EPR Spectroscopy Coupled with Spin Trapping as an Alternative Tool to Assess and Compare the Oxidative Stability of Vegetable Oils for Cosmetics
Abstract
1. Introduction
2. Materials and Methods
2.1. Chemicals
2.2. Samples
2.3. UV Irradiation of Oils
2.4. Treatment with the Spin-Trapping Agent
2.5. EPR Measurements
2.6. Manipulation of the EPR Spectra
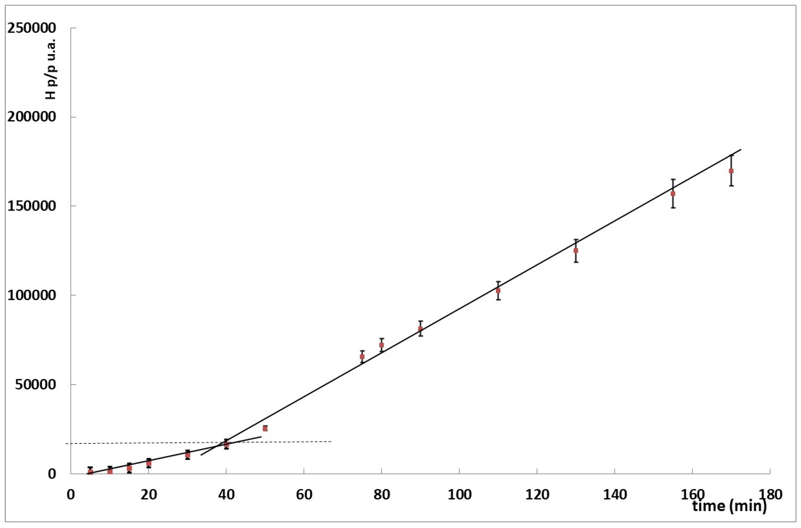
- Hp/p: the peak-to-peak amplitude measured considering the first peak of the PBN-adduct signal obtained after every tested incubation time at 70 °C;
- Induction time (IT) or induction period (IP): the lag-time corresponding to a period of time during which radicals are formed very slowly. It is followed by a sudden sharp linear increase in radical production. This value is equal to the projection on the x axis of the point of intersection between the tangents to the two portions of the bimodal curve obtained when plotting the Hp/p as a function of incubation time at 70 °C;
- The slope of the linear portion of the curve obtained by plotting the Hp/p as a function of incubation time at 70 °C.
2.7. Statistical Analysis
3. Results
- JO possesses the highest antioxidant properties as, in the absence of UV irradiation treatment, it has the highest calculated IT (50 min). Additionally, it also possesses the greatest oxidative stability, as following the maximum tested UV irradiation time (120 min) the IT value is reduced to only a third of the initial value (from 50 to 15 min) while the same value is 4-, 5-, and 5.7-fold reduced for the AKO, SAO, and EVOO samples, respectively;
- AKO starts as less powerful but seems to be quite stable to oxidation overtime. However, it should be noted that following 120 min of UV irradiation, the thermal treatment caused the alteration of the lipid matrix thus compromising the physical and chemical stability of this oil and consequently of the hypothetical cosmetic product in which it should be inserted;
- EVOO possesses high antioxidant properties but low oxidative stability, as highlighted from the exponential behavior depicted in Figure 7;
- SAO is the least stable tested oil with respect to oxidation, as after just 30 min of UV irradiation the Hp/p values determined are close the maximum obtained (120 min UV irradiation).
