Next Article in Journal
Modeling of 2-D Periodic Array of Dielectric Bars with a Low Reflection Angle for a Wind Tunnel High-Power Microwave Experiment
Previous Article in Journal
Exploring Synergy of Denoising and Distillation: Novel Method for Efficient Adversarial Defense
Previous Article in Special Issue
Device-Free Crowd Size Estimation Using Wireless Sensing on Subway Platforms
 
 
Font Type:
Arial Georgia Verdana
Font Size:
Aa Aa Aa
Line Spacing:
Column Width:
Background:
Article

False Data Injection Attacks on Reinforcement Learning-Based Charging Coordination in Smart Grids and a Countermeasure

1
Department of Computer Science, Tennessee Tech University, Cookeville, TN 38505, USA
2
Department of Electrical and Computer Engineering, Tennessee Tech University, Cookeville, TN 38505, USA
3
Department of Computer Systems, Faculty of Computer and Information Sciences, Ain Shams University, Cairo 11566, Egypt
4
Computer Science and Engineering Department, University of South Carolina Aiken, Aiken, SC 29801, USA
5
Department of Electrical Engineering, Faculty of Engineering, Al-Azhar University, Cairo 11884, Egypt
6
Department of Computer Engineering, College of Computer and Information Sciences, King Saud University, Riyadh 11451, Saudi Arabia
7
Department of Electrical Engineering, College of Engineering, King Saud University, Riyadh 11421, Saudi Arabia
*
Author to whom correspondence should be addressed.
Appl. Sci. 2024, 14(23), 10874; https://doi.org/10.3390/app142310874
Submission received: 10 October 2024 / Revised: 19 November 2024 / Accepted: 22 November 2024 / Published: 24 November 2024
(This article belongs to the Special Issue Advanced Applications of Wireless Sensor Network (WSN))

Abstract

Reinforcement learning (RL) is proven effective in optimizing home battery charging coordination within smart grids. However, its vulnerability to adversarial behavior poses a significant challenge to the security and fairness of the charging process. In this study, we, first, craft five stealthy false data injection (FDI) attacks that under-report the state-of-charge (SoC) values to deceive the RL agent into prioritizing their charging requests, and then, we investigate the impact of these attacks on the charging coordination system. Our evaluations demonstrate that attackers can increase their chances of charging compared to honest consumers. As a result, honest consumers experience reduced charging levels for their batteries, leading to a degradation in the system’s performance in terms of fairness, consumer satisfaction, and overall reward. These negative effects become more severe as the amount of power allocated for charging decreases and as the number of attackers in the system increases. Since the total available power for charging is limited, some honest consumers with genuinely low SoC values are not selected, creating a significant disparity in battery charging levels between honest and malicious consumers. To counter this serious threat, we develop a deep learning-based FDI attack detector and evaluated it using a real-world dataset. Our experiments show that our detector can identify malicious consumers with high accuracy and low false alarm rates, effectively protecting the RL-based charging coordination system from FDI attacks and mitigating the negative impacts of these attacks.

1. Introduction

A smart power grid is an advanced electrical grid that integrates digital technologies to monitor, control, and optimize the generation, distribution, and consumption of electricity [1,2]. Unlike traditional power grids, smart grids utilize sensors, communication networks, and automation systems to enable real-time data exchange between utilities and consumers, enhancing the efficiency, reliability, and sustainability of power distribution [3,4]. These capabilities also support the integration of renewable energy sources, which further contributes to sustainable energy management.
A key component of smart grids is the Advanced Metering Infrastructure (AMI), which facilitates the automatic collection of energy consumption data from smart meters and transmits it to utility providers [5,6]. Smart meters (SMs) at the consumer end of the system replace traditional meters, providing real-time consumption data to both the utility and consumers. This enables better energy management, dynamic pricing, and more accurate billing [7]. SMs also support remote monitoring and control, allowing for automated load balancing and seamless integration of distributed energy resources.
Managing energy in smart grids requires the coordinated control of generation, distribution, and consumption to ensure grid stability, reliability, and cost-efficiency [8]. However, the integration of distributed energy resources (DERs), such as solar panels and wind turbines, introduces variability due to weather conditions. Additionally, the growing adoption of electric vehicles (EVs) and home energy storage systems increases demand and alters consumption patterns, further complicating grid management. Effective energy management strategies must balance supply and demand, minimize operational costs, and optimize the use of renewable energy while maintaining grid stability. Advanced techniques, such as optimization algorithms and machine learning, play a crucial role in achieving these goals by enabling real-time decision-making and efficient energy distribution.
While several optimization techniques—such as Linear, Integer, and Binary Programming—have been employed in the literature [9,10,11], they often encounter challenges. These methods can struggle with scalability in large systems, have difficulty adapting to real-time fluctuations in demand and pricing, and depend heavily on accurate system models and parameters, which may not always be available [12]. To address these limitations, our previous work proposed a reinforcement learning (RL) approach using an actor-critic algorithm to optimize home battery charging coordination [13].
The RL-based charging coordination system has an agent and an environment, where the agent is the charging coordinator and the environment is the home batteries of a number of homes connected to the same electrical feeder. Home meters can communicate with the control center, which operates a charging coordination system, using various technologies such as cellular networks, the Internet, and wired connections. At each time step t, the environment provides the agent with the current state S t which includes the State of Charge (SoC) of each battery and the maximum amount of power allocated for charging ( C m a x ). The agent then selects an action a t which includes the amount of charging each battery can charge. This decision is made to balance three key objectives: avoiding the consumption of more than the energy allocated for charging ( C m a x ) to ensure the proper operation of the grid, distributing energy fairly across all consumers, and ensuring good service by maintaining the SoC values within predefined thresholds to ensure uninterrupted service for consumers. Simultaneously, the agent seeks to minimize overall power consumption from the grid to reduce operational costs and delay infrastructure upgrades. In response, the environment returns the next state S t + 1 and a reward r t + 1 , which reflects the agent’s success in achieving the objectives. This feedback loop allows the agent to learn and refine its policy over time, balancing exploration and exploitation to achieve better charging decisions in the future. Experimental results using real-world data demonstrated that the RL-based approach can achieve the design objectives [13].
However, one significant limitation of the approach in [13] is the assumption that all participants behave honestly. In practice, this assumption is unrealistic, as some consumers may attempt to manipulate their SoC values to gain priority access to charging. Such manipulation is known as a False Data Injection (FDI) attack, where malicious consumers underreport their SoC values to increase their chances of receiving energy. This manipulation disrupts fairness, reduces the system’s efficiency, and negatively impacts honest consumers by lowering their charging opportunities.
This paper investigates the security vulnerabilities of RL-based charging coordination and proposes countermeasures to mitigate the impact of FDI attacks. To the best of our knowledge, this is the first work that addresses the security of RL-based home battery charging coordination. The primary contributions of this work are summarized as follows:
  • We introduce several FDI attacks designed to stealthily manipulate SoC values. Using real-world data, we evaluate the impact of these attacks on the RL-based charging system, showing that attackers gain unfair advantages by increasing their charging opportunities, while honest consumers experience reduced charging and lower battery levels. As the number of attackers increases, system performance deteriorates further, with reduced fairness, lower consumer satisfaction, increased power drawn from the grid, and decreased overall reward.
  • To address these threats, we develop a deep learning-based detector for SoC falsification. Our experiments demonstrate that the proposed detector effectively identifies malicious behavior with high accuracy and low false alarm rates, safeguarding the RL-based charging system from FDI attacks and mitigating their negative impact.
The rest of this paper is organized as follows. Section 2 reviews prior research on charging coordination and security in smart grids and identifies research gaps. Section 3 presents the FDI attacks and evaluates their impact. Section 4 describes the proposed detection mechanism and its performance. Finally, Section 5 concludes the paper and discusses future research directions.

2. Related Works

This section reviews state-of-the-art works on charging coordination in smart grids and their security aspects and vulnerabilities to cyber-attacks. Additionally, it discusses existing limitations in the literature, identifies research gaps, and presents our proposed research motivations.

