Next Article in Journal
Unsupervised Image Classification Based on Fully Fuzzy Voronoi Tessellation
Next Article in Special Issue
Spatiotemporal Stability Responses of Tunnel Excavation Under Cyclical Footage Impact: A FLAC3D-Based Numerical Study
Previous Article in Journal
Abnormal Sound Detection of Wind Turbine Gearboxes Based on Improved MobileFaceNet and Feature Fusion
Previous Article in Special Issue
Size-Dependent Mechanical Properties and Excavation Responses of Basalt with Hidden Cracks at Baihetan Hydropower Station through DFN–FDEM Modeling
 
 
Font Type:
Arial Georgia Verdana
Font Size:
Aa Aa Aa
Line Spacing:
Column Width:
Background:
Article

Experimental Study on the Strength Characteristics of Cast-In-Situ Mortar Specimens in a Slurry Environment

by
Zhijiang Yang
1,
Yulu Chen
1,
Tingting Luo
1,*,
Tao Han
1,2,*,
Chuanwei Jia
3,
Tao Zhang
1 and
Weihao Yang
1
1
School of Mechanics and Civil Engineering, China University of Mining and Technology, Xuzhou 221116, China
2
YunLong Lake Laboratory of Deep Underground Science and Engineering, Xuzhou 221116, China
3
Shandong Energy Group Xibei Mining Co., Ltd., Xi’an 710026, China
*
Authors to whom correspondence should be addressed.
Appl. Sci. 2024, 14(23), 11225; https://doi.org/10.3390/app142311225
Submission received: 17 October 2024 / Revised: 22 November 2024 / Accepted: 29 November 2024 / Published: 2 December 2024
(This article belongs to the Special Issue Advances in Failure Mechanism and Numerical Methods for Geomaterials)

Abstract

As coal resource development progresses deeper underground, the increasing depth of mine shafts poses significant challenges to the safety and stability of traditional shaft construction methods, further compounding operational difficulties. In this context, cast-in-situ concrete shaft walls in a slurry environment have emerged as an effective solution. The strength of these shaft walls is a crucial parameter for assessing their safety. To explore this, experiments were conducted on slurry preparation and mortar casting (used here as a substitute for concrete) under three different conditions: slurry environment, pure water environment, and dry environment. The cast specimens underwent compressive, tensile, shear, and microscopic observation tests to analyze the strength development patterns of the mortar specimens in these varied casting environments. The study yielded several key findings: As the casting environment becomes more complex, the strength of the mortar specimens gradually decreases. Specifically, specimens cast in a slurry environment exhibit strengths approximately 15% to 20% lower than those cast in a dry environment, although both environments show similar trends in strength development over time. Across all casting environments, the initial strength loss of the specimens is significant, while the rate of strength loss decreases in the later stages; the strength loss is minimal in specimens cast in a pure water environment and reaches its maximum in those cast in a slurry environment. Additionally, in specimens cast in a slurry environment, air void diameter tends to polarize, and the distribution of air void is denser compared to the other two environments. In conclusion, cast-in-situ mortar in a slurry environment exhibits the lowest strength and the greatest strength loss compared to specimens cast in dry and pure water environments. Nonetheless, the strength development trends over time remain similar across all conditions, providing theoretical and technical support for the construction of shaft walls in slurry environments.

1. Introduction

As one of the most important fossil energy sources in the world, coal resources are widely used in industries such as chemicals, power generation, and energy [1,2]. With the continuous increase in population and the rapid development of the global economy and technology, the demand for coal resources is also rising. However, due to environmental pollution and excessive exploitation, coal resources in shallow layers have gradually been depleted, unable to meet daily coal consumption needs. This poses a serious impact on global sustainable development and energy security [3,4]. Therefore, the development and utilization of deep coal resources have gradually become a hot topic [4,5]. However, unlike shallow layer environments, the unique characteristics of deep layers, such as high ground pressure, high pore pressure, and high temperature, present a series of technical challenges for the exploitation of deep coal resources [6,7,8].
As a critical aspect of coal mining, the construction of vertical shafts is one of the key problems that must be addressed in the extraction of deep coal resources. Drilling methods, as an effective technique for penetrating alluvial layers during coal mining [9,10], possess notable features such as high mechanization, favorable working conditions, and the ability to drill without going underground, making it a significant research direction in shaft construction [11,12,13]. However, with the increasing depth of coal mining, the depth of mine shafts is also continuously increasing. Traditional floating sinking methods may encounter technical challenges such as difficulty in floating due to excessive wall weight or structural failure caused by a loss of stability upon touching the bottom [14,15,16,17,18], significantly reducing the applicability of drilling methods for deep shaft construction. The construction of shafts using cast-in-situ concrete wall methods in a slurry environment—employing movable conduits and molds for directly casting concrete walls in the slurry of the drilling shaft—eliminates the need for floating and sinking, thereby effectively addressing these technical difficulties. The strength of the concrete wall is one of the primary indicators of shaft safety. If the wall strength fails to meet the support requirements, it can lead to severe structural failure and catastrophic consequences [19,20], as shown in Figure 1. Therefore, experimental research on the strength of concrete in a slurry environment provides theoretical and technical support for the use of in situ concrete wall methods in deep shaft construction.
In recent years, many scholars have focused on studying the strength of shaft wall concrete. Liang et al. [21] studied the effect of environmental factors on the compressive and flexural strength of corroded concrete, finding that with increasing concentrations of corrosive liquid and decreasing pH, the strength of the concrete gradually decreases. Wang et al. [22] researched the strength of concrete poured in laboratory and construction site conditions, discovering that the early strength of concrete grows rapidly, and the strength growth rate of concrete poured at the construction site is higher than that in the laboratory. Jia et al. [23] investigated the strength of concrete after high-temperature cooling, revealing significant differences in the impact of various cooling methods on concrete strength. When cooled after excessive temperatures, concrete may collapse due to the complete loss of strength. Yang et al. [24] measured the strain of concrete using optical fiber grating during shaft wall construction, analyzing the strain variation pattern and finding that, during construction, concrete is predominantly under compression, with circumferential strain greater than vertical strain, and the strain variation stages correspond to construction phases. Ren et al. [25] analyzed the concrete strength improvement factors under different strength criteria for wall design, suggesting the use of criteria that reflect the actual failure envelope of concrete. Yao et al. [26] studied the concrete strength in composite wall design, showing that the compressive strength of concrete walls under triaxial compression increases by 2.53 to 2.72 times. These studies provide a solid foundation for understanding the strength of shaft wall concrete.
When casting concrete in complex water-rich environments, traditional methods in pure water environments often suffer from inadequate water-blocking effects and the separation of cement and aggregate under washing [27]. As a result, researchers have investigated concrete formulations to create materials that do not separate when in contact with water [28,29]. Sonebi et al. [30] introduced a concrete additive containing an ether-type polymer compound that significantly enhances the concrete’s resistance to water flow erosion and prevents decomposition in pure water environments, known as underwater anti-dispersive concrete [30]. Subsequently, China developed UWB-type anti-dispersive agents (polypropylene-based concrete anti-dispersive agents) and SCR-type anti-dispersive agents [8]. Zhang et al. [31] studied the anti-dispersive properties, flowability, and mechanical performance of underwater anti-dispersive concrete with UWB anti-dispersive agents, slag, and fly ash as adjustment parameters, finding that adding fly ash and slag powder improves anti-dispersive properties and mechanical performance but reduces flowability. Yang et al. [32] investigated the effects of anti-dispersive agents and mineral admixtures on the strength of anti-dispersive concrete in pure water environments, finding that the optimal strength was achieved with 2.5% anti-dispersive agents, 5% silica fume, and 20% viscosity-reducing agents. These results provide a good foundation for the study of anti-dispersive concrete formulation and strength assurance in pure water environments. Din et al. [33] optimized the mix proportion of high-performance concrete by using range analysis and the comprehensive balance method based on orthogonal testing factors including fly ash, slag powder, and metakaolin and pointed out the best mix proportion.
Currently, with the increasing need for deep vertical shaft construction, the in situ concrete wall method in a slurry environment has gained broader attention due to its high borehole utilization, good integrity, and high degree of automation, offering promising application prospects [34]. However, research on the strength characteristics of in situ concrete walls in slurry environments is scarce and unsystematic, which does not effectively support the promotion and utilization of this method in industrial sites. This study prepares slurry and underwater anti-dispersive mortar (as a concrete substitute), conducts casting experiments on mortar specimens in dry, pure water, and slurry environments, and investigates their compressive, tensile, shear strengths, and microscopic observations.

