Abstract
In Japan, rising demand for waxy barley has led to concerns over bran waste. We investigated the effects of replacing wheat flour with different proportions of the waxy variety ‘Kirarimochi’ barley bran on the physical properties and health functionality of the bread. We used both the inner bran layer (IBLP) and outer bran layer (OBLP) of waxy barley as replacement sources and tested their effects on the appearance, height, specific volume, β-glucan, antioxidant properties, physical and sensory properties of bread. Bread with a 10% IBLP replacement group showed significantly increased height, specific volume, and softness compared to the control, indicating that IBLP at this level serves as an effective enhancer of bread volume and texture. At higher replacement levels (30–50% IBLP), the breads exhibited increased β-glucan content and enhanced antioxidant properties. Sensory evaluation revealed a stronger aroma, increased moistness, and stickiness of bread with 50% IBLP substitutions. OBLP was not suitable for sensory evaluation. These results show that IBLP can improve the specific volume and texture of bread and enhance its health functional components by adjusting the ratio. It also provides a clue to solving the problem of bran disposal.
1. Introduction
Barley (Hordeum vulgare L.) has been extensively studied for its functional health properties. Studies have demonstrated that barley can help reduce cholesterol [1] and blood glucose [2] levels and enhance superoxide scavenging [3]. Barley contains high levels of dietary fiber β-glucan, which has garnered attention for its potential as an accessible, immune-enhancing adjuvant, particularly when used in combination with adoptive T-cell therapy in cancer treatment [4,5]. Waxy barley has been found to contain higher levels of β-glucan than ordinary barley [6]. In particular, a two-row naked barley variety “kirarimochi”, registered by the National Agriculture and Food Research Organization in Japan on 28 December 2012, is recognized for its high β-glucan content [7]. Furthermore, the demand for waxy barley is rapidly increasing, owing to its unique chewy texture, and the domestic self-sufficiency for waxy barley in Japan has increased from 3% in 2016 to 49% in 2021 [8]. However, a major concern associated with the increased edible use of glutinous barley is the possible increase in the amount of discarded bran. Approximately 40% of waxy barley remains as bran after the pounding process, which is either repurposed as fertilizer or discarded. Therefore, developing strategies for the effective use of the bran discard is highly essential.
In our previous study, we showed that the bran of “kirarimochi” contains significantly higher levels of minerals (K, Mg, Fe, Zn, and Mn), polyunsaturated fatty acids (such as linoleic acid and alpha-linolenic acid), vitamin B1, total polyphenol content (TPC), and antioxidant activity than the edible part, polished waxy barley (PWB) [9]. In addition, we also showed that bran contains approximately 3.9–4.8 g/100 g dry weight (DW) β-glucan, which is lower than that in the PWB (63–79% of PWB). Nevertheless, despite its low β-glucan content, “kirarimochi” bran still represents a promising source of this valuable dietary fiber, making “kirarimochi” bran a beneficial health food material [9].
Previous studies have reported the utilization of barley whole grain flour in various food applications, including fresh and dried white salted and fresh yellow alkaline noodles [10], biscuits [11], and bread [12]. In noodle products, the addition of barley flour has been shown to reduce the cooking time and improve the texture of noodles [10], while in biscuits, it increased the spread ratio [11], and in bread, it decreased the volume and increased dietary fiber and β-glucan content [12]. Studies on waxy barley flour have shown that replacing a portion of wheat flour in bread dough with waxy barley flour led to reduced bread volume and darker coloration; in addition, the substitution also led to firmer texture, which tended to increase with the increase in replacement ratio [13,14]. As discussed above, there have been several reports on the health functionality and cooking and processing properties of waxy barley as whole barley flour. However, only a few studies have reported on the health functionality and cooking and processing properties of different layers of waxy barley bran [12,15]. In Japan, waxy barley was increasingly consumed as rice grain barley and bran was produced during pounding. Investigating the cooking and processing properties of different bran parts would be a useful study to contribute to reducing the amount of glutinous barley bran waste.
Bread is a globally consumed food that provides essential dietary fiber and minerals [16]. In recent years, research has been conducted to improve the nutritional profile of wheat flour-based bread by utilizing different sources of wheat flour rich in minerals, vitamins, proteins, and dietary fiber [17]. Based on these studies and considering the physical and health-promoting properties of ‘kirarimochi’, we hypothesize that incorporating ‘kirarimochi’ bran into bread can enhance the nutritional profile of bread by increasing β-glucan and antioxidant properties, while also improving its physical characteristics. To test this hypothesis, we aimed to investigate the effects of waxy barley bran addition on the appearance, color tone, height, specific volume, β-glucan content, antioxidant activity, and physical and sensory characteristics of bread.
2. Materials and Methods
2.1. Materials of Barley Variety “Kirarimochi”
The waxy barley variety “kirarimochi” used in this study was sourced from Magokoronojo Hirose Agricultural Union Corp. in Tottori, Japan. The barley was processed using a barley milling machine (3RSB-10, Hohden Industry Co., Ltd., Kyoto, Japan). A total of 10 kg of raw barley was milled over about 4 h. The bran collected during the first 2 h of milling was used as outer bran layer powder (OBLP), and the bran collected during the latter 2 h was used as inner bran layer powder (IBLP). Additional ingredients used in the bread-making process included commercially available bread wheat flour (Nisshin Seifun Welna Inc., Tokyo, Japan), unsalted butter (Megmilk Snow Brand Co., Hokkaido, Japan), sugar (Pearl Ace Corp., Tokyo, Japan), skim milk (Pioneer Planning Co., Ltd., Kanagawa, Japan), and dry yeast (Pioneer Planning Co., Ltd., Kanagawa, Japan). The chemical composition (general composition) of wheat flour and barley bran is shown in Figure 1. For flour, the values on the Nutrition Facts label on the packaging and the outsourced (by Bureau Veritas FEAC Co., Shimane, Japan) results are shown. IBLP and OBLP values were taken from the report of Furuichi et al. [9]. Only mean values are presented for all values.
Figure 1.
General composition, SEM images and particle size of wheat flour and waxy barley bran. *1—Values for energy, protein, fat and carbohydrate were taken from those indicated on the product. Values analyzed by Bureau Veritas FEAC were used for ash content. *2—IBLP and OBLP values are taken from the report of Furuichi et al. [9]. IBLP—inner bran layer powder; OBLP—outer bran layer powder. Energy, protein, fat, carbohydrate, and ash values are shown as average values only. The values of particle size are presented as means and standard errors (n = 3). Different letters (a–c) indicate significant differences (p < 0.05).
2.2. Scanning Electron Microscope (SEM) Observations
Scanning electron microscopy was used to observe the microstructure of wheat flour and IBLP and OBLP powders. The method was based on the method of Barrera et al. (2013) [18] with modifications. Briefly, the samples were sprinkled onto an SEM specimen table to which double-sided carbon tape for SEM was attached. Gold deposition (Hitachi High-Tech Corporation, Ion sputterE-1010, Tokyo, Japan) was then applied and the samples were observed using the SEM (Hitachi High-Tech Corporation, S-3000N, Tokyo, Japan) at an accelerating voltage of 15 kV with a magnification of 100×.
2.3. Particle Distribution
The particle size distribution of the samples was measured using the method of Taniguchi et al. (2022) [19], with slight modifications. Namely, a laser scattering particle size analyzer (Partica LA-960V2, Horiba, Kyoto, Japan) was used for the measurements. Ethanol (99.5%) (Nacalai Tesque Corporation, Kyoto, Japan) was used as the dispersant. Samples were added directly to ethanol without suspension and no ultrasonic treatment was performed. Median and average particle diameters were measured as the particle size distribution of the samples.
2.4. Bread Production
2.4.1. Examination of Bread Production Modes for Waxy Barley Bran
The breads were produced using a fully automatic bread maker (SD-MDX4, Panasonic Corp., Tokyo, Japan), which offers multiple production modes to accommodate various user needs. Since waxy barley bran differs from traditional wheat flour, a common ingredient in bread, we tested five different production modes (whole grain mode, WGM; rice flour mode, RFM; loaf of bread mode, LBM; French bread mode, FBM; pan domi mode, PDM) to determine the optimal setting for bread production. The proportions of ingredients used in this study were based on the user’s manual of the bread maker. Briefly, 30% of the wheat flour was replaced with IBLP in the modified formulation, leading to the following final composition of the ingredients: wheat flour (175 g), IBLP (75 g), unsalted butter (10 g), sugar (17 g), skimmed milk (6 g), water (200 g), and dry yeast (2.8 g).
2.4.2. Verification of Waxy Barley Bran Blend Ratio
In the control group, the following ingredients were used: wheat flour (250 g), unsalted butter (10 g), sugar (17 g), skimmed milk (6 g), water (200 g), and dry yeast (2.8 g). For the IBLP replacement groups, wheat flour was replaced with different proportions of IBLP: 10% (25 g), 30% (75 g), and 50% (125 g) of the wheat flour weight. In the OBLP replacement group, 30% (75 g) of the wheat flour weight was replaced with OBLP. All other ingredients in the IBLP and OBLP replacement groups remained consistent with the control recipe. Note that due to the limited number of fully automatic bread makers, the above five substitution levels were selected from the literature survey.