2.1. Charging Coordination for EVs and Home Energy Management

Most existing research on charging coordination and optimization in smart grids has primarily focused on EVs and home energy management systems [14,15,16,17,18,19,20]. Coordinating and optimizing charging strategies is crucial for demand response, enabling utilities to shift charging to off-peak hours, which reduces grid strain and consumer costs. Additionally, it enhances stability by efficiently harnessing excess renewable energy to support sustainable energy systems [13,21,22].
In [14], Zhang et al. investigated the coordinated charging of multiple EVs to reduce charging costs, maintain a high SoC, and prevent transformer overloads. They proposed a multi-agent deep RL that utilizes a communication neural network for distributed computation of global information and incorporates long short-term memory (LSTM) for flexible price prediction. The given experimental results verify the effectiveness and practicality of the proposed method in a residential charging area. Similarly, the authors in [15] proposed an enhanced RL charging management system for EVs that accounts for essential parameters, such as departure times and energy needs upon arrival at charging stations. They utilized RL using a Double Deep Q-learning (DQL) to offer a flexible and scalable strategy for managing EV fleets while addressing overestimation in action values. The proposed RL technique significantly reduces load variance by 68% compared to uncontrolled charging strategies
In [16], the authors proposed an RL framework to intelligently recommend publicly accessible charging stations. They utilized a multi-objective, multi-agent RL approach using a multi-agent actor-critic (A2C) algorithm with centralized training and decentralized execution. The proposed framework aims to optimize multiple learning objectives by employing multiple critics combined with a dynamic gradient re-weighting strategy. It also incorporates an adaptive imitation learning scheme to improve policy convergence. The evaluation results showed that the proposed framework outperformed 10 baseline approaches when tested on real-world datasets from major cities, including Beijing and Shanghai. Similarly, in [17], the authors proposed a multi-agent RL approach to tackle the challenges of energy scheduling at charging stations, with the goal of stabilizing the electricity market and meeting the charging demands of EVs. Their approach integrates a purchasing strategy based on the multi-agent deep deterministic policy gradient and an LSTM for predicting EV charging demand, creating a unified energy scheduling strategy that functions effectively across both temporal and spatial dimensions. The results demonstrated that this approach outperforms existing energy scheduling strategies regarding economic profits and user satisfaction, based on tests conducted with real electricity market data from Chicago. Additionally, Fu et al. [18] proposed a multi-agent charge scheduling control framework integrated with a cooperative vehicle infrastructure system. They introduced a novel multi-agent A2C algorithm based on a non-cooperative game framework. This algorithm employs a K-nearest neighbor multi-head attention mechanism for state representation, an adaptive service price adjustment strategy for action definition, and a spatio-temporal discount joint reward system to ensure stable learning convergence. The results demonstrate that the proposed method effectively improves the efficiency of EV charging stations while reducing charging costs. It also shows strong extensibility and effectiveness in complex urban environments when compared to various baseline strategies, including fixed and greedy strategies, independent Q-learning, multi-agent Q-learning, and multi-agent deep deterministic policy gradient.
Kaewdornhan et al. [19] investigated the complexities of energy management in multi-home installations of solar photovoltaics (PV) combined with an EV charging schedule. To mitigate issues arising from chaotic EVs scheduling, they proposed a real-time energy management system utilizing multi-agent deep RL optimization, where the aggregator and prosumers act as smart agents that interact to make optimal decisions. The goal is to reduce electricity costs for prosumers through efficient EVs battery scheduling. The aggregator employs real-time pricing to enhance prosumer behavior and calculate revenues from energy trading. The given experimental results indicate that the proposed method reduces mean power consumption by 9.04% compared to a system without EVs usage and by 39.57% compared to one using conventional energy prices. Additionally, it decreases prosumer costs by 1.67% to 24.57% and allows the aggregator to generate daily revenue of 0.065 USD, surpassing earnings from conventional energy pricing. Additionally, Real et al. [20] propose a novel home energy management system designed to optimize electric battery operation in real-time using RL based on data-driven methods for demand-side management in residential settings. They utilize advanced load forecasting techniques to enhance decision-making robustness using Convolutional Neural Networks (CNN) and LSTM. Additionally, various RL agents are trained to minimize electricity purchase costs and maximize photovoltaic self-consumption for a PV-battery residential setup, including Double DQN, Dueling DQN, Rainbow, and Proximal Policy Optimization. The given experimental results demonstrate that the best RL agent achieves a 35% reduction in total costs compared to a traditional optimization-based agent.

2.2. RL-Based Charging Coordination for Home Batteries

Unlike [14,15,16,17,18,19,20], our previous work [13] presented an RL approach for optimizing consumer-side battery storage integrated with renewable energy sources in smart grids. The proposed approach consists of two components: the agent, a trained neural network that determines optimal charging decisions, and the environment, which includes the home storage batteries. Their interactions are represented as tuples of state ( s t ) , action ( a t ) , and reward ( r t ) at each time step ( t ) , defined as follows.
  • State ( s t ) : The state at time step t encapsulates the environment’s current status, essential for the agent to make informed decisions. It consists of two primary elements:
    -
    C max : The maximum available power for charging, which represents the upper limit of power allocation to prevent grid overload.
    -
    SoC i ( t ) : The state of charge for each consumer i at time t. Consumers with lower SoC values have a higher priority for charging, while those with higher SoC values receive less priority to maintain fairness and efficiency.
  • Action ( a t ) : The action, denoted by a, represents the power allocation decisions made by the RL agent for each customer’s battery at a given time step t. The action for each customer is a value between (0, 1), and the action space defines all possible power allocation combinations with a sum equal to or less than ( i = 0 n a i 1 ) that the agent can choose from. Each action element a i corresponds to the amount of power allocated to customer i during the current time step t. The agent aims to select an action that maximizes the expected cumulative reward over time. By effectively selecting actions within the action space, the RL agent can learn an optimal policy for power allocation.
  • Reward ( r t ) : The reward function provides feedback to the RL agent, guiding it toward optimal behavior. The reward function is a weighted sum of three components: energy usage efficiency ( r g ) , fairness ( r f ) , and consumer satisfaction ( r c ) . Each component addresses a specific objective of the charging coordination system, with their combined effect encouraging the agent to balance multiple goals effectively.
    r = r g + r f + r c
    The detailed descriptions of the three components are as follows:
    -
    Energy Usage Reward ( r g ) : This reward ensures that the total power allocated remains within the available capacity C max . If the agent allocates more power than allowed, it incurs a large penalty. Otherwise, the reward increases as the allocated power decreases, so that we encourage the agent to save energy:
    r g = 10 if R t > C max C max R t C max if R t C max
    Here, R t is the total power allocated at time t.
    -
    Fairness Reward ( r f ) : This reward component incentivizes actions that lead to equal battery levels among consumers, promoting fairness in power distribution and minimizing disparities. It is defined as follows:
    r f = CV t + 1
    where the Coefficient of Variation (CV) quantifies the deviation of battery levels from an equal distribution. It is calculated using the mean and standard deviation of the SoC for all consumers as:
    SoC mean = 1 N i = 1 N SoC i
    SD = 1 N i = 1 N ( SoC i SoC mean ) 2
    CV = SD SoC mean
    Using Equation (3), the reward r f is calculated such that a CV of 0 indicates perfect equality in battery levels, while a CV of 1 represents the greatest disparity. To ensure the reward remains within the range [0, 1], we shift and scale it by applying a negative sign to C V and adding 1. This normalization yields:
    *
    r f = 1 : Achieved when CV = 0 , indicating all consumers have the same battery level.
    *
    r f = 0 : Achieved when CV = 1 , indicating significant disparities in battery levels.
    This normalization ensures consistency across all reward components by mapping their values to the [0, 1] range, where 0 represents the minimum reward and 1 the maximum.
    -
    Consumer satisfaction reward ( r c ) : This component of the reward motivates the agent to allocate an appropriate amount of charging power to each consumer to keep their SoC within limits, i.e., SoC l  ≤  SoC m  ≤  SoC h . The satisfaction reward is calculated using different functions that correspond to various segments of the SoC values, as follows.
    r c , i = n 1 if SoC i > SoC h n 2 n 1 SoC m SoC h ( SoC i SoC h ) + n 1 if SoC h SoC i < SoC m n 2 · e ln ( 1 / n 2 ) SoC l SoC m · ( SoC i SoC m ) 1 if SoC m SoC i SoC l n 1 if SoC i < SoC l
    r c = 1 n 1 i = 1 N r c , i
    where r c represents the total customer satisfaction reward, constrained to the range (0, 1). The individual reward r c , i for each customer depends on their battery’s SoC, following a piecewise function composed of distinct segments. These segments are defined as:
    *
    Fixed Penalty (SoC < SoC l ): When the SoC is below a low threshold ( SoC l ), the reward is a fixed penalty of n 1 . This penalty discourages low battery levels, ensuring that customer satisfaction remains a priority by avoiding situations where batteries are critically low.
    *
    Exponential Equation ( SoC l  ≤ SoC < SoC m ): As the SoC increases from SoC l to a medium threshold ( SoC m ), the reward follows an exponential curve, starting from 0 at SoC l and rising to n 2 at SoC m . This segment of the reward function aims to provide a smooth and increasing incentive as the battery charge increases, reflecting an improved customer experience.
    *
    Linear Equation ( SoC m  ≤ SoC < SoC h ): When the SoC is between SoC m and SoC h , the reward increases linearly from n 2 to n 1 . This linear increment incentivizes maintaining battery levels within this range, which is considered optimal for balancing power supply and customer satisfaction.
    *
    Fixed Reward (SoC ≥  SoC h ): Once the SoC exceeds SoC h , the reward is fixed at n 1 . This fixed reward ensures that there is no incentive to overcharge the batteries above SoC h . We want the agent to keep the SoC between SoC l and SoC h .
The system uses an actor-critic algorithm framed as a Markov Decision Process (MDP), which is particularly useful to deal with continuous action spaces. This algorithm optimizes policies by training separate models for the policy (actor) and the value function (critic), allowing for better control and exploration in complex environments. The experimental results using real-world data underscore the benefits, including reduced power consumption, improved consumer satisfaction by minimizing critical SoC instances, and enhanced fairness, with the highest fair reward increasing by 173.7%. The total reward also rose by 94.1%, demonstrating the efficiency of the RL method. Unlike the work in [13], which assumes all consumers are honest, this paper aims to investigate the vulnerability of the system to FDI attacks where consumers behave maliciously to increase their chances of charging and propose a countermeasure.

