Next Article in Journal
Multi-Model Gait-Based KAM Prediction System Using LSTM-RNN and Wearable Devices
Next Article in Special Issue
Gradient Descent Algorithm with Greedy Repositioning Using Power Deficit Aggregation of Wakes to Accelerate the Offshore Wind Farm Layout Optimization Problem in Irregular Concession Areas
Previous Article in Journal
Fast Type-II Hartley Transform Algorithms for Short-Length Input Sequences
Previous Article in Special Issue
Dual Control Strategy for Non-Minimum Phase Behavior Mitigation in DC-DC Boost Converters Using Finite Control Set Model Predictive Control and Proportional–Integral Controllers
 
 
Font Type:
Arial Georgia Verdana
Font Size:
Aa Aa Aa
Line Spacing:
Column Width:
Background:
Article

Green Hydrogen Production—Fidelity in Simulation Models for Technical–Economic Analysis

by
Adrián Criollo
1,2,
Luis I. Minchala-Avila
1,
Dario Benavides
3,
Danny Ochoa-Correa
1,
Marcos Tostado-Véliz
3,*,
Wisam Kareem Meteab
3 and
Francisco Jurado
3
1
Department of Electrical Engineering, Electronics, and Telecommunications (DEET), Universidad de Cuenca, Cuenca 010101, Ecuador
2
Department of Electrical Maintenance and Industrial Control, Instituto Superior Tecnológico del Azuay, Cuenca 010105, Ecuador
3
Department of Electrical Engineering, University of Jaén, 23700 Linares, Spain
*
Author to whom correspondence should be addressed.
Appl. Sci. 2024, 14(22), 10720; https://doi.org/10.3390/app142210720
Submission received: 22 October 2024 / Revised: 11 November 2024 / Accepted: 18 November 2024 / Published: 19 November 2024

Abstract

Green hydrogen production is a sustainable energy solution with great potential, offering advantages such as adaptability, storage capacity and ease of transport. However, there are challenges such as high energy consumption, production costs, demand and regulation, which hinder its large-scale adoption. This study explores the role of simulation models in optimizing the technical and economic aspects of green hydrogen production. The proposed system, which integrates photovoltaic and energy storage technologies, significantly reduces the grid dependency of the electrolyzer, achieving an energy self-consumption of 64 kWh per kilogram of hydrogen produced. By replacing the high-fidelity model of the electrolyzer with a reduced-order model, it is possible to minimize the computational effort and simulation times for different step configurations. These findings offer relevant information to improve the economic viability and energy efficiency in green hydrogen production. This facilitates decision-making at a local level by implementing strategies to achieve a sustainable energy transition.

1. Introduction

In recent years, hydrogen energy has gradually become a new alternative for clean energy generation. The multiple applications of hydrogen as a means of energy storage in the energy sector, transport, industry, and various other applications have generated great interest in global economic development [1], thus allowing a promising alternative to satisfy and maintain global energy needs with a sustainable tendency [2,3,4,5]. As a result, hydrogen generation has sparked great interest in some countries as a fuel of the future [6,7,8]. However, ensuring green hydrogen production from a renewable energy perspective presents significant challenges. Renewable energy sources (RESs) are naturally variable, requiring energy storage systems (ESSs) to accommodate daily and seasonal changes. Currently, the search for methods and technological development in new energy storage systems is ongoing. One of the processes for generating green hydrogen is through the electrolysis of water using RESs. Recently, there has been significant research and development into this technology, and various methods have been developed to increase efficiency and reduce production costs [9]. Therefore, this article analyzes and studies green hydrogen production in a micro-grid case study based on medium- and high-precision models for a feasible technological and economic analysis. Green hydrogen is generated through an electrolyzer, which is composed of a photovoltaic (PV) system as a renewable resource and an ESS to reduce energy consumption from the electrical grid.
Techno-economic analyses have been fundamental in determining the payback period of investments. However, more studies are currently needed to analyze the return on investment when using excess solar energy to charge energy vectors such as hydrogen. One solution is to produce hydrogen through the electrolysis—splitting with an electric current—of water and to use that hydrogen in a fuel cell (FC) to produce electricity during times of low power production or peak demand or to use the hydrogen in fuel cell vehicles. In addition, hydrogen is a non-toxic and clean energy carrier with a specific energy of 141.9 kJ/g, compared to 46.5 kJ/g of gasoline [10,11]. However, it is important to consider the high cost that its production could generate, so several optimization studies have been carried out. For example, one study has optimized a solar energy system to electrify Kousseri, Cameroon, comparing four algorithms for sizing systems in isolated grids [12]. Similarly, ref. [13] presents the design of a hybrid photovoltaic (PV)/wind turbine (WT)/FC system for three regions in Iran, using the whale optimization algorithm (WOA) to minimize the net present value of the hybrid system while meeting the probability of power generation losses. Furthermore, a study presents a hybrid renewable energy system for domestic and telecommunications loads across India, considering technical, economic, environmental, and social factors [14]. Among the findings, Chennai emerges as the optimal location for domestic and telecommunications loads based on analyses of cost of energy (COE), total net present cost (TNPC), annualized cost of system (ACS), carbon emissions (CEs), and particulate matter (PM), compared to New Delhi and Mumbai.
On the other hand, ref. [15] examines the feasibility of using wind and solar plants for hydrogen generation via electrolysis, focusing on component sizing and the location’s impact on the levelized cost of hydrogen. A notable aspect of the research is their finding that hydrogen shows a negative correlation with the amount of electrical production surplus. Similarly, a study analyzed the production of green hydrogen in Paraguay [16]. This study obtained a total production potential of 22.5   ×   10 6 tons/year, which favors the incorporation of the hydrogen economy in the automotive transportation and residential energy sectors. Proton exchange membrane water electrolyzer (PEMWE) technologies boast higher current densities (1–2 Acm−2) than alkaline water electrolyzers (AWEs) and produce a higher purity of hydrogen up to 99.9999% [17]. Barriers associated with those systems have been gathered and recapped to identify key solutions that could aid in their removal. Likewise, in a study, the results found that a 4.2% reduction in the amount of electrical energy needed for electrolysis showed that barriers to solar hydrogen generation are related to the industry of PV cells, atmospheric conditions affecting PV cells’ performance, and those related to solar-to-hydrogen (STH) production and storage [18]. According to [19], by connecting a solar module with the voltage at its maximum power point (Vmpp) to a high-efficiency PEM electrolyzer, the group was able to achieve a solar-to-hydrogen efficiency of 12.4%, compared to a past system that only reached 2–6%. This study utilized a 20-cell PEM electrolyzer stack and various PV modules with different output voltages and current levels.
In this context, the modeling of large-sized electrolyzers has also been studied for real-time simulation and the possibility of frequency support by electrolyzers [20]. Also, electrolyzers have been found to support frequency stability more effectively than conventional generators, benefiting the power system’s stability. The development of a generic electrolyzer model has allowed simulations to analyze the impact of electrolyzers on power system stability, showing promising results. Field measurements and simulations have validated the model’s ability to replicate the behavior of real electrolyzers, highlighting their potential to support frequency and voltage stability in future power systems. In the same line, the reference [21] explores the impact of the operational constraints and the control strategies on the effectiveness of hydrogen electrolyzers in providing frequency control services; the results show that hydrogen electrolyzers can effectively contribute to helping prevent widespread load shedding in power systems. Also, in the studies carried out by [22,23], the results present that proton exchange membrane hydrogen electrolyzer units are a suitable candidate for virtual inertia response, regulation, and contingency frequency control ancillary services, potentially replacing the need for battery installations in future power systems. Electrolyzers can regulate power off-take based on grid frequency. A techno-economic model optimizes revenue by considering power band and ancillary services. Operating the electrolyzer at optimal values maximizes revenue. Offering symmetric primary reserve is a valid option for revenue generation [24].
On the other hand, high-fidelity mathematical models used to perform simulations in the fields of chemical engineering and fluid dynamics can take hours or even days to simulate due to the large amount of data and parameter tuning required in these models. To address these challenges, high-fidelity component-level models can be replaced with reduced-order models that balance accuracy in exchange for lower computational complexity. To create a static reduced-order modeling ROM, curve fitting, look-up tables, and neural networks can be used to create a suitable model [25,26]. This could directly influence the time required for the simulation process of the electrolyzer and the micro-grid system. Therefore, the point of interest is specifically to analyze the energy production and determine the amount of hydrogen that can be produced. Parameters must be taken into account for a technical–economic study.
Consequently, all these factors represent a gap in research for the generation of green hydrogen. Some studies present technical–economic analyses for different countries, which do not allow the approach to be generalized due to the economic power of each one. In addition, there are different conditions for renewable resource generation. This study focuses on a case study to offer alternatives in the regulatory framework and the development and implementation of state support measures for hydrogen energy projects in countries undergoing sustainable development. Many studies in the literature have focused on hydrogen production solely with surplus renewable energy. However, the proposed system allows the generation of green hydrogen continuously throughout the year with minimal consumption from the electrical grid on days of low PV production. Furthermore, the management model achieves an adequate handling of the ESS, which allows for a daily energy balance in an autonomous manner. It also includes data and technical parameters of the equipment used during its experimentation, which brings its effectiveness closer to simulation models for small- and large-scale technical–economic studies. Based on these green hydrogen initiatives, the contributions of this article are as follows:
  • A PV energy management and storage model for the uninterrupted production of green hydrogen through self-consumption is proposed.
  • The replacement of the high-fidelity model of the electrolyzer with reduced-order modeling is studied based on real experimentation.
  • A comparative study is carried out between the energy consumption of methane reforming to generate hydrogen versus the proposal developed with renewable energies.
  • A technical–economic analysis is performed for the estimation of local hydrogen production versus the energy cost in kWh/kg.
  • Data from experimental tests are used in a real-time simulation environment and micro-grid laboratory tests.
The remainder of this paper is organized as follows: Section 2 presents the details of the modeling of the system components, Section 3 presents the experimental phase with electrolytes, and Section 4 presents the case study, including simulation results and discussion. Finally, Section 5 concludes the study.

