Acute Effects of Photobiomodulation Therapy Combined with Static Magnetic Field in C2C12 Muscle Cells Exposed and Not Exposed to H2O2
Abstract
1. Introduction
2. Materials and Methods
2.1. Experimental Design
2.2. Cell Culture
2.3. Experimental Irradiation Protocol
2.4. Cell Viability Assay
2.5. Extra-Cellular dsDNA Quantification
2.6. Semi-Quantification of Nitric Oxide
2.7. Determination of Reactive Oxygen Species
2.8. Protein Quantification
2.9. Enzymatic Activity of Cytochrome c Oxidase Mitochondrial
2.10. Flow Cytometry
2.10.1. Mitochondrial Membrane Potential (ΔΨm)
2.10.2. Apoptosis and Necrosis
2.11. Statistical Analysis
3. Results
3.1. Effect of PBMT-sMF in Non-Oxidizing Environment
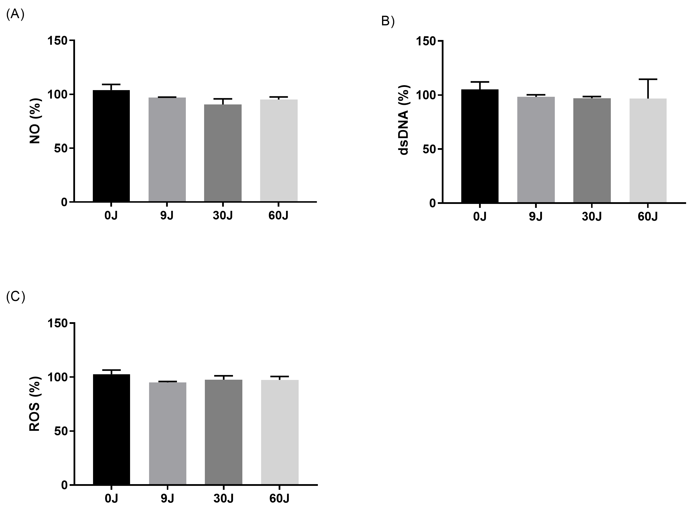
3.1.1. Biochemical Effects of PBMT-sMF
3.1.2. Molecular Effects of PBMT-sMF
3.2. Effect of PBMT-sMF in H2O2-Exposed Environment
3.2.1. Biochemical Effects of PBMT-sMF in H2O2-Exposed Environment
3.2.2. Molecular Effects of PBMT-sMF in H2O2-Exposed Environment
4. Discussion
5. Conclusions
Supplementary Materials
Author Contributions
Funding
Institutional Review Board Statement
Informed Consent Statement
Data Availability Statement
Acknowledgments
Conflicts of Interest
References
- De Marchi, T.; Frâncio, F.; Ferlito, J.V.; Weigert, R.; de Oliveira, C.; Merlo, A.P.; Pandini, D.L.; Pasqual-Júnior, B.A.; Giovanella, D.; Tomazoni, S.S.; et al. Effects of Photobiomodulation Therapy Combined with Static Magnetic Field in Severe COVID-19 Patients Requiring Intubation: A Pragmatic Randomized Placebo-Controlled Trial. J. Inflamm. Res. 2021, 14, 3569–3585. [Google Scholar] [CrossRef] [PubMed]
- Enwemeka, C.S. Intricacies of Dose in Laser Phototherapy for Tissue Repair and Pain Relief. Photomed. Laser Surg. 2009, 27, 387–393. [Google Scholar] [CrossRef] [PubMed]
- Mester, A.; Mester, A. The History of Photobiomodulation: Endre Mester (1903–1984). Photomed. Laser Surg. 2017, 35, 393–394. [Google Scholar] [CrossRef] [PubMed]
- Andreo, L.; Ribeiro, B.G.; Alves, A.N.; Martinelli, A.S.A.; Soldera, C.B.; Horliana, A.C.R.T.; Bussadori, S.K.; Fernandes, K.P.S.; Mesquita-Ferrari, R.A. Effects of Photobiomodulation with Low-Level Laser Therapy on Muscle Repair Following a Peripheral Nerve Injury in Wistar Rats. Photochem. Photobiol. 2020, 96, 1124–1132. [Google Scholar] [CrossRef]
- De Oliveira, M.F.; Johnson, D.S.; Demchak, T.; Tomazoni, S.S.; Leal-Junior, E.C. Low-Intensity LASER and LED (Photobiomodulation Therapy) for Pain Control of the Most Common Musculoskeletal Conditions. Eur. J. Phys. Rehabil. Med. 2022, 58, 282–289. [Google Scholar] [CrossRef]
- Ferlito, J.V.; Silva, C.F.; Almeida, J.C.; da Silva Lopes, I.A.; da Silva Almeida, R.; Leal-Junior, E.C.P.; De Marchi, T. Effects of Photobiomodulation Therapy (PBMT) on the Management of Pain Intensity and Disability in Plantar Fasciitis: Systematic Review and Meta-Analysis. Lasers Med. Sci. 2023, 38, 163. [Google Scholar] [CrossRef] [PubMed]
