Acute Effect of Oral N-Acetylcysteine Supplementation on Fatigue Effect and Isometric Force Production in Physically Active People
Abstract
1. Introduction
2. Materials and Methods
2.1. Participants
2.2. Procedure
2.3. Strength Test
2.4. Maximal Voluntary Contraction Test
2.5. Fatigue Protocol—Isometric Test
2.6. Supplementation
2.7. Side Effects Evaluation
2.8. Statistical Analysis
3. Results
3.1. Maximal Isometric Contraction
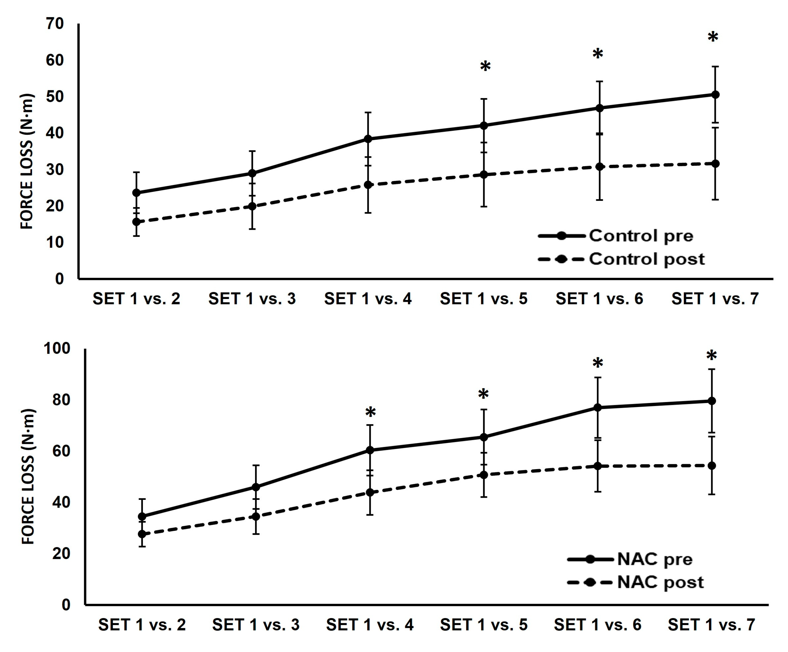
3.2. Effects of Fatigue
3.3. Side Effects Evaluation
4. Discussion
Practical Applications
5. Conclusions
Author Contributions
Funding
Institutional Review Board Statement
Informed Consent Statement
Data Availability Statement
Acknowledgments
Conflicts of Interest
References
- Taylor, J.L.; Gandevia, S.C. Transcranial magnetic stimulation and human muscle fatigue. Muscle Nerve 2001, 24, 18–29. [Google Scholar] [CrossRef] [PubMed]
- Enoka, R.M.; Stuart, D.G. Neurobiology of muscle fatigue. J. Appl. Physiol. 1992, 72, 1631–1648. [Google Scholar] [CrossRef] [PubMed]
- Vieira, J.G.; Sardeli, A.V.; Dias, M.R.; Filho, J.E.; Campos, Y.; Sant’Ana, L.; Leitao, L.; Reis, V.; Wilk, M.; Novaes, J.; et al. Effects of Resistance Training to Muscle Failure on Acute Fatigue: A Systematic Review and Meta-Analysis. Sports Med. 2022, 52, 1103–1125. [Google Scholar] [CrossRef]
- Rhodes, K.; Braakhuis, A. Performance and Side Effects of Supplementation with N-Acetylcysteine: A Systematic Review and Meta-Analysis. Sports Med. 2017, 47, 1619–1636. [Google Scholar] [CrossRef]
- Corn, S.D.; Barstow, T.J. Effects of oral N-acetylcysteine on fatigue, critical power, and W’ in exercising humans. Respir. Physiol. Neurobiol. 2011, 178, 261–268. [Google Scholar] [CrossRef]
- Garcia-Vicencio, S.; Coudeyre, E.; Kluka, V.; Cardenoux, C.; Jegu, A.G.; Fourot, A.V.; Ratel, S.; Martin, V. The bigger, the stronger? Insights from muscle architecture and nervous characteristics in obese adolescent girls. Int. J. Obes. 2016, 40, 245–251. [Google Scholar] [CrossRef]
- Ce, E.; Rampichini, S.; Agnello, L.; Limonta, E.; Veicsteinas, A.; Esposito, F. Effects of temperature and fatigue on the electromechanical delay components. Muscle Nerve 2013, 47, 566–576. [Google Scholar] [CrossRef]
- Kubo, K.; Kanehisa, H.; Fukunaga, T. Effects of different duration isometric contractions on tendon elasticity in human quadriceps muscles. J. Physiol. 2001, 536, 649–655. [Google Scholar] [CrossRef]
- Kubo, K.; Kanehisa, H.; Kawakami, Y.; Fukunaga, T. Influences of repetitive muscle contractions with different modes on tendon elasticity in vivo. J. Appl. Physiol. 2001, 91, 277–282. [Google Scholar] [CrossRef]
- Zhang, L.Q.; Rymer, W.Z. Reflex and intrinsic changes induced by fatigue of human elbow extensor muscles. J. Neurophysiol. 2001, 86, 1086–1094. [Google Scholar] [CrossRef]
