, it converges rapidly during iteration and finally obtains the global optimal solution with the least adaptation. The results are better than those of the other optimization algorithms.
The results of the objective function fitness values and the tuned optimal parameters for the DBO, CCDBO, GWO, PSO, and SSA algorithms with iterations of 100 and 200 are presented in Table 1 and Table 2.
In order to intuitively show how the CCDBO algorithm enhanced the target positioning accuracy of the UAV, this study adopts the Monte Carlo statistical method to simulate and analyze. We set each relevant parameter of the UAV as shown in Table 3 and measured a single target point. We employed the following procedure: (1) Firstly, the target point was measured without reference to the error, and the error-free latitude and longitude coordinates of the target point were obtained as in Figure 6a; the latitude and longitude were counted separately, and the statistical results are shown in Figure 7a. (2) The random number function provided by Matlab was used to generate the error terms obeying the respective probability distributions, (3) substituting the generated errors into Equation (14) to obtain the standard deviation of the errors of the target point, and conducting 10,000 simulations of the target point to obtain the unprocessed data and (4) processing the results according to the principle of equal influence and the original and improved dung beetle algorithms to deal with the errors, respectively, where the population size of dung beetles was 30 and 200 algorithmic iterations were used. (5) Substituting the generated error into Equation (14) to obtain the total error at the target point and performing 10,000 simulations of the target point to obtain the unprocessed data. (6) Processing the results according to the principle of equal influence, the dung beetle optimization algorithm, and the improved dung beetle algorithm for error processing, respectively, which correspond to Figure 6b–d and Figure 7b–d, where the dung beetle population size is set to 30, and the number of algorithm iterations is 200.
First, calculate the latitude difference and longitude difference between the simulation point and the true value point, then convert the difference to distance, and at the same time, calculate the straight line distance between the simulation point and the true value point; the calculation result is shown in Figure 8.
The root mean square error is an indicator of the algorithm’s localization performance and is calculated as shown in Equation (29).
R M S E = 1 n i = 1 n ( X X i ) 2
where  n  represent the number of target information,  X  denotes the real value of the target information, and  X i  stands for the simulated value of the target information. For the above processing methods, the root mean square error is calculated for the latitude and longitude of the target point, respectively, and the results are shown in Table 4.
Figure 6 and Figure 7 show that the processed simulation point is closer to the true value point, and Figure 8 visualizes the distance between the simulation and true value points, while Table 4 reflects that the proposed algorithm has the smallest root mean square error, which proves that the CCDBO algorithm can effectively improve the accuracy of the target localization results. Compared with the other results, the simulation point processed by the CCDBO algorithm is more accurate, respectively, by 38.97%, 23.48%, and 20.42%.

6. Flight Experiment Validation

This experiment was conducted using a CW-25E UAV with an MG150E optoelectronic pod. The manufacturer of the CW-25E drone is Zongheng Automation Technology Co., which is located in Chengdu, Sichuan Province, China, and the installation parameters were  [ Δ x Δ y Δ z ] = [ 0.3121   m 0.00228   m 0.16917   m ] . This represents the distance between the optoelectronic pod and the center of mass of the UAV. The UAV in the experiment flew at an altitude of about 1100 m above the side of the target area.
A total of one center point and six target points were set up for this experiment, as shown in Figure 9. The latitude and longitude of the six target points were measured using differential positioning, and the measurement results were used as the true value because the differential positioning error is at the centimeter level. Each target point was collected ten times, and the ten groups of data were processed by the principle of equal influence and the DBO and CCDBO algorithms. The latitude and longitude of the target point were calculated by using the position of the target point in the pixel coordinate system captured by the UAV’s optoelectronic pods, and finally, the average value of each group of data was compared with the true value, as shown in Table 5 and Table 6, where the latitude and longitude were given as northern and eastern values, respectively.
The error distances from the true value point were calculated for the three sets of data, as shown in Table 7.
Taking target point 1 as an example, the localization results of the ten measurement data sets are shown in Figure 10. Taking the due north direction as 0°, the error distances of the target point processed in different ways are shown as polar coordinates. The comparison shows that the data error after CCDBO processing is smaller than those of the other processing methods.
Figure 11a shows the latitude and longitude of the target point with the true value after averaging the ten measurements. Figure 11b shows the straight-line distance between the average and target points; after processing, the data show significant error reduction compared with that of the unprocessed data. The percentage of reduction is shown in Table 8, indicating that the CCDBO algorithm can reduce the error of target localization.

