REASSURED Test System for Food Control—Preparation of LAMP Reaction Mixtures for In-Field Identification of Plant and Animal Species
Abstract
Featured Application
Abstract
1. Introduction
2. Materials and Methods
2.1. Sample Material
2.2. DNA Extraction
2.2.1. DNA Extraction from Plant Tissue
High-Quality DNA Isolation from Plant Tissue
Point-of-Care-Suitable DNA Isolation from Plant Tissue
2.2.2. DNA Extraction from Fish Tissue
High-Quality DNA Isolation from Fish Tissue
Point-of-Care-Suitable DNA Isolation from Fish Tissue
2.3. Quality and Quantity Assessment
2.4. LAMP Assays Specific for Carthamus Tinctorius and Pleuronectes Platessa
2.4.1. Assay with Bst 3.0 DNA Polymerase from NEB
2.4.2. Assay with Glycerol-Free Bst DNA Polymerase (GFP) from Meridian Bioscience
2.5. Lyophilization and Storage of LAMP Reaction Mixtures
2.6. Doctor Vida Pocket Test
2.7. Statistical Analysis
3. Results and Discussion
3.1. Preliminary Experiments on Glycerol Removal and Freeze-Drying
3.2. Long-Term Stability at Room Temperature
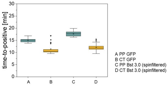
3.3. Reproducibility
3.4. Fluorescence Measurements with Doctor Vida Pocket Test
3.5. Point-of-Care Testing with Standard Operating Procedure and Evaluation of REASSURED Criteria
4. Conclusions
Supplementary Materials
Author Contributions
Funding
Institutional Review Board Statement
Informed Consent Statement
Data Availability Statement
Acknowledgments
Conflicts of Interest
References
- Creydt, M.; Fischer, M. Omics approaches for food authentication. Electrophoresis 2018, 39, 1569–1581. [Google Scholar] [CrossRef]
- Maquet, A.; Lievens, A.; Paracchini, V.; Kaklamanos, G.; de La Calle, B.; Garlant, L.; Papoci, S.; Pietretti, D.; Zdiniakova, T.; Breidbach, A.; et al. Results of an EU Wide Coordinated Control Plan to Establish the Prevalence of Fraudulent Practices in the Marketing of Herbs and Spices; EUR30877EN; JRC126785; Publications Office of the European Union: Luxembourg, 2021. [Google Scholar]
- Food and Agriculture Organization of the United Nations (FAO). The State of World Fisheries and Aquaculture 2022, Trade of Fisheries and Aquaculture Products. Available online: https://openknowledge.fao.org/server/api/core/bitstreams/9df19f53-b931-4d04-acd3-58a71c6b1a5b/content/sofia/2022/trade-of-aquatic-products.html (accessed on 28 September 2024).
- Scaravelli, E.; Brohée, M.; Marchelli, R.; van Hengel, A.J. Development of three real-time PCR assays to detect peanut allergen residue in processed food products. Eur. Food Res. Technol. 2008, 227, 857–869. [Google Scholar] [CrossRef]
- Land, K.J.; Boeras, D.I.; Chen, X.-S.; Ramsay, A.R.; Peeling, R.W. REASSURED diagnostics to inform disease control strategies, strengthen health systems and improve patient outcomes. Nat. Microbiol. 2019, 4, 46–54. [Google Scholar] [CrossRef]
- LaBarre, P.; Boyle, D.; Hawkins, K.; Weigl, B. Instrument-free nucleic acid amplification assays for global health settings. In Proceedings of SPIE—The International Society for Optical Engineering, Orlando, FL, USA, 16 May 2011; Volume 8029. [Google Scholar] [CrossRef]