2. System Component Modeling

2.1. Production of Green Hydrogen

The production of green hydrogen through the electrolyzer results from the optimal performance of RESs and ESSs with minimal or no consumption from the electrical grid. Therefore, this study proposes the continuous production of hydrogen through electrolyzers. Figure 1 presents a generalized scheme for hydrogen production based on photovoltaics with energy storage support, which covers a pre-established demand profile for the electrolyzer (ETZ). Excess PV energy is stored in the ESS to deliver the energy in case of shortages later. In this context, the PV power injected into the grid P t P V allows the supply of the demand of the electrolyzer P t E T Z . In the case of excess (−) or the absence (+) of generation, the power of the energy storage system P t E S S allows the energy management to be completed with the objective of reducing the power consumption of the electrical grid P t G d . This function is defined in the following Equation (1):
m i n [ P t G d = P t P V ± P t E S S P t E T Z ]
In this way, self-consumption is achieved from the demand side at the point of common coupling (PCC). Finally, hydrogen can be evaluated as an energy potential in the use of fuel cells.

2.2. Photovoltaic Array

The pre-established photovoltaic modules of the system advisor model of the National Renewable Energy Laboratory (NREL) are used. Specifically, it was simulated with the Atersa A-250P model (Elecnor, Valencia, Spain) with a nominal power of 15 kWp based on the 15 × 4 (series–parallel) configuration [27,28]. The PV array is modeled with parameters that use a light-generated current source ( I L ), a diode, a series resistor ( R s ), and a shunt resistor ( R s h ) to represent the I–V characteristics of the modules. These values depend on the input variables of irradiance (W/ m 2 ) and temperature (°C) [29]. The equations are detailed below:
I d = I 0 e x p ( V d V T ) 1
where I d is diode current (A), I 0 is diode saturation current (A), V d is diode voltage (V), and the voltage V T is calculated as follows:
V T = k T q × n I × N c e l l
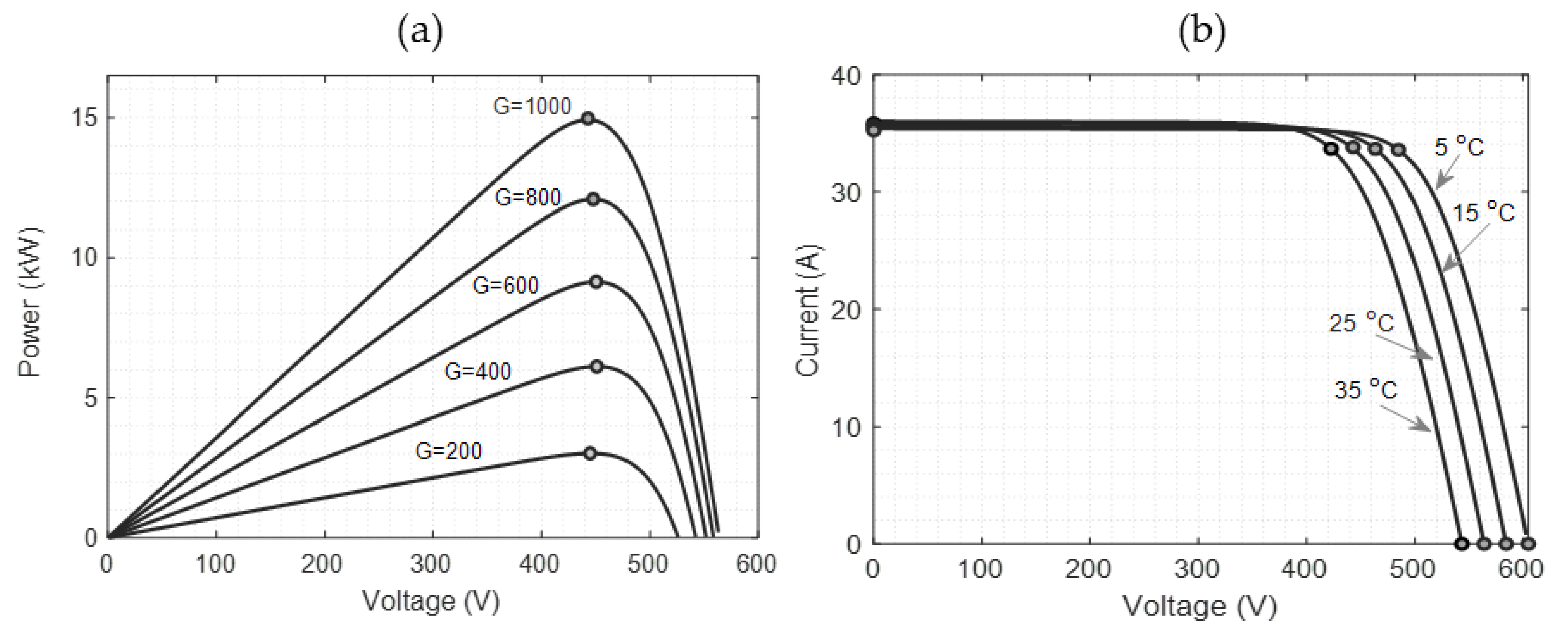
where k is the Boltzmann constant (1.3806 × 10−23 J· K−1), T is the cell temperature (K), q is the electron charge (1.6022 × 10−19 C), n I is the diode ideality factor and N c e l l is the number of cells connected in series in a module. Below in Figure 2, the PV power produced P = I V and the characteristic V–I curves are presented.
The operating ranges of the voltage of the PV system are 15 kWp under different levels of solar irradiation G (see Figure 2a). The maximum power tracking for the voltage is around 450 Vdc. Similarly, the nominal current of 36 A with different temperature values established in the model parameters is presented in Figure 2b. Finally, this model is integrated with a DC/DC converter and, subsequently, a DC/AC converter for connection to the PCC [28].

2.3. Electrolyzer Model

Electrolyzers can be modeled using various approaches. In this case, the chemical–electrical approach is adopted. The electrolyzer block represents the electrical load of the electrolyzer, which consists of an anode and a cathode separated by an electrolyte. This block calculates the hydrogen production based on the electrical energy input and the water temperature in the tank [30]. The electrolyzer block calculates the electrical power using Equation (4):
P E = ν 2 R T P t E T Z
where ν is the voltage and R T is the total resistance given by Equation (5). The R T , is defined by
1 R T = 1 R e l + 1 R R e l = ρ ( p H ) × x A
where R is the external resistance, A is a resistive term obtained from the cross-sectional transport area, x is the anode–cathode distance, and ρ ( p H ) is the electrical resistivity of the solution. The energy per mole stored over the electrical load facilitates water electrolysis and can be computed using Equation (6):
G E = P E 1   mol s
In performing electrolysis, the electrolyzer needs a minimum level of energy according to Equation (7):
G m i n = Δ H T T o T Δ s
where Δ H is the water enthalpy, T Δ s is the reaction entropy, T is the water temperature, and T o is the reference temperature.
If there is not enough electrical energy to split the water molecules, the electrolyzer will not generate hydrogen. Consequently, the electrolyzer block determines Equations (8) and (9), the rates of electron, mole, and hydrogen production, respectively.
m o l e = μ ( G E G m i n ) e V N A G e > G m i n 0 G e G m i n
m o l H 2 = N c m o l e 2 G e > G m i n 0 G e G m i n
where N A is the Avogadro constant, e V is the energy per electron, N c is the number of cells, and μ is the temperature-dependent efficiency of the electrolysis.
The current passing through the electrolyzer tank, as given by Equation (10), is determined using the following expression, where F represents the Faraday constant (96,485.3321 s·A/mol):
i = m o l e × F
The electrolyzer block computes the mass rates of water consumption and hydrogen production using Equations (11) and (12), respectively:
m ˙ H 2 O = m o l H 2 M H 2 O
m ˙ H 2 = m o l H 2 M H 2
where M H 2 O is the molar mass of water, and M H 2 is the molar mass of hydrogen.