2. Methodology

2.1. Sample Preparation

2.1.1. Preparation of Anti-Dispersible Mortar in a Pure Water Environment

In this study, to ensure repeatability, convenience, and observability of indoor casting while not affecting the concrete strength, high-strength mortar was used instead of concrete for test specimens, and we will focus on extending the substitute mortar to actual concrete in future research. Considering the performance requirements for cast-in-situ shaft walls in slurry environments, the selected mortar must have appropriate strength, good flowability, and anti-dispersibility underwater. After extensive research, a dispersant with strong retarding effects and a rapid-hardening mortar (JGM-201 type, provided by Jiangsu Subote New Materials Co., Ltd., Nanjing, China) with high early-stage strength and short setting time, compatible with the dispersant, were chosen as experimental materials, and the composition of this mortar is shown in Table 1. Additionally, since the anti-dispersion and flowability of the mortar are related to the dispersant dosage and water-cement ratio, a single-factor analysis was conducted on the dispersant dosage and water amount to measure the mortar’s flowability and pH value. The flowability and pH value measurement processes are shown in Figure 2, and the results are listed in Table 2.
Based on the measured results of mortar flowability (according to standard GB/T 37990-2019) [35] and anti-dispersibility (according to standard GB/T 50080-2016) [36], the A-2 mortar formulation was preliminarily selected for casting the test specimens. The feasibility of the selected A-2 mortar formulation was assessed by testing the early-stage strength of mortar blocks cast with this mix. In this experiment, the conventional conduit method was used for casting mortar blocks (100 mm × 100 mm × 100 mm cubic). Initially, blocks were cast in both dry and pure water environments and vibrated according to standards. Blocks cast in the dry environment were cured in a standard curing box, while those cast in the pure water environment were cured under pure water. Strength tests were conducted on days 1, 3, and 7 for both casting environments, with results shown in Table 3. The results indicate that the A-2 formulation provides high early strength in both dry and pure water environments, meeting the strength requirements for blocks cast in pure water environments. Therefore, the A-2 mortar formulation was selected for use in experiments involving cast-in-situ shaft walls in different environments.

2.1.2. Methods and Techniques

To investigate the strength characteristics of cast blocks in different environments (dry, pure water, and slurry environments), it is necessary to prepare the drilling slurry used in drilling operations. In drilling, the primary functions of slurry are the temporary support and cleaning of the drill bit. Key performance indicators for slurry in drilling include stability, viscosity, relative density, filter cake, fluid loss, and shear strength. For this experiment, the main performance indicators considered are stability, viscosity, and relative density [20].
The basic materials for slurry preparation include clay, carboxymethyl cellulose (CMC), anhydrous sodium carbonate, and sodium tripolyphosphate [20]. In this experiment, these materials were used and mixed in specific proportions to prepare the slurry. Using a single-factor variable control method, the experiment varied the proportions of these basic materials to study the effects of CMC solution content (percentage of the CMC solution by mass relative to the total mass of the slurry) and bentonite content (similarly to CMC) on three parameters: slurry density, slurry viscosity, and colloidal rate. The bentonite content was tested at four levels: 5%, 10%, 15%, and 20%, and the CMC solution content at four levels: 2%, 3%, 4%, and 5%. The slurry formulations and results are shown in Table 4 and Table 5, leading to the following findings.
(1)
Slurry density
Slurry density refers to the mass ratio of solid particles to liquid in the slurry, which significantly impacts shaft wall stability, drilling speed, and environmental protection [20]. Therefore, slurry density is a crucial parameter for evaluating slurry performance. In this experiment, a glass hydrometer was used to measure slurry density. After thoroughly mixing the slurry, it was poured into a 250 mL graduated cylinder. The hydrometer was then gently placed into the slurry, and the density was read from the scale where the hydrometer intersects the slurry surface [37]. The relationship between the CMC solution content, the bentonite content, and slurry density is shown in Figure 3a. It is observed that as bentonite content increases, the solid particles in the slurry increase significantly, leading to a considerable rise in slurry density. In contrast, changes in the CMC solution content have minimal effect on slurry density.
(2)
Slurry viscosity
Slurry viscosity refers to the ability of the slurry to resist flow when subjected to external forces and is a key indicator of the slurry’s flow characteristics. Common methods for measuring slurry viscosity include rotational viscometers, Marsh funnels, and others. In this experiment, both a rotational viscometer and a Marsh funnel viscometer were used [37]. A 700 mL sample of slurry was placed into the Marsh funnel viscometer with the bottom valve closed. A slurry cup was positioned at the funnel’s outlet, and the valve was opened while timing the flow of 500 mL of slurry into the cup to calculate the viscosity value. Additionally, the apparent viscosity of the slurry was measured using the rotational viscometer. The relationship between the CMC solution content, the bentonite content, and slurry viscosity is illustrated in Figure 3b. It was observed that as the contents of both the CMC solution and bentonite increased, slurry viscosity significantly rose. When both contents were at the same percentage, increasing the CMC solution content had a more pronounced effect on increasing slurry viscosity compared to bentonite. This is likely because bentonite has fewer particles that can form colloidal solutions, whereas the CMC solution is a high-viscosity colloid, offering a more effective thickening effect compared to bentonite.
(3)
Colloidal rate
The colloidal rate refers to the proportion of colloidal material in the slurry, reflecting the extent to which clay particles hydrate and disperse in water. It is an important indicator of the physical stability of the slurry. A higher colloidal rate means the slurry is less likely to segregate, resulting in a more uniform mixture and better physical stability. In this experiment, the colloidal rate was measured by pouring the mixed slurry into a graduated cylinder and allowing it to stand for one day [37]. The colloidal rate was determined by the percentage of the volume of the settled slurry at the bottom relative to the total volume of the original mixture. The relationship between the CMC solution content, the bentonite content, and the colloidal rate of the slurry is shown in Figure 4. It was found that as the content of the CMC solution and bentonite increased, the colloidal rate also increased. The colloidal rate increased approximately linearly with CMC solution content, whereas, with increasing bentonite content, the rate of increase slowed down. This is likely because the CMC solution, being a high-viscosity colloid, acts as an effective thickening agent, enhancing the slurry’s viscosity and keeping the solid particles suspended, thereby consistently increasing the colloidal rate.
According to he “Regulation for Vertical Drilling Construction and Acceptance” (GB 51227-2017) [38], the general parameters for drilling slurry should meet the following requirements: a density of 1.15 g/cm3 to 1.30 g/cm3; a viscosity of 18 s to 30 s; a colloidal rate > 98%. Based on the experimental results above and in accordance with the standard, the selected slurry formulation and its characteristic parameters are shown in Table 6, where the bentonite content is 19.7% and the CMC solution content is 4.2%.