2.3. Security and Vulnerability to Cyber-Attacks

Most studies on the vulnerabilities and security of charging coordination in smart grids have focused on EVs [23,24,25,26]. Existing systems are vulnerable to various cyber-attacks, including FDI and manipulation of SoC data, which can lead to low performance and unfair energy allocation.
Shafee et al. [23] investigated how EVs that report false data to gain higher charging priority affect charging coordination systems that use optimization techniques. They assessed the consequences of such attacks on both dishonest and honest EVs, revealing that dishonest EVs are more likely to charge successfully, while honest EVs may experience delays or fail to charge altogether. To tackle this issue, the authors proposed an anomaly-based detector to identify dishonest EVs by analyzing deviations from typical driving patterns. The given experimental results show that the detector achieves high accuracy and low false alarm rates, even when tested against unseen attack types. Similarly, Gumrukcu et al. [24] addressed the impact of FDI and hijacking attacks on EVs charging systems, particularly focusing on scenarios where a single point of failure can lead to significant operational disruptions. They conducted a simulation over a 24-h period involving 12 chargers and 34 realistic charging sessions to investigate the potential technical issues that could emerge from compromising a user’s mobile application or the communication interface between the Distribution System Operator (DSO) and the charging coordinator. The given results demonstrate how cyber-attacks aimed at these components can result in mismanagement of charging sessions, breach operational grid constraints, and cause significant problems for the distribution grid. Additionally, Alomrani et al. [25] proposed a feed-forward neural networks detection model to identify deceptive EVs, utilizing a unique dataset of real driving traces alongside a malicious dataset generated by an RL agent. The RL agent creates sophisticated attacks designed to evade simple detection methods while ensuring high charging priority for the malicious EVs. They evaluated the effectiveness of these RL-generated attacks against traditional methods, showing that their detection model is more resilient to intelligent and stealthy threats.
Additionally, Al-Mehdhar et al. [26] proposed a dual-scheme framework leveraging deep RL to address advanced cyber threats in EV Charging Stations. The first scheme uses deep RL to develop sophisticated attacks that manipulate SoC data, creating covert and challenging cyber-attacks. These attacks are designed to evade simple intrusion detection systems (IDS) by exploiting vulnerabilities in the EVs charging network. The second scheme is a deep RL IDS, trained using datasets generated by the first scheme, allowing the IDS to effectively detect these complex and stealthy attacks. The framework demonstrates enhanced robustness and accuracy compared to traditional approaches, with low false alarm rates even when encountering new and previously unseen attacks.

2.4. Limitations and Motivations

As discussed in the previous two subsections, most prior research on charging coordination systems has concentrated specifically on the context of EVs and their security and vulnerability to cyber-attacks. There is a scarcity of research focused on investigating RL charging coordination systems for home batteries, and a lack of research into their vulnerability and security against cyber-attacks. Therefore, this paper aims to address the research gap by evaluating the vulnerability of optimized charging in consumer-side battery storage systems, which are integrated with renewable energy sources, against FDI attacks. Additionally, it proposes effective countermeasures to mitigate these vulnerabilities. Specifically, to the best of our knowledge, this is the first work aimed at securing an RL-based charging coordination system for home batteries.

3. False Data Injection Attacks on RL-Based Charging Coordination

In this section, we first present a variety of stealthy attacks designed to manipulate the SoC values reported by consumers. The proposed attacks aim to artificially lower the SoC values in a way that makes the manipulation difficult to detect. We then evaluate the effectiveness of these attacks and analyze their impact on the performance of the charging coordination system, as well as on honest consumers.

3.1. False Data Injection Attacks

FDI attacks involve introducing fabricated or altered data into a system, disrupting its normal operations. In the context of our charging coordination application, FDI attacks aim to mislead the RL agent by corrupting the SoC readings reported by consumers. This manipulation enables attackers to falsely represent their energy needs, leading to an unfair distribution of power and posing a potential threat to the proper operation of the charging coordination system. In this subsection, we describe five different FDI tactics used in this study to simulate malicious behavior in a smart grid charging coordination system. The first two attacks are inspired by the attacks introduced for electricity theft in [27].

3.1.1. Attack 1: Random Reduction Factor

This attack applies a random reduction factor to the actual SoC values, causing the battery’s state of charge to be under-reported. This attack is stealthy because it maintains the same pattern of the original SoC data and selects a reduction factor ( α ) randomly from a specified range, ensuring that each instance of SoC under-reporting is different and unpredictable. Equation (9) is used to compute the false SoC values using the actual values.
f 1 ( S o C i ( t ) ) = α × S o C i ( t ) , α ( 0.1 , 0.7 )
where:
  • S o C i ( t ) is the true SoC value of consumer i at time t,
  • α is the random reduction factor, with values ranging from 0.1 (more aggressive under-reporting of the SoC) to 0.7 (less aggressive under-reporting of the SoC).
Figure 1 illustrates the implementation of Attack 1 by a malicious consumer (Consumer 3) in two scenarios: one with C max = 6 and another with C max = 10 . The malicious consumer under-reports its SoC using a reduction factor of α = 0.1 . The figure shows that while the reported SoC follows the same pattern as the actual SoC, the values are significantly lower. The attacker aims to avoid detection by maintaining the same pattern as the actual SoC. Additionally, the figure demonstrates that both the reported and actual SoC values increase as the available charging power rises from C max = 6 to C max = 10 .

3.1.2. Attack 2: Time-Varying Reduction Factor

This attack is an advanced version of Attack 1. To make Attack 2 more stealthy than Attack 1, instead of using a fixed reduction factor like in Attack 1, the malicious consumer varies the reduction factor ( α t ) at each time step, making the attack more difficult to detect. The random variation of the reduction factor across different time periods disrupts the RL agent’s ability to identify a consistent attack pattern, as the behavior appears more dynamic. Equation (10) is used to calculate the false SoC values based on the actual values.
f 2 ( S o C i ( t ) ) = α t × S o C i ( t ) , α t ( 0.1 , 0.7 )
where:
  • α t is the reduction factor that changes over time, making the attack appear less predictable and more difficult to detect.

3.1.3. Attack 3: Zero SoC Reporting Over a Specified Time Period

In this attack, malicious consumers falsely report a zero SoC during specific time periods, even though their actual SoC is greater than zero. During other periods, they report their true SoC values. By mixing true and false reports, the attack becomes stealthy and harder to detect. The attack deceives the system into believing the consumer’s battery is fully depleted, prompting the RL agent to prioritize charging them immediately. This strategy can create significant spikes in energy demand, especially if multiple malicious consumers launch this attack. Equation (11) is used to calculate the reported SoC values based on the actual SoC.
f 3 ( S o C i ( t ) ) = 0 if t [ t s , t e ] , S o C i ( t ) otherwise
where:
  • t s and t e represent the start and end times of the period during which the consumer falsely reports zero SoC values. Outside of this time frame, the consumer reports the actual SoC.