2.5. Appearance and Color
The overall appearance of the bread was documented by photographing the entire loaf using a digital camera (WG-30W, Ricoh, Tokyo, Japan). To examine the internal structure, the bread was sliced into 2 cm thick pieces, and the center of each slice was photographed using both the digital camera and a stereomicroscope (DS-L3, Nikon Corp., Tokyo, Japan). The color of the bread cross-sections was measured using a color reader (CR-13, Konica Minolta, Inc., Osaka, Japan), which provided L*, a*, and b* values. The L* value represents lightness, the a* value indicates the red–green axis, and the b* value corresponds to the blue–yellow axis. The color of each sample was measured 10 times to ensure accuracy.
2.6. Height
The height of the bread was measured using a ruler. The distance from the base of the sliced bread to its highest point was recorded. This measurement was repeated three times for each sample to ensure accuracy.
2.7. Specific Volume
After baking, the bread was cooled to 25 °C for 24 h before being weighed. The volume of the loaf was determined using the rapeseed displacement method, following the AACC Method 10-50.05. The specific volume was then calculated by dividing the loaf volume by its weight. This process was repeated four times to ensure accuracy.
2.8. β-Glucan Content
The β-glucan content was quantitatively determined using an enzymatic assay with the Mixed-Linkage Beta-Glucan Assay Procedure (Megazyme Ltd., Bray, Ireland), following AOAC Method 995.16, AACC Method 32-23, and ICC Standard Method No. 166. Absorbance was measured at 510 nm using a Microplate Reader (SH-9000Lab, Corona Electric Co., Ltd., Ibaraki, Japan). Each measurement was repeated four times.
2.9. TPC (Total Polyphenol Content) and Antioxidant Activity
2.9.1. TPC
Sample solutions were prepared by mixing 1.0 g of each sample with 10 mL of 60% ethanol and extracting the mixture in an agitating water bath (BW201; Yamato Scientific Co., Ltd., Tokyo, Japan) at 40 °C for 2 h at 150 rpm. The TPC was determined following the method described in a previous study [20]. Each sample was measured in six replicates and the results were expressed as (+)-catechin equivalents (mg CTN eq/100 g DW).
2.9.2. Antioxidant Activity
Antioxidant activities of the bread were assessed using different methods, including hydrophilic-oxygen radical absorbance capacity (H-ORAC), 2,2-diphenyl-1-picrylhydrazyl (DPPH), and 3-ethylbenzothiazoline-6-sulfonic acid (ABTS) assays.
H-ORAC assay was performed following a previously reported protocol [21]. Briefly, the sample solutions were diluted with measurement buffer (75 mM phosphate buffer, pH 7.4) and filtered through a 0.45 µm filter (Advantec Toyo Kaisha, Ltd., Tokyo, Japan). In a 96-well microplate (#3072, Becton, Dickinson and Company, Franklin Lakes, NJ, USA), fluorescein and AAPH solutions were added to each well containing either the sample solutions or 6-hydroxy-2,5,7,8-tetramethylchroman-2-carboxylic acid (Trolox) solution. Next, the fluorescence intensity (excitation wavelength: 485 nm, emission wavelength: 520 nm) was measured continuously at 2 min intervals for 90 min using a microplate reader (SH-9000Lab, Corona Electric Co., Ltd., Ibaraki, Japan) maintained at 37 °C. Each sample was measured in four replicates and the H-ORAC values were expressed as Trolox equivalents (µmol TE/g DW).
DPPH radical scavenging activity was assessed using a modified method of Nakamura and Ohtsudo (2015) [22]. Briefly, sample solution (70 μL) and 2-(N-morpholino) ethane sulfonic acid (MES) buffer-DPPH (210 µL) were added to a 96-well plate. The mixture was incubated at room temperature (20 °C) for 20 min and the absorbance at 540 nm was measured using a microplate reader (SH-9000Lab, Corona Electric Co., Ltd., Ibaraki, Japan). Each sample was measured in six replicates and the DPPH values were expressed as Trolox equivalents (µmol TE/g DW).
The ABTS assay was conducted using the method described by Aimone et al. (2023) [23], with some modifications. Briefly, the ABTS working solution was prepared by mixing 5 mL of 7 mM ABTS solution with 88 µL of 140 mM potassium peroxodisulfate solution, which was then left in the dark at room temperature for 12–16 h. Afterward, the solution was diluted with 99.5% ethanol to achieve an absorbance of 0.7 ± 0.02 at 734 nm. Then, 265 µL of ABTS working solution and 35 µL of the sample solution were mixed and stirred for 10 s. The mixture was then incubated at 30 °C for 4 min and the absorbance was measured at 734 nm. All measurements were performed in six replicates per sample and the results were expressed as Trolox equivalents (µmol TE/g DW).
2.10. Textural Properties
Bread samples were cut into 2 cm squares using an ultrasonic cutter (SUW30, Suzuki Marine Co., Ltd., Shizuoka, Japan). Textural properties were assessed using a creep meter (RE2-33005, Yamaden Co., Ltd., Tokyo, Japan). A cylindrical plunger with a diameter of 30 mm was employed for the measurements. The load cell was set to 20 N, with a measurement speed of 1 mm/s and a strain rate of 50%. The measurements for each sample were repeated 10 times.
2.11. Sensory Evaluation
In a preliminary experiment, OBLP-substituted bread exhibited an unfavorable taste. Therefore, sensory evaluation was performed on four types of samples: control and IBLP replacement groups (10%, 30%, and 50%). The samples were cooled for 24 h post-baking and cut into pieces measuring 5 × 4 × 1 cm. These pieces were provided to 17 non-sensory training panelists, including both male and female students and faculty members from Tottori College. The evaluation criteria used were based on Kinner et al. (2011) [24] with some modifications. Namely, panelists evaluated the samples for color, flavor, softness, stickiness, and moistness as identification tests. The visual appearance, flavor, taste, texture, and overall acceptability were evaluated as taste tests; both tests were scored using a 5-point scale from −2 (weak and undesirable characteristics) to +2 (strong and desirable characteristics). Water was offered as a palate cleanser between samples. This study was approved by the Ethical Review Committee for Research Involving Human Subjects at the Faculty of Human Sciences of Shimane University (Approval No.: 2023-11).
2.12. Statistical Analysis
Statistical analysis was performed using SPSS version 28.0 (IBM Inc., Chicago, IL, USA). One-way analysis of variance (ANOVA) was used to determine differences among groups, followed by Tukey’s Honestly Significant Difference (HSD) test to assess significance at the 5% level.
3. Results and Discussion
3.1. General Components, SEM Images and Particle Size
The general components and SEM images are shown in Figure 1. Energy and protein were highest in OBLP, followed by wheat flour and IBLP. Fat and ash were highest in OBLP, followed by IBLP and wheat flour. Carbohydrate was highest in the order of wheat flour, followed by IBLP and OBLP. These trends were in agreement with those reported by Massimo et al. (2015) [12].
In SEM images, grains of 20–150 µm were observed in wheat flour, and the grains were homogeneous. In IBLP, grains between 20 and 100 µm were observed, and overall, most of the grains were around 20 µm, but they were agglomerated with larger grains in some places. OBLPs were present as large clumps of 100–350 µm, although some 20 µm grains were observed.
Barley flour had two peaks at 20 µm and 300–450 µm, with 20 µm being starch granules and 300–450 µm being the cell wall and cell mass [19]. IBLP is barley bran, but as it is close to the endosperm, it has many small 20 μm granules, while OBLP is close to the outer skin part, and it was inferred that cell walls and cell clumps were mixed. BLPs and PBLPs were not processed for milling, so it was considered that the outer hull parts of the barley were directly mixed in and the grains were unevenly distributed.
3.2. Effects of Baking Modes
Figure 2 shows the overall appearance and cross-sectional images of the bread produced using WGM, RFM, LBM, FBM, and PDM. The highest loaf volume was observed in the WGM, which resulted in a crumb with relatively small and uniform bubbles. The next highest loaf volume was observed in RFM, which produced slightly larger and less uniform bubbles from the center to the top of the crumb. LBM, FBM, and PDM yielded similar loaf volumes, which were slightly lower than those from WGM and RFM. These modes produced bread with some larger bubbles, but overall, the crumb structure was fine and relatively uniform. The observed differences in loaf volume are attributed to variations in processing times among the different modes. WGM, which has the longest total processing time (5 h), includes extended resting and fermentation phases. In contrast, RFM has shorter resting and fermentation times and bakes in half the time (2.5 h) compared to WGM. The processing times for LBM (4 h), FBM (5 h), and PDM (4.8 h) also varied, which likely influenced the final bread volume. As we aimed to evaluate the impact of waxy barley bran on bread quality and to identify the most effective use of this ingredient in bread production, a larger loaf volume was desirable. Therefore, we selected WGM for further experimentation due to its ability to produce the largest loaf volume.
Figure 2.
Images of the overall appearance and cross-sections of bread baked in different heating modes. WGM—whole grain mode; RFM—rice flour mode; LBM—loaf of bread mode; FBM—French bread mode; PDM—pan domi mode. A dough containing 30% inner layer bran was used.
3.3. Effects of Waxy Barley Bran Blend Ratio
3.3.1. Appearance and Color
Figure 3 displays images of the bread cross-sections. The highest bread height was observed in the bread with 10% IBLP replacement group, surpassing that of the control. However, with an increase in IBLP replacement proportions to 30% and 50%, the height decreased. The height of the bread with 30% OBLP replacement group was lower than those in the control, 10%, and 30% IBLP replacement groups but was comparable to that in those with a 50% IBLP replacement group. The color of the bread was comparable in the control and 10% IBLP replacement groups, but it shifted from cream to a slightly brown hue in the other two IBLP replacement groups. Bread with 30% OBLP replacement group exhibited a brown color.