2.2. Experimental Procedures

The strength of casting materials is a crucial mechanical characteristic for shaft wall structures and a key factor in the successful molding of shaft walls. Therefore, this study investigates the compressive, tensile, and shear strengths of casting materials through physical simulation experiments (according to standards GB/T 50081-2019 and DZ/T 0276.25-2015) [39,40] and cross-validates these results by examining the microscopic pore structures of the specimens using scanning electron microscopy.

2.2.1. Compressive Strength Testing

Compressive strength experiments were conducted on casting mortar blocks under three different conditions: a dry environment, a pure water environment, and a slurry environment. In each environment, 100 mm × 100 mm × 100 mm cubic specimens were cast using a funnel to simulate the conduit method. To match the on-site shaft wall casting model, core specimens were extracted to obtain Φ50 mm × 100 mm cylindrical specimens. The compressive strength of these cylindrical specimens was measured at 1, 3, 7, and 28 days to investigate the strength development of substitute mortar for concrete. The long-term performance evaluation of this material will be further studied in future research. The specific procedures are as follows:
Dry environment: Mortar is first poured into the mold box using a funnel. The mixture is then vibrated on a vibration table to ensure proper compaction. After curing at room temperature for 12 h, the specimens are demolded and cored. Finally, they are cured in a standard curing box and tested for compressive strength according to the curing age.
Pure water environment: Water is added to the casting box until it is higher than the height of the mold box. The mortar is then poured into the mold box using a funnel, forming the specimens in the pure water environment. After curing at room temperature for 12 h, the specimens are demolded and cored. They are then cured in a constant-temperature water bath and tested for compressive strength according to the curing age.
Slurry environment: Prepared slurry is placed in the casting box. To observe the casting process and ensure completion, mortar is poured into the mold box using a funnel when the slurry level reaches half the height of the mold box. The slurry level is then continuously increased while pouring the mortar. After forming the specimens in the slurry environment, they are cured at room temperature for 12 h, demolded, cored, and finally cured in a constant-temperature water bath. The specimens are tested for compressive strength according to the curing time.
A schematic diagram of the preparation process of the specimens is shown in Figure 5.

2.2.2. Tensile Strength Testing

Compared to traditional building mortars, the mortar formulation used in this experiment has higher strength, making conventional tensile bonding tests unsuitable for measuring tensile strength. Moreover, since the experiment uses mortar to simulate concrete for shaft wall casting, the concrete tensile strength measurement method—splitting tensile strength tests—is adopted to measure the tensile strength of the specimens. The splitting tensile specimens are 100 mm × 100 mm × 100 mm cubes. The casting process is similar to that of the compressive strength specimens, involving pouring the mortar into the mold box using a funnel under dry, pure water, and slurry conditions. After curing for 12 h, the specimens are demolded and cured in either a standard curing box or a constant-temperature pure water environment. Finally, the specimens are tested for splitting tensile strength according to the curing age. The specimens under different casting environments are shown in Figure 6.

2.2.3. Shear Strength Testing

In this study, similar to the reasons for choosing the tensile strength testing method, the shear strength testing method was selected based on rock shear strength testing methods. A variable-angle shear test was used for measuring the shear strength of the specimens, with the test specimens being Φ50 mm × 50 mm cylinders. Therefore, the compressive strength test specimens (Φ50 mm × 100 mm) were cut into two identical-sized cylindrical specimens for the variable-angle shear test. To account for length loss during cutting, the mortar casting mold box was sized at 150 mm × 150 mm × 150 mm, with a casting height greater than 120 mm. The curing process was the same as for the compressive strength specimens. During the test, the normal and shear stresses on the shear plane were measured at angles of 55°, 60°, and 65°. The internal friction angle and cohesion of the specimens were determined using the Mohr–Coulomb failure criterion. These parameters were then used to evaluate the shear capacity of the specimens, thus determining the shear strength of the mortar specimens.

2.2.4. Microscopic Pore Structure Observation

The microscopic pore structures of specimens cast under three different conditions—dry environment, pure water environment, and slurry environment—were analyzed to support the evaluation of the specimens’ strength properties. The pore structure of hardened mortar, including the size, number, and distribution of air voids, can be tested using various methods such as microscopy, X-ray scanning, and imaging techniques [41]. In this experiment, microscopy was chosen. After the specimens from the above experiments were damaged, they were directly observed using a scanning electron microscope (JT-H3X model, Shenzhen Jingtuo Youcheng Technology Co., Ltd., Shenzhen, China) at a magnification of 100× to obtain the pore structure of the specimens cast under different environments, as shown in Figure 7.

