Annealing Process-Induced Microstructural Variation in NiV/B4C Multilayers
Abstract
1. Introduction
2. Materials and Methods
3. Results and Discussion
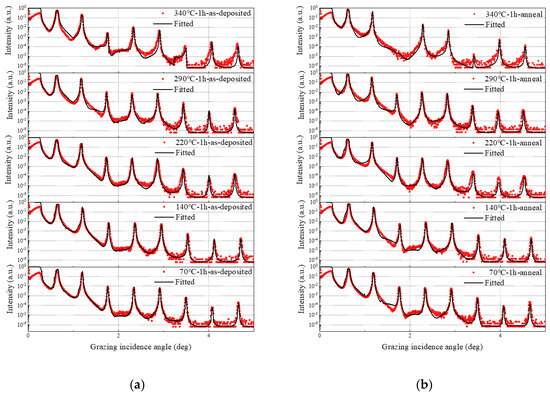
3.1. Grazing-Incidence X-Ray Reflectometry Analysis (Different Annealing Temperatures)
3.2. Grazing-Incidence X-Ray Reflectometry Analysis (Different Annealing Times)
3.3. X-Ray Scattering Analysis
3.4. X-Ray Diffraction Analysis
3.5. Atomic Force Microscope Analysis
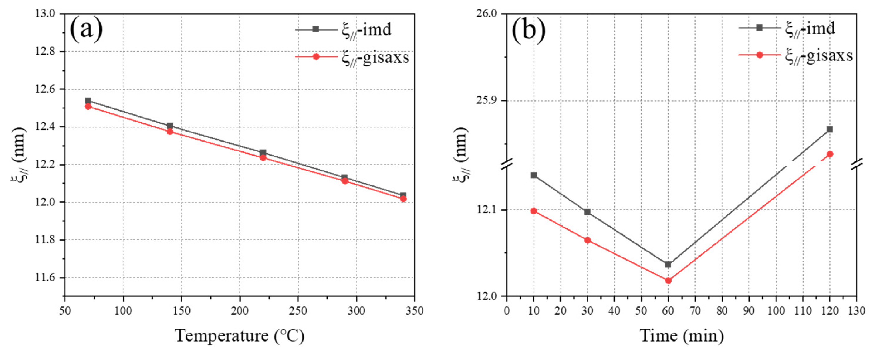
3.6. Grazing-Incidence Small-Angle X-Ray Scattering Analysis
3.7. Transmission Electron Microscope Analysis
4. Conclusions
Author Contributions
Funding
Institutional Review Board Statement
Informed Consent Statement
Data Availability Statement
Acknowledgments
Conflicts of Interest
References
- Galanakis, I. High spin-polarization in ultrathin Co2MnSi/CoPd multilayers. J. Magn. Magn. Mater. 2015, 377, 291–294. [Google Scholar] [CrossRef]
- Garoufalis, C.; Galanakis, I. Multilayer heterostructures of magnetic Heusler and binary compounds from first principles. J. Magn. Magn. Mater. 2016, 401, 138–143. [Google Scholar] [CrossRef]
- Spaepen, F.; Shull, A.L. Mechanical properties of thin films and multilayers. Curr. Opin. Solid State Mater. Sci. 1996, 1, 679–683. [Google Scholar] [CrossRef]
- Lodha, G.S.; Nayak, M.; Modi, M.H.; Sinha, A.K.; Nandedkar, R.V. Study of optical response near the absorption edge using vacuum ultra violet/soft X-ray reflectivity beamline on Indus-1. J. Phys. Conf. Ser. 2007, 80, 012031. [Google Scholar] [CrossRef]
- Berkowitz, A.E.; Takano, K. Exchange anisotropy—A review. J. Magn. Magn. Mater. 1999, 200, 552–570. [Google Scholar] [CrossRef]
- Chen, C.M.H.; Christensen, F.E.; Harrison, F.A.; Mao, P.H.; Windt, D.L. Design of a soft gamma-ray focusing telescope for the study of nuclear lines. In Proceedings of the X-Ray and Gamma-Ray Telescopes and Instruments for Astronomy, Waikoloa, HI, USA, 22–28 August 2002; Volume 4851. [Google Scholar]
- Ch, M.; Carau, D.; Peffen, J.-C. Double multilayer monochromators for upgraded ESRF beamlines. In Proceedings of the Advances in X-Ray/EUV Optics and Components XII, San Diego, CA, USA, 6–10 August 2017; Volume 10386, p. 1038603. [Google Scholar]
- Bhatt, P.; Ganeshan, V.; Reddy, V.; Chaudhari, S. High temperature annealing effect on structural and magnetic properties of Ti/Ni multilayers. Appl. Surf. Sci. 2006, 253, 2572–2580. [Google Scholar] [CrossRef]
- Prasciolu, M.; Bajt, S. On the properties of WC/SiC multilayers. Appl. Sci. 2018, 8, 571. [Google Scholar] [CrossRef]
- Swain, M.; Satapathy, D.K.; Gupta, M.; Rao, M.R. Effect of thermal annealing on structure and magnetic properties in a Ni–Cr multilayer. Int. J. Mater. Res. 2023, 114, 418–424. [Google Scholar] [CrossRef]