Figure 3.
Comparison of digital camera images, stereomicroscope images and color differences of bread with different waxy barley bran content. The values are presented as means and standard errors (n = 10). Different letters (a–e) indicate significant differences (p < 0.05). IBLP—inner bran layer powder; OBLP—outer bran layer powder.
Cross-sectional observations under a stereomicroscope revealed that the crumb structure of the breads in the control and 10% IBLP replacement groups were finer, characterized by smaller and more uniform bubbles with thinner dough surrounding them. In contrast, the breads in the 30% and 50% IBLP and 30% OBLP replacement groups had an increased number of larger bubbles and a thicker dough around the bubbles.
Color measurements are shown in Figure 3. The highest L* value (lightness) was observed in the control (73.59), with progressively darker shades in the 10% IBLP replacement group (72.22), 30% IBLP replacement group (66.01), 50% IBLP replacement group (59.12), and 30% OBLP replacement group (56.41), respectively. Compared to that in the control group, the L values differed significantly in the 30% and 50% IBLP and 30% OBLP replacement groups (p < 0.05), but not in the 10% IBLP replacement group. Furthermore, no significant difference was observed between the 50% IBLP and 30% OBLP replacement groups.
The a* value (red–green) was the highest and most intense in the 30% OBLP replacement group (5.42). The other replacement groups also showed significantly higher a* values (3.65, 1.12, −0.07 in 50%, 30%, and 10% IBLP, respectively) than the control group (−0.64; p < 0.05).
The b* value (yellow–blue) was highest in the 30% OBLP replacement group (22.71), indicating a strong yellow tone, though this was not significantly different from that in the 50% IBLP replacement group (22.14). The 30% and 10% IBLP replacement groups exhibited significantly higher b* values of 16.92 and 12.67, respectively, than the control group (11.18; p < 0.05).
In powdered form, both IBLP and OBLP were cream-colored. However, when incorporated into bread dough and baked, the crumb color turned brown as the substitution percentage increased. OBLP, in particular, produced a noticeably browner crumb color even with 30% substitution, evidenced by lower L* values and significantly higher a* and b* values. This trend was consistent with the appearance in photographs. Darker colors, typical of whole-grain products, may be less attractive to consumers [25]. Nonetheless, a proportion of 30% IBLP is considered acceptable for the production of whole-grain bread.
IBLP and OBLP contain many polyphenols [26]. Specifically, catechins (14–41 µg/g), the main proanthocyanidins, include the dimeric prodelphinidinB3 (48–106 µg/g) and procyanidinB3 (63–126 µg/g), the trimeric prodelphinidinC2 (40–105 µg/g) and procyanidinC2 (31–81 µg/g) [27]. For example, it has been reported that catechins, when oxidized, produce dark-colored substances such as theaflavins, thearubigins and theabrownins, which turn bread brown [28]. Catechins significantly accelerated the browning of barley water extract and barley paste by heating [29]. Procyanidins cause the red color of rice with added red beans due to oxidation [30]. These polyphenols were thought to be responsible for the reddish and yellowish color and to lower the brightness of the bread with IBLP and PBLP added.
Quinde-Axtell et al. (2004) [31] investigated gels and doughs with different barley types and found that the protein, ash, and total polyphenol contents were negatively correlated with the color tone (L* value) of the dough. Barley varieties lacking proanthocyanidins (PAs) consistently showed higher L* values for dough sheets compared to those containing PA [32]. Furthermore, experiments involving heat-treated barley suggested that polyphenol oxidase (PPO) activity contributed to the darkening of barley-based foods [33].
Both IBLP and OBLP are rich in protein, ash, and TPC [9]. Given that “kirarimochi” barley lacks PA [7], it is unlikely that PA significantly influenced crumb browning. While PPO activity was not analyzed in this study, a previous study [34] reported high PPO activity in whole grains and bran, and it is possible that PPO activity in IBLP and OBLP is also high. Together, these findings suggest that the browning of bread crumbs with IBLP and OBLP substitutions is likely due to their TPC, protein, and ash contents and PPO activity.
3.3.2. Height and Specific Volume
The height and specific volume of the bread samples differed significantly (p < 0.05) among all groups (Figure 4a,b). The highest height was observed in the IBLP 10% replacement group (17.00 cm), followed by the control (14.40 cm), IBLP 30% replacement (13.20 cm), IBLP 50% replacement (9.00 cm), and OBLP 30% replacement (7.30 cm) groups (Figure 4a).
Figure 4.
Height (a) and specific volume (b) of bread with added waxy barley bran. Bars represent the mean ± standard error (n = 3 for height, n = 4 for specific volume). Different letters (a–e) indicate significant differences among the groups (p < 0.05). IBLP—inner bran layer powder; OBLP—outer bran layer powder.
Similarly, the specific volume was the highest in the IBLP 10% replacement group (5.28 cm3/g), followed by the control (4.49 cm3/g), IBLP 30% replacement (3.71 cm3/g), IBLP 50% replacement (2.46 cm3/g), and OBLP 30% replacement (2.12 cm3/g) groups (Figure 4b) (p < 0.05).
Numerous studies have reported that substituting whole grain or barley flour for wheat flour reduces bread volume. For instance, Induck et al. (2011) [14] demonstrated that bread volume decreased with the inclusion of normal and waxy hull-less barley flour compared to wheat flour, with a 10% replacement showing no significant difference from wheat bread, while 20–30% replacements significantly reduced volume. Massimo et al. (2015) [12] reported a 12–17% reduction in bread volume with as little as 5% substitution of wheat flour with external fraction and debranned inner fraction of hull-less barley. The reduction in volume is attributed to the dilution of gluten, weakening the gluten network, and the absorption of water by β-glucan, a soluble fiber in barley, which affects the gluten network and gas cell stability. Gill et al. (2002) [13] also noted that waxy starch binds more water than normal starch, potentially leading to reduced vapor production and a smaller loaf volume. Conversely, some reports suggest that β-glucan can positively influence bread volume. Skendi et al. (2010) [35] demonstrated that adding 0.6% high molar mass β-glucan to wheat flour increased bread-specific volume by 37% compared to the control. Lazaridou et al. (2007) [36] observed that in gluten-free bread, 1% β-glucan increased volume by 22.4%, and 2% β-glucan resulted in an 8% increase. Li et al. (2023) [37] showed that adding 0.1–1.0% β-glucan enhanced gluten solid properties and polymer content, suggesting complex interactions between β-glucan and the gluten network. Mohebbi et al. (2018) [38] suggested that fiber-induced changes in bread quality could not solely be explained by gluten dilution, with variations likely due to the molecular size, solubility, and concentration range of polysaccharides and the type of wheat flour used.
The effect of barley flour particle size has been reported by Taniguchi et al. (2022) [19]; when doughs with high water content, such as batters, were prepared with barley of small particle size, the leaching of β-glucan resulted in low flowability. In cases of low moisture content, such as dough, the effect of particle size on dough is limited. However, IBLP had a smaller particle size, suggesting that leaching of β-glucan may have an impact on flour gluten and crumb formation.
The IBLP and OBLP used in this study contained β-glucan at levels of 4.84 g/100 g and 3.91 g/100 g, respectively [9]. In this study, a 10% IBLP replacement group increased bread-specific volume by 59% compared to the control. The β-glucan content in the 10% IBLP replacement group was 1.21 g, suggesting that β-glucan contributed to maintaining bubbles and enhancing specific volume. However, specific volumes for IBLP 30–50% replacements and OBLP 30% replacement groups were reduced by 18–53% compared to the control. The β-glucan content in these replacement groups ranged from 2.93 to 6.06 g, likely causing either dilution or underdevelopment of the gluten network due to water absorption by β-glucan, leading to differences in specific volume, height, and crumb.
Protein, fatty acid, dietary fiber and ash content were also thought to influence crumb formation. Wheat flour gluten is gliadin/glutenin (about 50:50), whereas barley gluten is mainly hordein/glutelin (about 30:70), and this low hordein ratio is unfavorable for gluten network formation [39]. Liang et al. (2025) [39] report that they experimented with samples with adjusted hordein/glutelin ratios of 25:75, 50:50 and 75:25. The results showed that an increase in hordein ratio (from 25:75 to 50:50) enhanced gluten–starch interactions by promoting gluten network matrix and continuous network formation. On the other hand, excessive hordein ratios (75:25) inhibited protein aggregation behavior and weakened the continuity and stability of the gluten network. The protein ratios of IBLP and OBLP used in this study were also considered to be close to a hordein/glutelin ratio of 30:70. Therefore, as the substitution ratio between IBLP and OBLP increased, the gluten network weakened, possibly affecting specific volume and height.
Fatty acids are associated with changes in the secondary structure of gluten proteins. Namely, when the fatty acid content is high (especially when the content of unsaturated fatty acids is high), antiparallel β-Sheets were formed with hydrogen bonds between molecules [40]. IBLP and OBLP had unsaturated fatty acids, such as Linoleic acid and Alpha-linolenic acid fatty acid, at relatively high levels [9]. However, in the present study, bread height and specific volume decreased when the content of IBLP increased or when OBLP was added. The influence of β-glucan and protein was predominant in crumb formation, and the influence of fatty acids was smaller than other factors.