7. Conclusions

In order to cope with more refined target localization results, this study analyzes error transfer using the Taylor series expansion method by establishing a coordinate system combined with spatial chi-square coordinate transformation. We derive latitude and longitude information of the target point based on the UAV position, attitude information, the pod heading and pitch angles, and the pod’s position. In order to reduce the positioning error, this study introduces total standard deviation, which is calculated by integrating the standard deviation of each error source. Accordingly, we synthesize and assign the error to the data and propose the CCDBO algorithm, which introduces a vertical and horizontal crossover strategy and the  3 σ  criterion to further improve accuracy. This treatment significantly reduces the localization deviation due to random errors and improves the overall accuracy of UAV target localization. Through a Monte Carlo simulation method, the positioning process of the target point is simulated, and the processed results demonstrate the superiority of this method. The flight experiments also verify the reliability of the simulation results, proving that the method proposed in this study can effectively improve the accuracy of UAV target localization in practical applications. Future research should be devoted to exploring a more precise error allocation mechanism, especially to determine the specific influencing factors of each error source through experiments or data analysis to achieve personalization and refinement. In conclusion, this method can not only further improve the accuracy of UAV target localization but also provide more solid technical support for future autonomous navigation and the mission execution of UAVs in complex environments.

Author Contributions

Conceptualization, Y.L. and Q.H.; methodology, Y.L.; software, Y.L. and Y.Z.; validation, S.S., Y.L. and W.Y.; resources, Q.H.; writing—original draft preparation, Y.L.; writing—review and editing, Q.H.; project administration, Q.H. All authors have read and agreed to the published version of the manuscript.

Funding

This research was funded by National Natural Science Foundation of China (61640308) and Natural Science Foundation of Hubei Province (2023AFB900).

Institutional Review Board Statement

Not applicable.

Informed Consent Statement

Not applicable.

Data Availability Statement

The original contributions presented in the study are included in the article, further inquiries can be directed to the corresponding author.

Conflicts of Interest

The authors declare no conflicts of interest.