3. Results and Discussion

3.1. Analysis of Compressive Strength of Specimens

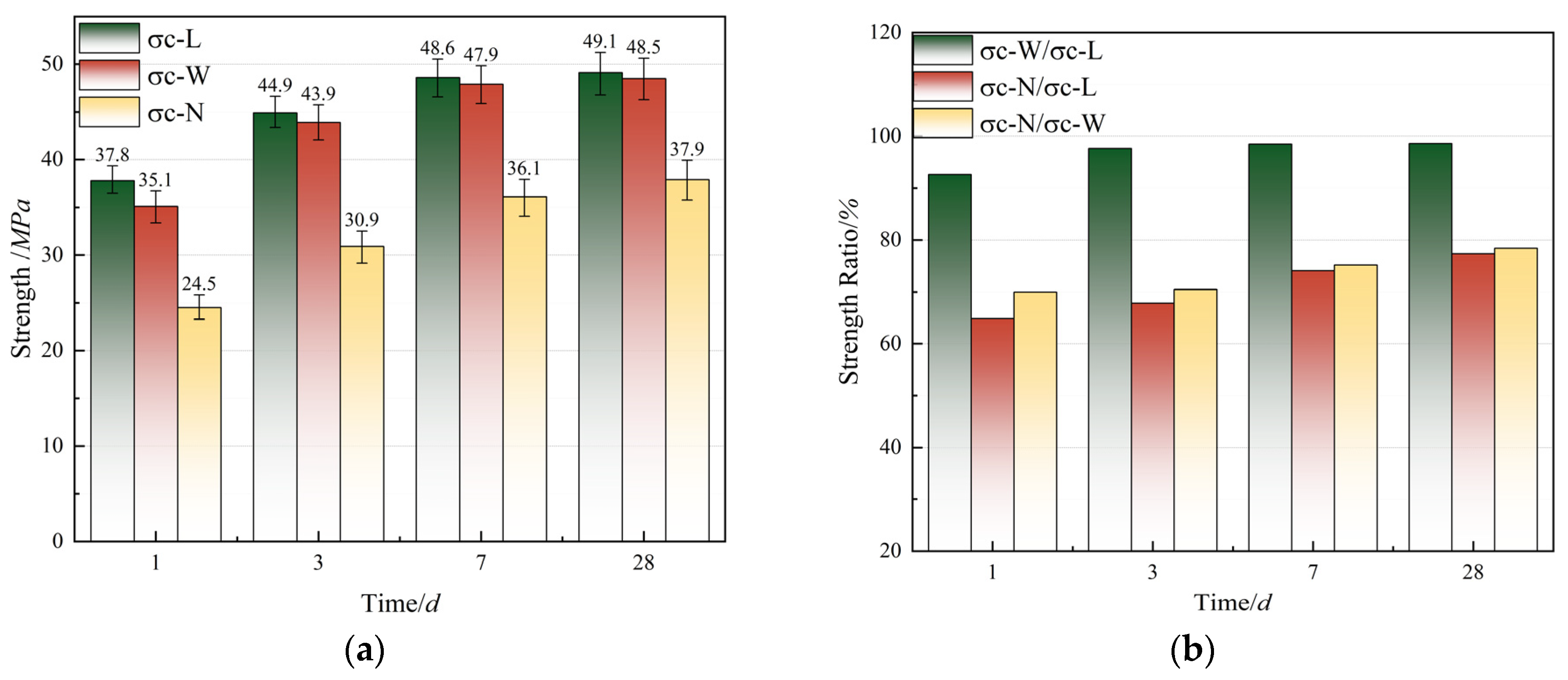
Figure 8 illustrates the compressive strength and strength ratio of specimens cast in three different environments over varying curing periods. In the figure, σc-L, σc-W, and σc-N represent the compressive strengths of specimens cured in dry, pure water, and slurry environments, respectively. It is evident that as curing progresses, the compressive strength of specimens in different environments shows a similar trend: early-stage strength (1–7 days) increases rapidly, with a growth rate of about 30–50%, the highest being in the slurry environment. In the later stage (7–28 days), strength growth slows down, with a growth rate of about 1% in both dry and pure water environments and about 5% in the slurry environment. Additionally, specimens cured in the slurry environment exhibit significantly lower compressive strength compared to those cured in dry and pure water environments. This is likely due to the medium in the curing environment affecting the specimen’s properties. In the dry environment, the medium is mainly air, which has minimal impact on the compressive strength of the specimen. In the pure water environment, a small amount of water enters the specimen during casting; however, the impact is minimal due to the addition of an efficient dispersant in the mortar, resulting in only about a 2% strength loss after 28 days. Conversely, in the slurry environment, the high viscosity of the slurry prevents the mortar from expelling it completely, leading to some slurry mixing with the mortar. This forms a bentonite film around the cement particles, reducing water molecule penetration and affecting the hydration process [42]. Additionally, the presence of numerous cations in the slurry can increase the surface tension of the mortar solution, raise porosity, and cause precipitates to form with hydration products, further lowering the compressive strength. Consequently, the 28th-day strength loss in the slurry environment exceeds 20%, representing about 77.3% of the strength in the dry environment.
The compressive strength ratios (strength losses) of specimens cast in dry, pure water, and slurry environments indicate that, whether comparing the strength of specimens in pure water or slurry environments to those in dry environments or comparing specimens in slurry environments to those in pure water environments, all show a similar trend with increasing curing time: the early-stage compressive strength ratio increases rapidly, while the late-stage growth slows down. This phenomenon may be attributed to the fact that early compressive strength is relatively low, making the medium in the casting environment have a significant impact on the specimen’s strength. As curing time progresses and the specimen’s strength gradually increases, it partially offsets the strength impact caused by the casting environment. Consequently, the strength loss diminishes, and the strength ratio increases. Once the strength ceases to increase, the strength ratio stabilizes.

3.2. Tensile Strength Analysis of Specimens

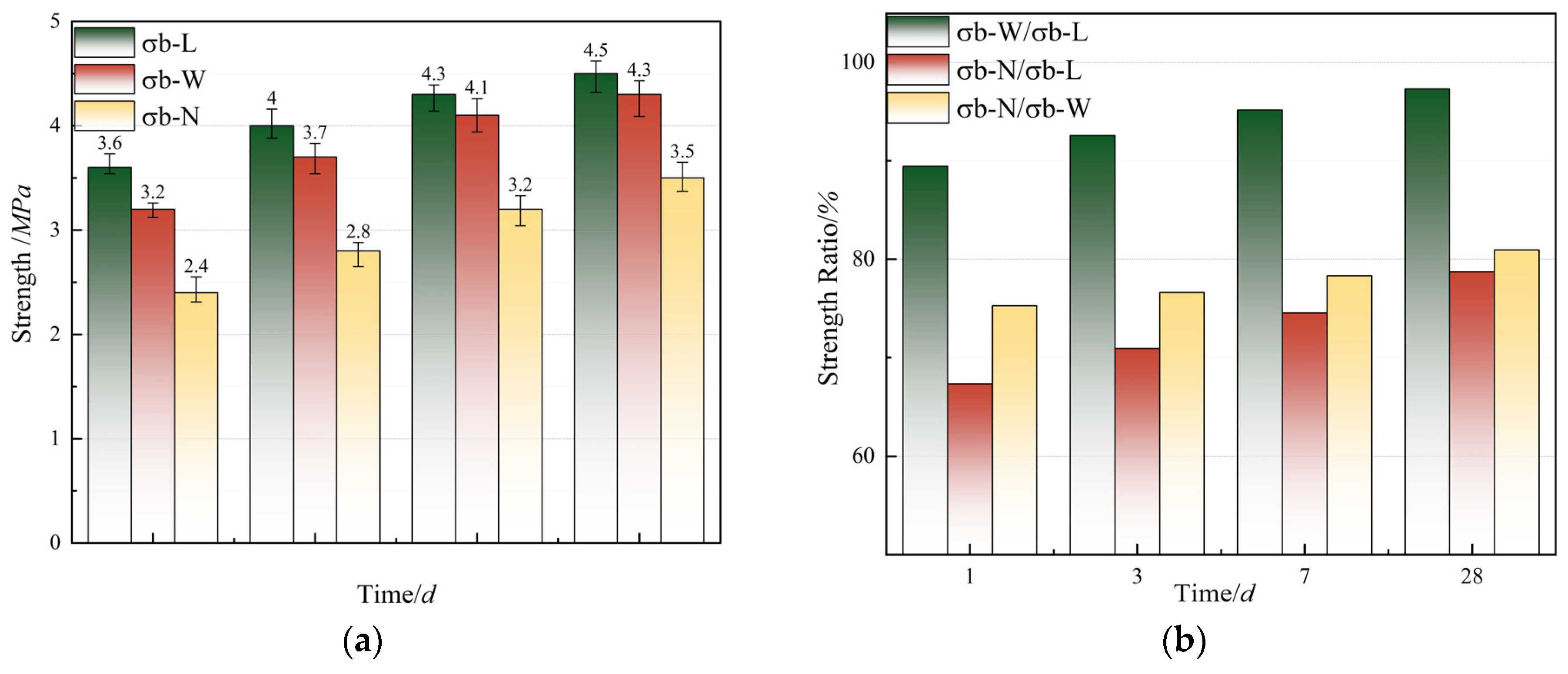
Figure 9 displays the tensile strength and strength ratio of concrete specimens cast in three different environments over varying curing times. It is observed that the tensile strength of specimens in different environments shows a similar growth trend to the compressive strength: early-stage strength increases rapidly, while later-stage growth slows down. However, the tensile strength is less than one-tenth of the compressive strength. This could be due to the fact that, after hardening, the mortar’s internal bonding forces are denser and can effectively resist compressive stress. In contrast, the internal bonding forces are weaker under tensile stress, resulting in significantly lower tensile strength compared to compressive strength. Similar to compressive strength, the tensile strength of specimens in different environments shows a noticeable decrease as the environment becomes more complex. This may be because the medium in the casting environment affects the specimen’s properties as it becomes incorporated into the mortar during casting. In a dry environment, the impact on tensile strength is minimal; in pure water, the effect is relatively weak, with a 28th-day tensile strength loss of only about 3%. However, in a slurry environment, the impact is more pronounced, with a 28th-day tensile strength loss exceeding 20%, representing about 78.8% of the strength in the dry environment. Consistent with compressive strength, the tensile strength ratios (strength losses) for specimens cast in dry, pure water, and slurry environments indicate that the medium in the casting environment significantly affects the specimen’s strength. As curing time increases, the strength of the specimen gradually increases, partially offsetting the strength impact of the casting environment.