- Kubo, K.; Kanehisa, H.; Fukunaga, T. Influences of repetitive drop jump and isometric leg press exercises on tendon properties in knee extensors. J. Strength. Cond. Res. 2005, 19, 864–870. [Google Scholar] [CrossRef] [PubMed][Green Version]
- Merry, T.L.; Ristow, M. Mitohormesis in exercise training. Free Radic. Biol. Med. 2016, 98, 123–130. [Google Scholar] [CrossRef] [PubMed]
- Powers, S.K.; Jackson, M.J. Exercise-induced oxidative stress: Cellular mechanisms and impact on muscle force production. Physiol. Rev. 2008, 88, 1243–1276. [Google Scholar] [CrossRef] [PubMed]
- He, F.; Li, J.; Liu, Z.; Chuang, C.C.; Yang, W.; Zuo, L. Redox Mechanism of Reactive Oxygen Species in Exercise. Front. Physiol. 2016, 7, 486. [Google Scholar] [CrossRef]
- Fernandez-Lazaro, D.; Dominguez-Ortega, C.; Busto, N.; Santamaria-Pelaez, M.; Roche, E.; Gutierez-Abejon, E.; Mielgo-Ayuso, J. Influence of N-Acetylcysteine Supplementation on Physical Performance and Laboratory Biomarkers in Adult Males: A Systematic Review of Controlled Trials. Nutrients 2023, 15, 2463. [Google Scholar] [CrossRef]
- Ferreira, L.F.; Reid, M.B. Muscle-derived ROS and thiol regulation in muscle fatigue. J. Appl. Physiol. 2008, 104, 853–860. [Google Scholar] [CrossRef]
- Bailey, S.J.; Winyard, P.G.; Blackwell, J.R.; Vanhatalo, A.; Lansley, K.E.; Dimenna, F.J.; Wilkerson, D.P.; Campbell, I.T.; Jones, A.M. Influence of N-acetylcysteine administration on pulmonary O(2) uptake kinetics and exercise tolerance in humans. Respir. Physiol. Neurobiol. 2011, 175, 121–129. [Google Scholar] [CrossRef]
- Paschalis, V.; Theodorou, A.A.; Margaritelis, N.V.; Kyparos, A.; Nikolaidis, M.G. N-acetylcysteine supplementation increases exercise performance and reduces oxidative stress only in individuals with low levels of glutathione. Free Radic. Biol. Med. 2018, 115, 288–297. [Google Scholar] [CrossRef]
- Zembron-Lacny, A.; Slowinska-Lisowska, M.; Szygula, Z.; Witkowski, Z.; Szyszka, K. Modulatory effect of N-acetylcysteine on pro-antioxidant status and haematological response in healthy men. J. Physiol. Biochem. 2010, 66, 15–21. [Google Scholar] [CrossRef]
- Rhodes, K.M.; Baker, D.F.; Smith, B.T.; Braakhuis, A.J. Acute Effect of Oral N-Acetylcysteine on Muscle Soreness and Exercise Performance in Semi-Elite Rugby Players. J. Diet. Suppl. 2019, 16, 443–453. [Google Scholar] [CrossRef]
- Piercy, K.L.; Troiano, R.P.; Ballard, R.M.; Carlson, S.A.; Fulton, J.E.; Galuska, D.A.; George, S.M.; Olson, R.D. The Physical Activity Guidelines for Americans. JAMA 2018, 320, 2020–2028. [Google Scholar] [CrossRef] [PubMed]