The dietary fiber in hazelnut testa and ground flaxseed hulls also reduced the volume and overall acceptability [41,42]. Similar to β-glucan, replacing wheat flour with a certain amount of fiber may have disrupted the gluten–starch matrix and limited gas cells [43]. This disruption of the gluten matrix was thought to be due to competition between dietary fiber and the gluten proteins for water, resulting in aggregation of the gluten proteins. The water molecules of the dough interact with the dietary fiber rather than with the polypeptide chains of the protein, resulting in partial dehydration of the gluten matrix. It was thought that the aggregation was thereby caused by the interaction of the polypeptide chains or the interaction of the polypeptide chains with the polysaccharide chains [44,45,46].
With regard to minerals, the formation of gluten networks is weaker at low sodium chloride concentrations [47]. However, it has been reported that the addition of sea salt containing iron, zinc and magnesium does not affect the rheology and volume of the dough [48,49]. In the present study, the effect of ash (wheat flour 0.4 g/100 g, IBLP 2.6 g/100 g and OBLP 4.1 g/100 g) in the samples on the formation of gluten was considered small because of the addition of sodium chloride.
Collectively, these findings suggest that IBLP at 10% can serve as the optimal proportion for improving specific volumes of bread.
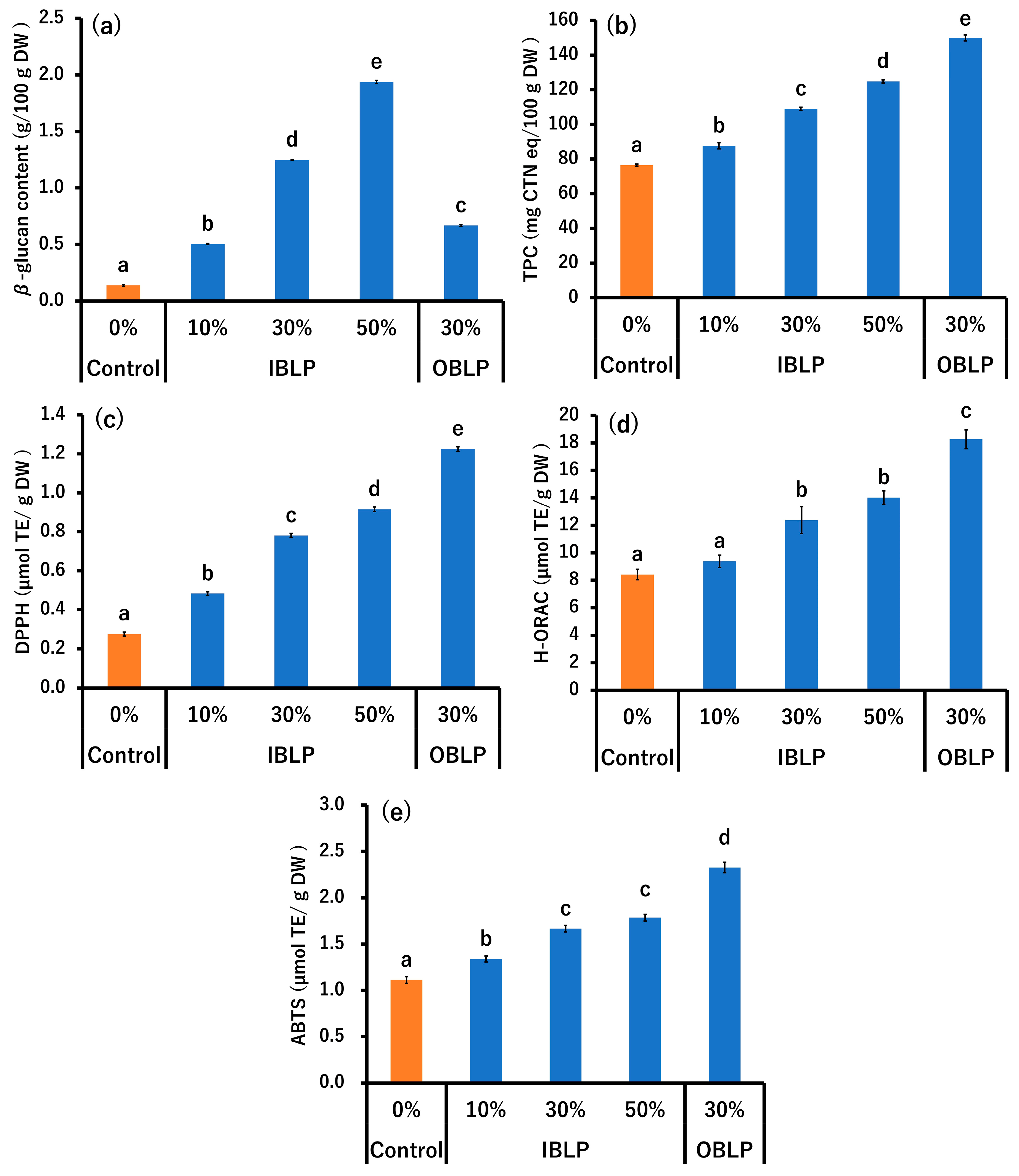
3.3.3. β-Glucan, TPC, and Antioxidant Activity
The results for β-glucan, TPC, and antioxidant properties are shown in Figure 5. The control group had the lowest β-glucan content at 0.14 g/100 g DW. The IBLP (10%, 30%, and 50%) replacement groups had β-glucan contents of 0.50, 1.25, and 1.94 g/100 g DW, respectively. This finding indicated a significant (p < 0.05) increase in β-glucan content with increased IBLP replacement. The 30% OBLP replacement group showed a β-glucan content of 0.67 g/100 g DW.
Figure 5.
Effect of different mixing proportions of waxy barley bran on β-glucan content (a), TPC (b), DPPH (c), H-ORAC (d), and ABTS (e). Bars represent the mean ± standard error (n = 8 for β-glucan, n = 6 for TPC, DPPH, and ABTS, n = 4 for H-ORAC). Different letters (a–e) indicate significant differences (p < 0.05). IBLP—inner bran layer powder; OBLP—outer bran layer powder; TPC—total polyphenol content; CTN eq—catechin equivalent; TE—Trolox equivalent; DW—dry weight.
The TPC content differed significantly (p < 0.05) among the groups, with the 30% OBLP replacement group exhibiting the highest TPC (149.85 mg CTN eq/g DW), followed by 50% IBLP replacement (124.82 mg CTN eq/g DW), 30% IBLP replacement (109.03 mg CTN eq/g DW), 10% IBLP replacement (87.64 mg CTN eq/g DW) and control (76.35 mg CTN eq/g DW) groups, respectively.
The antioxidant activities assessed using the DPPH assay revealed significant differences (p < 0.05) among the groups and a similar pattern of changes between the groups as observed for TPC. Namely, the 30% OBLP replacement group showed the highest antioxidant activity (1.23 µmol TE/g DW), followed by the 50%, 30%, 10% IBLP replacement, and control groups (0.91, 0.78, 0.48, and 0.28 µmol TE/g DW, respectively).
H-ORAC assay also revealed similar results with the following increasing order: control group, 8.41 µmol TE/g DW; 10% IBLP replacement group, 9.37 µmol TE/g DW; 30% IBLP replacement group, 12.37 µmol TE/g DW; 50% IBLP replacement group, 14.02 µmol TE/g DW; 30% OBLP replacement group, 18.27 µmol TE/g DW. No significant differences were found between the control and 10% IBLP replacement group, or between the 30% IBLP replacement group and the 50% replacement group, but the 30% OBLP replacement group showed significantly higher values (p < 0.05).
The ABTS radical scavenging activity was the lowest (p < 0.05) for the control group (1.11 µmol TE/g DW), which increased with increasing proportions of IBLP (1.34, 1.67, and 1.78 µmol TE/g DW, in 10%, 30%, and 50% IBLP replacement groups, respectively), with the highest ABTS value being observed in the 30% OBLP replacement group (2.33 µmol TE/g DW). In summary, the β-glucan contents, TPC, DPPH, H-ORAC, and ABTS values in the IBLP and OBLP replacement groups were 3.62–13.93, 1.15–1.96, 1.74–4.42, 1.11–2.17, and 1.20–2.09 times higher than those in the control group.
β-glucan is abundant in the endosperm of barley [50]. IBLP, which is closer to the endosperm, contained more β-glucan (6.13 g/100 g DW) than OBLP (4.85 g/100 g DW) [9]. Therefore, the increased β-glucan content in IBLP replacement groups compared to OBLP replacement group, even at the same substitution rate, could be attributed to the high β-glucan content of IBLP. The European Food Safety Authority (EFSA) recommends a daily intake of 3 g of β-glucan for maintaining normal blood cholesterol levels [51]. Based on the β-glucan content of IBLP and OBLP, the β-glucan content per serving (70 g) of bread was calculated to be 0.22, 0.64, 1.03, and 0.60 g for the bread with 10%, 30%, and 50% IBLP and 30% OBLP replacement groups, respectively. These amounts contribute 7.4–34.3% of the daily intake requirement, indicating their potential as useful β-glucan sources.
OBLP had higher values for TPC (165.23 mg CTN eq/100 g), H-ORAC (16.68 µmol TE/g), and DPPH (1.26 µmol TE/g) than IBLP (TPC: 221.88 mg CTN eq/100 g, H-ORAC: 39.63 µmol TE/g, DPPH: 4.68 µmol TE/g) [9]. Therefore, the TPC values and antioxidant activities of the 30% OBLP replacement group tended to be higher than the IBLP replacement groups.