4. Conclusions
Author Contributions
Funding
Institutional Review Board Statement
Informed Consent Statement
Data Availability Statement
Acknowledgments
Conflicts of Interest
References
- Fisher, G.J.; Kang, S.; Varani, J.; Bata-Csorgo, Z.; Wan, Y.; Datta, S.; Voorhees, J.J. Mechanisms of Photoaging and Chronological Skin Aging. Arch. Dermatol. 2002, 138, 1462–1470. [Google Scholar] [CrossRef]
- Rittie, L.; Fisher, G.J. Natural and Sun-Induced Aging of Human Skin. Cold Spring Harb. Perspect. Med. 2015, 5, a015370. [Google Scholar] [CrossRef] [PubMed]
- He, X.; Wan, F.; Su, W.; Xie, W. Research Progress on Skin Aging and Active Ingredients. Molecules 2023, 28, 5556. [Google Scholar] [CrossRef] [PubMed]
- Burke, K.E. Photoprotection of the Skin with Vitamins C and E: Antioxidants and Synergies. In Nutrition and Skin; Pappas, A., Ed.; Springer: New York, NY, USA, 2011; pp. 43–58. ISBN 978-1-4419-7967-4. [Google Scholar]
- Pinnell, S.R. Cutaneous Photodamage, Oxidative Stress, and Topical Antioxidant Protection. J. Am. Acad. Dermatol. 2003, 48, 1–19. [Google Scholar] [CrossRef] [PubMed]
- Nichols, J.A.; Katiyar, S.K. Skin Photoprotection by Natural Polyphenols: Anti-Inflammatory, Antioxidant and DNA Repair Mechanisms. Arch. Dermatol. Res. 2010, 302, 71–83. [Google Scholar] [CrossRef] [PubMed]
- Lee, J.H.; Park, J.; Shin, D.W. The Molecular Mechanism of Polyphenols with Anti-Aging Activity in Aged Human Dermal Fibroblasts. Molecules 2022, 27, 4351. [Google Scholar] [CrossRef]
- Angellotti, G.; Di Prima, G.; D’Agostino, F.; Peri, E.; Tricoli, M.R.; Belfiore, E.; Allegra, M.; Cancemi, P.; De Caro, V. Multicomponent Antibiofilm Lipid Nanoparticles as Novel Platform to Ameliorate Resveratrol Properties: Preliminary Outcomes on Fibroblast Proliferation and Migration. Int. J. Mol. Sci. 2023, 24, 8382. [Google Scholar] [CrossRef]
- Dunaway, S.; Odin, R.; Zhou, L.; Ji, L.; Zhang, Y.; Kadekaro, A.L. Natural Antioxidants: Multiple Mechanisms to Protect Skin From Solar Radiation. Front. Pharmacol. 2018, 9, 392. [Google Scholar] [CrossRef]
- Di Prima, G.; Belfiore, E.; Migliore, M.; Scarpaci, A.G.; Angellotti, G.; Restivo, I.; Allegra, M.; Arizza, V.; De Caro, V. Green Extraction of Polyphenols from Waste Bentonite to Produce Functional Antioxidant Excipients for Cosmetic and Pharmaceutical Purposes: A Waste-to-Market Approach. Antioxidants 2022, 11, 2493. [Google Scholar] [CrossRef]
- Di Prima, G.; Belfiore, E.; Angellotti, G.; De Caro, V. Green Next-Generation Excipients Enriched in Polyphenols from Recovery of Grape Processing Waste Black Bentonite: Influence of Unconventional Extraction Solvents on Antioxidant Properties and Composition. Sustain. Chem. Pharm. 2024, 37, 101414. [Google Scholar] [CrossRef]
- Klaschka, U. Natural Personal Care Products—Analysis of Ingredient Lists and Legal Situation. Environ. Sci. Eur. 2016, 28, 8. [Google Scholar] [CrossRef] [PubMed]
- Moskwa, J.; Bronikowska, M.; Socha, K.; Markiewicz-Żukowska, R. Vegetable as a Source of Bioactive Compounds with Photoprotective Properties: Implication in the Aging Process. Nutrients 2023, 15, 3594. [Google Scholar] [CrossRef] [PubMed]
- Jimenez-Lopez, C.; Carpena, M.; Lourenço-Lopes, C.; Gallardo-Gomez, M.; Lorenzo, J.M.; Barba, F.J.; Prieto, M.A.; Simal-Gandara, J. Bioactive Compounds and Quality of Extra Virgin Olive Oil. Foods 2020, 9, 1014. [Google Scholar] [CrossRef] [PubMed]
- Lino, C.; Bongiorno, D.; Pitonzo, R.; Indelicato, S.; Barbera, M.; Di Gregorio, G.; Pane, D.; Avellone, G. Chemical Characterization, Stability and Sensory Evaluation of Sicilian Extra Virgin Olive Oils: Healthiness Evidence at Nose Reach. Foods 2024, 13, 2149. [Google Scholar] [CrossRef]