- Nguyen, T.D.; Gronsky, R.; Kortright, J.B. Microstructure and stability comparison of nanometer period W/C, WC/C, and Ru/C multilayer structures. Mater. Res. Soc. Symp. Proc. 1990, 187, 95. [Google Scholar] [CrossRef]
- Nguyen, T.D.; Gronsky, R.; Kortricht, J.B. Microstructure-roughness interrelation in Ru/C and Ru/B4C X-ray multilayers. Mater. Res. Soc. Symp. Proc. 1992, 280, 161. [Google Scholar] [CrossRef]
- Huang, Q.; Zhang, J.; Qi, R.; Yang, Y.; Wang, F.; Zhu, J.; Zhang, Z.; Wang, Z. Structure and stress studies of low temperature annealed W/Si multilayers for the X-ray telescope. Opt. Express 2016, 24, 15620–15630. [Google Scholar] [CrossRef] [PubMed]
- Siffalovic, P.; Majkova, E.; Chitu, L.; Jergel, M.; Luby, S.; Keckes, J.; Maier, G.; Timmann, A.; Roth, S.; Tsuru, T. Characterization of Mo/Si soft X-ray multilayer mirrors by grazing-incidence small-angle X-ray scattering. Vacuum 2009, 84, 19–25. [Google Scholar] [CrossRef]
- Salditt, T.; Metzger, T.H.; Peisl, J.; Jiang, X. Diffuse X-ray scattering of amorphous multilayers. J. Phys. III 1994, 4, 1573–1580. [Google Scholar] [CrossRef]
- Majkova, E.; Chushkin, Y.; Jergel, M.; Luby, S.; Holy, V.; Matko, I.; Chenevier, B.; Toth, L.; Hatano, T.; Yamamoto, M. Nanometer-scale period Sc/Cr multilayer mirrors and their thermal stability. Thin Solid Films 2006, 497, 115–120. [Google Scholar] [CrossRef]
- Chang, C.; Wei, Z.; Jiang, H.; Ni, H.; Song, W.; He, J.; Xiang, S.; Wang, Z.; Zhang, Z.; Zhang, Z. Effect of annealing on stress, microstructure, and interfaces of NiV/B4C multilayers. Coatings 2024, 14, 513. [Google Scholar] [CrossRef]
- Zhang, L.; Zhang, J.; Jiao, H.; Bao, G.; Wang, Z.; Cheng, X. Thickness-dependent surface morphology and crystallization of HfO2 coatings prepared with ion-assisted deposition. Thin Solid Films 2017, 642, 359–363. [Google Scholar] [CrossRef]
- Windt, D.L. IMD—Software for modeling the optical properties of multilayer films. Comput. Phys. 1998, 12, 360–370. [Google Scholar] [CrossRef]
- Rao, P.; Rai, S.; Sinha, A.; Singh, M.; Lodha, G. Thermally induced interface changes in W/B4C multilayers. Thin Solid Films 2015, 589, 268–271. [Google Scholar] [CrossRef]
- Naujok, P.; Murray, K.; Yulin, S.; Patzig, C.; Kaiser, N.; Tünnermann, A. Thermal stability of B-based multilayer mirrors for next-generation lithography. Thin Solid Films 2017, 642, 252–257. [Google Scholar] [CrossRef]
- Caravaggio, G.A.; Detellier, C.; Wronski, Z. Synthesis, stability, and electrochemical properties of NiAl and NiV layered double hydroxides. J. Mater. Chem. 2001, 11, 912–921. [Google Scholar] [CrossRef]
- Jiang, H.; Hua, W.; Tian, N.; Li, A.; Li, X.; He, Y.; Zhang, Z. In situ GISAXS study on the temperature-dependent performance of multilayer monochromators from the liquid nitrogen cooling temperature to 600 °C. Appl. Surf. Sci. 2020, 508, 144838. [Google Scholar] [CrossRef]