- Libardi, C.A.; Souza, T.M.F.; Conceição, M.S.; Chacon-Mikahil, M.P.T.; Ugrinowitsch, C.; Bonganha, V.; Fazolin, M.F.; de Moraes, A.C.; Cavaglieri, C.R. The number of sessions required to stabilize peak torque and rate of torque development in isometric contractions in young, middle-age and older individuals. Isokinet. Exerc. Sci. 2016, 24, 165–170. [Google Scholar] [CrossRef]
- Braakhuis, A.J.; Hopkins, W.G. Impact of Dietary Antioxidants on Sport Performance: A Review. Sports Med. 2015, 45, 939–955. [Google Scholar] [CrossRef] [PubMed]
- Lee, E.; Park, H.Y.; Kim, S.W.; Sun, Y.; Choi, J.H.; Seo, J.; Jung, Y.P.; Kim, A.J.; Kim, J.; Lim, K. Enhancing Supplemental Effects of Acute Natural Antioxidant Derived from Yeast Fermentation and Vitamin C on Sports Performance in Triathlon Athletes: A Randomized, Double-Blinded, Placebo-Controlled, Crossover Trial. Nutrients 2023, 15, 3324. [Google Scholar] [CrossRef]
- Slattery, K.M.; Dascombe, B.; Wallace, L.K.; Bentley, D.J.; Coutts, A.J. Effect of N-acetylcysteine on cycling performance after intensified training. Med. Sci. Sports Exerc. 2014, 46, 1114–1123. [Google Scholar] [CrossRef]
- Medved, I.; Brown, M.J.; Bjorksten, A.R.; Leppik, J.A.; Sostaric, S.; McKenna, M.J. N-acetylcysteine infusion alters blood redox status but not time to fatigue during intense exercise in humans. J. Appl. Physiol. 2003, 94, 1572–1582. [Google Scholar] [CrossRef]
- Cobley, J.N.; McGlory, C.; Morton, J.P.; Close, G.L. N-Acetylcysteine’s attenuation of fatigue after repeated bouts of intermittent exercise: Practical implications for tournament situations. Int. J. Sport Nutr. Exerc. Metab. 2011, 21, 451–461. [Google Scholar] [CrossRef]
- Maszczyk, A.; Wilk, M.; Krzysztofik, M.; Gepfert, M.; Zajac, A.; Petr, M.; Stastny, P. The effects of resistance training experience on movement characteristics in the bench press exercise. Biol. Sport 2020, 37, 79–83. [Google Scholar] [CrossRef]
- Tenório, M.C.d.S.; Graciliano, N.G.; Moura, F.A.; Oliveira, A.C.M.d.; Goulart, M.O.F. N-acetylcysteine (NAC): Impacts on human health. Antioxidants 2021, 10, 967. [Google Scholar] [CrossRef]
- Ferreira, L.F.; Campbell, K.S.; Reid, M.B. N-acetylcysteine in handgrip exercise: Plasma thiols and adverse reactions. Int. J. Sport Nutr. Exerc. Metab. 2011, 21, 146–154. [Google Scholar] [CrossRef]



| PRE (N·m) | POST (N·m) | POST-24 h (N·m) | F | p-Value | րp2 | ||
|---|---|---|---|---|---|---|---|
| Pre-supplementation intervention | |||||||
| NAC | 61.03 ± 16.87 | 28.96 ± 14.24 * | 57.54 ± 24.82 | Group Effect Time Effect Time × Group | 0.110 28.391 0.955 | 0.745 <0.001 0.479 | 0.006 0.916 0.269 |
| CONTROL | 56.88 ± 24.82 | 37.35 ± 14.95 * | 62.68 ± 17.37 | ||||
| Post-supplementation intervention | |||||||
| NAC | 67.85 ± 23.26 | 42.17 ± 19.32 * | 73.69 ± 24.39 | ||||
| CONTROL | 65.86 ± 12.83 | 46.59 ± 13.85 * | 69.01 ± 15.22 | ||||