Based on the previous values, the TPC and antioxidant activities of the breads with IBLP and OBLP substitutions per piece (70 g) were calculated as follows: 10% IBLP replacement group (TPC: 7.58 mg CTN eq/100 g, H-ORAC: 76.51 µmol TE/g, DPPH: 5.78 µmol TE/g), 30% IBLP replacement group (TPC: 21.88 mg CTN eq/100 g, H-ORAC: 220.86 µmol TE/g, DPPH: 16.68 µmol TE/g), 50% IBLP replacement group (TPC: 35.05 mg CTN eq/100 g, H-ORAC: 355.82 µmol TE/g, DPPH: 26.73 µmol TE/g), and 30% OBLP replacement group (TPC: 27.29 mg CTN eq/100 g, H-ORAC: 487.48 µmol TE/g, DPPH: 57.57 µmol TE/g).
While TPC and antioxidant properties of the wheat flour used for sample preparation were not directly measured, previous studies have demonstrated the retention of these properties in bread [52,53,54]. Naked barley is also rich in 156 phenolic compounds [25]. Barley bran contains the following polyphenols, which contribute to its antioxidant properties: catechins, procyanidins, prodelphinidins, quercetin and ferulic acid [55,56]. Together, these findings demonstrate that the TPC and antioxidant activity is relatively maintained in bread with IBLP and OBLP substitutions, which may contribute to the maintenance and improvement of consumer health.
3.3.4. Textural Properties
The textural properties of the breads obtained with different substitutions are shown in Figure 6. Hardness stress was highest in the bread with 30% OBLP replacement group (11,277.50 Pa), followed by those in bread with 50% IBLP replacement (6777.50 Pa), control group (3060.00 Pa), 30% IBLP replacement (1935.00 Pa), and 10% IBLP replacement (767.50 Pa) groups. Significant differences in hardness stress were observed between the 30% OBLP and 50% IBLP replacement groups compared to that in the control group and between the 30% and 10% IBLP replacement groups (p < 0.05). However, the values were comparable in 30% IBLP, 10% IBLP, and control groups.
Figure 6.
Effect of waxy barley bran on hardness stress (a), cohesiveness (b), and gumminess stress (c) of bread after baking. Bars represent the mean ± standard error (n = 10). Different letters (a–d) indicate significant differences (p < 0.05). IBLP—inner bran layer powder; OBLP—outer bran layer powder.
Cohesiveness was the highest in the 10% IBLP replacement group (0.80), followed by the 30% IBLP (0.73), 30% OBLP (0.70), 50% IBLP replacement (0.68), and control (0.62) groups, with a significant difference observed between the 10% IBLP replacement and control groups (p < 0.05). In contrast, no significant difference in cohesiveness was observed between the other groups.
Gumminess stress was the highest in OBLP 30% replacement group (7894.04 Pa), followed by IBLP 50% replacement (4597.77 Pa), control (1867.46 Pa), IBLP 30% replacement (1412.64 Pa) and IBLP 10% replacement (615.35 Pa) groups. As with cohesiveness, gumminess stress showed no significant difference between the IBLP 30% replacement and control groups or the IBLP 10% replacement group. However, it differed significantly between the OBLP 30% and IBLP 50% replacement groups (p < 0.05).
The IBLP 10% replacement group exhibited the lowest hardness and gumminess stress, indicating a softer texture. Conversely, the IBLP 50% and OBLP 30% replacement groups demonstrated higher hardness and gumminess stresses, indicating a firmer texture. These textural characteristics align with the observations of the bread’s appearance, height, and specific volume. The breads in the 10% IBLP replacement group exhibited softer crumbs, likely due to thinner crumb walls surrounding the air spaces and a higher specific volume. In contrast, those in the IBLP 50% and OBLP 30% replacement groups had thicker crumb walls and denser crumb tissue, contributing to a harder texture (Figure 3). This increased hardness may be attributed to the denser crumb structure [57].
Bleis et al. (2015) [58] also reported that the increase in crumb stiffness is mainly due to the increase in density caused by the addition of bran and that density during fermentation is improved by the addition of gluten. This may be due to bran particles destabilizing the bubble interface of the fermented dough, promoting bubble coalescence and collapsing the dough [58].
Other possible influences included β-glucan and polyphenols. Mei et al. (2024) [59] reported that when oat β-glucan (OβG) and tea polyphenols (TPs) were at low concentrations (OβG: 1 g/100 g, TP: 0.5 g/100 g), the extensibility of the bread dough was higher, while at high concentrations (OβG: 5 g/100 g, TP: 2 g/100 g), the opposite was found. The high extensibility of dough is suitable for making soft-textured products [60]. The reason why the extensibility of dough decreases when the content of β-glucan is high is thought to be due to the high viscosity of β-glucan [61]. Furthermore, at appropriate concentrations, TP binds to proteins through non-covalent forces such as hydrogen bonds with amino, hydroxyl, and carboxyl groups of proteins, strengthening the gluten network [62]. On the other hand, excessive TP concentration may reduce disulfide bonds and disrupt the network [63,64]. The TPC and β-glucan in the 10% IBLP replacement used in this study were 16.52 mg CTN eq/100 g and 0.613 g CTN eq/100 g, respectively, lower concentrations than Mei et al. (2024) [59]. Although simple comparisons cannot be made due to the different types of polyphenols and β-glucans contained, it is possible that similar effects are occurring. From the above, a 10% replacement of wheat flour with IBLP is recommended for achieving the softest bread texture and can serve as a texture improver.
3.3.5. Sensory Evaluation
The sensory evaluation results are illustrated in Figure 7. Higher values in the graph correspond to stronger or more favorable bread characteristics. The IBLP 50% replacement group had the highest color (1.76), followed by the IBLP 30% replacement (0.82), the control (−0.35), and the IBLP 10% replacement (−0.35) groups, indicating darker colors (p < 0.05). This result aligns with the observed color tone (Figure 3).
Figure 7.
Effect of the addition of waxy barley bran on the sensory evaluation of bread. Bars represent the mean ± standard error (n = 17). Different letters (a–c) indicate significant differences (p < 0.05). IBLP—inner bran layer powder. The * in the upper right-hand corner of the item name denotes the identification tests and ** denotes the preference test. OBLP replacement groups were excluded from the sensory evaluation.
The bread in the IBLP 10% replacement group had the highest visual appearance rating (1.12), followed by those in the control (0.82), IBLP 30% replacement (0.41), and IBLP 50% replacement (−0.18) groups, respectively. Overall, the control and IBLP 10% replacement groups were significantly preferred over the IBLP 50% replacement group (p < 0.05). On the other hand, the 50% IBLP replacement fraction was significantly darker in color and was not preferred. Whole grain products are less acceptable to consumers due to their dark color [65]. Similar results were obtained in the present study.
The IBLP 50% replacement group had the strongest smell (1.47), followed by the IBLP 30% replacement (0.29), control (−0.29), and IBLP 10% replacement (−0.41) groups, respectively. The bread in the IBLP 50% replacement group was significantly more aromatic than those in the other groups (p < 0.05). Flavor preference was highest for the IBLP 10% replacement group (0.65), followed by the IBLP 30% replacement group (0.41), control (0.29), and IBLP 50% replacement (0.35) groups, respectively. No significant differences in flavor preference were observed among the groups. The flavor of wheat bread is formed during fermentation and baking, during which non-volatile compounds such as phenolic compounds, amino acids, fatty acids, etc., can act as flavor-active compounds [66]. In addition, enzymatic and chemical reactions may lead to hydrolysis of lipids and subsequent oxidation of fatty acids, resulting in off-flavor [24].
Softness was rated highest for the IBLP 10% replacement group (0.59), followed by the control (0.53), IBLP 30% replacement (−0.18), and IBLP 50% replacement (−0.18) groups, respectively. No significant differences in softness among the groups were noted.
The bread in the IBLP 50% replacement group were rated as the moistest (1.53), followed by those in the IBLP 10% replacement (0.41), IBLP 30% replacement (0.18), and control (0.06) groups, respectively. The breads in the IBLP 50% replacement group were significantly moister than those in the other groups (p < 0.05). Bread in the IBLP 50% replacement group also had the highest stickiness (1.41), followed by those in the control (0.06), IBLP 10% replacement (0.06), and IBLP 30% replacement (−0.18) groups, respectively. Breads in the IBLP 50% replacement group were significantly stickier than those in the other groups (p < 0.05). The control bread was preferred for texture (0.76), followed by those with 10% IBLP (0.53), 50% IBLP (0.41), and 30% IBLP replacement groups (0.35). No significant differences in texture preference were found. Morita et al. (2002) [67] reported that bread preparation with waxy wheat flour improved the softness and glutinous texture of the crumbs and reduced starch degradation. This is because waxy wheat flour inhibits the formation of insoluble networks of starch during cooling and improves the resistance of gelled starch to retrogradation. The IBLP used in this study, which is also glutinous barley, was thought to have acted in a similar way. Japanese people tend to prefer soft and sticky textures and IBLPs are suitable for creating bread products with a desirable texture for consumers.
The control bread was also rated most favorable for taste (0.65), followed by those with 50% IBLP (0.59), 30% IBLP (0.47), and 10% IBLP (0.44) replacement groups, respectively. However, no significant differences in taste preference among the groups were noted. Bread with 10% IBLP replacement group received the highest overall evaluation (1.06), followed by those with control (0.69), 30% IBLP (0.50), and 50% IBLP (0.38) replacement groups, respectively. However, the differences among the groups were not statistically significant. A.K. Holtekjølen et al. (2008) [68] reported that the bread with the highest phenolic content had the highest bitter and different taste scores, and considered the phenolic acids responsible for the bitter and astringent taste. It has also been reported that the Maillard reaction may be catalyzed by the presence of phenols in wheat and that the low-molecular-weight peptides produced by the reaction are responsible for the bitter taste [69]. Whole grains and bran have these bitter and astringent tastes, which are difficult for consumers to accept. However, the IBLP used in this study was considered to have a small barrier in such taste perception. In summary, the breads in the control and the IBLP 10% replacement group were significantly preferred for visual appearance, aligning with their closer resemblance to traditional bread color.