- Ferlito, J.V.; Ferlito, M.V.; Leal-Junior, E.C.P.; Tomazoni, S.S.; De Marchi, T. Comparison between Cryotherapy and Photobiomodulation in Muscle Recovery: A Systematic Review and Meta-Analysis. Lasers Med. Sci. 2022, 37, 1375–1388. [Google Scholar] [CrossRef]
- Sunemi, S.M.; Teixeira, I.L.A.; Mansano, B.S.D.M.; de Oliveira, H.A.; Antonio, E.L.; de Souza Oliveira, C.; Leal-Junior, E.C.P.; Tucci, P.J.F.; Serra, A.J. Post-Resistance Exercise Photobiomodulation Therapy Has a More Effective Antioxidant Effect than Pre-Application on Muscle Oxidative Stress. Photochem. Photobiol. Sci. 2021, 20, 585–595. [Google Scholar] [CrossRef]
- De Marchi, T.; Ferlito, J.V.; Ferlito, M.V.; Salvador, M.; Leal-Junior, E.C.P. Can Photobiomodulation Therapy (PBMT) Minimize Exercise-Induced Oxidative Stress? A Systematic Review and Meta-Analysis. Antioxidants 2022, 11, 1671. [Google Scholar] [CrossRef]
- Scribante, A.; Pellegrini, M.; Pulicari, F.; Porrini, M.; Bosotti, M.; Spadari, F. Nerve Injury and Photobiomodulation, a Promising Opportunity: A Scoping Review on Laser Assisted Protocols for Lesions in the Oral Region. Appl. Sci. 2023, 13, 9258. [Google Scholar] [CrossRef]
- Hamblin, M.R. Mechanisms and Mitochondrial Redox Signaling in Photobiomodulation. Photochem. Photobiol. 2018, 94, 199–212. [Google Scholar] [CrossRef] [PubMed]
- Hayworth, C.R.; Rojas, J.C.; Padilla, E.; Holmes, G.M.; Sheridan, E.C.; Gonzalez-Lima, F. In Vivo Low-Level Light Therapy Increases Cytochrome Oxidase in Skeletal Muscle. Photochem. Photobiol. 2010, 86, 673–680. [Google Scholar] [CrossRef]
- Ferraresi, C.; Parizotto, N.A.; Pires de Sousa, M.V.; Kaippert, B.; Huang, Y.-Y.; Koiso, T.; Bagnato, V.S.; Hamblin, M.R. Light-Emitting Diode Therapy in Exercise-Trained Mice Increases Muscle Performance, Cytochrome c Oxidase Activity, ATP and Cell Proliferation. J. Biophotonics 2015, 8, 740–754. [Google Scholar] [CrossRef] [PubMed]
- Lovisetto, R.; Malavazzi, T.C.d.S.; Andreo, L.; Rodrigues, M.F.S.D.; Bussadori, S.K.; Fernandes, K.P.S.; Mesquita-Ferrari, R.A. Photobiomodulation Using Different Infrared Light Sources Promotes Muscle Precursor Cells Migration and Proliferation. Photonics 2022, 9, 469. [Google Scholar] [CrossRef]
- Alexsandra da Silva Neto Trajano, L.; da Silva, C.L.; de Carvalho, S.N.; Cortez, E.; Mencalha, A.L.; de Souza da Fonseca, A.; Stumbo, A.C. Cell Viability, Reactive Oxygen Species, Apoptosis, and Necrosis in Myoblast Cultures Exposed to Low-Level Infrared Laser. Lasers Med. Sci. 2016, 31, 841–848. [Google Scholar] [CrossRef]