3.3. Shear Strength Analysis of Test Blocks

Figure 10 illustrates the shear strength, internal friction angle, and cohesion of test blocks poured under different environments and curing times, as well as their ratios.
From Figure 10a, it can be observed that the shear strength, cohesion, and internal friction angle of the test blocks exhibit similar trends with increasing curing time. Specifically, there is a rapid increase in the early stages, with the 7th-day strength of most test blocks reaching about 85% of the 28th-day strength, followed by slower growth later. Additionally, as the complexity of the pouring environment increases, the shear strength of the test blocks gradually decreases. This trend is consistent with the variations in compressive and tensile strengths, which may be due to the medium from the pouring environment infiltrating the test blocks as the mortar is continuously poured, thereby affecting their performance. In a dry environment, the pouring of test blocks has almost no effect on their shear strength. In a pure water environment, the impact of water on the shear strength is relatively weak, with a 28th-day strength loss of only about 5%. However, in a slurry environment, the impact on shear strength is significant, with a 28th-day strength loss exceeding 16%, leaving only about 84% of the strength compared to blocks poured in a dry environment. The shear strength of test blocks also varies with different shear angles. Under the same curing time, an increase in shear angle results in a decrease in shear strength, indicating that the test blocks become more prone to failure as the shear angle increases.
To study the strength loss under different pouring environments—dry, pure water, and slurry—the shear strength ratio (strength loss) of the test blocks indicates that, regardless of whether they are poured in a slurry or pure water environment, the ratio of shear strength to that of blocks poured in a dry environment shows the same trend with increasing curing time. Specifically, the shear strength ratio increases rapidly in the early stages and grows slowly later on, which is consistent with the trends observed in compressive and tensile strength ratios over time. Additionally, no distinct pattern has been observed for the changes in cohesion and internal friction angle with curing time, but their strength ratios reach their maximum at the longest curing time. The cohesion ratio in pure water versus dry environments is about 99%, while in slurry versus dry environments, it is about 92%. Simultaneously, the internal friction angle ratio in pure water versus dry environments is about 95%, and in slurry versus dry environments, it is about 84%. Compared to compressive and tensile strengths, the shear strength loss of test blocks poured in a slurry environment is relatively small.

3.4. Microscopic Pore Structure Analysis

The pore structures of the damaged test blocks poured under three different environments were observed using an electron microscope, as shown in Figure 11.
From Figure 11a–c, it can be seen that in blocks poured in a dry environment, the number of air voids is relatively low, with most air voids having a diameter of approximately 0.1 mm. The air voids are also more dispersed within the test blocks, resulting in minimal impact on the strength loss of the blocks. This is likely because a small amount of air enters the blocks during pouring, forming air voids. However, during the vibration molding process, large air voids gradually disappear with vibration, and small air voids gradually merge into larger air voids, which then move to the surface of the blocks due to buoyancy. As a result, the surface of the block may experience damage, and the air voids gradually detach from the block matrix [43].
As shown in Figure 11d–f, when the blocks are poured in a pure water environment, the number of air voids inside the blocks is slightly higher compared to those poured in a dry environment. The diameter of most air voids increases, but no giant air void is formed. Additionally, the distribution of air voids within the test blocks is denser. This may be due to the test blocks being surrounded by pure water during pouring. The increased external pressure and the effect of the buoyancy require more force for air voids to move to the block’s surface. Large air voids cannot float and leave the block, resulting in larger and more numerous air voids in blocks poured in pure water, which ultimately leads to a reduction in block strength.
As illustrated in Figure 11g–i, compared to blocks poured in a pure water environment, those poured in a slurry environment do not show an increase in the number of air voids, but there is a polarized distribution of air void diameters. Specifically, small air voids have diameters generally less than 0.1 mm, while large air voids have diameters exceeding 0.5 mm, with some even surpassing 1 mm. This significantly affects the quality of block formation. This may be because, during the pouring process, the slurry enters the blocks along with the mortar, increasing the viscosity of the blocks and thereby reducing their flowability. Consequently, small air voids cannot coalesce into larger air voids that overflow, and reduced flowability makes it difficult to achieve a dense pour, leading to more large voids within the blocks. Additionally, the slurry contains a large number of charged ions, which, during diffusion, transfer from the high-concentration slurry to the lower-concentration test blocks, reacting strongly with the polar water molecules. This enhances the interactions between particles in the solution and increases the surface tension of the cement slurry, preventing large air voids from floating away from the matrix.

3.5. Possible Practical Recommendations for Engineers

In practical applications, selecting appropriate materials is key to ensuring the construction quality of cast-in-situ shaft walls. This study recommends using high-strength concrete or substitute mortar with excellent early-stage strength, good flowability, and anti-dispersibility for challenging environments. For example, the A-2 substitute mortar formulation may offer a strong reference for use, and these mix proportions can be adjusted to suit specific conditions like high-viscosity slurry environments.
Construction techniques would significantly affect the quality of cast-in-situ shaft walls. In slurry environments, advanced vibration methods should be used to reduce air voids, while curing time can be extended to counter slurry infiltration effects, and the design safety margins should consider a strength reduction of about 15–20%, as observed in this study.
The long-term stress and strain monitoring is crucial for validating concrete or substitute mortar performance in the construction and operation of cast-in-situ shaft walls. Future research should focus on large-scale validation tests of cast-in-situ concrete and advanced monitoring technologies to ensure durability and reliability.