2.4. Application of Hydrogen as a Fuel Cell

2.4.1. Simplified Fuel Cell Model

The following model is generic and can emulate the behavior of any fuel cell type fed with hydrogen and air (see Figure 3). The approach involves extracting data from the data sheet to perform simulations without the need for experimental tests on an actual stack [31].
Fuel cell models can be classified into three categories: chemical, experimental, and electrical. Chemical models include complex chemical and thermodynamic phenomena but require excessive parameters and cannot be easily added to electrical simulation programs [32,33,34]. Experimental models are derived from experiments and represent the fuel cell by look-up tables or empirical expressions [35,36]. Electrical models represent the fuel cell through electrical circuit elements [31]. There, the controlled voltage source E is given by Equation (13). It is important to note that E o c represents open-circuit voltage, N the number of cells, A the Tafel slope, i o the exchange current, T d the response time at 95% of the final value in seconds, R o h m the internal resistance, i f c the FC current, and V f c the FC voltage. Equation (14) refers to stack total voltage considering the losses due to electrodes and electrolytes [31].
E = E o c N A l n ( i f c i o ) × 1 s T d 3 + 1
V f c = E R o h m × i f c

2.4.2. The Detailed Fuel Cell Model

The detailed model accurately simulates a specific fuel cell stack by adjusting for changes in parameters such as pressure, temperature, composition, and flow rates of the fuel and air. These variations influence the Tafel slope (A), the exchange current ( i 0 ), and the open-circuit voltage ( E o c ). The equivalent circuit of the detailed model (illustrated in Figure 4) is identical to that of the simplified model, except that the parameters ( E o c ,   i 0 ,   A ) need to be updated based on the input pressures, flow rates, stack temperature, and gas compositions [31].
According to the detailed model, the next set of equations has been modified:
E o c = K C × E n
i o = z F k ( P H 2 + P O 2 ) R h × exp ( Δ G R T )
A = R T z × α × F
where R represents the unit of molar entropy, F the Faraday constant, z the number of moving electrons (two in this case), E n the Nernst voltage, which is the thermodynamics voltage of the cells and depends on the temperatures and partial pressures of reactants and products inside the stack, α the charge transfer coefficient, P H 2 the partial pressure of hydrogen inside the stack, P O 2 the partial pressure of oxygen inside the stack, k Boltzmann’s constant, h Planck’s constant, Δ G the activation energy barrier, T the temperature of operation, and K C the voltage constant at nominal conditions.
As illustrated in Figure 4, Blocks A, B, and C are used to calculate new values for E o c , i 0 , and A. Initially, Block A determines the conversion rates (utilization) of hydrogen ( U f H 2 ) and oxygen ( U f O 2 ) as follows:
U f H 2 = 60000 R × T i f c z × F × P f u e l × V f u e l × x %
U f O 2 = 60000 R × T i f c 2 × z × F × P a i r × V a i r × y %
In Equation (18), P f u e l represents the absolute supply pressure of fuel, P a i r the absolute supply pressure of air, V f u e l the fuel flow rate, V a i r the air flow rate, x % the percentage of hydrogen in the fuel, and y % the percentage of hydrogen in the oxidant.
Block B, shown in Figure 4, determines the partial pressures and the Nernst voltage as follows:
P H 2 = ( 1 U f H 2 ) × x % P f u e l
P O 2 = ( 1 U f O 2 ) × y % P a i r
P H 2 O = ( w + 2 y % × U f O 2 ) × P a i r
E n = 1.299 + ( T 298 ) × 44.43 z F + R T z F ln ( P H 2 × P O 2 1 / 2 )
for T > 373 K:
E n = 1.299 + ( T 298 ) × 44.43 z F + R T z F ln P H 2 × P O 2 1 / 2 P H 2 O
In Equation (21), P H 2 O represents the partial pressure of water vapor and w the percentage of water vapor in the oxidant. The nominal value and Nernst voltage E n can also be calculated from the Equation (24), where T represents temperature operation, R refers to the amount of energy needed to raise the temperature of one mole of a substance by one kelvin, and finally z is the number of moving electrons.
By knowing the partial pressures of gases and the Nernst voltage, the new values for the open-circuit voltage and the exchange current can be calculated using Equation (13) and (16), respectively. Block C then calculates the new Tafel slope value using Equation (17).
To model the effect of oxygen depletion (due to air compressor delay) on the stack voltage, parameters for flow dynamics such as the peak utilization ( U f O 2  (peak)) and the corresponding voltage undershoot (Vu) are needed. Oxygen depletion within the cell increases its utilization above the nominal value, and the Nernst voltage is subsequently adjusted as follows.

2.4.3. Model Assumptions and Limitations

The following assumptions and limitations have been considered in the development of the simulation:
  • Gases are assumed to behave as ideal gases.
  • The stack is supplied with hydrogen and air.
  • A cooling system ensures stable temperatures at the cathode and anode exits, matching the stack temperature.
  • A water management system maintains appropriate humidity levels within the cell under all load conditions.
  • Pressure drops across flow channels are assumed to be negligible.
  • Voltage drops within the cell are primarily due to reaction kinetics and charge transport, as fuel cells typically do not operate in the mass transport region.
  • The cell’s resistance is assumed to remain constant under all operating conditions.
  • Gas or water flow through the membrane is not accounted for.
  • The effects of membrane temperature and humidity on stack resistance are not considered.

2.5. Energy Storage Model

Energy storage systems have proven to be one of the leading solutions when there is a shortage of renewable energy generation in order to balance demand with generation. Its application is of great importance to achieve the correct performance of all elements in the electrical grid. In this context, the use of batteries is based on the production of green hydrogen with minimal or zero consumption from the grid. Excess PV energy is stored in the batteries during peak power production hours. Then, the accumulated energy is returned in the case of demand from the electrolyzer. This guarantees optimal performance for hydrogen production without interruption. Although each ESS depends on constructive and technological characteristics, the control of the SoC is exclusively detailed and can be applied to any ESS. Therefore, the SoC of the batteries is analyzed through simulation in the following way.
The ESS allows charging or discharging in random sequences with any amplitude between 0 and 100% of its effective capacity. The ESS control algorithm to limit the SoC is shown in Figure 5, where the value of P t r e f is initially assigned as the difference between the photovoltaic power P t P V and the electrolyzer demand power P t E T Z , in such a way that being a value greater than zero, it allows the charging of the P t E S S from a time ( Δ t c h a r g e = t 2 t 1 ) in the positive cycle and defines P t c h a r g e = P t r e f . Subsequently, the charge energy value E c t E S S is calculated as the integral of the charge power. The same is applied for the discharge energy, assigned for the negative cycle E d t E S S . The total energy of the ESS at E t E S S during a time t n and t n varies as a function of the difference in the charge and discharge energy, respectively. This procedure is summarized in Equation (25):
P t r e f = P t P V P t E T Z E c t E S S = t 1 t 2 P t c h a r g e d t P t r e f 0 E d t E S S = t 1 t 2 P t d i s c h a r g e d t P t r e f < 0
Then, the value of the total energy in the storage is calculated as follows:
E t E S S = η c × E c t E S S 1 η d × E d t E S S
where η c is charging efficiency and η d is discharging efficiency. Then, the calculation to determine the SoC is calculated with the maximum storage energy E m a x , that is,
S o C t E S S = S o C t 1 E S S + E t E S S E m a x × 100 %
The SoC restriction is limited in its maximum S o C m a x and minimum S o C m i n values allowed according to the following equation:
P t E S S = P t r e f S o C m i n S o C t E S S S o C m a x P t E S S = 0 S o C m a x < S o C t E S S < S o C m i n

3. Experimental Phase with Electrolytes

During the experimental phase for obtaining hydrogen fuel by electrolysis of water, the research was based on the results of a preliminary study [37]. Initially, solutions were prepared with sodium hydroxide (NaOH) at a 1% concentration, sulfuric acid (H2SO4) at a 37% concentration, and sodium bicarbonate (NaHCO3) at a 1% concentration. It is worth noting that the electrochemical analysis was carried out in the Laboratory of the Faculty of Chemical Sciences. The results are summarized in Table 1, which presents the outcomes of the experimentation with sulfuric acid for electrodes both with a size of 50 cm2.
According to Figure 6a for an electrode area of 50 cm2 and Figure 6b for an electrode area of 100 cm2, it can be confirmed that at the moment hydrogen is generated, its weight is approximately double that of oxygen, as demonstrated by the graphs. Furthermore, as the distance between electrodes decreases from 39 cm to 1 cm, hydrogen production increases. In Figure 6a, there is a peak of 606 cubic centimeters (c.c.) at a concentration of 26.92%. Meanwhile, for Figure 6b, the maximum limit reaches 1217 c.c. at a concentration of 24.21%.
Based on the study of the ELS500 Hydrogen Generator electrolyzer of the Micro-Grid of the University of Cuenca, to prepare a 1% potassium hydroxide (KOH) solution in 4 L of water, we dissolved 40 g of KOH. This is based on the following Equation (29):
C o n c e n t r a t i o n = mass of solute volume of solution × 100 %
For a 1% concentration, the mass of KOH should be 1% of the solution volume in milliliters (4000 mL), resulting in 40 g of KOH required to achieve the desired concentration in 4 L of water.
Finally, in Figure 7, the three electrolytes under experimentation, NaHCO3, NaOH, and H2SO4, are synthesized. The experimental results indicate that the best electrolyte is sulfuric acid, with a 1 cm electrode spacing, an electrode area of 100 cm2 each, and a hydrogen production of 1217 cc. The lowest quality electrolyte was sodium bicarbonate (NaHCO3). From the practices, it was determined that hydrogen production is also proportional to the electrode area; for example, with NaOH, an electrode area of 50 cm2 produces 298 cc, while an area of 100 cm2 produces 596 cc of hydrogen.