In terms of smell intensity, the IBLP 50% replacement group was rated as having a stronger smell, but no significant difference was observed in flavor preference, suggesting that the IBLP flavor was acceptable. Wholegrain and barley bran are said to be a limiting factor in consumption due to their distinctive smell [24]. Although the bread with 50% IBLP replacement had a stronger smell and higher moistness and stickiness, its flavor or overall texture preference did not differ from those of bread in other groups. These findings suggest that IBLP at up to 50% replacement can be acceptable in bread, potentially improving health functionality and texture depending on the quality of wheat and whole grain flour used. Sullivan et al. (2010) [70] also noted that bread containing up to 50% barley flour could be commercially viable and well accepted, reinforcing the feasibility of using IBLP in bread formulations.
Nevertheless, this study has some limitations. First, this study utilized a fully automatic bakery system and adhered to the manufacturer’s guidelines for material ratios, which complicates direct comparison with results from other studies. Bieniek et al. (2023) [71] highlighted that adjustments for increased water absorption due to the addition of non-starch polysaccharides are necessary, a consideration not addressed in this study. In addition, the properties of flours and doughs have an influence on the physical properties of the final product. Renzetti et al. (2021) [72] reported that the interaction between the water-binding properties of bran and the plasticizing properties (cohesion and elasticity) of the dough affect the volume and texture of the bread. In addition, the determination of Damaged Starch and Pasting Properties of flour is one of the indicators to determine the water absorption of dough, the change in viscosity of the mixture and the mixing properties. For doughs, the effectiveness as a dough improver, protein quality, starch quality can also be measured under standardized conditions by measuring parameters using AACC Approved Methods of Analysis such as Farinograph, Alveograph Method, Mixograph Method, etc. [73]. Also, the dynamic viscoelasticity of dough can be measured to track its structural properties and effectively predict its behavior during processing and the final product [74]. Other measurements, such as the composition and detailed amount of protein, the degree of SS and SH binding, and thermodynamic properties such as DSC, can also help to understand the impact on bread quality [19,37]. In this study, the main focus was on evaluating the performance of the final product and not on measuring the properties of the flour and dough. It is necessary to understand the properties of flour and dough in the future in order to make better products.
Second, the limited availability of wholegrain flours poses a challenge to their increased consumption [75]. Future investigations should explore the incorporation of waxy barley bran into various processed foods beyond bread and identify more effective utilization methods. Such efforts could expand product options containing waxy barley bran, enhance consumer accessibility, and contribute to improved nutrition and health outcomes.
4. Conclusions
In this study, wheat flour was partially replaced with IBLP and OBLP to produce bread. The bread made with a 10% IBLP substitution exhibited significantly greater height and specific volume, as well as improved softness compared to the control. Sensory evaluation revealed similar acceptability of bread with 10% IBLP and those without any replacements (control). The findings suggest that IBLP effectively enhances specific volume and texture, which are crucial for bread quality. Therefore, a substitution ratio of approximately 10% IBLP is recommended for improving the specific volume and softness of bread while maintaining a quality comparable to that of the control bread, with the added benefits of increased β-glucan content and antioxidant properties.
In contrast, although bread with 30% and 50% IBLP replacement groups were brown in color with low specific volume, they exhibited elevated β-glucan content and antioxidant activity. Sensory evaluation indicated a stronger smell, increased moistness, and enhanced consistency for these breads with no significant differences in the overall evaluation. These findings suggest that to enhance β-glucan content and antioxidant activity or achieve specific textures such as increased moistness and stickiness, incorporating IBLP up to about 50% could be beneficial.
The results of the present study revealed differences in the impact of IBLP and OBLP on bread. These data provided insight into the effective use of waxy barley bran that has been discarded. The sustainable use of agricultural food waste and by-products to produce value-added products provides an opportunity to generate additional income for the dependent industry sector. The waxy barley bran used in this study and the details of the polyphenol types were not analyzed. In addition, only limited consideration has been given to the effect of β-glucan on dough and how it relates to palatability. Measuring the general composition of bread after baking also provides important data for consumers in making food choices. In the future, we would like to clarify these details and link them to applications in other bakery products.
Author Contributions
Conceptualization, T.F. and Y.T.; methodology, T.F. and Y.T.; validation, T.F. and A.U.; formal analysis, T.F. and A.U.; investigation, T.F. and A.U.; resources, T.F. and Y.T.; data curation, T.F. and Y.T.; writing—original draft preparation, T.F.; writing—review and editing, T.F and Y.T.; visualization, T.F and A.U.; supervision, Y.T.; projected-ministration, Y.T.; funding acquisition, T.F and Y.T. All authors have read and agreed to the published version of the manuscript.
Funding
This study was funded by the “Charitable Trust Fund for Home Economics Research” and “KAKENHI, Grant-in-Aid for Scientific Research (B) (21H00808)”, Ministry of Education, Science, and Culture of Japan.
Institutional Review Board Statement
The study was conducted in accordance with the Declaration of Helsinki, and approved by the Institutional Ethics Committee of the Faculty of Human Sciences of Shimane University (Approval No. 2023-11, Approval date: 29 January 2024).
Informed Consent Statement
Informed consent was obtained from all subjects involved in the study.
Data Availability Statement
The data presented in this study are available on request from the corresponding author.
Acknowledgments
We would like to thank Magokoronojo Hirose Agricultural Union Corp. for providing the experimental material used in this study. We also thank Sae Kumagai and Michiko Hirose for providing technical assistance and the sensory panelists who took part in the sensory evaluation.
Conflicts of Interest
The authors declare no conflicts of interest.
References
- Behall, K.M.; Scholfield, D.J.; Hallfrisch, J. Lipids significantly reduced by diets containing barley in moderately hypercholesterolemic men. J. Am. Nutr. Assoc. 2004, 23, 55–62. [Google Scholar] [CrossRef]
- King, R.; Noakes, M.; Bird, A.; Morell, M.; Topping, D. An extruded breakfast cereal made from a high amylose barley cultivar has a low glycemic index and lower plasma insulin response than one made from a standard barley. J. Cereal Sci. 2008, 48, 526–530. [Google Scholar] [CrossRef]
- Tamagawa, K.; Iizuka, S.; Fukushima, S.; Endo, Y.; Komiyama, Y. Antioxidative activity of polyphenol extracts from barley bran. J. Jpn. Soc. Food Sci. 1997, 44, 512–515. [Google Scholar] [CrossRef][Green Version]
- de Graaff, P.; Govers, C.; Wichers, H.J.; Debets, R. Consumption of β-glucans to spice up T cell treatment of tumors: A review. Expert. Opin. Biol. Ther. 2018, 18, 1023–1040. [Google Scholar] [CrossRef] [PubMed]
- Hong, F.; Yan, J.; Baran, J.T.; Allendorf, D.J.; Hansen, R.D.; Ostroff, G.R.; Xing, P.X.; Cheung, N.-K.V.; Ross, G.D. Mechanism by which orally administered β-1, 3-glucans enhance the tumoricidal activity of antitumor monoclonal antibodies in murine tumor models. J. Immun. 2004, 173, 797–806. [Google Scholar] [CrossRef] [PubMed]
- Ullrich, S.; Clancy, J.; Eslick, R.; Lance, R. β-Glucan content and viscosity of extracts from waxy barley. J. Cereal Sci. 1986, 4, 279–285. [Google Scholar] [CrossRef]