4. Conclusions

To study the strength characteristics of cast-in-situ shaft walls under slurry conditions, experiments were conducted on slurry formulation as well as mortar casting in three different environments: slurry, pure water, and dry conditions. The cast specimens were subjected to compressive, tensile, shear strength tests, and microscopic observations to understand the strength development patterns of mortar specimens in different casting environments. The main conclusions are as follows:
(1)
Preliminary experiments identified a mortar formulation with suitable strength, good flowability, and underwater non-dispersion properties, as well as a drilling slurry with good stability, certain viscosity, and relative density.
(2)
Physical simulation experiments showed that as the casting environment becomes more complex, the strength of the cast specimens decreases gradually. Specimens cast in a slurry environment showed a strength reduction of approximately 15–20% compared to those cast in a dry environment, while the strength reduction in a pure water environment was less than 5%.
(3)
Despite different complexities in casting environments, the compressive, tensile, and shear strengths of the specimens exhibited a similar trend over curing time: the early-stage strength (1 to 7 days) increased rapidly, reaching over 80% of the 28th-day strength, while the later-stage strength (7 to 28 days) increased more slowly.
(4)
Different casting environments significantly affected the pore structure of the specimens. Specimens cast in a dry environment had fewer, smaller, and more dispersed air voids. In pure water environments, the number, diameter, and density of air voids increased. In slurry environments, the air voids were the most concentrated and exhibited a bimodal distribution.
In conclusion, despite some strength loss, specimens cast in slurry environments still possess relatively high tensile, compressive, and shear strengths. Building on these results, we plan to employ an integral lifting method to construct cast-in-situ model shaft walls and perform corresponding tests. This study provides data and theoretical support for the strength characteristics of cast-in-situ shaft walls under slurry conditions. In addition, the use of high-strength mortar as a substitute for concrete still has limitations due to the absence of coarse aggregates, and we will focus on extending the substitute mortar to actual concrete in the future research, including large-scale validation tests and long-term performance evaluations.

Author Contributions

Conceptualization, T.L.; methodology, Z.Y. and T.L.; validation, Y.C., C.J. and T.Z.; formal analysis, Z.Y. and T.L.; investigation, Y.C. and T.Z.; resources, W.Y.; data curation, Z.Y., Y.C. and T.H.; writing—original draft preparation, Z.Y. and Y.C.; writing—review and editing, T.L., T.H. and W.Y.; visualization, T.H.; supervision, T.L.; project administration, W.Y.; funding acquisition, W.Y. All authors have read and agreed to the published version of the manuscript.

Funding

This study was supported by the National Natural Science Foundation of China (Grant No. 52074264, 41501075), the Fundamental Research Funds for the Central Universities (Grant No. 2021GJZPY15), and the Foundation Research Project of Xuzhou (Grant No. KC22061).

Institutional Review Board Statement

Not applicable.

Informed Consent Statement

Not applicable.

Data Availability Statement

The original contributions presented in the study are included in the article, further inquiries can be directed to the corresponding author.

Conflicts of Interest

Author Chuanwei Jia was employed by the company Shandong Energy Group Xibei Mining Co., Ltd. The remaining authors declare that the research was conducted in the absence of any commercial or financial relationships that could be construed as a potential conflict of interest.

Nomenclature

σcCompressive strength
σbTensile strength
τShear strength
cCohesion
φAngle of internal friction