- Notomi, T.; Okayama, H.; Masubuchi, H.; Yonekawa, T.; Watanabe, K.; Amino, N.; Hase, T. Loop-mediated isothermal amplification of DNA. Nucleic Acids Res. 2000, 28, E63. [Google Scholar] [CrossRef]
- Notomi, T.; Mori, Y.; Tomita, N.; Kanda, H. Loop-mediated isothermal amplification (LAMP): Principle, features, and future prospects. J. Microbiol. 2015, 53, 1–5. [Google Scholar] [CrossRef]
- Rolando, J.C.; Jue, E.; Barlow, J.T.; Ismagilov, R.F. Real-time kinetics and high-resolution melt curves in single-molecule digital LAMP to differentiate and study specific and non-specific amplification. Nucleic Acids Res. 2020, 48, e42. [Google Scholar] [CrossRef]
- Galvin-King, P.; Haughey, S.A.; Elliott, C.T. Herb and spice fraud; the drivers, challenges and detection. Food Control 2018, 88, 85–97. [Google Scholar] [CrossRef]
- Niessen, L.; Luo, J.; Denschlag, C.; Vogel, R.F. The application of loop-mediated isothermal amplification (LAMP) in food testing for bacterial pathogens and fungal contaminants. Food Microbiol. 2013, 36, 191–206. [Google Scholar] [CrossRef]
- Zahradnik, C.; Martzy, R.; Mach, R.L.; Krska, R.; Farnleitner, A.H.; Brunner, K. Detection of the food allergen celery via loop-mediated isothermal amplification technique. Anal. Bioanal. Chem. 2014, 406, 6827–6833. [Google Scholar] [CrossRef]
- Cammilleri, G.; Ferrantelli, V.; Pulvirenti, A.; Drago, C.; Stampone, G.; Del Rocio Quintero Macias, G.; Drago, S.; Arcoleo, G.; Costa, A.; Geraci, F.; et al. Validation of a Commercial Loop-Mediated Isothermal Amplification (LAMP) Assay for the Rapid Detection of Anisakis spp. DNA in Processed Fish Products. Foods 2020, 9, 92. [Google Scholar] [CrossRef]
- Njiru, Z.K. Loop-mediated isothermal amplification technology: Towards point of care diagnostics. PLoS Neglected Trop. Dis. 2012, 6, e1572. [Google Scholar] [CrossRef]
- Zhang, M.; Liu, Y.; Chen, L.; Quan, S.; Jiang, S.; Zhang, D.; Yang, L. One simple DNA extraction device and its combination with modified visual loop-mediated isothermal amplification for rapid on-field detection of genetically modified organisms. Anal. Chem. 2013, 85, 75–82. [Google Scholar] [CrossRef]
- Deconinck, D.; Robbens, J.; Volckaert, F.A.; Derycke, S. Rapid and low-cost identification of common sole (Solea solea) in the field using a fast DNA isolation protocol and loop-mediated isothermal amplification (LAMP). J. Food Compos. Anal. 2023, 118, 105166. [Google Scholar] [CrossRef]
- Wan, J.; Guo, J.; Lu, Z.; Bie, X.; Lv, F.; Zhao, H. Development of a test kit for visual loop-mediated isothermal amplification of Salmonella in spiked ready-to-eat fruits and vegetables. J. Microbiol. Methods 2020, 169, 105830. [Google Scholar] [CrossRef]
- Wang, W. Lyophilization and development of solid protein pharmaceuticals. Int. J. Pharm. 2000, 203, 1–60. [Google Scholar] [CrossRef]
- Carter, C.; Akrami, K.; Hall, D.; Smith, D.; Aronoff-Spencer, E. Lyophilized visually readable loop-mediated isothermal reverse transcriptase nucleic acid amplification test for detection Ebola Zaire RNA. J. Virol. Methods 2017, 244, 32–38. [Google Scholar] [CrossRef]
- Jothinarayanan, N.; Karlsen, F.; Roseng, L.E. Characterization and Validation of a Lyophilized Loop-Mediated Isothermal Amplification Method for the Detection of Esox lucius. Appl. Biochem. Biotechnol. 2023, 196, 5249–5264. [Google Scholar] [CrossRef]