4. Simulation Results and Discussion

4.1. Micro-Grid Case Study

The following Figure 8 details the micro-grid equipment used in this study, which is part of the Micro-Grid Laboratory of the Universidad de Cuenca, Ecuador. It consists of a 15 kW PV system with 60 modules from the Atersa brand (Elecnor, Valencia, Spain), Samsung 44 kWh lithium batteries (Samsung, Gyeonggi-do, Republic of Korea) as the ESS, includes a 2-level bi-directional power converter, GPTech (Spain), and the Heliocentris EL500 electrolyzer (Italy) (see Table 2 and Table 3), which produces 500 Nl/h at a pressure of 30 bar, with a purity of 99.94% from distilled water and a constant load of 2.39 kW to the PCC with the electrical grid. The hydrogen produced as compressed gas is stored in four tanks (50 L each) at a maximum pressure of 200 bars (Spain) [27].
The data for this simulation are presented in the following table.
The following Algorithm 1 details the steps and configuration for energy control and management. The input parameters to the algorithm required as the measurement points are established according to the scheme in Figure 1. For this, the Modbus communication stations of the equipment must be initialized at a set time. Subsequently, these values are read and processed in real time for the reference values towards the ESS inverter [27,38]. The SoC control limits the energy delivery capacity autonomously, thus offering security during the management system. The system response is practically instantaneous, so the PV energy is stored in the ESS after covering the demand of the electrolyzer.
Algorithm 1 Steps and configuration for energy control and management
1:
Data input: P t P V , P t E T Z , P t E S S , S o C t E S S
2:
while:  t = 1 : N iteration
3:
  Start
4:
  TimerVal = tic
5:
  Start Modbus communication
6:
  m = modbus(Transport, ‘Port’, Name, Value)
7:
  Read data from a Modbus server
8:
  read(m, target, address, count, serverId, precision)
9:
  P t r e f = P t P V P t E T Z      Equation (3)
10:
  If  S o C m i n S o C t E S S S o C m a x
11:
       P t E S S = P t r e f      Equation (6)
12:
  else
13:
      P t E S S = 0      Equation (6)
14:
  end
15:
  Perform a write operation to the connected
16:
  Modbus server ESS value
17:
  write(m, target, address, values, serverId, ‘precision’)
18:
end

4.2. Techno-Economic Optimization

In this section, the simulation results are presented according to the scheme in Figure 1 for the production of green hydrogen. In the simulator configuration, steps of minutes, hours, and days are added. The equipment used for the simulation was OPAL-RT Real-Time Simulation (Montreal, QC, Canada), integrating a 4-core, 3.7 GHz, 16 GB RAM, 250 GB SSD Intel® Xeon® E3 computer [39], in which a 2.39 kW electrolyzer profile and a 15 kWp photovoltaic system were assigned. The specific considerations for the technical–economic analysis are as follows:
  • Annual input database of solar irradiation, temperature, and maximum storage energy.
  • Conducted across a long duration of time at regular intervals ranging from 1 min to 1 h.
  • Relies on steady-state operational conditions at each time interval instead of system dynamics.
  • Uses a quasi-steady-state simulation.
  • Effect of fluctuating PV power as a function of solar irradiation and response of power converters.
  • Restriction of battery state of charge based on maximum operating capacity.
  • Operating condition of the electrolyzer for 16 h without interruption.

4.2.1. Simulation with Hourly Step Configuration

During the operational simulation of the step-based system configured per hour, the electrical parameters of voltage (V), current (A), and power (kW) were recorded at the different measurement points. Figure 9a,b show the results at the PV system output points and electrolyzer demand, respectively, where a constant voltage can be observed on the 230 Vac in the PCC three-phase system ( V R S T ). In Figure 9a, the PV system current responds almost proportionally to solar irradiation and power as the product of voltage and current. In addition, the electrolyzer current ( I R S T ) remains practically constant due to the consumption of 2.39 kW over 16 continuous hours (see Figure 9b).
On the other hand, Figure 9c,d show the voltage, current, and power at the other measurement points of the energy storage and utility grid, respectively, where a negative power value indicates the support of the electrical grid or the discharge of the ESS; on the contrary, a positive value is the delivery of excess power to the grid or the charge of the ESS (see Figure 9c). In this case, zero consumption from the electrical grid can be seen in Figure 9d. Therefore, the system remains in generation with self-consumption.

4.2.2. Simulation with Steps per Minute Configuration

The simulation results of the system based on steps configured per minute are presented in the following Figure 10. As can be seen, the sampling frequency of the system allows for a detailed analysis of changes in solar irradiation (see Figure 10a), which was not visible in the previous figure. The system response is coupled to more precise and optimal results for controller design and validation. However, the simulation time increases significantly. The parameters in Figure 10b do not show significant changes due to their constant electrolyzer demand value. However, the voltage level generates a variation due to the fluctuating penetration of the PV system. This directly affects all measurement points at PCC.
Additionally, Figure 10c shows the simulation results at the ESS output, so it can be seen that the power that exceeds generation allows the charging of the ESS with P t E S S < 0 . On the other hand, if the PV power is less than the electrolyzer demand, the batteries are discharged, delivering power to the grid, i.e., P t E S S > 0 . In parallel, Figure 10d shows the null response from the utility grid due to the support of the PV system and the ESS. Voltage regulation can also be observed in PCC due to ESS support.

4.2.3. Simulation with Step Configuration by Months

Therefore, to demonstrate the feasibility, an analysis in steps of months is carried out for hydrogen production with the support of PV and ESS systems. In this context, an annual database is required for the technical–economic analysis. The data corresponding to the PV production and electrolyzer demand of one year in steps of minutes are presented in the following Figure 11.
The highest PV energy production is recorded during March, September, and October, and the lowest production months are June and December. Then, considering a constant electrolyzer load of 2.39 kW during the 16 h of operation, it requires an approximate monthly energy of 1147.2 kWh/month. Finally, the viability of the system can be related to PV production and the demand for the electrolyzer during the year. These values are presented in the following Figure 12.
As can be seen, during the ten months, the electrolyzer’s demand is fully supplied, and the months of lower production (June and December) require energy from the grid. This results in a model with high expectations for the production of green hydrogen.

4.3. Analysis of Seasonal and Diurnal Variations in PV Performance

The variability of PV power is a crucial aspect to consider during solar power generation. This variability is influenced by weather conditions, the geographical location of the installation, and the times of day. The intermittency of solar radiation can cause these fluctuations in energy production. Therefore, in this section, the PV production versus hydrogen production is analyzed under three different climatic conditions. As mentioned above, green hydrogen production is carried out uninterruptedly. Therefore, the energy management system must maintain balance with the demand of the electrolyzer. As can be seen in the following Figure 13, the battery support allows for optimal energy distribution with minimum consumption from the electrical grid.
Figure 13a shows a medium variability in PV production, which has generated around 50 kWh against the 38.24 kWh required by the electrolyzer. The excess value of 23.5% has been supplied to the grid. In this case, the battery SoC has started at its low value, so during the first few hours, it reaches its minimum value and requires energy from the grid. As PV production increases throughout the day, the batteries store the excess energy for discharge during the night hours. On the other hand, in the second case, the variability of the PV production is high (see Figure 13b). The PV energy reaches 65 kWh, which is about 70% of what can be delivered to the grid. Due to the conditions of this day, the energy from the grid is not required and 55% is available in the SoC. Finally, in Figure 13c, a low variability in the PV production is presented, with the energy produced during this day being 62 kWh. Unlike the first case, the state of charge reaches values higher than 60% compared to 35% in the first case. It is worth mentioning that the values are limited by the storage capacity according to Figure 5, so the algorithm must respond to the SoC of the ESS. That is, if the reference power exceeds the SoC values, the power of the ESS must be 0. This can be seen in detail in the enlargement of Figure 13c.

4.4. Validation of Simulation Models Through Experimental Data

The following Figure 14 presents the details of experimental verification for the energy systems as a function of power. As can be observed, the variability of the PV system is due to the fact that the reference values for the model are solar radiation and ambient temperature. A scatter diagram has been included to verify the relationship between the simulation values and the real-time data. Similarly, the response time of the ESS to the variability of the PV power in the charging cycles is observed. The surplus of this energy is stored to be discharged during the night hours. In the latter case, the power response of the electrolyzer is practically a constant value during its operation; however, being a load connection/disconnection device, it causes a very short-duration transient effect. This effect is also absorbed directly by the ESS, which does not cause disturbances in the electrical grid. It should be noted that since these are low rate of change values, the scatter diagram adjusts the largest amount to 2.39 kW.