- Kaganer, V.; Stepanov, S.; Köhler, R. Effect of roughness correlations in multilayers on Bragg peaks in X-Ray diffuse scattering. Physica B 1996, 221, 34–43. [Google Scholar] [CrossRef]
- Medvedev, R.V.; Nikolaev, K.V.; Zameshin, A.A.; Ijpes, D.; Makhotkin, I.A.; Yakunin, S.N.; Yakshin, A.E.; Bijkerk, F. Low-energy ion polishing of Si in W/Si soft X-ray multilayer structures. J. Appl. Phys. 2019, 126, 045302. [Google Scholar] [CrossRef]
- Nikolaev, K.; Yakunin, S.; Makhotkin, I.; de la Rie, J.; Medvedev, R.; Rogachev, A.; Trunckin, I.; Vasiliev, A.; Hendrikx, C.; Gateshki, M. Grazing-incidence small-angle X-ray scattering study of correlated lateral density fluctuations in W/Si multilayers. Acta Cryst. 2019, 75, 342–351. [Google Scholar] [CrossRef]
- Song, H.; Zhang, Z.; Liu, X.; Huang, Q.; Zhou, H.; Huo, T.; Qi, R.; Zhang, Z.; Xin, Z.; Wang, Z. Comparison of thermal stability of Mo/Si multilayers with different crystallinities of Mo layers. Appl. Optis. 2023, 62, 2636–2641. [Google Scholar] [CrossRef] [PubMed]
- Ghose, S.; Dev, B. X-ray standing wave and reflectometric characterization of multilayer structures. Phys. Rev. B 2001, 63, 245409. [Google Scholar] [CrossRef]












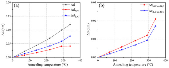
| Temperature (°C) | Periodic Thickness d (nm) | Layer Thickness d (nm) | ΔdNiV (nm) | ΔdB4C (nm) | ||||
|---|---|---|---|---|---|---|---|---|
| As-Deposited | Annealed | As-Deposited | Annealed | |||||
| dNiV (nm) | dB4C (nm) | dNiV (nm) | dB4C (nm) | |||||
| 70 | 7.613 | 7.635 | 2.301 | 5.312 | 2.309 | 5.326 | 0.008 | 0.014 |
| 140 | 7.552 | 7.596 | 2.300 | 5.252 | 2.317 | 5.279 | 0.017 | 0.026 |
| 220 | 7.785 | 7.855 | 2.397 | 5.388 | 2.425 | 5.430 | 0.028 | 0.042 |
| 290 | 7.752 | 7.852 | 2.381 | 5.371 | 2.422 | 5.430 | 0.041 | 0.059 |
| 340 | 7.724 | 7.843 | 2.609 | 5.115 | 2.650 | 5.193 | 0.041 | 0.078 |
| Temperature (°C) | Interface Width σ (nm) | ΔσNiV-on-B4C (nm) | ΔσB4C-on-NiV (nm) | |||
|---|---|---|---|---|---|---|
| As-Deposited | Annealed | |||||
| σNiV-on-B4C (nm) | σB4C-on-NiV (nm) | σNiV-on-B4C (nm) | σB4C-on-NiV (nm) | |||
| 70 | 0.304 | 0.304 | 0.307 | 0.306 | 0.003 | 0.002 |
| 140 | 0.302 | 0.311 | 0.307 | 0.316 | 0.006 | 0.004 |
| 220 | 0.292 | 0.292 | 0.301 | 0.299 | 0.009 | 0.007 |
| 290 | 0.275 | 0.310 | 0.287 | 0.320 | 0.012 | 0.009 |
| 340 | 0.270 | 0.275 | 0.291 | 0.293 | 0.021 | 0.017 |
| Time (min) | Periodic Thickness d (nm) | Layer Thickness d (nm) | ΔdNiV (nm) | ΔdB4C (nm) | ||||
|---|---|---|---|---|---|---|---|---|
| As-Deposited | Annealed | As-Deposited | Annealed | |||||
| dNiV (nm) | dB4C (nm) | dNiV (nm) | dB4C (nm) | |||||
| 10 | 7.667 | 7.720 | 2.586 | 5.081 | 2.603 | 5.117 | 0.017 | 0.036 |