- Yanagisawa, T.; Nagamine, T.; Takahashi, A.; Takayama, T.; Doi, Y.; Matsunaka, H.; Fujita, M. Breeding of Kirari-mochi: A new two-rowed waxy hull-less barley cultivar with superior quality characteristics. Breed. Sci. 2011, 61, 307–310. [Google Scholar] [CrossRef]
- Tonooka, T. Breeding of Waxy Barley Cultivars in the National Barley Breeding Program of Japan. Jpn. Agric. Res. Q. JARQ 2023, 57, 251–259. [Google Scholar] [CrossRef]
- Furuichi, T.; Abe, D.; Uchikawa, T.; Nagasaki, T.; Kanou, M.; Kasuga, J.; Matsumoto, S.; Tsurunaga, Y. Comparison of Nutritional Composition and Antioxidant Properties of Pulverized and Unutilized Portions of Waxy Barley. Foods 2023, 12, 2639. [Google Scholar] [CrossRef] [PubMed]
- Izydorczyk, M.; Lagasse, S.; Hatcher, D.; Dexter, J.; Rossnagel, B. The enrichment of Asian noodles with fiber-rich fractions derived from roller milling of hull-less barley. J. Sci. Food Agric. 2005, 85, 2094–2104. [Google Scholar] [CrossRef]
- Sudha, M.; Vetrimani, R.; Leelavathi, K. Influence of fibre from different cereals on the rheological characteristics of wheat flour dough and on biscuit quality. Food Chem. 2007, 100, 1365–1370. [Google Scholar] [CrossRef]
- Blandino, M.; Locatelli, M.; Gazzola, A.; Coïsson, J.D.; Giacosa, S.; Travaglia, F.; Bordiga, M.; Reyneri, A.; Rolle, L.; Arlorio, M. Hull-less barley pearling fractions: Nutritional properties and their effect on the functional and technological quality in bread-making. J. Cereal Sci. 2015, 65, 48–56. [Google Scholar] [CrossRef]
- Gill, S.; Vasanthan, T.; Ooraikul, B.; Rossnagel, B. Wheat bread quality as influenced by the substitution of waxy and regular barley flours in their native and extruded forms. J. Cereal Sci. 2002, 36, 219–237. [Google Scholar] [CrossRef]
- Choi, I.; Lee, M.-J.; Choi, J.-S.; Hyun, J.-N.; Park, K.-H.; Kim, K.-J. Bread quality by substituting normal and waxy hull-less barley (Hordeum vulgare L.) flours. Food Sci. Biotechnol. 2011, 20, 671–678. [Google Scholar] [CrossRef]
- Gong, L.; Jin, C.; Wu, L.; Wu, X.; Zhang, Y. Tibetan Hull-less Barley (Hordeum vulgare L.) as a Potential Source of Antioxidants. Cereal Chem. 2012, 89, 290–295. [Google Scholar] [CrossRef]
- Djurle, S.; Andersson, A.A.; Andersson, R. Effects of baking on dietary fibre, with emphasis on β-glucan and resistant starch, in barley breads. J. Cereal Sci. 2018, 79, 449–455. [Google Scholar] [CrossRef]
- Škrbić, B.; Milovac, S.; Dodig, D.; Filipčev, B. Effects of hull-less barley flour and flakes on bread nutritional composition and sensory properties. Food Chem. 2009, 115, 982–988. [Google Scholar] [CrossRef]
- Barrera, G.; Calderón-Domínguez, G.; Chanona-Pérez, J.; Gutiérrez-López, G.; León, A.; Ribotta, P. Evaluation of the mechanical damage on wheat starch granules by SEM, ESEM, AFM and texture image analysis. Carbohydr. Polym. 2013, 98, 1449–1457. [Google Scholar] [CrossRef]
- Taniguchi, A.; Miura, M.; Ikeda, T.; Kaneko, S.; Kobayashi, R. Factors affecting rheological properties of barley flour-derived batter and dough examined from particle properties. Food Hydrocoll. 2022, 129, 107645. [Google Scholar] [CrossRef]
- Katsube, T.; Tabata, H.; Ohta, Y.; Yamasaki, Y.; Anuurad, E.; Shiwaku, K.; Yamane, Y. Screening for antioxidant activity in edible plant products: Comparison of low-density lipoprotein oxidation assay, DPPH radical scavenging assay, and Folin− Ciocalteu assay. J. Agric. Food Chem. 2004, 52, 2391–2396. [Google Scholar] [CrossRef] [PubMed]
- Watanabe, J.; Oki, T.; Takebayashi, J.; Yamasaki, K.; Takano-Ishikawa, Y.; Hino, A.; Yasui, A. Method validation by interlaboratory studies of improved hydrophilic oxygen radical absorbance capacity methods for the determination of antioxidant capacities of antioxidant solutions and food extracts. Anal. Sci. 2012, 28, 159–165. [Google Scholar] [CrossRef]
- Nakamura, S.; Ohtsubo, K.I. Improvement of palatability and inhibition of abrupt increase in postprandial blood glucose level by the boiled rice after soaking with functional food ingredients. J. Appl. Glycosci. 2015, 62, 53–63. [Google Scholar] [CrossRef]
- Aimone, C.; Grillo, G.; Boffa, L.; Giovando, S.; Cravotto, G. Tannin extraction from chestnut wood waste: From lab scale to semi-industrial plant. Appl. Sci. 2023, 13, 2494. [Google Scholar] [CrossRef]
- Kinner, M.; Nitschko, S.; Sommeregger, J.; Petrasch, A.; Linsberger-Martin, G.; Grausgruber, H.; Berghofer, E.; Siebenhandl-Ehn, S. Naked barley-Optimized recipe for pure barley bread with sufficient beta-glucan according to the EFSA health claims. J. Cereal Sci. 2011, 53, 225–230. [Google Scholar] [CrossRef] [PubMed]
- Heiniö, R.-L.; Noort, M.; Katina, K.; Alam, S.A.; Sozer, N.; De Kock, H.L.; Hersleth, M.; Poutanen, K. Sensory characteristics of wholegrain and bran-rich cereal foods—A review. Trends Food Sci. Technol. 2016, 47, 25–38. [Google Scholar] [CrossRef]
- Ge, X.; Jing, L.; Zhao, K.; Su, C.; Zhang, B.; Zhang, Q.; Han, L.; Yu, X.; Li, W. The phenolic compounds profile, quantitative analysis and antioxidant activity of four naked barley grains with different color. Food Chem. 2021, 335, 127655. [Google Scholar] [CrossRef] [PubMed]
- Holtekjolen, A.; Kinitz, C.; Knutsen, S. Flavanol and bound phenolic acid contents in different barley varieties. J. Agric. Food. Chem. 2006, 54, 2253–2260. [Google Scholar] [CrossRef] [PubMed]
- Ning, J.; Hou, G.; Sun, J.; Wan, X.; Dubat, A. Effect of green tea powder on the quality attributes and antioxidant activity of whole-wheat flour pan bread. LWT Food Sci Technol. 2017, 79, 342–348. [Google Scholar] [CrossRef]
- Kohyama, N.; Fujita, M.; Ono, H.; Ohnishi-Kameyama, M.; Matsunaka, H.; Takayama, T.; Murata, M. Effects of Phenolic Compounds on the Browning of Cooked Barley. J. Agric. Food. Chem. 2009, 57, 6402–6407. [Google Scholar] [CrossRef] [PubMed]
- Morina, F.; Hirota, S.; Takahama, U. Contribution of amylose-procyanidin complexes to slower starch digestion of red-colored rice prepared by cooking with adzuki bean. Int. J. Food Sci. Nutr. 2020, 71, 715–725. [Google Scholar] [CrossRef] [PubMed]
- Quinde, Z.; Ullrich, S.; Baik, B.K. Genotypic variation in color and discoloration potential of barley-based food products. Cereal Chem. 2004, 81, 752–758. [Google Scholar] [CrossRef]
- Quinde-Axtell, Z.; Ullrich, S.; Baik, B.K. Genotypic and environmental effects on color and discoloration potential of barley in food products. Cereal Chem. 2005, 82, 711–716. [Google Scholar] [CrossRef]
- Quinde-Axtell, Z.; Powers, J.; Baik, B.K. Retardation of discoloration in barley flour gel and dough. Cereal Chem. 2006, 83, 385–390. [Google Scholar] [CrossRef]
- Sharma, P.; Gujral, H.S. Antioxidant and polyphenol oxidase activity of germinated barley and its milling fractions. Food Chem. 2010, 120, 673–678. [Google Scholar] [CrossRef]
- Skendi, A.; Biliaderis, C.; Papageorgiou, M.; Izydorczyk, M. Effects of two barley β-glucan isolates on wheat flour dough and bread properties. Food Chem. 2010, 119, 1159–1167. [Google Scholar] [CrossRef]
- Lazaridou, A.; Duta, D.; Papageorgiou, M.; Belc, N.; Biliaderis, C.G. Effects of hydrocolloids on dough rheology and bread quality parameters in gluten-free formulations. J. Food Eng. 2007, 79, 1033–1047. [Google Scholar] [CrossRef]
- Li, Z.; Gao, W.; Liang, J.; Fan, H.; Yang, Y.; Suo, B.; Ai, Z. Mechanism underlying the weakening effect of β-glucan on the gluten system. Food Chem. 2023, 420, 136002. [Google Scholar] [CrossRef]
- Mohebbi, Z.; Homayouni, A.; Azizi, M.H.; Hosseini, S.J. Effects of beta-glucan and resistant starch on wheat dough and prebiotic bread properties. J. Food Sci. Technol. 2018, 55, 101–110. [Google Scholar] [CrossRef]
- Liang, W.; Liu, X.; Wang, H.; Zhang, H.; Li, W.; Shen, H. Comparison of different colored barley hordein/glutelin techno-functional and its ratio modulation on the improvement of reconstituted dough’s dynamic thermal processing behavior: A mechanistic investigation. Food Hydrocoll. 2025, 159, 110651. [Google Scholar] [CrossRef]
- Ruminska, W.; Szymanska-Chargot, M.; Wiacek, D.; Sobota, A.; Markiewicz, K.; Wilczewska, A.; Mis, A.; Nawrocka, A. FT-Raman and FT-IR studies of the gluten structure as a result of model dough supplementation with chosen oil pomaces. J. Cereal Sci. 2020, 93, 102961. [Google Scholar] [CrossRef]
- Anil, M. Using of hazelnut testa as a source of dietary fiber in breadmaking. J. Food Eng. 2007, 80, 61–67. [Google Scholar] [CrossRef]