4.5. Cost Analysis and Economic Feasibility

The price of producing green hydrogen is a key aspect for its large-scale adoption. Based on the simulations conducted according to Table 4, the results indicate that the energy consumption to produce one kilogram of hydrogen is 64 kWh. Additionally, the hydrogen production per day and year is 0.287 kg/day and 103.32 kg/year, respectively. On the other hand, a cost of 0.06 USD/day and 36 USD/year was considered as a reference for the price of water in the city of Cuenca, Ecuador. In this case, the required water consumption is 0.4 L per hour.
As shown in Figure 15a, the electrolyzer produces 0.287 kg of hydrogen per day while operating. It is important to note that the electrolyzer runs for 16 h per day and remains off for the remaining 8 h. Therefore, in this case study, the electrolyzer will produce a total of 103.32 kg of hydrogen annually.
In addition, based on Figure 15b, the energy consumption to produce 1 kg of hydrogen is expected to stabilize at 64 kWh after the first 9 h. In this case study, conducted in the city of Cuenca, Ecuador, where the cost of electricity is USD 0.09 per kWh, the production cost for one kilogram of hydrogen would be approximately USD 5.76.
Table 5 and Table 6 present the electricity prices per hour in Ecuador for residential, commercial, and industrial consumers [40]. Consequently, the EL-500 electrolyzer consumes 2.382 kWh when operated for 16 h per day, resulting in a total daily demand of 38.08 kWh. Considering the manufacturer’s reported efficiency range of 60% to 80%, the net energy consumption is between 22.08 kWh and 30.46 kWh. Additionally, during the experimental phase, it was observed that hydrogen storage at 200 bar in a 50-liter tank provided 8.919 kWh over 3 h, 27 min, and 59 s, When the fuel cell is operating at nominal power with the characteristics of Table 7 of the Ecobox-MR30S1 model (Singapore). This corresponds to a round-trip efficiency of 40.45%, which aligns with values reported in the literature [41].

4.6. Analysis Considering CAPEX and OPEX

The analysis of capital expenditure (CAPEX) and operating expenditure (OPEX) is a fundamental practice in the economic evaluation of projects. Table 8 shows all the information required for the calculation of capital and operating costs.
Based on the values in Table 6 and Figure 12, the profit from the sale of energy to the Ecuadorian electrical system is calculated. These results are presented in the following Figure 16. As can be seen, there is a surplus in energy sales in most months, except in June and December, when additional energy must be purchased from the grid. Annual revenue from electricity sales amounts to $367.63.
Using the cash flow balance and net income from energy sales, the annual cost of the hydrogen production project is calculated according to Equation (30):
Total Annual Cos t ( year ) = Capital Cost + Annual Operatings Cos t Annual Grid Revenue Total Annual Cost ( year ) = $ 26192.4 + $ 2122.41 $ 367.62 = $ 27947.19
Considering capital costs along with operation and maintenance expenses, the cost per kilogram of hydrogen is approximately
Unit H 2 production Cos t = Total anuual Cost Annual H 2 Production Unit H 2 production Cost = 27947.19 103.32 kg Unit H 2 production Cost = $ 270 / kg
In assessing the economic viability of hydrogen production, the levelized cost of hydrogen (LCOH) based on Equation (32) is used to calculate the average cost of hydrogen production over the entire life of the project. This includes capital, operation, and maintenance costs, as well as the cost of necessary inputs such as electricity and water.
LCOH = Net Present Value of total Cost ( CAPEX plus OPEX ) over the lifetime of the plant Net Present Value of total hydrogen production over the lifetime = 27947.19 103.32 × 25 = $ 10.81 kg
Over the 25-year lifetime, the levelized cost of hydrogen under these conditions is compared with international hydrogen production markets. To overcome these limitations, the authors propose the following strategies.

4.6.1. Strategy 1: Offer Subsidy for Green Hydrogen Production

This strategy will enable the Ecuadorian state, through regulatory and control agencies, to analyze the appropriate price to be paid for photovoltaic generation in the production of green hydrogen (Figure 17).

4.6.2. Strategy 2: Variable Price per kW for the Electrolyzer

The second strategy involves maintaining an average price of 0.35 cUSD/kWh while varying the price per kW for the electrolyzer (Figure 18).

4.7. Comparative of Hydrogen Using Natural Gas

On the other hand, a comparative analysis has been carried out on the production of hydrogen from natural gas. For this purpose, the process was modeled through steam methane reforming, which is the most common method for producing hydrogen from natural gas, which involves two main reactions:
1.
—Methane reforming:
C H 4 + H 2 O C O + 3 H 2
2.
—Water–gas shift reaction (optional):
C O + H 2 O C O 2 + H 2
Using the molecular weight of hydrogen M H 2 = 2.016 g mol , we convert 0.287 kg of hydrogen to moles:
Moles   of   H 2 = 287 g / day 2.016 g / mol = 142.3 mols / day
The second step was to calculate the required methane and water. Since 1 mole of methane produces 3 moles of hydrogen in the stem methane reforming (SMR) process, the amount of methane required is
Moles   of   C H 4 = Moles of H 2 3 = 142.3 3 = 47.3 moles day
The water requirement is the same as the methane requirement (based on a 1:1 stoichiometric ratio).
Figure 19 represents a simulation of hydrogen production via steam methane reforming (SMR). It can be observed that methane (CH4), initially at approximately 50 moles, is rapidly consumed, reaching nearly zero within the first 100 s. The water (H2O), similarly to methane, begins at around 50 moles and is consumed at a similar rate, reaching near-zero. The amount of carbon monoxide (CO) increases rapidly in the beginning but stabilizes at a constant value of approximately 37 moles after a short time. The carbon dioxide (CO2) is produced in small amounts and stabilizes at a low concentration after an initial peak. Hydrogen is the main product of the reaction, increasing sharply in the first moments and stabilizing at around 142.36 moles, showing a successful hydrogen production via SMR, equivalent to 0.287 kg/day, which closely matches the results in Figure 15.
The literature [42] indicates that hydrogen production via steam methane reforming (SMR) of natural gas (CH4) remains the most cost-effective method for producing hydrogen gas today. Our aim in Table 9 was to make a comparison, and indeed, SMR continues to be the least expensive, even in terms of water consumption. However, it is evident that SMR has a significant environmental impact in terms of carbon emissions, an issue that photovoltaic hydrogen production mitigates entirely. In the context of Ecuador, carbon certificates can be traded, with the current price at USD 50 per ton of CO2, providing an estimated USD 950 to avoid 19 tons of carbon emissions per year.
However, if we calculate the return on investment through carbon certificates at Ecuador’s prices, we obtain an approximate payback period of 1.17 years under this mechanism as shown in the following Equation (37):
Carbon certificate price ( CCP ) = 50 USD Total Annual Cos t ( TAC ) = 27947.9 USD Mitigated Carbon Emissions ( MCE ) = 19 Tons project lifetime ( PL ) = 25 year Return on Investment = TAC CCP × MCE × PL = 27947.19 50 × 19 × 25 = 1.17 years

4.8. Types of Models in Technology Readiness Levels

Finally, a comparative table of types of models in technology readiness levels applied to reliability in green hydrogen is established. These levels help to identify the development status of different technologies and processes during the simulation. Consequently, they allow the evaluation and planning of the development of green hydrogen technologies for future applications. Table 10 summarizes the relevant points for the selection and type of simulation required under different configurations and analysis of the results of the system modeling.

5. Conclusions

This experimental study demonstrated the impact of different electrolytes on hydrogen production efficiency, focusing particularly on sulfuric acid (H2SO4) at 37% concentration. Electrochemical testing, conducted in the Laboratory of the Faculty of Chemical Sciences, provided a comparative analysis using electrodes of 50 cm2 and 100 cm2, showing that sulfuric acid significantly enhances current density, thus optimizing hydrogen generation. The results indicate that higher electrode surface areas yield increased hydrogen output.
The production of green hydrogen based on a micro-grid with PV system support and ESS batteries allows for improving sustainability with minimum consumption from the electric grid. This article presents a technical–economic study based on a simulation model approach.
During the electrolyzer’s operation, real-time simulation is necessary to de-risk overall technology development as we move closer to system deployment. In this paper, the fidelity of a hydrogen production model is analyzed under different parameterizations in the input variables.
Energy management for green hydrogen production in a micro-grid was presented as a case study. In this case, the electrolyzer’s use has been optimized for 16 operating hours per day. Consequently, the micro-grid’s 15 kW PV system, together with the ESS batteries, has covered the electrolyzer’s annual demand (13,766.4 kWh/year). Despite having high PV generation, energy is required from the electrical grid for two months with low energy demand.
The current simulation fidelity proposal for hydrogen yields a value of 64 kWh/kg of hydrogen. Comparing this with the values reported by IRENA in 2023, which range from 46 to 66 kWh/kg, it is evident that our results fall within this established range.
In this case study conducted in the city of Cuenca, Ecuador, the subsidized electricity cost is approximately 9.20 cUSD/kWh. However, if the actual cost of electricity, which is 16.2 cUSD/kWh, were considered, the cost of producing one kilogram of hydrogen would increase significantly, from 5.76 USD/kg to 10.36 USD/kg.
Finally, using the methane reforming method for hydrogen production, 924 kWh is required to obtain 0.287 kg of hydrogen per day. In contrast, using the PV, ESS, and grid strategy, only 64 kWh is needed, which in Ecuador would represent a cost of USD 10.36/kg in our proposal, compared to USD 134/kg for the traditional method.

Author Contributions

A.C.: Visualization, Supervision, Software, Resources, Writing—Original Draft, Writing—Review and Editing, Methodology. L.I.M.-A.: Resources, Writing—Original Draft, Methodology, Investigation, Formal Analysis, Data Curation, Writing—Review and Editing, Validation. D.B.: Visualization, Supervision, Software, Resources, Writing—Original Draft, Writing—Review and Editing, Project Administration, Methodology. D.O.-C.: Resources, Writing—Original Draft, Methodology, Investigation, Formal Analysis, Data Curation, Writing—Review and Editing, Validation. M.T.-V.: Supervision, Software, Resources, Writing—Original Draft, Project Administration, Methodology, Investigation, Funding Acquisition, Visualization. W.K.M.: Resources, Writing—Original Draft, Methodology, Investigation, Formal Analysis, Data Curation, Writing—Review and Editing, Validation. F.J.: Project Administration, Methodology, Investigation, Funding Acquisition, Formal Analysis, Data Curation, Conceptualization, Visualization. All authors have read and agreed to the published version of the manuscript.