References

  1. Musial, A.; Sermet, E.; Niec, M. Advantages and disadvantages of coal exploitation methods. Int. Multidiscip. Sci. GeoConf. 2016, 3, 213–220. [Google Scholar]
  2. Dai, S.; Finkelman, R.B. Coal as a promising source of critical elements: Progress and future prospects. Int. J. Coal Geol. 2018, 186, 155–164. [Google Scholar] [CrossRef]
  3. Li, J.; Geng, D.; Zhang, Y. Actions for or Coal Enterprises to Shrink the Carbon Footprint. In Proceedings of the Asia-Pacific Power and Energy Engineering Conference, Wuhan, China, 25–28 March 2011; IEEE Computer Society: Los Alamitos, CA, USA, 2011; pp. 1–4. [Google Scholar]
  4. Xing, Z.; Zhao, S.; Guo, W.; Meng, F.; Guo, X.; Wang, S.; He, H. Coal resources under carbon peak: Segmentation of massive laser point clouds for coal mining in underground dusty environments using integrated graph deep learning model. Energy 2023, 285, 128771. [Google Scholar] [CrossRef]
  5. Xie, H.; Gao, M.; Zhang, R.; Peng, G.; Wang, W.; Li, A. Study on the mechanical properties and mechanical response of coal mining at 1000 m or deeper. Rock Mech. Rock Eng. 2019, 52, 1475–1490. [Google Scholar] [CrossRef]
  6. Wagner, H. Deep mining: A rock engineering challenge. Rock Mech. Rock Eng. 2019, 52, 1417–1446. [Google Scholar] [CrossRef]
  7. Kang, H.; Gao, F.; Xu, G.; Ren, H. Mechanical behaviors of coal measures and ground control technologies for China’s deep coal mines–A review. J. Rock Mech. Geotech. Eng. 2023, 15, 37–65. [Google Scholar] [CrossRef]
  8. Fairhurst, C. Some challenges of deep mining. Engineering 2017, 3, 527–537. [Google Scholar] [CrossRef]
  9. Kong, J.; Liu, Q.S.; Zhu, Y.Q.; Chen, P.; An, H. Research on comprehensive mechanized efficient construction technology of large section shaft in Hecaogou mine. Adv. Mater. Res. 2013, 753, 853–856. [Google Scholar] [CrossRef]
  10. Pan, R.; Liu, J.; Cheng, H.; Fan, H. Study on the Vertical Stability of Drilling Wellbore under Optimized Constraints. Appl. Sci. 2024, 14, 2317. [Google Scholar] [CrossRef]
  11. Piscsalko, G.; Hannigan, P. State of Practice and Advances in Quality Control Methods for Drilled Shafts. In Proceedings of the IFCEE 2018, Orlando, FL, USA, 5–10 March 2018; pp. 528–540. [Google Scholar]
  12. Liu, Z.; Song, Z.; Cheng, S.; Ji, H.; Tan, J.; Jing, G. Equipment and key technologies for full-section scientifically drilling of kilo-meter-level vertical shafts. J. China Coal Soc. 2020, 45, 3645–3656. [Google Scholar]
  13. Liu, Z.; Wu, Y.; Wang, C.; Liu, H.; Sun, J.; Cheng, H. The technology of drilling well by drilling method. Mine Constr. Technol. 2011, 32, 8–10. [Google Scholar]
  14. Zhang, C.; Wang, C. Principle and Application of Floating Sinking Method for Masonry Wall. Coal Technol. 2016, 35, 72–74. [Google Scholar]
  15. Zhao, X.; Yang, X.; Yan, X.; Zhang, L.; Yang, Y. An analytic model of wellbore stability for coal drilling base on limit equilibrium method. J. China Coal Soc. 2016, 41, 909–916. [Google Scholar]
  16. Xiao, D.; Hu, Y.; Wang, Y.; Deng, H.; Zhang, J.; Tang, B.; Xi, J.; Tang, S.; Li, G. Wellbore cooling and heat energy utilization method for deep shale gas horizontal well drilling. Appl. Therm. Eng. 2022, 213, 118684. [Google Scholar] [CrossRef]
  17. Cheng, H.; Wang, M.; Nie, Q.; Liang, G. Study on mechanical behavior of shaft drilling liner during floating and drop-ping. J. Beijing Jiaotong Univ. 2012, 36, 48–51. [Google Scholar]
  18. Li, C. Study on backwall pressure filling and cementing technology of drilling well. Mod. Bus. Trade Ind. 2011, 23, 278–279. [Google Scholar]
  19. Hong, B. The current status and development of deep shaft drilling and support technologies. In Proceedings of the Academic Annual Conference on Coal Science and Technology at the Turn of the Century, Beijing, China, 1–5 February 1997; Beijing Mining Research Institute, China Coal Research Institute: Beijing, China, 1997; p. 7. [Google Scholar]
  20. Weng, J. Special Construction Techniques for Shafts and Roadways; Coal Industry Press: Beijing, China, 1991. [Google Scholar]
  21. Liang, Y.; Yuan, Y. Effects of Environmental Factors of Sulfate Attack on Deterioration of Concrete Mechanical Behavior. J. China Univ. Min. Technol. 2005, 34, 452–457. [Google Scholar]
  22. Wang, Y.; Huang, J.; Li, J.; Yang, Y. Early-Stage Strength Growth of High-Strength Concrete in Outer Freezing Shaft Walls. J. China Univ. Min. Technol. 2008, 37, 595–599. [Google Scholar]
  23. Jia, F.; Lv, H.; Cui, Y.; Qu, Y.; Wang, Y. Research on Degraded Behaviors of Research into the Degraded Properties of Concrete Specimens Heated to Different Temperatures and then Subject to Various Cooling Methods. J. China Univ. Min. Technol. 2009, 38, 25–29. [Google Scholar]
  24. Yang, Z.; Liang, X.; Wang, H.; Wang, D. In-situ measurement and analysis of drilling shaft lining concrete strain during sinking. J. China Coal Soc. 2011, 36, 1463–1468. [Google Scholar]
  25. Ren, Y.; Yang, W.; Han, T. Study of the ultimate bearing based on different capacity of a shaft lining failure criteria. J. China Univ. Min. Technol. 2011, 40, 540–543. [Google Scholar]
  26. Yao, Z.; Wang, C.; Cheng, H.; Xue, W.; Liang, G. Design optimization and engineering application of high strength shaft lining for rapid construction with drilling shaft sinking method. J. China Univ. Min. Technol. 2019, 48, 742–749. [Google Scholar]
  27. Li, L.; Zhong, W.; Cheng, C.; Zhang, W. Development and application of underwater non-dispersible concrete. Henan Build. Mater. 2020, 4, 51–52. [Google Scholar]
  28. Zhong, W.; Zhang, Q.; Zhang, S. Development and Application of Non-dispersible underwater concrete. J. Build. Struct. (Suppl. Issue) 2008, 29 (Suppl. S1), 146–151. [Google Scholar]
  29. Blanco, A.; Negro, C.; Fuente, E.; Tijero, J. Effect of Shearing Forces and Flocculant Overdose on Filler Flocculation Mechanisms and Floc Properties. Ind. Eng. Chem. Res. 2005, 44, 9105–9112. [Google Scholar] [CrossRef]
  30. Sonebi, M.; Bartos, P.J.M.; Khayat, K.H. Assessment of washout resistance of underwater concrete: A comparison between CRD C61 and new MC-1 tests. Mater. Struct. 1999, 32, 273–281. [Google Scholar] [CrossRef]
  31. Zhang, M.; Wang, F.; Ye, K.; Wu, Z.; Zeng, Y. Effect of Fly Ash and Slag on Anti-washout Underwater Concrete. Bull. Chin. Ceram. Soc. 2016, 35, 2611–2616. [Google Scholar]
  32. Yang, Q.; Liu, X.; Chen, X.; Song, P.; Xia, J.; Wang, J.; Leng, F. Preparation and performance of high-strength anti-washout underwater concrete. Shanxi Archit. 2022, 48, 113–116. [Google Scholar]
  33. Din, Z.; Yao, Z.; Hu, K.; Fang, Y. Development of high-performance fiber-reinforced concrete for drilling wellbore walls in highly mineralized strata and its sulfate attack resistanceattack resistance. Mater. Res. Express 2024, 11, 085305. [Google Scholar] [CrossRef]
  34. Jiang, W. Study on Vertical Structural Stability of Super-Deep Bored Shaft Submerged in Slurry. Ph.D. Thesis, Tongji University, Shanghai, China, 2008. [Google Scholar]
  35. GB/T 37990-2019; Technical Requirements of Anti-Washout Admixture for Underwater Concrete. National Standards of the People’s Republic of China: Beijing, China, 2019.
  36. GB/T 50080-2016; Standard for Test Method of Performance on Ordinary Fresh Concrete. National Standards of the People’s Republic of China: Beijing, China, 2016.
  37. Zhang, Y. Drilling Construction Handbook; Coal Industry Press: Beijing, China, 2010. [Google Scholar]
  38. GB 51227-2017; Standard for Construction and Acceptance of Vertical Shaft Drilling. National Standards of the People’s Republic of China: Beijing, China, 2017.
  39. GB/T 50081-2019; Standard for test methods of physical and mechanical properties of concrete. National Standards of the People’s Republic of China: Beijing, China, 2019.
  40. DZ/T 0276.25-2015; Specifications for Rock Test—Part 25: Test for Shear Strength of Rock. National Standards of the People’s Republic of China: Beijing, China, 2015.
  41. Snyder, K.A. A Numerical Test of Air Void Spacing Equations. Adv. Cem. Based Mater. 1998, 8, 28–44. [Google Scholar] [CrossRef]
  42. Ding, G.; Jiang, L.; Zhang, J. Influence of Bentonite on Hydrating and Hardening of Cement. J. Wuhan Univ. Technol. 2012, 34, 20–23, 41. [Google Scholar]
  43. Yang, Y.; Deng, H.; Gao, X.; Ba, H. The progresses of test methods for measuring air-voids system of concrete. Low Temp. Archit. Technol. 2006, 4, 1–3. [Google Scholar]
Figure 1. Diagram of failure in cast-in-situ shaft walls in a slurry environment.
Figure 1. Diagram of failure in cast-in-situ shaft walls in a slurry environment.
Applsci 14 11225 g001
Figure 2. Mortar performance testing.
Figure 2. Mortar performance testing.
Applsci 14 11225 g002
Figure 3. Influence curves of slurry: (a) specific gravity; (b) viscosity.
Figure 3. Influence curves of slurry: (a) specific gravity; (b) viscosity.
Applsci 14 11225 g003
Figure 4. Relationship curves of slurry colloid rate under different formulations.
Figure 4. Relationship curves of slurry colloid rate under different formulations.
Applsci 14 11225 g004
Figure 5. Schematic diagram of the preparation process for compressive strength test blocks.
Figure 5. Schematic diagram of the preparation process for compressive strength test blocks.
Applsci 14 11225 g005
Figure 6. Appearance of test blocks under different casting environments: (a) dry environment; (b) pure water environment; (c) slurry environment.
Figure 6. Appearance of test blocks under different casting environments: (a) dry environment; (b) pure water environment; (c) slurry environment.
Applsci 14 11225 g006
Figure 7. Analysis of the micro-pore structure of mortar test blocks: (a) physical images; (b) analysis software.
Figure 7. Analysis of the micro-pore structure of mortar test blocks: (a) physical images; (b) analysis software.
Applsci 14 11225 g007
Figure 8. Change in compressive strength/strength ratio of test blocks with curing time under different pouring environments: (a) strength; (b) strength ratio.
Figure 8. Change in compressive strength/strength ratio of test blocks with curing time under different pouring environments: (a) strength; (b) strength ratio.
Applsci 14 11225 g008
Figure 9. Change in tensile strength/strength ratio of test blocks with curing time under different pouring environments: (a) strength; (b) strength ratio.
Figure 9. Change in tensile strength/strength ratio of test blocks with curing time under different pouring environments: (a) strength; (b) strength ratio.
Applsci 14 11225 g009
Figure 10. Change in shear characteristics and their ratios of test blocks with curing time under different pouring environments: (a) strength; (b) internal friction angle and cohesion; (c) strength ratio; (d) internal friction angle ratio and cohesion ratio.
Figure 10. Change in shear characteristics and their ratios of test blocks with curing time under different pouring environments: (a) strength; (b) internal friction angle and cohesion; (c) strength ratio; (d) internal friction angle ratio and cohesion ratio.
Applsci 14 11225 g010
Figure 11. Micro-pore structure of test blocks under different pouring environments: (a) compression test specimen in a dry environment; (b) tensile test specimen in a dry environment; (c) tensile test specimen in a dry environment; (d) compression test specimen in a pure water environment; (e) tensile test specimen in a pure water environment; (f) shear test specimen in a pure water environment; (g) compression test specimen in a slurry environment; (h) tensile test specimen in a slurry environment; (i) shear test specimen in a slurry environment.
Figure 11. Micro-pore structure of test blocks under different pouring environments: (a) compression test specimen in a dry environment; (b) tensile test specimen in a dry environment; (c) tensile test specimen in a dry environment; (d) compression test specimen in a pure water environment; (e) tensile test specimen in a pure water environment; (f) shear test specimen in a pure water environment; (g) compression test specimen in a slurry environment; (h) tensile test specimen in a slurry environment; (i) shear test specimen in a slurry environment.
Applsci 14 11225 g011
Table 1. Composition of JGM-201 type mortar per 1000 g.
Table 1. Composition of JGM-201 type mortar per 1000 g.
Low-Alkali Sulphoaluminate Cement (g)River Sand (g)Superplasticizer (g)Mineral Admixture (g)
450498250
Table 2. Dispersibility and flowability of mortar with different mix proportions.
Table 2. Dispersibility and flowability of mortar with different mix proportions.
No.Water (g)Grouting Material (g)Anti-Dispersant (g)Flowability (mm)pH Value
A-12201000103009.6
A-22001000102808.4
A-31801000102358.1
A-42001000531010.2
A-52001000152408.1
Table 3. Early strength of mortar.
Table 3. Early strength of mortar.
Casting TypeStrength (MPa)
1 d3 d7 d
Dry environment35.5240.1841.02
Pure water environment24.3531.1633.83
Table 4. Effect of variation of bentonite content on slurry properties.
Table 4. Effect of variation of bentonite content on slurry properties.
No.Bentonite (g)CMC Solution (g)Water (g)Anhydrous Sodium Carbonate (g)Sodium Tripolyphosphate Solution (g)Density (g/cm3)Apparent Viscosity (cp)Colloidal Rate (%)
N-T-130205501.01.01.0258.5797.0
N-T-264205501.01.01.05110.1796.6
N-T-3101205501.01.01.08115.1296.0
N-T-4143205501.01.01.11519.6694.1
Table 5. Effect of variation of CMC content on slurry properties.
Table 5. Effect of variation of CMC content on slurry properties.
No.Bentonite (g)CMC Solution (g)Water (g)Anhydrous Sodium Carbonate (g)Sodium Tripolyphosphate Solution (g)Density (g/cm3)Apparent Viscosity (cp)Colloidal Rate (%)
N-C-190.0135501.01.01.0719.394.6
N-C-290.0205501.01.01.07112.096.4
N-C-390.0275501.01.01.07217.897.1
N-C-490.0345501.01.01.07323.999.0
Table 6. Selected slurry formulations and their characteristic parameters for the experiment.
Table 6. Selected slurry formulations and their characteristic parameters for the experiment.
Bentonite (g)CMC Solution (g)Water (g)Anhydrous Sodium Carbonate (g)Sodium Tripolyphosphate Solution (g)Density (g/cm3)Apparent Viscosity (cp)Colloidal Rate (%)
140305301.01.01.18322.398.6
Disclaimer/Publisher’s Note: The statements, opinions and data contained in all publications are solely those of the individual author(s) and contributor(s) and not of MDPI and/or the editor(s). MDPI and/or the editor(s) disclaim responsibility for any injury to people or property resulting from any ideas, methods, instructions or products referred to in the content.