References

  1. Yao, Y.; Song, C.; Shao, J. Real-time Detection and Localization Algorithm for Military Vehicles in Drone Aerial Photography. Acta Armamentarii 2024, 45, 354–360. [Google Scholar] [CrossRef]
  2. Zhang, Q.; Zhou, L.; An, J. Real-Time Recognition Algorithm of Small Target for UAV Infrared Detection. Sensors 2024, 24, 3075. [Google Scholar] [CrossRef] [PubMed]
  3. Ren, X.; Zhang, M.; Wen, Q.; Ma, R. Development Status of UAV-borne Photoelectric Pod Technology. Autom. Instrum. 2024, 39, 25–29. [Google Scholar]
  4. Fu, J.; Zhang, D.; Wang, M.; Zhao, J. Unmanned Aerial Vehicle Path Planning for Improved Target Positioning Accuracy. Acta Armamentarii 2023, 44, 3394–3406. [Google Scholar]
  5. Jiang, W.; Liu, Z.; Wang, Y.; Lin, Y.; Li, Y.; Bi, F. Realizing Small UAV Targets Recognition via Multi-Dimensional Feature Fusion of High-Resolution Radar. Remote Sens. 2024, 16, 2710. [Google Scholar] [CrossRef]
  6. Wu, Y.; Zhang, Z.; Liu, A.; Zou, J.; Li, C. Moving target velocity measurement method based on multi-view observation optimization of UAV Image. J. Syst. Simul. 2024, 1–17. Available online: https://link.cnki.net/urlid/11.3092.v.20241111.1204.002 (accessed on 17 December 2024).
  7. Tan, L.; Luo, M.; Li, J.; Gao, X.; Wang, W. Method of single-station passive location to ground target by UAV photoelectric equipment. J. Appl. Opt. 2022, 43, 599–610. [Google Scholar]
  8. Bai, G.; Song, Y.; Zuo, Y.; Wang, X.; Sun, M. Multi-target geo-location based on airborne optoelectronic platform. Opt. Precis. Eng. 2020, 28, 2323–2336. [Google Scholar] [CrossRef]
  9. Qian, C. Research on pure azimuth passive positioning of unmanned aerial vehicle formation in electromagnetic silence environment. Meas. Control 2024, 00202940241270715. [Google Scholar] [CrossRef]
  10. Feng, Z.; Zhao, Z.; Jin, Y. Research on pure azimuth passive positioning of UAV based on optimization model. In Proceedings of the 2023 IEEE International Conference on Control, Electronics and Computer Technology (ICCECT), Jilin, China, 28–30 April 2023; pp. 264–270. [Google Scholar]
  11. Tan, L.; Cheng, Q.; Wei, M.; Li, J.; Luo, M. Photoelectric single-station passive location and error analysis to sea surface target. J. Appl. Opt. 2024, 45, 673–684. [Google Scholar]
  12. Sun, C.; Wu, Y. Research on the error distribution method of unmanned airborne electro-optical pod viewing angle. Infrared Laser Eng. 2023, 52, 234–244. [Google Scholar]
  13. Saat, S.; Ahmad, M.A.; Ghazali, M.R. Data-driven brain emotional learning-based intelligent controller-PID control of MIMO systems based on a modified safe experimentation dynamics algorithm. Int. J. Cogn. Comput. Eng. 2025, 6, 74–99. [Google Scholar] [CrossRef]
  14. Yang, Z.; Yuan, Z.; Wang, X.; Huang, J.; Zhou, D. Autonomous control of UAV trajectory based on RHC-Radau method in complex penetration combat environment. Aerosp. Sci. Technol. 2024, 146, 108915. [Google Scholar] [CrossRef]
  15. Rodríguez-Abreo, O.; Rodríguez-Reséndiz, J.; García-Cerezo, A. Fuzzy logic controller for UAV with gains optimized via genetic algorithm. Heliyon 2024, 10, e26363. [Google Scholar] [CrossRef] [PubMed]
  16. Ren, Y.; Sun, Y. Inverse compensation mechanism-based adaptive fuzzy-neural fault-tolerant control for an uncertain quadrotor UAV. Aerosp. Sci. Technol. 2024, 153, 109426. [Google Scholar] [CrossRef]
  17. Li, A.; Wu, D.; Li, C. A Survey on Autonomous Collision Avoidance Algorithms for UAVs at Low Altitude. Electron. Opt. Control 2021, 2, 59–64. [Google Scholar]
  18. Yan, X.; Chen, R. Application Strategy of Unmanned Aerial Vehicle Swarms in Forest Fire Detection Based on the Fusion of Particle Swarm Optimization and Artificial Bee Colony Algorithm. Appl. Sci. 2024, 14, 4937. [Google Scholar] [CrossRef]
  19. Xue, J.; Shen, B. A novel swarm intelligence optimization approach: Sparrow search algorithm. Syst. Sci. Control Eng. 2020, 8, 22–34. [Google Scholar] [CrossRef]
  20. Han, D.; Yu, Q.; Jiang, H.; Chen, Y.; Zhu, X.; Wang, L. Three-Dimensional Path Planning for Post-Disaster Rescue UAV by Integrating Improved Grey Wolf Optimizer and Artificial Potential Field Method. Appl. Sci. 2024, 14, 4461. [Google Scholar] [CrossRef]
  21. Li, Y.; Yu, A.; Li, M.; He, Z.; Liu, S. Armored Vehicle Engine Fault Diagnosis Based on KLDA-IDBO-BP. Acta Armamentarii 2024, 1–9. [Google Scholar]
  22. Xue, J.; Shen, B. Dung beetle optimizer: A new meta-heuristic algorithm for global optimization. J. Supercomput. 2023, 79, 7305–7336. [Google Scholar] [CrossRef]
  23. Lyu, L.; Jiang, H.; Yang, F. Improved Dung Beetle Optimizer Algorithm with Multi-Strategy for Global Optimization and UAV 3D Path Planning. IEEE Access 2024, 12, 69240–69257. [Google Scholar] [CrossRef]
  24. Wang, X.; Kang, H.; Shen, Y.; Sun, X.; Chen, Q. An Improved Dung Beetle Optimization Algorithm for High-Dimension Optimization and Its Engineering Applications. Symmetry 2024, 16, 586. [Google Scholar] [CrossRef]
  25. Bayzidi, H.; Talatahari, S.; Saraee, M.; Lamarche, C.P. Social network search for solving engi-neering optimization problems. Comput. Intell. Neurosci. 2021, 2021, 8548639. [Google Scholar] [CrossRef] [PubMed]
  26. Zhou, Y.; Lu, F.; Xu, J.; Wu, L. Multi-Agent Cross-Domain Collaborative Task Allocation Problem Based on Multi-Strategy Improved Dung Beetle Optimization Algorithm. Appl. Sci. 2024, 14, 7175. [Google Scholar] [CrossRef]
  27. Su, H.; Zhao, D.; Yu, F.; Heidari, A.A.; Xu, Z.; Alotaibi, F.S.; Mafarja, M.; Chen, H. A horizontal and vertical crossover cuckoo search: Optimizing performance for the engineering problems. J. Comput. Des. Eng. 2023, 10, 36–64. [Google Scholar] [CrossRef]