3.1.4. Attack 4: Gradual Reduction of SoC Values

This attack involves gradually reducing the reported SoC values over time, aiming at making the attack stealthy by pretending that the battery is depleting in a subtle way to avoid detection. In other words, instead of making sudden changes that could raise suspicion, the attacker slowly decreases the reported SoC, making it more difficult for the RL agent to detect the manipulation as shown in Equation (12).
f 4 ( S o C i ( t ) ) = S o C i ( t ) × ( 1 α t ) , α t = t T × 0.1
where:
  • α t is the gradual reduction factor, which increases as time progresses, leading to a slow but steady depletion of the reported SoC.
  • T is the period of the attack which is typically the number of SoC reports in each day, i.e., 24.

3.1.5. Attack 5: Irregular Strategic SoC Under-Reporting

To make this attack stealthy, it under-reports the SoC values only during key periods when the consumer is likely to need more energy, while reporting correct SoC values in other times. By strategically lowering their reported SoC during high-demand times, such as evenings or peak usage hours, the malicious consumer ensures they receive more energy without raising suspicion. This irregular malicious behavior is designed to confuse the RL agent by creating subtle, irregular patterns in the SoC readings, while ultimately benefiting the attacker as shown in Equation (13).
f 5 ( S o C i ( t ) ) = S o C i ( t ) × ( 1 β ) if high - demand period , S o C i ( t ) otherwise
where:
  • β is the reduction factor applied during high-demand periods, where 0.1 β 0.3 depending on the severity of the attack.
This attack differs from Attack 2, which randomly varies the reduction factor throughout the day and affects the SoC value at every time step. In contrast, Attack 5 strategically under-reports the SoC during peak demand periods to maximize energy allocation when it is most beneficial for the consumer. When the parameter β is between 0.1 and 0.3, the attackers under-report their SoC by 10% to 30%. This attack is particularly concerning because, for the most part, the attacker reports their actual SoC. Table 1 summarizes the functions of the five attacks discussed in this subsection.

3.2. Evaluations of FDI Attacks

In this section, we first discuss the training process of a RL-based charging coordination system and then we investigate the impact of the FDI attacks discussed earlier on the performance of the system and the battery levels of honest and malicious consumers. We evaluate system performance using three metrics: fairness in power distribution, charging power usage, and total reward. Higher fairness and total reward indicate better performance, while lower charging power usage is preferred. To assess the impact of the FDI attacks on honest and malicious consumers, we track their SoC values—the greater the reduction in the honest consumers’ batteries and the increase in the malicious consumers’ batteries, the more negative the impact of the attacks.
We examine two scenarios with different attacker proportions: 20% (two attackers) and 40% (four attackers) out of ten total consumers. Additionally, we test two charging power availability levels, C max = 6 and C max = 10 , to assess the impact of the attack under different charging power availability. Attack severity is also varied, with two values for α (0.1 and 0.7). The attack is more severe at α = 0.1 , where attackers significantly under-report their SoC values, causing greater disruption to the system. Due to space limitation, in this subsection, we present the detailed results of the first attack and summarize the results of the rest of the attacks in a Table 2 and Table 3.

3.2.1. Training a RL-Based Charging Coordination System

To train the RL-based charging coordination system proposed in [13] to assess its vulnerability to the FDI attacks discussed earlier, we utilized the publicly available Ausgrid dataset from an Australian electricity provider [28]. This dataset contains real-world data on power consumption and solar energy generation from households equipped with solar panels in Sydney and New South Wales. It includes 30-min interval readings collected over three years, from 1 July 2010, to 30 June 2013. Each home had two meters: one to measure grid electricity consumption and another to track solar power generation.
Several preprocessing steps were applied to the raw data, such as outlier removal, net metering calculations (which account for the difference between grid consumption and solar generation for each household), and resampling to generate 24 hourly readings per day. The refined dataset included net meter readings for 10 houses over 1096 days. This data was used to calculate C m a x , the maximum grid capacity, a critical parameter in the model’s state representation. We considered two scenarios for C m a x : one where it equals the average consumption of all 10 consumers ( C m a x = 6), and another where it exceeds the average ( C m a x = 10). Then, we simulated a battery for each house and based on the amount of power consumption and generation, we computed an SoC value for a time slot of 30 min. Finally, we ran the RL-based charging coordination system, and the SoC value of each battery was dynamically updated based on actions taken in the previous state. For each consumer, each sample in the dataset contains 24 SoC values for one day.
The hyperparameters used in the RL-based charging coordination system are given in Table 4 and Table 5. Key elements such as gradient clipping, replay buffer size, and target network update rate were included to ensure stable learning.

3.2.2. S o C Values of Honest and Malicious Consumers

Figure 2 presents the SoC values of an honest consumer (#1), while Figure 1 illustrates the SoC values of a malicious consumer (#3) when the system is under FDI Attack #1, with C max = 6 and C max = 10 . Figure 3 shows the SoC value of consumers #1 and #3 when there are no FDI attacks in the system. Table 2 and Table 3 summarize the impact of the five attacks on the performance of the RL agent in terms of total reward, fairness, power usage, and the average SoC values for both honest and malicious consumers in both scenarios where C m a x = 6 and C m a x = 10 respectively. The baseline row represents the scenario without any FDI attacks.
By comparing the SoC value of honest consumer #1 where there is no FDI attacks given in Figure 3 (left one) to the SoC values in case the system is under attack given in Figure 2 when C m a x = 6 , it can be seen that attack #1 harm the honest consumers by reducing their SoC values. The same conclusion can be observed in Table 2 for the other FDI attacks. By comparing the SoC value of malicious consumer #3 given in Figure 3 (the right one) when there are no FDI attacks to the SoC values in Figure 1 when consumer #3 launches attack #1, it can be seen that consumers can benefit from the FDI attacks by increasing their battery SoC value. The same conclusion can be observed in Table 2 and Table 3 for the other FDI attacks. The table shows that the attacks lead to a decrease in the average SoC for honest consumers and an increase in the SoC of malicious consumers, highlighting how the attacks shift energy distribution unfairly in favor of malicious consumers.
The experimental results show that attackers have higher SoC values, as under-reporting SoC increases their chances of receiving more charging power compared to honest consumers. Since the total available power for charging is limited, a larger share is allocated to malicious consumers, leaving less for the honest ones, which explains their lower SoC values. The disparity between malicious and honest consumers worsens when the available charging power is lower, i.e., when C max = 6 compared to C max = 10 .

3.2.3. Fairness in Power Distribution

As discussed earlier, one of the key objectives of the RL charging coordination system is to ensure fairness in the distribution of charging power among consumers, with Equation (3) used to measure the system’s ability to meet this goal. Figure 4a,b illustrate the fairness reward metric for Attack #1, comparing scenarios with no attackers, two attackers, and four attackers, across different levels of charging power ( C max = 6 and C max = 10 ) and attack severity ( α = 0.1 and α = 0.7 ). Table 2 and Table 3 provide the change in the fairness reward when launching the other four attacks.
The results show that FDI attacks reduce the fairness metric, as the under-reporting of SoC by attackers leads to an over-allocation of power to them at the expense of honest consumers, creating an unfair distribution. This conclusion is further supported by the findings in Section 3.2.2, where a clear disparity in SoC values between honest and malicious consumers was observed, contributing to the reduction in fairness. Additionally, the fairness metric declines as attack severity increases ( α = 0.7 versus α = 0.1 ), since more severe attacks result in lower reported SoC values, exacerbating the disparity in battery levels. Similarly, as the number of attackers increases, the fairness metric drops further due to the growing imbalance in SoC values.

3.2.4. Charging Power Usage

As discussed earlier, one of the key objectives of the RL charging coordination system is to minimize the power used for charging home batteries while achieving its other goals. Figure 5a,b show the power usage for Attack 1 under scenarios with no malicious consumers, two malicious consumers, and four malicious consumers, with C max = 6 and C max = 10 , and attack severity ( α = 0.1 and α = 0.7 ). Table 2 and Table 3 provide the change in the power usage when launching the four FDI attacks.
The results indicate that power usage is significantly higher in scenarios with malicious consumers compared to those without any malicious influence. This increase is due to the excess power allocated to satisfy the artificially lowered SoC values reported by malicious consumers. Additionally, the results show that more power is consumed as the number of malicious consumers increases and as α decreases, meaning the attackers report lower SoC values, leading to an over-allocation of power.