Funding

This research received no external funding.

Institutional Review Board Statement

Not applicable.

Informed Consent Statement

Not applicable.

Data Availability Statement

The original contributions presented in the study are included in the article, further inquiries can be directed to the corresponding author.

Acknowledgments

The authors wish to thank the Spanish Ministry of Science and Innovation and European Union NextGenerationEU/PRTR, under the research Project “Desarrollo de herramientas computacionales para microrredes multi-energía con vectores de electricidad, hidrógeno y gas” (TED2021-129631B-C31). The authors thank the Faculty of Engineering, Universidad de Cuenca, Ecuador, for access to the Micro-Grid Laboratory’s facilities, allowing the use of its equipment, and authorizing its staff to provide the technical support necessary to carry out the experiments described in this article. This manuscript is an outcome of the research stay enjoyed by Adrian Criollo in Spain, who gratefully acknowledges Universidad de Cuenca for funding this scholarship and extends his gratitude to the Department of Electrical Engineering at Universidad of Jaén, Spain, for hosting his research stay, which was influential in developing this work.The icons used in this document were developed by Freepik, monkik, Smashicons, and Pixel perfect, from www.flaticon.com (accessed on 30 May 2024).

Conflicts of Interest

The authors declare no conflicts of interest.

References

  1. Sharma, G.D.; Verma, M.; Taheri, B.; Chopra, R.; Parihar, J.S. Socio-economic aspects of hydrogen energy: An integrative review. Technol. Forecast. Soc. Chang. 2023, 192, 122574. [Google Scholar] [CrossRef]
  2. Muhammed, N.S.; Gbadamosi, A.O.; Epelle, E.I.; Abdulrasheed, A.A.; Haq, B.; Patil, S.; Al-Shehri, D.; Kamal, M.S. Hydrogen production, transportation, utilization, and storage: Recent advances towards sustainable energy. J. Energy Storage 2023, 73, 109207. [Google Scholar] [CrossRef]
  3. Damiri, A.P.; Stamatakis, E.; Bellas, S.; Zoulias, M.; Mitkidis, G.; Anastasiadis, A.G.; Karellas, S.; Tzamalis, G.; Stubos, A.; Tsoutsos, T. A Review of Alternative Processes for Green Hydrogen Production Focused on Generating Hydrogen from Biomass. Hydrogen 2024, 5, 163–184. [Google Scholar] [CrossRef]
  4. Squadrito, G.; Maggio, G.; Nicita, A. The green hydrogen revolution. Renew. Energy 2023, 216, 119041. [Google Scholar] [CrossRef]
  5. Ma, N.; Zhao, W.; Wang, W.; Li, X.; Zhou, H. Large scale of green hydrogen storage: Opportunities and challenges. Int. J. Hydrogen Energy 2024, 50, 379–396. [Google Scholar] [CrossRef]
  6. Bayssi, O.; Nabil, N.; Azaroual, M.; Bousselamti, L.; Boutammachte, N.; Rachidi, S.; Barberis, S. Green hydrogen landscape in North African countries: Strengths, challenges, and future prospects. Int. J. Hydrogen Energy 2024, 84, 822–839. [Google Scholar] [CrossRef]
  7. Moritz, M.; Schönfisch, M.; Schulte, S. Estimating global production and supply costs for green hydrogen and hydrogen-based green energy commodities. Int. J. Hydrogen Energy 2023, 48, 9139–9154. [Google Scholar] [CrossRef]
  8. Makepeace, R.W.; Tabandeh, A.; Hossain, M.; Asaduz-Zaman, M. Techno-economic analysis of green hydrogen export. Int. J. Hydrogen Energy 2024, 56, 1183–1192. [Google Scholar] [CrossRef]
  9. Hassan, Q.; Algburi, S.; Sameen, A.Z.; Salman, H.M.; Jaszczur, M. Green hydrogen: A pathway to a sustainable energy future. Int. J. Hydrogen Energy 2024, 50, 310–333. [Google Scholar] [CrossRef]
  10. Mirza, U.K.; Ahmad, N.; Harijan, K.; Majeed, T. A vision for hydrogen economy in Pakistan. Renew. Sustain. Energy Rev. 2009, 13, 1111–1115. [Google Scholar] [CrossRef]
  11. El-Shimy, M.; Afandi, A. Overview of Power-to-Hydrogen-to-Power (P2H2P) systems based on variable renewable sources. In Proceedings of the 5th International Conference on Electrical, Electronics, and Information Engineering, Malang, Indonesia, 6–8 October 2017; Volume 6. [Google Scholar]
  12. Ngouleu, C.A.W.; Koholé, Y.W.; Fohagui, F.C.V.; Tchuen, G. Techno-economic analysis and optimal sizing of a battery-based and hydrogen-based standalone photovoltaic/wind hybrid system for rural electrification in Cameroon based on meta-heuristic techniques. Energy Convers. Manag. 2023, 280, 116794. [Google Scholar] [CrossRef]
  13. Naderipour, A.; Abdul-Malek, Z.; Nowdeh, S.A.; Kamyab, H.; Ramtin, A.R.; Shahrokhi, S.; Klemeš, J.J. Comparative evaluation of hybrid photovoltaic, wind, tidal and fuel cell clean system design for different regions with remote application considering cost. J. Clean. Prod. 2021, 283, 124207. [Google Scholar] [CrossRef]
  14. Kushwaha, P.K.; Bhattacharjee, C. Integrated techno-economic-enviro-socio design of the hybrid renewable energy system with suitable dispatch strategy for domestic and telecommunication load across India. J. Energy Storage 2022, 55, 105340. [Google Scholar] [CrossRef]
  15. Fabianek, P.; Madlener, R. Techno-economic analysis and optimal sizing of hybrid PV-wind systems for hydrogen production by PEM electrolysis in California and Northern Germany. Int. J. Hydrogen Energy 2024, 67, 1157–1172. [Google Scholar] [CrossRef]
  16. Posso, F.; Galeano, M.; Baranda, C.; Franco, D.; Rincón, A.; Zambrano, J.; Cavaliero, C.; Lópes, D. Towards the Hydrogen Economy in Paraguay: Green hydrogen production potential and end-uses. Int. J. Hydrogen Energy 2022, 47, 30027–30049. [Google Scholar] [CrossRef]
  17. Ikuerowo, T.; Bade, S.O.; Akinmoladun, A.; Oni, B.A. The integration of wind and solar power to water electrolyzer for green hydrogen production. Int. J. Hydrogen Energy 2024, 76, 75–96. [Google Scholar] [CrossRef]
  18. Abdelkareem, M.A.; Abdelghafar, A.A.; Mahmoud, M.; Sayed, E.T.; Mahmoud, M.S.; Alami, A.H.; Al Agha, M.M.; Olabi, A.G. Optimized solar photovoltaic-powered green hydrogen: Current status, recent advancements, and barriers. Sol. Energy 2023, 265, 112072. [Google Scholar] [CrossRef]
  19. Gibson, T.L.; Kelly, N.A. Optimization of solar powered hydrogen production using photovoltaic electrolysis devices. Int. J. Hydrogen Energy 2008, 33, 5931–5940. [Google Scholar] [CrossRef]
  20. Tuinema, B.W.; Adabi, E.; Ayivor, P.K.; García Suárez, V.; Liu, L.; Perilla, A.; Ahmad, Z.; Rueda Torres, J.L.; van der Meijden, M.A.; Palensky, P. Modelling of large-sized electrolysers for real-time simulation and study of the possibility of frequency support by electrolysers. IET Gener. Transm. Distrib. 2020, 14, 1985–1992. [Google Scholar] [CrossRef]
  21. Dozein, M.G.; Jalali, A.; Mancarella, P. Fast frequency response from utility-scale hydrogen electrolyzers. IEEE Trans. Sustain. Energy 2021, 12, 1707–1717. [Google Scholar] [CrossRef]
  22. Dozein, M.G.; De Corato, A.M.; Mancarella, P. Virtual inertia response and frequency control ancillary services from hydrogen electrolyzers. IEEE Trans. Power Syst. 2022, 38, 2447–2459. [Google Scholar] [CrossRef]
  23. Dozein, M.G.; De Corato, A.M.; Mancarella, P. Fast frequency response provision from large-scale hydrogen electrolyzers considering stack voltage-current nonlinearity. In Proceedings of the 2021 IEEE Madrid PowerTech, Madrid, Spain, 28 June–2 July 2021; IEEE: Piscataway, NJ, USA, 2021; pp. 1–6. [Google Scholar]
  24. Samani, A.E.; D’Amicis, A.; De Kooning, J.D.; Bozalakov, D.; Silva, P.; Vandevelde, L. Grid balancing with a large-scale electrolyser providing primary reserve. IET Renew. Power Gener. 2020, 14, 3070–3078. [Google Scholar] [CrossRef]
  25. Conn, A.R.; Gould, N.I.; Toint, P.L. Trust Region Methods; SIAM: Philadelphia, PA, USA, 2000. [Google Scholar]
  26. Misener, R.; Biegler, L. Formulating data-driven surrogate models for process optimization. Comput. Chem. Eng. 2023, 179, 108411. [Google Scholar] [CrossRef]
  27. Espinoza, J.; Gonzalez, L.; Sempertegui, R. Micro grid laboratory as a tool for research on non-conventional energy sources in Ecuador. In Proceedings of the 2017 IEEE International Autumn Meeting on Power, Electronics and Computing (ROPEC), Ixtapa, Mexico, 8–10 November 2017; IEEE: Piscataway, NJ, USA, 2017; pp. 1–7. [Google Scholar]
  28. Benavides Padilla, D.J.; Jurado, F.; González, L.G. Data analysis and tools applied to modeling and simulation of a PV system in Ecuador. Enfoque UTE 2018, 9, 1–12. [Google Scholar] [CrossRef][Green Version]
  29. Markvart, T.; Castañer, L. Chapter IA-1—Principles of Solar Cell Operation. In Practical Handbook of Photovoltaics, 2nd ed.; McEvoy, A., Markvart, T., Castañer, L., Eds.; Academic Press: Boston, MA, USA, 2012; pp. 7–31. [Google Scholar] [CrossRef]
  30. Schalenbach, M.; Zeradjanin, A.R.; Kasian, O.; Cherevko, S.; Mayrhofer, K.J. A Perspective on Low-Temperature Water Electrolysis – Challenges in Alkaline and Acidic Technology. Int. J. Electrochem. Sci. 2018, 13, 1173–1226. [Google Scholar] [CrossRef]
  31. Tremblay, O.; Dessaint, L.A. A generic fuel cell model for the simulation of fuel cell vehicles. In Proceedings of the 2009 IEEE Vehicle Power and Propulsion Conference, Dearborn, MI, USA, 7–10 September 2009; IEEE: Piscataway, NJ, USA, 2009; pp. 1722–1729. [Google Scholar]
  32. Liu, H.; Zhou, T. CFD based PEM fuelcell models and applications. In Proceedings of the Technical Proceedings of the 2003 Nanotechnology Conference and Trade Show, San Francisco, CA, USA, 23–27 February 2003; Volume 3, pp. 463–466. [Google Scholar]
  33. Yu, Q.; Srivastava, A.K.; Choe, S.Y.; Gao, W. Improved modeling and control of a PEM fuel cell power system for vehicles. In Proceedings of the Proceedings of the IEEE SoutheastCon 2006, Memphis, TN, USA, 31 March–2 April 2006; IEEE: Piscataway, NJ, USA, 2006; pp. 331–336. [Google Scholar]
  34. O’hayre, R.; Cha, S.W.; Colella, W.; Prinz, F.B. Fuel Cell Fundamentals; John Wiley & Sons: Hoboken, NJ, USA, 2016. [Google Scholar]
  35. Kim, M.J.; Peng, H.; Lin, C.C.; Stamos, E.; Tran, D. Testing, modeling, and control of a fuel cell hybrid vehicle. In Proceedings of the 2005 American Control Conference, Portland, OR, USA, 8–10 June 2005; IEEE: Piscataway, NJ, USA, 2005; pp. 3859–3864. [Google Scholar]
  36. Acharya, P.; Enjeti, P.; Pitel, I.J. An advanced fuel cell simulator. In Proceedings of the Nineteenth Annual IEEE Applied Power Electronics Conference and Exposition, 2004. APEC’04, Anaheim, CA, USA, 22–26 February 2004; IEEE: Piscataway, NJ, USA, 2004; Volume 3, pp. 1554–1558. [Google Scholar]
  37. Veintimilla, N.A.; Salazar, L.A.G. Obtaining Combustible Hydrogen by Electrolysis of Water, Using Photovoltaic Panels. Bachelor’s Thesis, Cuenca, Spain, 2008. Available online: https://dspace.ucuenca.edu.ec/handle/123456789/8378 (accessed on 10 November 2024). (In Spanish).
  38. Benavides, D.; Arévalo, P.; Ortega, A.C.; Sánchez-Sutil, F.; Villa-Ávila, E. Energy Management Model for a Remote Microgrid Based on Demand-Side Energy Control. Energies 2024, 17, 170. [Google Scholar] [CrossRef]
  39. Benavides, D.; Arévalo, P.; Criollo, A.; Tostado-Véliz, M.; Jurado, F. Multi-mode monitoring and energy management for photovoltaic-storage systems. Renew. Energy 2024, 230, 120820. [Google Scholar] [CrossRef]