  28. Xu, C.; Yin, C.; Han, W.; Wang, D. Two-UAV trajectory planning for cooperative target locating based on airborne visual tracking platform. Electron. Lett. 2020, 56, 301–303. [Google Scholar] [CrossRef]
Figure 1. Space rectangular coordinate system.
Figure 1. Space rectangular coordinate system.
Applsci 14 11935 g001
Figure 2. Geographic coordinate system.
Figure 2. Geographic coordinate system.
Applsci 14 11935 g002
Figure 3. Airframe coordinate system.
Figure 3. Airframe coordinate system.
Applsci 14 11935 g003
Figure 4. CCDBO flowchart.
Figure 4. CCDBO flowchart.
Applsci 14 11935 g004
Figure 5. Average simulation results.
Figure 5. Average simulation results.
Applsci 14 11935 g005
Figure 6. Scatterplot distribution of simulated latitude and longitude of target points: (a) Unprocessed data. (b) Data processed according to the equal influence principle. (c) Data processed by the original dung beetle algorithm. (d) Data processed by the improved dung beetle algorithm.
Figure 6. Scatterplot distribution of simulated latitude and longitude of target points: (a) Unprocessed data. (b) Data processed according to the equal influence principle. (c) Data processed by the original dung beetle algorithm. (d) Data processed by the improved dung beetle algorithm.
Applsci 14 11935 g006
Figure 7. Distribution of target point simulation latitude and longitude histograms: (a) Unprocessed data. (b) Data processed according to the equal influence principle. (c) Data processed by the original dung beetle algorithm. (d) Data processed by the improved dung beetle algorithm.
Figure 7. Distribution of target point simulation latitude and longitude histograms: (a) Unprocessed data. (b) Data processed according to the equal influence principle. (c) Data processed by the original dung beetle algorithm. (d) Data processed by the improved dung beetle algorithm.
Applsci 14 11935 g007
Figure 8. Plot of distance between simulation and true value points.
Figure 8. Plot of distance between simulation and true value points.
Applsci 14 11935 g008
Figure 9. Center and target points.
Figure 9. Center and target points.
Applsci 14 11935 g009
Figure 10. Measurement data for target point 1.
Figure 10. Measurement data for target point 1.
Applsci 14 11935 g010
Figure 11. Target point localization error.
Figure 11. Target point localization error.
Applsci 14 11935 g011
Table 1. Statistical analysis of the objective function.
Table 1. Statistical analysis of the objective function.
Number of IterationsDBOCCDBOGWOPSOSSA
1001.464511.417761.443661.441581.48515
2001.438671.410861.429811.433271.44003
Table 2. Optimal parameters.
Table 2. Optimal parameters.
ParametersDBOCCDBOGWOPSOSSA
  σ x 10.49789.824210.049210.154010.5347
  σ y 7.894247.712657.735977.736247.90042
  σ z 7.241597.197447.218127.219547.25114
Table 3. Simulation experiment data.
Table 3. Simulation experiment data.
ParametersSymbolStandard DeviationValue
UAV Latitude   B / ° 0.000130°
UAV Longitude   L / ° 0.0001100°
UAV Height   H / m 51100 m
UAV Yaw Angle   Φ / ° 0.245°
UAV Pitch Angle   θ / ° 0.20
UAV Roll Angle   σ / ° 0.230°
Pod Heading Angle   α / m r a d 245°
Pod Pitch Angle   β / m r a d 245°
Table 4. Root mean square error.
Table 4. Root mean square error.
Raw DataEqual Impact
Principle
DBOCCDBOGWOPSOSSA
Latitude1.4365 × 10−41.0324 × 10−41.2050 × 10−48.6679 × 10−59.4831 × 10−51.0355 × 10−41.2945 × 10−4
Longitude4.2017 × 10−43.7641 × 10−43.5637 × 10−43.2637 × 10−43.3578 × 10−43.4427 × 10−43.6172 × 10−4
Table 5. Latitude/longitude of target point.
Table 5. Latitude/longitude of target point.
Target PointTruth ValueMeasured Value
target point 1(31.110907, 103.757359)(31.111097, 103.757516)
target point 2(31.111042, 103.757382)(31.111070, 103.757448)
target point 3(31.111275, 103.757494)(31.110997, 103.757337)
target point 4(31.111108, 103.757899)(31.110871, 103.757463)
target point 5(31.110950, 103.757998)(31.110908, 103.757479)
target point 6(31.110801, 103.757609)(31.111021, 103.757596)
Table 6. Latitude/longitude of processed target point.
Table 6. Latitude/longitude of processed target point.
Target PointEqual Impact PrincipleDBOCCDBO
target point 1(31.110934, 103.757341)(31.110932, 103.757344)(31.110917, 103.757347)
target point 2(31.111029, 103.757357)(31.111025, 103.757359)(31.111042, 103.757360)
target point 3(31.111193, 103.757435)(31.111191, 103.757438)(31.111212, 103.757438)
target point 4(31.111078, 103.757714)(31.111075, 103.757717)(31.111098, 103.757717)
target point 5(31.110986, 103.757676)(31.110990, 103.757679)(31.110990, 103.757679)
target point 6(31.110869, 103.757513)(31.110857, 103.757515)(31.110844, 103.757508)
Table 7. Distance of error.
Table 7. Distance of error.
Target PointMeasured (m)Equal Impact Principle (m)DBO (m)CCDBO (m)
target point 125.9333.4673.1111.613
target point 27.0652.8202.9482.134
target point 334.35110.76510.8088.810
target point 449.41418.01617.83717.500
target point 550.14331.16030.97830.978
target point 624.47612.04111.03410.891
Table 8. Percentage of error reduction.
Table 8. Percentage of error reduction.
MethodTarget Point 1Target Point 2Target Point 3Target Point 4Target Point 5Target Point 6
equal impact principle86.63%60.08%68.66%63.54%37.86%50.80%
DBO88.00%58.27%68.54%63.90%38.22%54.92%
CCDBO93.78%69.79%74.35%64.58%38.22%55.50%
GWO91.64%68.45%72.74%64.19%38.13%55.21%
PSO90.11%68.22%70.63%64.07%37.96%54.83%
SSA87.65%70.54%69.37%63.81%38.34%53.79%
Disclaimer/Publisher’s Note: The statements, opinions and data contained in all publications are solely those of the individual author(s) and contributor(s) and not of MDPI and/or the editor(s). MDPI and/or the editor(s) disclaim responsibility for any injury to people or property resulting from any ideas, methods, instructions or products referred to in the content.