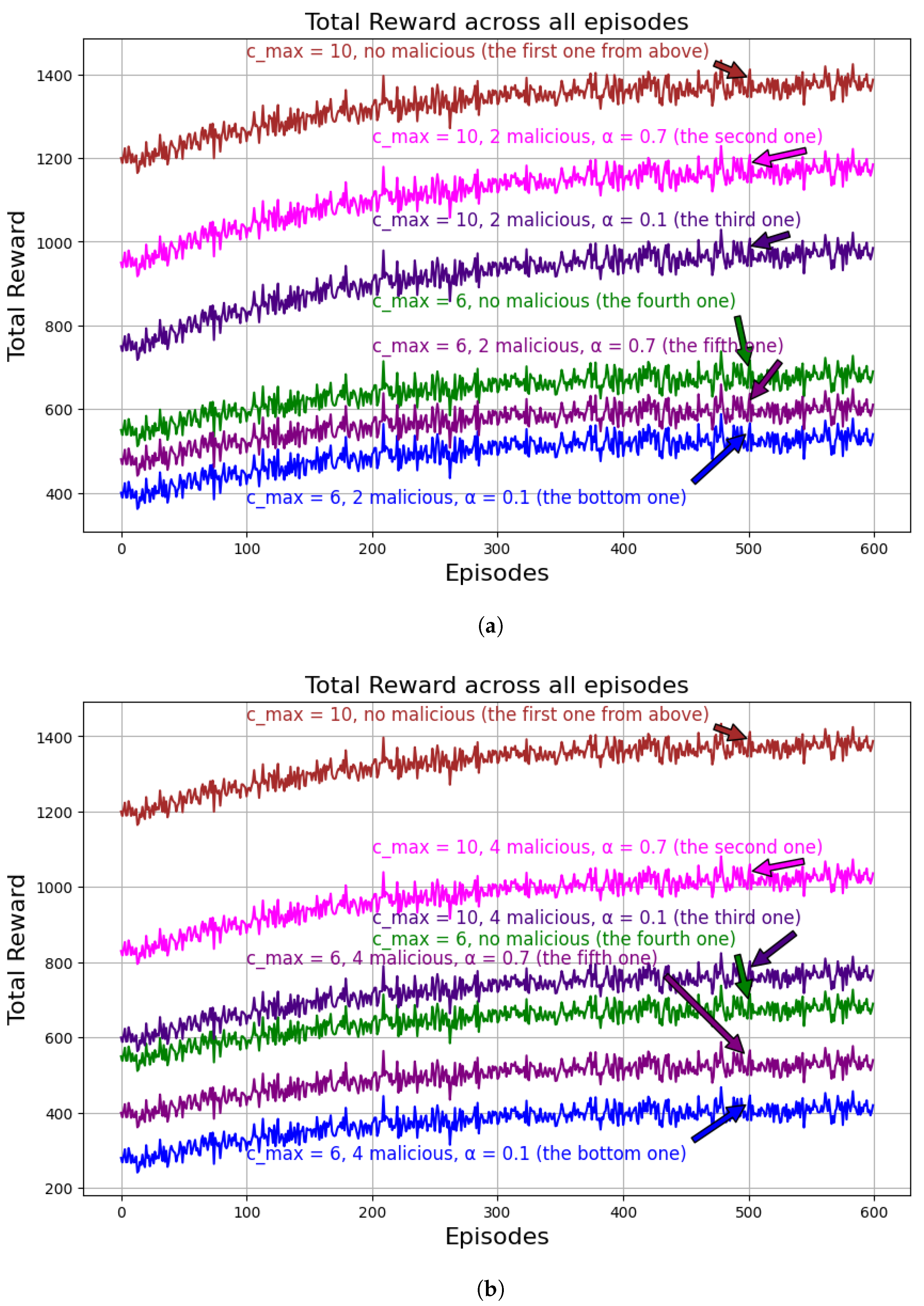
3.2.5. Total Reward

The total reward metric is an effective measure of the performance of the RL charging coordination system, as higher rewards indicate better achievement of design goals. Figure 6a,b show the system’s total reward with no attackers, and with two and four attackers for Attack #1, across two levels of available charging power ( C max = 6 and C max = 10 ) and two levels of attack severity ( α = 0.1 and α = 0.7 ). Table 2 and Table 3 provide the change in the power usage for the five FDI attacks.
The results demonstrate that FDI attacks lower the total reward, making it harder for the system to meet its objectives. This conclusion aligns with the findings of previous subsections, where reductions in the fairness metric and SoC values of honest consumers and increased power usage led to a lower total reward. The figures also reveal that the total reward decreases as the number of attackers increases and as the severity of the attacks grows (i.e., α = 0.7 versus α = 0.1 ). This is because the attacks hinder the system’s ability to maintain fairness, reduce energy consumption, and keep the SoC values of consumers within predefined limits.

4. Defense Against False Data Injection

As discussed in the previous section, FDI attacks significantly threaten the performance of RL-based charging coordination systems and benefit malicious consumers at the expense of honest ones. To mitigate these negative effects, a robust defense mechanism is needed to detect and counteract FDI attacks. This section presents the proposed defense strategy, which employs machine learning models to learn and distinguish the patterns in SoC values reported by honest consumers and malicious consumers. By identifying these patterns, the model can detect false SoC values injected by attackers. The section also details the experiments conducted to evaluate the effectiveness of this defense strategy.

4.1. The Proposed Defense Strategy

Since SoC values follow patterns linked to the daily electricity consumption habits of household residents, our defense strategy leverages machine learning to learn these patterns and detect any false SoC values reported by malicious users. The core idea is to train machine learning models on both benign and malicious SoC patterns, enabling them to identify discrepancies and flag false reports. In Section 3.1, we outline five subtle techniques attackers use to manipulate SoC values in ways designed to evade detection. To create a malicious class for training, we apply these attacks to real benign SoC data, simulating the altered SoC values. The detector takes as input 24 SoC reports of a consumer (covering 24 h), which should be sufficient to identify daily SoC patterns influenced by routines like sleeping, cooking, and working. We choose to train a single detector for all consumers, rather than one for each individual, because it is more efficient to have one model that applies to all. Training a separate detector for each consumer would require numerous models, consuming significant computational resources. Additionally, detection must occur at the control center level since, in our threat model, we assume that consumers may tamper with their meters, making meter-level detection unreliable.
Selecting appropriate machine learning models is crucial for accurately distinguishing between benign and malicious SoC patterns. Given the time-series nature of SoC data, CNNs are well-suited for this task due to their effectiveness in extracting spatial features from sequential data. Additionally, CNN-GRU models are employed to capture temporal dependencies, as GRUs can effectively handle long-term dependencies within time-series data. The complementary capabilities of these models allow us to compare their performance and select the most appropriate one for the detection task. Logistic Regression serves as a baseline for comparison due to its simplicity and Interpretability. However, its linear nature makes it less suitable for detecting complex and non-linear attack patterns, highlighting the advantage of more advanced models like CNNs and CNN-GRUs.
Once the detector flags a consumer as malicious, the RL-based charging coordination system excludes it from charging until a physical inspection confirms whether its smart meter has been compromised or if it is a false alarm.

4.2. Experiments

In this subsection, we begin by explaining the preparation of the dataset used for the experiments. Next, we outline the key metrics employed to evaluate the detector’s performance. Finally, we present the experimental results and provide a discussion based on the findings.