  40. Resolución ARCERNNR-021-2021: Costos SPEE 2022; Agencia de Regulación y Control de Energía: Quito, Ecuador, 2022.
  41. Ho, C.K.; Ambrosini, A. Thermal energy storage technologies. In The 2020 US Department of Energy (DOE) Energy Storage Handbook (ESHB); DOE: Washington, DC, USA, 2020; pp. 162–171. [Google Scholar]
  42. Nyangon, J.; Darekar, A. Advancements in hydrogen energy systems: A review of levelized costs, financial incentives and technological innovations. Innov. Green Dev. 2024, 3, 100149. [Google Scholar] [CrossRef]
Figure 1. Scheme for hydrogen production based on photovoltaics with energy storage support.
Figure 1. Scheme for hydrogen production based on photovoltaics with energy storage support.
Applsci 14 10720 g001
Figure 2. PV system model: (a) PV power, (b) I-V characteristics.
Figure 2. PV system model: (a) PV power, (b) I-V characteristics.
Applsci 14 10720 g002
Figure 3. Simplified model representation of fuel cell.
Figure 3. Simplified model representation of fuel cell.
Applsci 14 10720 g003
Figure 4. Detailed fuel cell stack model.
Figure 4. Detailed fuel cell stack model.
Applsci 14 10720 g004
Figure 5. ESS state of charge control algorithm.
Figure 5. ESS state of charge control algorithm.
Applsci 14 10720 g005
Figure 6. Hydrogen production with H2SO4 electrolyte volume 2lt, and stainless steel electrodes: (a) electrode area 50 cm2, (b) electrode area 100 cm2.
Figure 6. Hydrogen production with H2SO4 electrolyte volume 2lt, and stainless steel electrodes: (a) electrode area 50 cm2, (b) electrode area 100 cm2.
Applsci 14 10720 g006
Figure 7. Optimal conditions for obtaining hydrogen with the electrolyte at 25 °C.
Figure 7. Optimal conditions for obtaining hydrogen with the electrolyte at 25 °C.
Applsci 14 10720 g007
Figure 8. Case study at the Micro-Grid Laboratory, Universidad de Cuenca, Ecuador.
Figure 8. Case study at the Micro-Grid Laboratory, Universidad de Cuenca, Ecuador.
Applsci 14 10720 g008
Figure 9. Simulation results: (a) PV system, (b) electrolyzer demand, (c) energy storage, and (d) utility grid with step of hours.
Figure 9. Simulation results: (a) PV system, (b) electrolyzer demand, (c) energy storage, and (d) utility grid with step of hours.
Applsci 14 10720 g009
Figure 10. Simulation results: (a) PV system, (b) electrolyzer demand, (c) energy storage, and (d) utility grid with step of minutes.
Figure 10. Simulation results: (a) PV system, (b) electrolyzer demand, (c) energy storage, and (d) utility grid with step of minutes.
Applsci 14 10720 g010
Figure 11. Monthly PV energy production and electrolyzer demand with step of minutes.
Figure 11. Monthly PV energy production and electrolyzer demand with step of minutes.
Applsci 14 10720 g011
Figure 12. PV energy produced and demand of the electrolyzer monthly.
Figure 12. PV energy produced and demand of the electrolyzer monthly.
Applsci 14 10720 g012
Figure 13. Analysis of seasonal variations in PV system: (a) medium variability, (b) high variability, (c) low variability.
Figure 13. Analysis of seasonal variations in PV system: (a) medium variability, (b) high variability, (c) low variability.
Applsci 14 10720 g013
Figure 14. Validation of simulation models through experimental data.
Figure 14. Validation of simulation models through experimental data.
Applsci 14 10720 g014
Figure 15. (a) Hydrogen production over time: daily to yearly. (b) Energy consumption per kilogram of hydrogen (kWh/kg).
Figure 15. (a) Hydrogen production over time: daily to yearly. (b) Energy consumption per kilogram of hydrogen (kWh/kg).
Applsci 14 10720 g015
Figure 16. Net cost in the annual energy balance.
Figure 16. Net cost in the annual energy balance.
Applsci 14 10720 g016
Figure 17. Sensitivity of LCOH versus PV generation cost variation.
Figure 17. Sensitivity of LCOH versus PV generation cost variation.
Applsci 14 10720 g017
Figure 18. Analysis of LCOH versus variations in electrolyzer costs.
Figure 18. Analysis of LCOH versus variations in electrolyzer costs.
Applsci 14 10720 g018
Figure 19. Energy consumption per kilogram of natural hydrogen gas as inlet.
Figure 19. Energy consumption per kilogram of natural hydrogen gas as inlet.
Applsci 14 10720 g019
Table 1. Experimental results with H2SO4, electrode area 50 cm2, electrolyte volume 2 lt, and stainless steel electrodes.
Table 1. Experimental results with H2SO4, electrode area 50 cm2, electrolyte volume 2 lt, and stainless steel electrodes.
Distance cm
393020101393020101
Vol (cc)Vol (cc)Vol (cc)Vol (cc)Vol (cc)
°C%F CurrentmA H2O2H2O2H2O2H2O2H2O2
2537.41.1934536347060785718290208105278138366180517255
2532.161.1933337846461990417586220108276138372182550274
2531.461.173033324265778221618018994252125346171496247
2529.111.1634139348664295417889227113288143385189581291
2528.141.1534540349564497818391232113294145388191591294
2526.921.14365422513718100319495246122304151432214606303
2525.351.1436441551268298919195242117302150410202602299
2524.211.1334940548964196818392236116289141385190584290
2523.521.1132237746164494417083219107273136386191572286
2522.201.1433136545062192317588210104267131373183561279
2520.541.112943334055448211577819095240119327163498245
2518.351.132593043775067881366817387223111304151479237
2515.641.112332783444727221246215879203102284141436217
2513.981.11222261316416633118581517418893251124384189
2512.241.21205247295392578108531447117586235116351174
2510.491.1917921427435752495481236116280215107319158
259.181.191671902383214548943108541417019395275137
257.871.19143173208274387753899491236116582234116
256.291.19119143179232333633083411065314069203100
255.071.191071291552022625727753792461226015979
253.931.16871021251682124523583074361015012964
253.321.167085102133174371949256030803910552
252.451.1658678510814331153819502565318744
251.871.164456678711023113216402052266733
Table 2. Integrated micro-grid equipment.
Table 2. Integrated micro-grid equipment.
DescriptionParameter ValueUnit
PV System (60 modules 15 × 4 array)15kW
Lithium battery bank (11 Cells)44 kWh
EL500 electrolyzer2.39kW
Bi-directional inverter500 Vdc/230 VacV
Power grid150kVA
Storage tanks ( 4 × 50 L)200bars
Table 3. Hydrogen production data and equipment parameters.
Table 3. Hydrogen production data and equipment parameters.
DescriptionParameter ValueUnit
Type of Electrolyzer1PEM
H2 production rate8.33L/min
Working pressure30bar
Water consumption0.4L/h
Water specification10µS/cm
Power supply optionsAC 220 V–50 Hz DC 40 V–80 VV
Operative power consumption2390W
Universal gas constant R0.082L·atm/mol·K
Voltage supply48V
Current density0.2A/cm2
Temperature298K
Number of cells72
Faraday’s constant96,485C/mol
Electrochemical equivalent2cm
Area76.1362cm2
Current I15.2272A
Voltage cell2.4V
Ohmic resistance of electrolyte R u 8.05 × 10 5 Ω·m2
Ohmic resistance of electrolyte R d 2.5 × 10 7 Ω·m2
Over temperature shut down65°C
Vohmic0.1486V
System efficiency60 to 80%
Table 4. Costs and results from production.
Table 4. Costs and results from production.
DescriptionParameter ValueUnit
Consumption of energy to produce hydrogen64kWh/kg
Production of hydrogen per day0.287kg/day
Production of hydrogen per year103.32kg/year
Cost of using water0.06USD/day
Cost of using water36USD/year
Water consumption0.4L/h
Water specification10uS/cm
Table 5. Hourly rate schemes and voltage levels.
Table 5. Hourly rate schemes and voltage levels.
CategoryVoltage LevelConsumer GroupDemand Registration
ResidentialNo demand
No demand
CommercialWith demand
ResidentialLow Voltage LV <600 V With hourly demand
No demand
IndustrialWith demand
With hourly demand
Table 6. Electricity prices hour for Ecuador.
Table 6. Electricity prices hour for Ecuador.
Consumption Range (kWh)Energy Cost (USD/kWh)Distribution (USD/Costumer)
1 to 500.091
51 to 1000.0931
101 to 1500.095
151 to 2000.097
201 to 2500.099
251 to 3000.101
301 to 3500.1031.414
351 to 5000.105
501 to 7000.1285
701 to 10000.1450
1001 to 15000.1709
1501 to 25000.2752
2501 to 35000.4360
Greater than 35010.6812
Table 7. Fuel cell Ecobox-MR30S1.
Table 7. Fuel cell Ecobox-MR30S1.
DescriptionParameter ValueUnit
Power Rating0 to 3000W
Current Rating0 to 56A
Voltage Adjustable43.2 to 57.6VDC
Voltage Ripple±1V
Ambient Temperature−10 to 45Centigrates
Relative Humidity0 to 95%Non-condensing
Consumption≤0.78 Nm 3 kWh
Efficiency of System≥42%N/A
Table 8. Cash flow: CAPEX and OPEX.
Table 8. Cash flow: CAPEX and OPEX.
System TypeModelCells/ModulesCapacityUnit PriceCapital Cost
PVA-250P GSE Atersa6015 kW 800 USD / kW 12,000 USD
ElectrolyzerEL500 Acta S.p.A12.3 kW 588 USD / kW 1352.4 USD
BatteryLithium battery bank11 Cells44 kWh 290 USD / kWh 12,840 USD
Total Capital Cost 26,192.4 USD
Operating costFor one year
Labor0.3% of total capital cost1 78.57 USD / year
Distilled waterEcuador distilled10.4 L/H0.66 USD/L 1520 USD / year
Maintenance2% of total capital cost1 523.84 USD / year
Total operating cost 1 2122.41 USD / year
Table 9. Comparative hydrogen production with methane reforming SMR vs. PV generation.
Table 9. Comparative hydrogen production with methane reforming SMR vs. PV generation.
DescriptionSMR ValueProposalLiterature
Moles (mols/day)47.3 (CH4)143.2 (H2)
Water47.3 mols/day355.5 mols/day
(CO2) emissions in tons in 25 years190 [42]
Heat water to 1000 °C1.034 kWh0
Required energy18.194 kWh per day38.9 KWh per day
Table 10. Discussion of the types of models in TRLs.
Table 10. Discussion of the types of models in TRLs.
Types of Models in TRLsCharacteristics
Techno-EconomicExecution times: 86,400 s/day, 1440 m/day, 24 h/day (monthly analysis).
OptimizationStep configuration: 86,400 s, 1440 m, 24 h.
Advantages: Perform feasibility analysis prior to equipment acquisition.
Energy feasibility studies based on renewable resources. Low
computational performance in simulations. Basic software. Requirement
of databases with variable sampling. Ideal for generating budgets.
Disadvantages: Results generated are approximate. At the design
level, it can generate unforeseen events. Limited simulation events.
Detailed Technical DesignExecution times: ns, μs, ms
Step configuration: 50 μs
Advantages: Real operating environments. Optimization in control
drivers. Power quality analysis. Technology improvement and
validation.
Disadvantages: High processing capacities. Requires real-time
simulators. Increased simulation time.
Operational OptimizationExecution times: 86,400 s/day, 1440 m/day, 24 h/day (monthly analysis).
Step configuration: 86,400 s, 1440 m, 24 h.
Advantages: Conduct feasibility analysis to expand facilities.
Allows for resource optimization studies. Establish economic
operations and energy management. Generate long-term studies.
Low computational performance in simulations. Programming control
algorithms.
Disadvantages: Results generated are approximate. Limitations for
installed systems. Large-scale data recording requirement.
Disclaimer/Publisher’s Note: The statements, opinions and data contained in all publications are solely those of the individual author(s) and contributor(s) and not of MDPI and/or the editor(s). MDPI and/or the editor(s) disclaim responsibility for any injury to people or property resulting from any ideas, methods, instructions or products referred to in the content.