Share and Cite

MDPI and ACS Style

Li, Y.; Hu, Q.; Sun, S.; Zhou, Y.; Ying, W. Research on Optimization of Target Positioning Error Based on Unmanned Aerial Vehicle Platform. Appl. Sci. 2024, 14, 11935. https://doi.org/10.3390/app142411935

AMA Style

Li Y, Hu Q, Sun S, Zhou Y, Ying W. Research on Optimization of Target Positioning Error Based on Unmanned Aerial Vehicle Platform. Applied Sciences. 2024; 14(24):11935. https://doi.org/10.3390/app142411935

Chicago/Turabian Style

Li, Yinglei, Qingping Hu, Shiyan Sun, Yuxiang Zhou, and Wenjian Ying. 2024. "Research on Optimization of Target Positioning Error Based on Unmanned Aerial Vehicle Platform" Applied Sciences 14, no. 24: 11935. https://doi.org/10.3390/app142411935

APA Style

Li, Y., Hu, Q., Sun, S., Zhou, Y., & Ying, W. (2024). Research on Optimization of Target Positioning Error Based on Unmanned Aerial Vehicle Platform. Applied Sciences, 14(24), 11935. https://doi.org/10.3390/app142411935

Note that from the first issue of 2016, this journal uses article numbers instead of page numbers. See further details here.

Article Metrics

Back to TopTop