4.2.1. Dataset Preparation

The proposed detector requires training on both benign and malicious data to distinguish between normal and fraudulent SoC patterns. However, obtaining real-world malicious SoC data is challenging, as such data is not publicly available. To overcome this limitation, we simulate malicious data by applying a series of FDI cyber-attacks, as described in Section 3.1. These attacks manipulate benign SoC values to generate realistic malicious samples. The benign dataset is created by running the RL-based charging coordination agent, collecting the SoC values after the agent’s policy converges to the optimal policy, π * . The agent uses net-load readings derived from real-world data on energy consumption and generation provided in [28]. These net-load readings reflect the difference between energy consumed and energy generated by solar panels at each time step. To convert the net-load readings into SoC values for each consumer’s battery, the RL agent applies the following equation at each time step t:
SoC i ( t + 1 ) = SoC i ( t ) R i ( t ) Battery Capacity × 100 + C i ( t ) Battery Capacity × 100
where,
  • SoC i ( t + 1 ) is the state of charge of consumer i at time step t + 1 .
  • R i ( t ) is the net-load reading for consumer i at time step t.
  • C i ( t ) represents the amount of energy charged by the battery of consumer i decided by the RL agent at time step t.
  • Battery Capacity is the total capacity of the consumer’s battery.
This equation calculates the updated battery state of charge by accounting for three factors: the charging power allocated to the consumer by the RL agent, the energy consumed by the consumer within one hour, and the renewable energy generated by the consumer during that time. After computing the SoC values of the honest consumers, every 24 values (that covers one day) is taken as one sample in the benign dataset and labeled benign.
The malicious data is generated by applying the five FDI cyber-attacks described in Section 3.1 to the benign samples, resulting in a malicious dataset that is five times larger than the benign dataset. For Attacks #1 and #2, the parameter α is a uniformly distributed random variable within the interval [ 0.1 , 0.4 ] . In Attack #2, the start time t s is also a uniformly distributed random variable within the range [ 0 , 19 ] , while the end time t e is fixed at 24, and 0.1 β 0.3 in Attack #5. Consequently, each consumer’s dataset contains 365 benign samples and 1825 malicious samples (365 samples from each of the five attacks), resulting in a total of 2190 samples per consumer. This creates an imbalanced dataset with a class ratio of 1:5, as the number of benign samples is significantly lower than the number of malicious samples. Training the FDI attack detector on this imbalanced dataset may lead to a bias toward the malicious class, which represents the majority.
To address this class imbalance, we apply the Synthetic Minority Over-sampling Technique (SMOTE), which generates synthetic samples by interpolating between existing minority class samples. This method over-samples the minority benign class for each consumer, resulting in a balanced dataset. Consequently, the total number of samples per consumer increases to 3650, with an equal division between benign and malicious samples, each consisting of 24 readings. Considering 10 consumers over 365 days, the overall dataset comprises 36,500 samples (3650 per consumer). The dataset is then split into training and testing sets in a 70% to 30% ratio, yielding 25,550 samples for training and 10,950 samples for testing.

4.2.2. Performance Metrics

In this subsection, we outline the key metrics used to evaluate the performance of our FDI attack detector. A diverse set of metrics is employed to provide insights into various aspects of classification accuracy, helping to assess the strengths and weaknesses of each model.
Accuracy measures the proportion of correctly classified samples (both true positives and true negatives) out of the total samples. It is defined as:
Accuracy = TP + TN TP + TN + FP + FN
where:
  • TP (True Positives): Correctly classified positive samples.
  • TN (True Negatives): Correctly classified negative samples.
  • FP (False Positives): Incorrectly classified positive samples (false alarms).
  • FN (False Negatives): Incorrectly classified negative samples (missed positives).
Precision measures the proportion of positive samples that were correctly identified by the classifier. It is defined as:
Precision = TP TP + FP
Precision is important when the cost of false positives is high, as it measures the reliability of positive predictions.
Recall measures the proportion of actual positive samples that were correctly identified. It is defined as:
Recall = TP TP + FN
Recall is important when missing positive cases is costly, as it indicates the model’s ability to identify all positive instances.
F1-Score is the harmonic mean of precision and recall and is particularly useful in situations with imbalanced datasets. It is defined as:
F 1 - Score = 2 × Precision × Recall Precision + Recall
The F1-Score provides a balance between precision and recall, making it particularly useful when both false positives and false negatives are important concerns.
Receiver Operating Characteristic (ROC)- Area Under the Curve (AUC) measures the performance of the classifier across all possible thresholds. The ROC curve plots the True Positive Rate (Recall) against the False Positive Rate (FPR), and the AUC summarizes the performance. FPR is calculated as follows.
FPR = FP FP + TN
A higher AUC indicates better performance, with a value of 1.0 representing a perfect classifier.
False Alarm Rate (FAR) indicates how frequently the model incorrectly predicts a positive class (false positives). It is defined as:
FAR = FP FP + TN
A lower FAR is desirable, particularly in applications like fraud detection or security, where minimizing false positives is essential to avoid unnecessary alerts or interventions.

4.2.3. Results

In this section, we evaluate the performance metrics of three different models: Logistic Regression, CNN, and CNN-GRU. These models were trained using the dataset described in the previous section.
The training and validation accuracy and loss curves presented in Figure 7 illustrate the learning process of the CNN and CNN-GRU models. Both models demonstrate an improvement in accuracy throughout the training process, with CNN surpassing CNN-GRU in validation accuracy. The loss curves for both models exhibit a consistent decline, indicating effective learning.
Figure 8 shows the ROC curves, which compare the performance of the three models in terms of their true positive and false positive rates across various thresholds. The results reveal that the CNN model achieved the highest AUC, indicating superior performance, followed by CNN-GRU and then Logistic Regression. The dotted diagonal line represents the performance of a random classifier.
Table 6 presents the confusion matrices for the three models, offering a detailed view of how accurately each model classified positive and negative samples. These matrices help visualize the true and predicted classifications. Table 7 provides a summary of the key performance metrics—accuracy, precision, recall, F1-score, ROC-AUC, and FAR for the three models.
The results indicate that the CNN model consistently delivered the highest performance across most metrics, while Logistic Regression had the highest FAR. CNN outperformed the other models in terms of accuracy, precision, recall, and F1-score, and also maintained a low False Alarm Rate. The CNN-GRU model performed well but trailed slightly behind CNN, especially in precision and recall. Logistic Regression, although competitive in some areas, showed a higher FAR and generally lower performance than the deep learning models.

5. Conclusions and Future Works

In this paper, we, first, introduce five FDI attacks designed to stealthily manipulate the SoC values reported by consumers, increasing the likelihood of malicious consumers being selected for charging. Using real-world dataset, we run experiments to investigate the impact of these attacks on a RL-based charging coordination system. The experimental results confirm that these attacks significantly benefit the attackers, allowing them to raise their battery levels from 28% to 42% in one attack, while the battery levels of honest consumers drop from 28% to 18% as a result of the FDI attacks. Additionally, the attack degrades the performance of the charging coordination system, with the fairness metric dropping by 30% and the overall reward decreasing by 38%. We also observe that these negative effects worsen as the number of attackers increases. To counter these impacts, we develop a deep learning-based false SoC detector, and our experiments demonstrate that the detector is highly accurate in identifying FDI attacks (98.27%), with low false alarm rates (2.27%).
In our future work, we will address several research challenges. This paper does not explore privacy concerns, which are crucial in practice. Consumers may be unwilling to share their SoC data as it could reveal sensitive personal information, such as their travel habits or sleep patterns. To tackle this, we plan to investigate the use of federated learning to train our RL-based charging coordination system and the SoC falsification detector without requiring direct access to consumer data. Additionally, we will examine adversarial attacks aimed at disrupting the training process by reducing model accuracy or introducing vulnerabilities that could enable evasion or Trojan attacks. Another potential extension of our work involves integrating the proposed approach with blockchain technology [29] and continuous authentication methods [30] to enhance security and data integrity. Incorporating blockchain could enable decentralized data management, providing tamper-proof transaction logs and secure communication between distributed components within the charging coordination system. Finally, in this paper, we used a supervised machine learning model to detect five types of attacks targeting an RL-based charging coordination model. In case that other attacks are launched, either the supervised machine learning model is retrained to detect the new attacks or unsupervised machine learning is used. We will investigate these two options in our future work.

Author Contributions

Conceptualization, A.A.E., I.E., A.T.E., M.M., W.E., M.A. and T.A.; Methodology, A.A.E., I.E., A.A.E., M.M., W.E., M.A. and T.A.; Validation, A.A.E., I.E., M.M. and M.A.; Investigation, A.A.E., I.E., A.T.E., M.M., W.E., M.A. and T.A.; Writing—original draft, A.A.E., I.E. and A.T.E.; Writing—review & editing, A.A.E., I.E., A.T.E., M.M., W.E., M.A. and T.A.; Supervision, M.M., W.E., M.A. and T.A. All authors have read and agreed to the published version of the manuscript.

Funding

This work was supported by Researchers Supporting Project number (RSPD2024R636), King Saud University, Riyadh, Saudi Arabia and NSF grant #2349104.

Institutional Review Board Statement

Not applicable.

Informed Consent Statement

Not applicable.

Data Availability Statement

All links to the data used in the study are cited in the text.

Conflicts of Interest

The authors declare no conflict of interest.