- Ouzir, M.; El Bernoussi, S.; Tabyaoui, M.; Taghzouti, K. Almond Oil: A Comprehensive Review of Chemical Composition, Extraction Methods, Preservation Conditions, Potential Health Benefits, and Safety. Compr. Rev. Food Sci. Food Saf. 2021, 20, 3344–3387. [Google Scholar] [CrossRef]
- Gad, H.A.; Roberts, A.; Hamzi, S.H.; Gad, H.A.; Touiss, I.; Altyar, A.E.; Kensara, O.A.; Ashour, M.L. Jojoba Oil: An Updated Comprehensive Review on Chemistry, Pharmaceutical Uses, and Toxicity. Polymers 2021, 13, 1711. [Google Scholar] [CrossRef]
- D’Oca, M.C.; Bartolotta, A. Evaluation of the Original Dose in Irradiated Dried Fruit by EPR Spectroscopy. Radiat. Meas. 2011, 46, 813–815. [Google Scholar] [CrossRef]
- Thomsen, M.K.; Kristensen, D.; Skibsted, L.H. Electron Spin Resonance Spectroscopy for Determination of the Oxidative Stability of Food Lipids. J. Am. Oil Chem. Soc. 2000, 77, 725–730. [Google Scholar] [CrossRef]
- Thomsen, M.K.; Vedstesen, H.; Skibsted, L.H. Quantification of Radical Formation in Oil-in-water Food Emulsions by Electron Spin Resonance Spectroscopy. J. Food Lipids 1999, 6, 149–158. [Google Scholar] [CrossRef]
- Velasco, J.; Andersen, M.L.; Skibsted, L.H. Evaluation of Oxidative Stability of Vegetable Oils by Monitoring the Tendency to Radical Formation. A Comparison of Electron Spin Resonance Spectroscopy with the Rancimat Method and Differential Scanning Calorimetry. Food Chem. 2004, 85, 623–632. [Google Scholar] [CrossRef]
- Papadimitriou, V.; Sotiroudis, T.G.; Xenakis, A.; Sofikiti, N.; Stavyiannoudaki, V.; Chaniotakis, N. Oxidative Stability and Radical Scavenging Activity of Extra Virgin Olive Oils: An Electron Paramagnetic Resonance Spectroscopy Study. Anal. Chim. Acta 2006, 573–574, 453–458. [Google Scholar] [CrossRef] [PubMed]
- Capurso, A.; Crepaldi, G.; Capurso, C. Extra-Virgin Olive Oil (EVOO): History and Chemical Composition. In Benefits of the Mediterranean Diet in the Elderly Patient. Practical Issues in Geriatrics; Capurso, A., Crepaldi, G., Capurso, C., Eds.; Springer International Publishing: Cham, Switzerland, 2018; pp. 11–21. ISBN 978-3-319-78084-9. [Google Scholar]
- Stryjecka, M.; Kiełtyka-Dadasiewicz, A.; Michalak, M.; Rachoń, L.; Głowacka, A. Chemical Composition and Antioxidant Properties of Oils from the Seeds of Five Apricot (Prunus armeniaca L.) Cultivars. J. Oleo Sci. 2019, 68, 729–738. [Google Scholar] [CrossRef] [PubMed]
- Bongiorno, D.; Di Stefano, V.; Indelicato, S.; Avellone, G.; Ceraulo, L. Bio-phenols Determination in Olive Oils: Recent Mass Spectrometry Approaches. Mass Spectrom. Rev. 2023, 42, 1462–1502. [Google Scholar] [CrossRef] [PubMed]
- Fadda, A.; Molinu, M.G.; Deiana, P.; Sanna, D. Electron Paramagnetic Resonance Spin Trapping of Sunflower and Olive Oils Subjected to Thermal Treatment: Optimization of Experimental and Fitting Parameters. ACS Food Sci. Technol. 2021, 1, 1294–1303. [Google Scholar] [CrossRef]







| EVOO [23] | SAO [16] | AKO [24] | JO * [17] | |
|---|---|---|---|---|
| Fatty Acids (w/w%) | ||||
| MUFAs | e.g., oleic acid: 55–83% | e.g., oleic acid: 65% | e.g., oleic acid: 60–71% | e.g., oleic acid: 10%; 11-eicosenoic acid: 70%; |
| PUFAs | e.g., linoleic acid: 4–20% | e.g., linoleic acid: 37% | e.g., linoleic acid: 20–23% | |
| SFAs | e.g., palmitic acid: 7.5–20%; | e.g., palmitic acid: 9%; stearic acid: 3% | e.g., palmitic acid: 2.9–3.4%; | e.g., palmitic acid: 1.2%; stearic acid: 0.1% |
| Unsaponifiable fraction | ||||
| Tocopherols | 97–785 mg/kg e.g., α-tocopherol: 100–330 mg/kg | e.g., α-tocopherol: 20 mg/kg; β-tocopherol: 2 mg/kg; γ-tocopherol: 5 mg/kg | e.g., α-tocopherol: 14.8–40.4 mg/kg; γ-tocopherol: 330.8–520.8 mg/kg; δ-tocopherol: 28.5–60.2 mg/kg | e.g., γ-tocopherol 79% |