- Wang, J.; Wan, Y.; Chen, G.; Liang, H.; Ding, S.; Shang, K.; Li, M.; Dong, J.; Du, F.; Cui, X.; et al. Colorimetric Detection of Horse Meat Based on Loop-Mediated Isothermal Amplification (LAMP). Food Anal. Methods 2019, 12, 2535–2541. [Google Scholar] [CrossRef]
- Vythalingam, L.M.; Hossain, M.A.M.; Bhassu, S. Rapid in-situ detection kit (RisK): Development of loop-mediated isothermal amplification (LAMP) assay for the rapid identification of selected invasive alien fish in Malaysian freshwaters. Mol. Cell. Probes 2021, 55, 101683. [Google Scholar] [CrossRef]
- Xu, W.; Li, Q.; Xue, H.; Fei, Y.; Cui, X.; Cao, M.; Xiong, X.; Xiong, X.; Yang, Y.; Wang, L. Establishment of a rapid method for skipjack tuna (Katsuwonus pelamis) authentication using molecular beacons in loop-mediated isothermal amplification. Food Chem. 2022, 382, 132365. [Google Scholar] [CrossRef]
- Doria, G.; Clemente, C.; Coelho, E.; Colaço, J.; Crespo, R.; Semikhodskii, A.; Mansinho, H.; Dinis, M.; Carvalho, M.F.; Casmarrinha, M.; et al. An isothermal lab-on-phone test for easy molecular diagnosis of SARS-CoV-2 near patients and in less than 1 hour. Int. J. Infect. Dis. 2022, 123, 1–8. [Google Scholar] [CrossRef] [PubMed]
- Papadakis, G.; Pantazis, A.K.; Fikas, N.; Chatziioannidou, S.; Tsiakalou, V.; Michaelidou, K.; Pogka, V.; Megariti, M.; Vardaki, M.; Giarentis, K.; et al. Portable real-time colorimetric LAMP-device for rapid quantitative detection of nucleic acids in crude samples. Sci. Rep. 2022, 12, 3775. [Google Scholar] [CrossRef]
- Doctor Vida Pocket PCR Advertisement. Available online: https://www.stabvida.com/images/pricelists/doctor-vida-pocket-pcr.pdf?30012024 (accessed on 30 September 2024).
- ISO 3632-2:2010(en); Spices—Saffron (Crocus sativus L.)—Part 2: Test Methods. ISO: Geneva, Switzerland, 2010. Available online: https://www.dinmedia.de/de/norm/iso-3632-2/135451089 (accessed on 21 November 2024).
- ISO 928:2009(en); Spices and Condiments—Determination of Total Ash. ISO: Geneva, Switzerland, 2009. Available online: https://www.dinmedia.de/de/norm/une-iso-928/123990808 (accessed on 21 November 2024).
- DIN CEN/TS 17303:2019-06; Foodstuffs—DNA Barcoding of Fish and Fish Products Using Defined Mitochondrial Cytochrome b and Cytochrome c Oxidase I Gene Segments. Beuth Verlag: Berlin, Germany, 2019. [CrossRef]
- Rehbein, H. Identification of the fish species of raw or cold-smoked salmon and salmon caviar by single-strand conformation polymorphism (SSCP) analysis. Eur. Food Res. Technol. 2005, 220, 625–632. [Google Scholar] [CrossRef]
- Wax, N.; Pförtner, L.S.; Holz, N.; Sterzl, S.; Melnik, M.; Kappel, K.; Bade, P.; Schröder, U.; Haase, I.; Fritsche, J.; et al. Fast and User-Friendly Detection of Flatfish Species (Pleuronectes platessa and Solea solea) via Loop-Mediated Isothermal Amplification (LAMP). J. Agric. Food Chem. 2023, 71, 14795–14805. [Google Scholar] [CrossRef]
- Holz, N.; Illarionov, B.; Wax, N.; Schmidt, C.; Fischer, M. Point-of-care suitable identification of the adulterants Carthamus tinctorius and Curcuma longa in Crocus sativus based on loop-mediated isothermal amplification (LAMP) and lateral-flow-assay (LFA). Food Control 2023, 148, 109637. [Google Scholar] [CrossRef]