References

  1. Olatunde, T.M.; Okwandu, A.C.; Akande, D.O.; Sikhakhane, Z.Q. The impact of smart grids on energy efficiency: A comprehensive review. Eng. Sci. Technol. J. 2024, 5, 1257–1269. [Google Scholar] [CrossRef]
  2. Bhadani, U. Smart Grids: A Cyber–Physical Systems Perspective. Int. Res. J. Eng. Technol. (IRJET) 2024, 11, 801. [Google Scholar]
  3. Hossain, M.; Madlool, N.; Rahim, N.; Selvaraj, J.; Pandey, A.; Khan, A.F. Role of smart grid in renewable energy: An overview. Renew. Sustain. Energy Rev. 2016, 60, 1168–1184. [Google Scholar] [CrossRef]
  4. Ohanu, C.P.; Rufai, S.A.; Oluchi, U.C. A comprehensive review of recent developments in smart grid through renewable energy resources integration. Heliyon 2024, 10, e25705. [Google Scholar] [CrossRef]
  5. Ajiboye, P.O.; Agyekum, K.O.B.O.; Frimpong, E.A. Privacy and security of advanced metering infrastructure (AMI) data and network: A comprehensive review. J. Eng. Appl. Sci. 2024, 71, 91. [Google Scholar] [CrossRef]
  6. El-Toukhy, A.T.; Mahmoud, M.M.; Bondok, A.H.; Fouda, M.M.; Alsabaan, M. Countering evasion attacks for smart grid reinforcement learning-based detectors. IEEE Access 2023, 11, 97373–97390. [Google Scholar] [CrossRef]
  7. Elgarhy, I.; Badr, M.M.; Mahmoud, M.M.E.A.; Fouda, M.M.; Alsabaan, M.; Kholidy, H.A. Clustering and Ensemble Based Approach for Securing Electricity Theft Detectors Against Evasion Attacks. IEEE Access 2023, 11, 112147–112164. [Google Scholar] [CrossRef]
  8. Saravanan, S.; Khare, R.; Umamaheswari, K.; Khare, S.; Gowda, B.K.; Boopathi, S. AI and ML Adaptive Smart-Grid Energy Management Systems: Exploring Advanced Innovations. In Principles and Applications in Speed Sensing and Energy Harvesting for Smart Roads; IGI Global: Hershey, PA, USA, 2024; pp. 166–196. [Google Scholar]
  9. Yao, L.; Lim, W.H.; Tsai, T.S. A real-time charging scheme for demand response in electric vehicle parking station. IEEE Trans. Smart Grid 2016, 8, 52–62. [Google Scholar] [CrossRef]
  10. Arias, N.B.; Sabillón, C.; Franco, J.F.; Quirós-Tortós, J.; Rider, M.J. Hierarchical optimization for user-satisfaction-driven electric vehicles charging coordination in integrated MV/LV networks. IEEE Syst. J. 2022, 17, 1247–1258. [Google Scholar] [CrossRef]
  11. Xu, Z.; Su, W.; Hu, Z.; Song, Y.; Zhang, H. A hierarchical framework for coordinated charging of plug-in electric vehicles in China. IEEE Trans. Smart Grid 2015, 7, 428–438. [Google Scholar] [CrossRef]
  12. Chen, W.; Wang, J.; Zhang, T.; Li, G.; Jin, Y.; Ge, L.; Zhou, M.; Tan, C.W. Exploring symmetry-induced divergence in decentralized electric vehicle scheduling. IEEE Trans. Ind. Appl. 2023, 60, 1117–1128. [Google Scholar] [CrossRef]
  13. Elshazly, A.A.; Badr, M.M.; Mahmoud, M.; Eberle, W.; Alsabaan, M.; Ibrahem, M.I. Reinforcement Learning for Fair and Efficient Charging Coordination for Smart Grid. Energies 2024, 17, 4557. [Google Scholar] [CrossRef]
  14. Zhang, Z.; Wan, Y.; Qin, J.; Fu, W.; Kang, Y. A Deep RL-Based Algorithm for Coordinated Charging of Electric Vehicles. IEEE Trans. Intell. Transp. Syst. 2022, 23, 18774–18784. [Google Scholar] [CrossRef]
  15. Sultanuddin, S.; Vibin, R.; Rajesh Kumar, A.; Behera, N.R.; Pasha, M.J.; Baseer, K. Development of improved reinforcement learning smart charging strategy for electric vehicle fleet. J. Energy Storage 2023, 64, 106987. [Google Scholar] [CrossRef]
  16. Zhang, W.; Liu, H.; Xiong, H.; Xu, T.; Wang, F.; Xin, H.; Wu, H. RLCharge: Imitative Multi-Agent Spatiotemporal Reinforcement Learning for Electric Vehicle Charging Station Recommendation. IEEE Trans. Knowl. Data Eng. 2023, 35, 6290–6304. [Google Scholar] [CrossRef]
  17. Zhang, Y.; Yang, Q.; An, D.; Li, D.; Wu, Z. Multistep Multiagent Reinforcement Learning for Optimal Energy Schedule Strategy of Charging Stations in Smart Grid. IEEE Trans. Cybern. 2023, 53, 4292–4305. [Google Scholar] [CrossRef]
  18. Fu, L.; Wang, T.; Song, M.; Zhou, Y.; Gao, S. Electric vehicle charging scheduling control strategy for the large-scale scenario with non-cooperative game-based multi-agent reinforcement learning. Int. J. Electr. Power Energy Syst. 2023, 153, 109348. [Google Scholar] [CrossRef]
  19. Kaewdornhan, N.; Srithapon, C.; Liemthong, R.; Chatthaworn, R. Real-Time Multi-Home Energy Management with EV Charging Scheduling Using Multi-Agent Deep Reinforcement Learning Optimization. Energies 2023, 16, 2357. [Google Scholar] [CrossRef]
  20. Real, A.C.; Luz, G.P.; Sousa, J.; Brito, M.; Vieira, S. Optimization of a photovoltaic-battery system using deep reinforcement learning and load forecasting. Energy AI 2024, 16, 100347. [Google Scholar] [CrossRef]
  21. Verschae, R.; Kawashima, H.; Kato, T.; Matsuyama, T. Coordinated energy management for inter-community imbalance minimization. Renew. Energy 2016, 87, 922–935. [Google Scholar] [CrossRef]
  22. Zhou, K.; Cheng, L.; Wen, L.; Lu, X.; Ding, T. A coordinated charging scheduling method for electric vehicles considering different charging demands. Energy 2020, 213, 118882. [Google Scholar] [CrossRef]
  23. Shafee, A.A.; Fouda, M.M.; Mahmoud, M.M.; Aljohani, A.J.; Alasmary, W.; Amsaad, F. Detection of lying electrical vehicles in charging coordination using deep learning. IEEE Access 2020, 8, 179400–179414. [Google Scholar] [CrossRef]
  24. Gumrukcu, E.; Arsalan, A.; Muriithi, G.; Joglekar, C.; Aboulebdeh, A.; Zehir, M.A.; Papari, B.; Monti, A. Impact of cyber-attacks on EV charging coordination: The case of single point of failure. In Proceedings of the 2022 4th Global Power, Energy and Communication Conference (GPECOM), Cappadocia, Turkey, 14–17 June 2022; IEEE: Piscataway, NJ, USA, 2022; pp. 506–511. [Google Scholar]
  25. Alomrani, M.A.; Tushar, M.H.K.; Kundur, D. Detecting State of Charge False Reporting Attacks via Reinforcement Learning Approach. IEEE Trans. Intell. Transp. Syst. 2023, 24, 10467–10476. [Google Scholar] [CrossRef]
  26. Al-Mehdhar, M.; Albaseer, A.; Abdallah, M.; Al-Fuqaha, A. Charging Ahead: A Hierarchical Adversarial Framework for Counteracting Advanced Cyber Threats in EV Charging Stations. In Proceedings of the 2024 IEEE 99th Vehicular Technology Conference (VTC2024-Spring), Singapore, 24–27 June 2024; pp. 1–6. [Google Scholar] [CrossRef]
  27. Jokar, P.; Arianpoo, N.; Leung, V.C.M. Electricity Theft Detection in AMI Using Customers’ Consumption Patterns. IEEE Trans. Smart Grid 2016, 7, 216–226. [Google Scholar] [CrossRef]
  28. Ausgrid. Solar Home Electricity Data. 2020. Available online: https://www.ausgrid.com.au/Industry/Our-Research/Data-to-share (accessed on 20 September 2024).
  29. Bhuva, D.; Kumar, S. Securing Space Cognitive Communication with Blockchain. In Proceedings of the 2023 IEEE Cognitive Communications for Aerospace Applications Workshop (CCAAW), Cleveland, OH, USA, 20–22 June 2023; pp. 1–6. [Google Scholar] [CrossRef]
  30. Bhuva, D.R.; Kumar, S. A novel continuous authentication method using biometrics for IOT devices. Internet Things 2023, 24, 100927. [Google Scholar] [CrossRef]
Figure 1. Actual and reported SoC values after applying Attack 1 with C m a x = 6 and 10.
Figure 1. Actual and reported SoC values after applying Attack 1 with C m a x = 6 and 10.
Applsci 14 10874 g001
Figure 2. SoC values of Consumer 1 (honest) at different times and C m a x of 6 and 10 when the system is under FDI attack #1.
Figure 2. SoC values of Consumer 1 (honest) at different times and C m a x of 6 and 10 when the system is under FDI attack #1.
Applsci 14 10874 g002
Figure 3. SoC of honest consumer #1 and malicious consumer #3 with C m a x of 6 when there are no FDI attacks.
Figure 3. SoC of honest consumer #1 and malicious consumer #3 with C m a x of 6 when there are no FDI attacks.
Applsci 14 10874 g003
Figure 4. Fairness degradation under Attack #1 for two and four malicious consumers. (a) Fairness in power distribution with two malicious consumers under Attack #1. (b) Fairness in power distribution with four malicious consumers under Attack #1.
Figure 4. Fairness degradation under Attack #1 for two and four malicious consumers. (a) Fairness in power distribution with two malicious consumers under Attack #1. (b) Fairness in power distribution with four malicious consumers under Attack #1.
Applsci 14 10874 g004
Figure 5. Charging power usage under Attack #1 for two and four malicious consumers. (a) Two malicious consumers. (b) Four malicious consumers.
Figure 5. Charging power usage under Attack #1 for two and four malicious consumers. (a) Two malicious consumers. (b) Four malicious consumers.
Applsci 14 10874 g005
Figure 6. Total reward under Attack #1 for two and four malicious consumers. (a) Total reward with two malicious consumers. (b) Total reward with four malicious consumers.
Figure 6. Total reward under Attack #1 for two and four malicious consumers. (a) Total reward with two malicious consumers. (b) Total reward with four malicious consumers.
Applsci 14 10874 g006
Figure 7. Training and Validation Accuracy and Loss Curves for CNN and CNN-GRU models.
Figure 7. Training and Validation Accuracy and Loss Curves for CNN and CNN-GRU models.
Applsci 14 10874 g007
Figure 8. ROC Curves for Logistic Regression, CNN, and CNN-GRU models.
Figure 8. ROC Curves for Logistic Regression, CNN, and CNN-GRU models.
Applsci 14 10874 g008
Table 1. Summary of Attack Methods.
Table 1. Summary of Attack Methods.
Attack No.Attack NameMathematical Model
1Random Reduction Factor f 1 ( S o C i ( t ) ) = α × S o C i ( t )
2Time-Varying Reduction Factor f 2 ( S o C i ( t ) ) = α t × S o C i ( t )
3Zero SoC Reporting f 3 ( S o C i ( t ) ) = 0 for t [ t s , t e ] , S o C i ( t ) otherwise
4Gradual Manipulation f 4 ( S o C i ( t ) ) = S o C i ( t ) × ( 1 α t )
5Strategic Non-linear SoC Underreporting f 5 ( S o C i ( t ) ) = S o C i ( t ) × ( 1 β ) if high - demand period , S o C i ( t ) otherwise
Table 2. Impact of Different Attacks on RL Agent’s Performance in case of C m a x = 6 .
Table 2. Impact of Different Attacks on RL Agent’s Performance in case of C m a x = 6 .
RewardFairnessPower UsageAvg. Honest SoCAvg. Malicious SoC
Baseline (No Attack)0%0%0%28%28%
Attack #1−27.27%−19%+7.55%26%32%
Attack #2−28.5%−21.0%+9.0%23%35%
Attack #3−32.0%−24.0%+11.0%21%38%
Attack #4−35.0%−27.0%+13.5%19%41%
Attack #5−38.0%−30.0%+15.5%18%42%
Table 3. Impact of Different Attacks on RL Agent’s Performance in case of C m a x = 10 .
Table 3. Impact of Different Attacks on RL Agent’s Performance in case of C m a x = 10 .
RewardFairnessPower UsageAvg. Honest SoCAvg. Malicious SoC
Baseline (No Attack)0%0%0%57%57%
Attack #1−15.5%−10.5%+5.0%55%60%
Attack #2−18.0%−12.5%+6.5%53%62%
Attack #3−21.0%−15.5%+9.0%51%65%
Attack #4−24.5%−18.0%+11.0%49%67%
Attack #5−27.5%−20.0%+13.0%47%69%
Table 4. Hyperparameters used for the Actor-Critic RL-based charging coordinator.
Table 4. Hyperparameters used for the Actor-Critic RL-based charging coordinator.
HyperparameterValue
Learning Rate ( lr ) 0.01
Discount Factor ( γ )0.98
Clip Ratio ( ϵ )0.2
GAE Lambda ( λ )0.95
Batch Size64
Entropy Coefficient ( c 2 )0.01
Max Gradient Norm0.5
Number of Steps per Update2048
Policy Update FrequencyEvery 4 steps
Table 5. The hyperparameters for the Actor-Critic architectures.
Table 5. The hyperparameters for the Actor-Critic architectures.
NetworkLayerLayer TypeNumber of UnitsActivation Function
ActorLayer 1Linear64ReLU
Layer 2Linear64ReLU
Layer 3Linear10Sigmoid
CriticLayer 1Linear128ReLU
Layer 2Linear128ReLU
Layer 3Linear1Linear
Table 6. Confusion Matrices for Logistic Regression, CNN, and CNN-GRU models.
Table 6. Confusion Matrices for Logistic Regression, CNN, and CNN-GRU models.
ModelTrue NegativeFalse PositiveFalse NegativeTrue Positive
Logistic Regression28009072833310
CNN362384423551
CNN-GRU3489218983495
Table 7. Performance metrics for Logistic Regression, CNN, and CNN-GRU models.
Table 7. Performance metrics for Logistic Regression, CNN, and CNN-GRU models.
ModelAccuracy (%)Precision (%)Recall (%)F1 Score (%)ROC-AUC (%)False Alarm Rate (%)
Logistic Regression83.7078.4992.1284.7683.8324.47
CNN98.2797.6998.8398.2698.282.27
CNN-GRU95.6794.1397.2795.6795.705.88
Disclaimer/Publisher’s Note: The statements, opinions and data contained in all publications are solely those of the individual author(s) and contributor(s) and not of MDPI and/or the editor(s). MDPI and/or the editor(s) disclaim responsibility for any injury to people or property resulting from any ideas, methods, instructions or products referred to in the content.