| 30 | 7.596 | 7.679 | 2.561 | 5.035 | 2.589 | 5.090 | 0.028 | 0.055 |
| 60 | 7.724 | 7.843 | 2.609 | 5.115 | 2.650 | 5.193 | 0.041 | 0.078 |
| 120 | 7.704 | 7.836 | 2.481 | 5.223 | 2.488 | 5.348 | 0.007 | 0.125 |
| Time (min) | Interface Width σ (nm) | ΔσNiV-on-B4C (nm) | ΔσB4C-on-NiV (nm) | |||
|---|---|---|---|---|---|---|
| As-Deposited | Annealed | |||||
| σNiV-on-B4C (nm) | σB4C-on-NiV (nm) | σNiV-on-B4C (nm) | σB4C-on-NiV (nm) | |||
| 10 | 0.270 | 0.291 | 0.273 | 0.293 | 0.003 | 0.002 |
| 30 | 0.260 | 0.284 | 0.270 | 0.292 | 0.011 | 0.008 |
| 60 | 0.270 | 0.275 | 0.291 | 0.293 | 0.021 | 0.017 |
| 120 | 0.290 | 0.295 | 0.353 | 0.351 | 0.063 | 0.056 |
| Annealing Parameters | ξ//-IMD (nm) | ξ//-GISAXS (nm) | Δξ// (nm) |
|---|---|---|---|
| 70 °C for 60 min | 12.539 | 12.509 | 0.030 |
| 140 °C for 60 min | 12.405 | 12.375 | 0.030 |
| 220 °C for 60 min | 12.263 | 12.236 | 0.027 |
| 290 °C for 60 min | 12.131 | 12.113 | 0.018 |
| 340 °C for 60 min | 12.037 | 12.018 | 0.018 |
| 340 °C for 10 min | 12.140 | 12.099 | 0.041 |
| 340 °C for 30 min | 12.097 | 12.065 | 0.032 |
| 340 °C for 60 min | 12.037 | 12.018 | 0.018 |
| 340 °C for 120 min | 25.867 | 25.838 | 0.028 |
Disclaimer/Publisher’s Note: The statements, opinions and data contained in all publications are solely those of the individual author(s) and contributor(s) and not of MDPI and/or the editor(s). MDPI and/or the editor(s) disclaim responsibility for any injury to people or property resulting from any ideas, methods, instructions or products referred to in the content. |
© 2024 by the authors. Licensee MDPI, Basel, Switzerland. This article is an open access article distributed under the terms and conditions of the Creative Commons Attribution (CC BY) license (https://creativecommons.org/licenses/by/4.0/).
Share and Cite
Chang, C.; Wei, Z.; Zhang, Z.; Jiang, L.; Jiang, H.; Ma, H.; Zhang, Z.; Wang, Z. Annealing Process-Induced Microstructural Variation in NiV/B4C Multilayers. Appl. Sci. 2024, 14, 11664. https://doi.org/10.3390/app142411664
Chang C, Wei Z, Zhang Z, Jiang L, Jiang H, Ma H, Zhang Z, Wang Z. Annealing Process-Induced Microstructural Variation in NiV/B4C Multilayers. Applied Sciences. 2024; 14(24):11664. https://doi.org/10.3390/app142411664
Chicago/Turabian StyleChang, Chenyuan, Zhenbo Wei, Zhe Zhang, Li Jiang, Hui Jiang, Hongchen Ma, Zhong Zhang, and Zhanshan Wang. 2024. "Annealing Process-Induced Microstructural Variation in NiV/B4C Multilayers" Applied Sciences 14, no. 24: 11664. https://doi.org/10.3390/app142411664
APA StyleChang, C., Wei, Z., Zhang, Z., Jiang, L., Jiang, H., Ma, H., Zhang, Z., & Wang, Z. (2024). Annealing Process-Induced Microstructural Variation in NiV/B4C Multilayers. Applied Sciences, 14(24), 11664. https://doi.org/10.3390/app142411664