Share and Cite

MDPI and ACS Style

Criollo, A.; Minchala-Avila, L.I.; Benavides, D.; Ochoa-Correa, D.; Tostado-Véliz, M.; Meteab, W.K.; Jurado, F. Green Hydrogen Production—Fidelity in Simulation Models for Technical–Economic Analysis. Appl. Sci. 2024, 14, 10720. https://doi.org/10.3390/app142210720

AMA Style

Criollo A, Minchala-Avila LI, Benavides D, Ochoa-Correa D, Tostado-Véliz M, Meteab WK, Jurado F. Green Hydrogen Production—Fidelity in Simulation Models for Technical–Economic Analysis. Applied Sciences. 2024; 14(22):10720. https://doi.org/10.3390/app142210720

Chicago/Turabian Style

Criollo, Adrián, Luis I. Minchala-Avila, Dario Benavides, Danny Ochoa-Correa, Marcos Tostado-Véliz, Wisam Kareem Meteab, and Francisco Jurado. 2024. "Green Hydrogen Production—Fidelity in Simulation Models for Technical–Economic Analysis" Applied Sciences 14, no. 22: 10720. https://doi.org/10.3390/app142210720

APA Style

Criollo, A., Minchala-Avila, L. I., Benavides, D., Ochoa-Correa, D., Tostado-Véliz, M., Meteab, W. K., & Jurado, F. (2024). Green Hydrogen Production—Fidelity in Simulation Models for Technical–Economic Analysis. Applied Sciences, 14(22), 10720. https://doi.org/10.3390/app142210720

Note that from the first issue of 2016, this journal uses article numbers instead of page numbers. See further details here.

Article Metrics

Back to TopTop