Share and Cite

MDPI and ACS Style

Elshazly, A.A.; Elgarhy, I.; Eltoukhy, A.T.; Mahmoud, M.; Eberle, W.; Alsabaan, M.; Alshawi, T. False Data Injection Attacks on Reinforcement Learning-Based Charging Coordination in Smart Grids and a Countermeasure. Appl. Sci. 2024, 14, 10874. https://doi.org/10.3390/app142310874

AMA Style

Elshazly AA, Elgarhy I, Eltoukhy AT, Mahmoud M, Eberle W, Alsabaan M, Alshawi T. False Data Injection Attacks on Reinforcement Learning-Based Charging Coordination in Smart Grids and a Countermeasure. Applied Sciences. 2024; 14(23):10874. https://doi.org/10.3390/app142310874

Chicago/Turabian Style

Elshazly, Amr A., Islam Elgarhy, Ahmed T. Eltoukhy, Mohamed Mahmoud, William Eberle, Maazen Alsabaan, and Tariq Alshawi. 2024. "False Data Injection Attacks on Reinforcement Learning-Based Charging Coordination in Smart Grids and a Countermeasure" Applied Sciences 14, no. 23: 10874. https://doi.org/10.3390/app142310874

APA Style

Elshazly, A. A., Elgarhy, I., Eltoukhy, A. T., Mahmoud, M., Eberle, W., Alsabaan, M., & Alshawi, T. (2024). False Data Injection Attacks on Reinforcement Learning-Based Charging Coordination in Smart Grids and a Countermeasure. Applied Sciences, 14(23), 10874. https://doi.org/10.3390/app142310874

Note that from the first issue of 2016, this journal uses article numbers instead of page numbers. See further details here.

Article Metrics

Back to TopTop