- Arakawa, T.; Prestrelski, S.J.; Kenney, W.C.; Carpenter, J.F. Factors affecting short-term and long-term stabilities of proteins. Adv. Drug Deliv. Rev. 2001, 46, 307–326. [Google Scholar] [CrossRef]
- Tanaka, K.; Takeda, T.; Miyajima, K. Cryoprotective Effect of Saccharides on Denaturation of Catalase by Freeze-Drying. Chem. Pharm. Bull. 1991, 39, 1091–1094. [Google Scholar] [CrossRef]
- Agel, E.; Sagcan, H. Optimization of Lyophilized LAMP and RT-PCR Reaction Mixes for Detection of Tuberculosis. EuroBiotech J. 2020, 4, 230–236. [Google Scholar] [CrossRef]
- Rieder, J.; Martin-Sanchez, P.M.; Osman, O.A.; Adrian-Kalchhauser, I.; Eiler, A. Detecting aquatic pathogens with field-compatible dried qPCR assays. J. Microbiol. Methods 2022, 202, 106594. [Google Scholar] [CrossRef]
- Song, X.; Coulter, F.J.; Yang, M.; Smith, J.L.; Tafesse, F.G.; Messer, W.B.; Reif, J.H. A lyophilized colorimetric RT-LAMP test kit for rapid, low-cost, at-home molecular testing of SARS-CoV-2 and other pathogens. Sci. Rep. 2022, 12, 7043. [Google Scholar] [CrossRef]
- Prado, N.O.; Marin, A.M.; Lalli, L.A.; Sanchuki, H.B.S.; Wosniaki, D.K.; Nardin, J.M.; Morales, H.M.P.; Blanes, L.; Zanette, D.L.; Aoki, M.N. Development and evaluation of a lyophilization protocol for colorimetric RT-LAMP diagnostic assay for COVID-19. Sci. Rep. 2024, 14, 10612. [Google Scholar] [CrossRef]
- Conceição, M.; Assunção, H.; Doria, G.; Coelho, E.; Clemente, C.; Gaspar, C.; Furtado, T.; Yamaguchi, T.; Santos, A.; Silva, M.; et al. A Genetic Lab-on-Phone Test for Point-of-Care Diagnostic of Lactose Intolerance near Patient and in less than 90 Minutes. J. Appl. Lab. Med. 2024, 9, 4–13. [Google Scholar] [CrossRef]
- Visby Medical Sexual Health Test. Available online: https://www.visbymedical.com/sexual-health-test/ (accessed on 28 September 2024).
- Park, H.-J.; Cho, H.; Jung, H.S.; Cho, B.H.; Lee, M.-Y. Development of a DNA isolation device using poly(3,4-dihydroxy-L-phenylalanine)-coated swab for on-site molecular diagnostics. Sci. Rep. 2019, 9, 8144. [Google Scholar] [CrossRef]




| Species/Sample | Origin | Additional Information |
|---|---|---|
| C. tinctorius | Botanical Garden University of Hamburg | Fresh material |
| C. tinctorius | Hela GmbH | Dried petals, ground |
| C. sativus | Husarich GmbH | Dried, ground, Grade 3 |
| Tea “Ingwerzauber” | Local market | Declaration: ginger (48%), lemongrass (29%), black pepper, licorice (10%), safflower |
| Sample “Saffron” | Local market | Dried, ground |
| P. platessa1 | 27 IV | Whole fish, frozen |
| P. platessa2 | 27 IV | Whole fish, frozen |
| S. solea1 | 27 | Whole fish, frozen |
| S. solea2 | 27 | Filleted, frozen |
| Sample “Plaice” | Local market | Filleted, fresh |
| Species | Target | Primer Binding Side | Sequence (5′–3′) |
|---|---|---|---|
| Carthamus tinctorius [32] | ITS1-2 | Tin_F3 | GCCTTAGCCCTACGATGCT |
| Tin_F2 | CGGGGTTTGTTTTTGTGCCGAC | ||
| Tin_F1c | CATGCGTGCAAGGTGCTT | ||
| Tin_B3 | TTCATCGATGCGTGAGCC | ||
| Tin_B2 | GGTTCGTCTCGTGTTGCCCC | ||
| Tin_B1c | CGTTGCCGAGAGTCGTTTA | ||