| Phenols (TPC) | 50–800 mg/kg e.g., Tyrosol, hydroxytyrosol, and secoiridoids: c.a. 90%; lignans: c.a. 10% | |||
| Pigments | 1–20 mg/kg | e.g., β-carotene: 57.2 μg/g | ||
| Hydrocarbons | 200–7500 mg/kg | e.g., squalene: 100 µg/g | ||
| Waxes | e.g., Docosenyl eicosenoate 41% Eicosenyl eicosenoate: 28% | |||
| Sample | No UV | 30 min UV | 60 min UV | 120 min UV |
|---|---|---|---|---|
| EVOO | 40 min | 20 min | 10 min | 7 min |
| SAO | 20 min | 10 min | 10 min | 5 min |
| AKO | 25 min | 15 min | 10 min | 5 min |
| JO | 50 min | 35 min | 20 min | 15 min |
| EVOO | Best-Fit Line Equation | R2 | Linearity Time Range (min) |
|---|---|---|---|
| No UV | y = 1203x − 28,642 | 0.9919 | 45–180 |
| 30 min UV | y = 1962x − 31,321 | 0.9976 | 25–180 |
| 60 min UV | y = 3387x − 45,103 | 0.9972 | 15–180 |
| 120 min UV | y = 7930x − 31,321 | 0.9926 | 10–55 |
| SAO | Best-Fit Line Equation | R2 | Linearity Time Range (min) |
|---|---|---|---|
| No UV | y = 6036x − 6234 | 0.9992 | 25–120 |
| 30 min UV | y = 12,464x − 79,252 | 0.9968 | 15–90 |
| 60 min UV | y = 12,236x − 87,839 | 0.9969 | 15–80 |
| 120 min UV | y = 12,683x + 11,144 | 0.9926 | 10–75 |
| AKO | Best-Fit Line Equation | R2 | Linearity Time Range (min) |
|---|---|---|---|
| No UV | y = 1338x − 6234 | 0.9936 | 25–180 |
| 30 min UV | y = 1965x − 34,686 | 0.9954 | 35–180 |
| 60 min UV | y = 2003x − 87,839 | 0.9964 | 15–180 |
| 120 min UV | y = 3040x + 11,144 | 0.9970 | 20–100 |
| JO | Best-Fit Line Equation | R2 | Linearity Time Range (min) |
|---|---|---|---|
| No UV | y = 1535x − 6234 | 0.9949 | 50–180 |
| 30 min UV | y = 1715x − 38,985 | 0.9992 | 35–180 |
| 60 min UV | y = 2227x − 87,839 | 0.9983 | 25–180 |
| 120 min UV | y = 2940x + 28,732 | 0.9970 | 20–100 |
Disclaimer/Publisher’s Note: The statements, opinions and data contained in all publications are solely those of the individual author(s) and contributor(s) and not of MDPI and/or the editor(s). MDPI and/or the editor(s) disclaim responsibility for any injury to people or property resulting from any ideas, methods, instructions or products referred to in the content. |
© 2024 by the authors. Licensee MDPI, Basel, Switzerland. This article is an open access article distributed under the terms and conditions of the Creative Commons Attribution (CC BY) license (https://creativecommons.org/licenses/by/4.0/).
Share and Cite
Di Prima, G.; De Caro, V.; Cardamone, C.; Oliveri, G.; D’Oca, M.C. EPR Spectroscopy Coupled with Spin Trapping as an Alternative Tool to Assess and Compare the Oxidative Stability of Vegetable Oils for Cosmetics. Appl. Sci. 2024, 14, 10766. https://doi.org/10.3390/app142210766
Di Prima G, De Caro V, Cardamone C, Oliveri G, D’Oca MC. EPR Spectroscopy Coupled with Spin Trapping as an Alternative Tool to Assess and Compare the Oxidative Stability of Vegetable Oils for Cosmetics. Applied Sciences. 2024; 14(22):10766. https://doi.org/10.3390/app142210766
Chicago/Turabian StyleDi Prima, Giulia, Viviana De Caro, Cinzia Cardamone, Giuseppa Oliveri, and Maria Cristina D’Oca. 2024. "EPR Spectroscopy Coupled with Spin Trapping as an Alternative Tool to Assess and Compare the Oxidative Stability of Vegetable Oils for Cosmetics" Applied Sciences 14, no. 22: 10766. https://doi.org/10.3390/app142210766
APA StyleDi Prima, G., De Caro, V., Cardamone, C., Oliveri, G., & D’Oca, M. C. (2024). EPR Spectroscopy Coupled with Spin Trapping as an Alternative Tool to Assess and Compare the Oxidative Stability of Vegetable Oils for Cosmetics. Applied Sciences, 14(22), 10766. https://doi.org/10.3390/app142210766