- Seczyk, L.; Swieca, M.; Dziki, D.; Anders, A.; Gawlik-Dziki, U. Antioxidant, nutritional and functional characteristics of wheat bread enriched with ground flaxseed hulls. Food Chem. 2017, 214, 32–38. [Google Scholar] [CrossRef]
- Rosell, C.; Santos, E.; Collar, C. Mixing properties of fibre-enriched wheat bread doughs: A response surface methodology study. Eur Food Res Technol. 2006, 223, 333–340. [Google Scholar] [CrossRef]
- Nawrocka, A.; Mis, A.; Niewiadomski, Z. Dehydration of gluten matrix as a result of dietary fibre addition—A study on model flour with application of FT-IR spectroscopy. J. Cereal Sci. 2017, 74, 86–94. [Google Scholar] [CrossRef]
- Nawrocka, A.; Krekora, M.; Niewiadomski, Z.; Mis, A. Characteristics of the chemical processes induced by celluloses in the model and gluten dough studied with application of FTIR spectroscopy. Food Hydrocoll. 2018, 85, 176–184. [Google Scholar] [CrossRef]
- Nawrocka, A.; Krekora, M.; Niewiadomski, Z.; Mis, A. FTIR studies of gluten matrix dehydration after fibre polysaccharide addition. Food Chem. 2018, 252, 198–206. [Google Scholar] [CrossRef]
- Avramenko, N.; Tyler, R.; Scanlon, M.; Hucl, P.; Nickerson, M. The chemistry of bread making: The role of salt to ensure optimal functionality of its constituents. Food Rev. Int. 2018, 34, 204–225. [Google Scholar] [CrossRef]
- Akhtar, S.; Anjum, F.; Rehman, S.U.; Sheikh, M. Effect of Mineral Fortification on Rheological Properties of Whole Wheat Flour. J. Texture Stud. 2009, 40, 51–65. [Google Scholar] [CrossRef]
- Simsek, S.; Martinez, M. Quality of Dough and Bread Prepared with Sea Salt or Sodium Chloride. J. Food Process Eng. 2016, 39, 44–52. [Google Scholar] [CrossRef]
- Langenaeken, N.A.; Ieven, P.; Hedlund, E.G.; Kyomugasho, C.; Van de Walle, D.; Dewettinck, K.; Van Loey, A.M.; Roeffaers, M.B.; Courtin, C.M. Arabinoxylan, β-glucan and pectin in barley and malt endosperm cell walls: A microstructure study using CLSM and cryo-SEM. Plant J. 2020, 103, 1477–1489. [Google Scholar] [CrossRef] [PubMed]
- EFSA Panel on Dietetic Products, Nutrition and Allergies (NDA). Scientific Opinion on the substantiation of health claims related to beta glucans and maintenance of normal blood cholesterol concentrations (ID 754, 755, 757, 801, 1465, 2934) and maintenance or achievement of a normal body weight (ID 820, 823) pursuant to Article 13 (1) of Regulation (EC) No 1924/2006. EFSA J. 2009, 7, 1254. [Google Scholar]
- Gelinas, P.; McKinnon, C.M. Effect of wheat variety, farming site, and bread-baking on total phenolics. Int. J. Food Sci. 2006, 41, 329–332. [Google Scholar] [CrossRef]
- Lin, S.; Jin, X.; Gao, J.; Qiu, Z.; Ying, J.; Wang, Y.; Dong, Z.; Zhou, W. Impact of wheat bran micronization on dough properties and bread quality: Part I–Bran functionality and dough properties. Food Chem. 2021, 353, 129407. [Google Scholar] [CrossRef] [PubMed]
- Seo, Y.; Moon, Y.; Kweon, M. Effect of purple-colored wheat bran addition on quality and antioxidant property of bread and optimization of bread-making conditions. Appl. Sci. 2021, 11, 4034. [Google Scholar] [CrossRef]
- Gangopadhyay, N.; Harrison, S.M.; Brunton, N.P.; Hidalgo-Ruiz, J.L.; Gallagher, E.; Rai, D.K. Brans of the roller-milled barley fractions rich in polyphenols and health-promoting lipophilic molecules. J. Cereal Sci. 2018, 83, 213–221. [Google Scholar] [CrossRef]
- Gangopadhyay, N.; Rai, D.K.; Brunton, N.P.; Gallagher, E.; Hossain, M.B. Antioxidant-guided isolation and mass spectrometric identification of the major polyphenols in barley (Hordeum vulgare) grain. Food Chem. 2016, 210, 212–220. [Google Scholar] [CrossRef]
- Rosell, C.M.; Rojas, J.A.; De Barber, C.B. Influence of hydrocolloids on dough rheology and bread quality. Food Hydrocoll. 2001, 15, 75–81. [Google Scholar] [CrossRef]
- Le Bleis, F.; Chaunier, L.; Chiron, H.; Della Valle, G.; Saulnier, L. Rheological properties of wheat flour dough and French bread enriched with wheat bran. J. Cereal Sci. 2015, 65, 167–174. [Google Scholar] [CrossRef]
- Mei, Z.; Wang, W.; Feng, X.; Liu, M.; Peng, S.; Chen, L.; Chen, H.; Lin, S. Effect of soluble oat (β-glucan and tea polyphenols on the rheological properties and microstructure of wheat dough. LWT Food Sci. Technol. 2024, 198, 116004. [Google Scholar] [CrossRef]
- Han, C.; Ma, M.; Zhang, H.; Li, M.; Sun, Q. Progressive study of the effect of superfine green tea, soluble tea, and tea polyphenols on the physico-chemical and structural properties of wheat gluten in noodle system. Food Chem. 2020, 308, 125676. [Google Scholar] [CrossRef] [PubMed]
- Londono, D.; Gilissen, L.; Visser, R.; Smulders, M.; Hamer, R. Understanding the role of oat β-glucan in oat-based dough systems. J. Cereal Sci. 2015, 62, 1–7. [Google Scholar] [CrossRef]
- Xu, J.; Wang, W.; Li, Y. Dough properties, bread quality, and associated interactions with added phenolic compounds: A review. J. Funct. Foods 2019, 52, 629–639. [Google Scholar] [CrossRef]
- Qin, W.; Pi, J.; Zhang, G. The interaction between tea polyphenols and wheat gluten in dough formation and bread making. Food Funct. 2022, 13, 12827–12835. [Google Scholar] [CrossRef] [PubMed]
- Zhang, L.; Cheng, L.; Jiang, L.; Wang, Y.; Yang, G.; He, G. Effects of tannic acid on gluten protein structure, dough properties and bread quality of Chinese wheat. J. Sci. Food Agric. 2010, 90, 2462–2468. [Google Scholar] [CrossRef]
- Sozer, N.; Dalgiç, A.; Kaya, A. Thermal, textural and cooking properties of spaghetti enriched with resistant starch. J. Food Eng. 2007, 81, 476–484. [Google Scholar] [CrossRef]
- Heiniö, R.; Liukkonen, K.; Myllymäki, O.; Pihlava, J.; Adlercreutz, H.; Heinonen, S.; Poutanen, K. Quantities of phenolic compounds and their impacts on the perceived flavour attributes of rye grain. J. Cereal Sci. 2008, 47, 566–575. [Google Scholar] [CrossRef]
- Morita, N.; Maeda, T.; Miyazaki, M.; Yamamori, M.; Miura, H.; Ohtsuka, I. Effect of substitution of waxy-wheat flour for common flour on dough and baking properties. Food Sci. Technol. Res. 2002, 8, 119–124. [Google Scholar] [CrossRef]
- Holtekjolen, A.K.; Baevre, A.B.; Rodbotten, M.; Berg, H.; Knutsen, S.H. Antioxidant properties and sensory profiles of breads containing barley flour. Food Chem. 2008, 110, 414–421. [Google Scholar] [CrossRef]
- Jiang, D.; Peterson, D. Identification of bitter compounds in whole wheat bread. Food Chem. 2013, 141, 1345–1353. [Google Scholar] [CrossRef] [PubMed]
- Sullivan, P.; O’Flaherty, J.; Brunton, N.; Arendt, E.; Gallagher, E. Fundamental rheological and textural properties of doughs and breads produced from milled pearled barley flour. Eur. Food Res. Technol. 2010, 231, 441–453. [Google Scholar] [CrossRef]
- Bieniek, A.; Buksa, K. Properties and Functionality of Cereal Non-Starch Polysaccharides in Breadmaking. Appl. Sci. 2023, 13, 2282. [Google Scholar] [CrossRef]
- Renzetti, S.; Theunissen, M.; Horrevorts, K. A Systematic Comparison of the Intrinsic Properties of Wheat and Oat Bran Fractions and Their Effects on Dough and Bread Properties: Elucidation of Chemical Mechanisms, Water Binding, and Steric Hindrance. Foods 2021, 10, 2311. [Google Scholar] [CrossRef] [PubMed]
- Cereals & Grains Association. AACC Approved Methods of Analysis, 11th Edition. Available online: https://www.cerealsgrains.org/Pages/default.aspx (accessed on 12 November 2024).
- Wang, C.; Yang, Z.; Xing, J.; Guo, X.; Zhu, K. Effects of insoluble dietary fiber and ferulic acid on the rheological properties of dough. Food Hydrocoll. 2021, 121, 107008. [Google Scholar] [CrossRef]
- Smith, A.; Kuznesof, S.; Richardson, D.; Seal, C. Behavioural, attitudinal and dietary responses to the consumption of wholegrain foods. Proc. Nutr. Soc. 2003, 62, 455–467. [Google Scholar] [CrossRef] [PubMed]
Disclaimer/Publisher’s Note: The statements, opinions and data contained in all publications are solely those of the individual author(s) and contributor(s) and not of MDPI and/or the editor(s). MDPI and/or the editor(s) disclaim responsibility for any injury to people or property resulting from any ideas, methods, instructions or products referred to in the content. |
© 2024 by the authors. Licensee MDPI, Basel, Switzerland. This article is an open access article distributed under the terms and conditions of the Creative Commons Attribution (CC BY) license (https://creativecommons.org/licenses/by/4.0/).