Share and Cite

MDPI and ACS Style

Yang, Z.; Chen, Y.; Luo, T.; Han, T.; Jia, C.; Zhang, T.; Yang, W. Experimental Study on the Strength Characteristics of Cast-In-Situ Mortar Specimens in a Slurry Environment. Appl. Sci. 2024, 14, 11225. https://doi.org/10.3390/app142311225

AMA Style

Yang Z, Chen Y, Luo T, Han T, Jia C, Zhang T, Yang W. Experimental Study on the Strength Characteristics of Cast-In-Situ Mortar Specimens in a Slurry Environment. Applied Sciences. 2024; 14(23):11225. https://doi.org/10.3390/app142311225

Chicago/Turabian Style

Yang, Zhijiang, Yulu Chen, Tingting Luo, Tao Han, Chuanwei Jia, Tao Zhang, and Weihao Yang. 2024. "Experimental Study on the Strength Characteristics of Cast-In-Situ Mortar Specimens in a Slurry Environment" Applied Sciences 14, no. 23: 11225. https://doi.org/10.3390/app142311225

APA Style

Yang, Z., Chen, Y., Luo, T., Han, T., Jia, C., Zhang, T., & Yang, W. (2024). Experimental Study on the Strength Characteristics of Cast-In-Situ Mortar Specimens in a Slurry Environment. Applied Sciences, 14(23), 11225. https://doi.org/10.3390/app142311225

Note that from the first issue of 2016, this journal uses article numbers instead of page numbers. See further details here.

Article Metrics

Back to TopTop