| Tin_LF | GACGTCCACGATGCCTAGAGAT | ||
| Tin_LB | TTGCGGTGTGCACACGG | ||
| Pleuronectes platessa [31] | Cyt b | Plat_F3 | GCTTCGCAGTCCTCCTCA |
| Plat_F2 | CTGCACTGGCTTCACTCG | ||
| Plat_F1c | AGGCGTGAAGTTGTCTGGGTCT | ||
| Plat_B3 | GCCAAGCTTGTTTGGGATG | ||
| Plat_B2 | AGCGGAGAATGGCGTAGG | ||
| Plat_B1c | GTCACGCCGCCACACATCAA | ||
| Plat_LB | GCCAGAGTGATACTTCCTCTTTG |
| REASSURED Criteria | Is this Criterion Met? |
|---|---|
| Real-time quality control | Doctor Vida enables real-time quality control via displaying fluorescence data in app |
| Ease of specimen collection | Using swab or small brush to collect specimen |
| Affordable by those in need | Reagent costs: EUR ~0.50Instrument cost: EUR 330 |
| Sensitive (few false negatives) | No false negatives were detected in both assays |
| Specific (few false positives) | High specificity for both assays [18,19] |
| User-friendly | See SOP (Figure S3), initial POC testing revealed high user-friendliness |
| Rapid and robust | Both assays can be conducted in less than 60 min: DNA extraction: <10 min LAMP assay: 30 min Robust: Storage capacity is high at temperatures around 20 °C. See Figure 1 and Figure 2 for detailed description. |
| Equipment-free | Test kit: Brush or swab for specimen collection; tube containing extraction buffer; reaction tube with lyophilized reaction mix; Doctor Vida Pocket test; and smartphone |
| Delivered to those who need it | Pending, future application of food controlling at institutions and industry realistic. |
Disclaimer/Publisher’s Note: The statements, opinions and data contained in all publications are solely those of the individual author(s) and contributor(s) and not of MDPI and/or the editor(s). MDPI and/or the editor(s) disclaim responsibility for any injury to people or property resulting from any ideas, methods, instructions or products referred to in the content. |
© 2024 by the authors. Licensee MDPI, Basel, Switzerland. This article is an open access article distributed under the terms and conditions of the Creative Commons Attribution (CC BY) license (https://creativecommons.org/licenses/by/4.0/).
Share and Cite
Holz, N.; Wax, N.; Oest, M.; Fischer, M. REASSURED Test System for Food Control—Preparation of LAMP Reaction Mixtures for In-Field Identification of Plant and Animal Species. Appl. Sci. 2024, 14, 10946. https://doi.org/10.3390/app142310946
Holz N, Wax N, Oest M, Fischer M. REASSURED Test System for Food Control—Preparation of LAMP Reaction Mixtures for In-Field Identification of Plant and Animal Species. Applied Sciences. 2024; 14(23):10946. https://doi.org/10.3390/app142310946
Chicago/Turabian StyleHolz, Nathalie, Nils Wax, Marie Oest, and Markus Fischer. 2024. "REASSURED Test System for Food Control—Preparation of LAMP Reaction Mixtures for In-Field Identification of Plant and Animal Species" Applied Sciences 14, no. 23: 10946. https://doi.org/10.3390/app142310946
APA StyleHolz, N., Wax, N., Oest, M., & Fischer, M. (2024). REASSURED Test System for Food Control—Preparation of LAMP Reaction Mixtures for In-Field Identification of Plant and Animal Species. Applied Sciences, 14(23), 10946. https://doi.org/10.3390/app142310946