| Variable | NAC Group | Control Group | p | ||
|---|---|---|---|---|---|
| Yes (%) | No (%) | Yes (%) | No (%) | ||
| Upset stomach | 3.3 | 96.7 | 0.0 | 100 | 0.625 |
| Nausea | 0.0 | 100 | 0.9 | 99.1 | 1.000 |
| Gas | 15.4 | 84.6 | 1.8 | 98.2 | 0.125 |
| Cough | 1.1 | 98.9 | 0.0 | 100 | 1.000 |
| Indigestion | 4.4 | 95.6 | 0.0 | 100 | 1.000 |
| Vomiting | 0.0 | 100 | 0.0 | 100 | 1.000 |
| Metallic taste | 0.0 | 100 | 0.0 | 100 | 1.000 |
| Rash | 0.0 | 100 | 0.0 | 100 | 1.000 |
| Itching | 2.2 | 97.2 | 0.0 | 100 | 1.000 |
| Local erythema (redness) | 3.3 | 96.7 | 0.0 | 100 | 1.000 |
| Redness of eyes, face, or hands | 0.0 | 100 | 0.0 | 100 | 1.000 |
| Conjunctivitis | 3.3 | 96.7 | 0.0 | 100 | 1.000 |
| Lightheadedness | 0.0 | 100 | 0.9 | 99.1 | 1.000 |
| Sleepiness | 0.0 | 100 | 6.4 | 93.6 | 1.000 |
| Others | 0.0 | 100 | 0.0 | 100 | 1.000 |
Disclaimer/Publisher’s Note: The statements, opinions and data contained in all publications are solely those of the individual author(s) and contributor(s) and not of MDPI and/or the editor(s). MDPI and/or the editor(s) disclaim responsibility for any injury to people or property resulting from any ideas, methods, instructions or products referred to in the content. |
© 2024 by the authors. Licensee MDPI, Basel, Switzerland. This article is an open access article distributed under the terms and conditions of the Creative Commons Attribution (CC BY) license (https://creativecommons.org/licenses/by/4.0/).
Share and Cite
Bravo-Sánchez, A.; Portillo, J.; Abián, P.; Ramírez-delaCruz, M.; Lamas, C.; Abián-Vicén, J. Acute Effect of Oral N-Acetylcysteine Supplementation on Fatigue Effect and Isometric Force Production in Physically Active People. Appl. Sci. 2024, 14, 10399. https://doi.org/10.3390/app142210399
Bravo-Sánchez A, Portillo J, Abián P, Ramírez-delaCruz M, Lamas C, Abián-Vicén J. Acute Effect of Oral N-Acetylcysteine Supplementation on Fatigue Effect and Isometric Force Production in Physically Active People. Applied Sciences. 2024; 14(22):10399. https://doi.org/10.3390/app142210399
Chicago/Turabian StyleBravo-Sánchez, Alfredo, Javier Portillo, Pablo Abián, María Ramírez-delaCruz, Cristina Lamas, and Javier Abián-Vicén. 2024. "Acute Effect of Oral N-Acetylcysteine Supplementation on Fatigue Effect and Isometric Force Production in Physically Active People" Applied Sciences 14, no. 22: 10399. https://doi.org/10.3390/app142210399
APA StyleBravo-Sánchez, A., Portillo, J., Abián, P., Ramírez-delaCruz, M., Lamas, C., & Abián-Vicén, J. (2024). Acute Effect of Oral N-Acetylcysteine Supplementation on Fatigue Effect and Isometric Force Production in Physically Active People. Applied Sciences, 14(22), 10399. https://doi.org/10.3390/app142210399