- Ferreira, M.P.P.; Ferrari, R.A.M.; Gravalos, E.D.; Martins, M.D.; Bussadori, S.K.; Gonzalez, D.A.B.; Fernandes, K.P.S. Effect of Low-Energy Gallium-Aluminum-Arsenide and Aluminium Gallium Indium Phosphide Laser Irradiation on the Viability of C2C12 Myoblasts in a Muscle Injury Model. Photomed. Laser Surg. 2009, 27, 901–906. [Google Scholar] [CrossRef] [PubMed]
- Vanin, A.A.; Verhagen, E.; Barboza, S.D.; Costa, L.O.P.; Leal-Junior, E.C.P. Photobiomodulation Therapy for the Improvement of Muscular Performance and Reduction of Muscular Fatigue Associated with Exercise in Healthy People: A Systematic Review and Meta-Analysis. Lasers Med. Sci. 2018, 33, 181–214. [Google Scholar] [CrossRef]
- De Marchi, T.; Leal Junior, E.C.P.; Bortoli, C.; Tomazoni, S.d.S.; Lopes-Martins, R.Á.B.; Salvador, M. Low-level laser therapy (LLLT) in human progressive-intensity running: Effects on exercise performance, skeletal muscle status and oxidative stress. Lasers Med. Sci. 2012, 27, 231–236. [Google Scholar] [CrossRef]
- Miranda, E.F.; Diniz, W.A.; Gomes, M.V.N.; de Oliveira, M.F.D.; de Carvalho, P.d.T.C.; Leal-Junior, E.C.P. Acute Effects of Photobiomodulation Therapy (PBMT) Combining Laser Diodes, Light-Emitting Diodes, and Magnetic Field in Exercise Capacity Assessed by 6MST in Patients with COPD: A Crossover, Randomized, and Triple-Blinded Clinical Trial. Lasers Med. Sci. 2019, 34, 711–719. [Google Scholar] [CrossRef]
- De Marchi, T.; Ferlito, J.V.; Turra, A.C.; Flamia, S.; de Bispo Magro, F.; Pavelecini Donida, M.L.; Dilkin, M.; da Silva, D.; Massia Ribas, V.; Leal Junior, E.C.P. Pilates Method and/or Photobiomodulation Therapy Combined to Static Magnetic Field in Women with Stress Urinary Incontinence: A Randomized, Double-Blind, Placebo-Controlled Clinical Trial. J. Clin. Med. 2023, 12, 1104. [Google Scholar] [CrossRef]
- Casalechi, H.L.; Dumont, A.J.L.; Ferreira, L.A.B.; de Paiva, P.R.V.; Machado, C.D.S.M.; de Carvalho, P.d.T.C.; Oliveira, C.S.; Leal-Junior, E.C.P. Acute Effects of Photobiomodulation Therapy and Magnetic Field on Functional Mobility in Stroke Survivors: A Randomized, Sham-Controlled, Triple-Blind, Crossover, Clinical Trial. Lasers Med. Sci. 2020, 35, 1253–1262. [Google Scholar] [CrossRef] [PubMed]
- de Paiva, P.R.V.; Casalechi, H.L.; Tomazoni, S.S.; Machado, C.D.S.M.; Ribeiro, N.F.; Pereira, A.L.; de Oliveira, M.F.D.; Alves, M.N.d.S.; Dos Santos, M.C.; Takara, I.E.T.; et al. Does the Combination of Photobiomodulation Therapy (PBMT) and Static Magnetic Fields (SMF) Potentiate the Effects of Aerobic Endurance Training and Decrease the Loss of Performance during Detraining? A Randomised, Triple-Blinded, Placebo-Controlled Trial. BMC Sports Sci. Med. Rehabil. 2020, 12, 23. [Google Scholar] [CrossRef]
- Friedmann, H.; Lipovsky, A.; Nitzan, Y.; Lubart, R. Combined Magnetic and Pulsed Laser Fields Produce Synergistic Acceleration of Cellular Electron Transfer. Laser Ther. 2009, 18, 137–141. [Google Scholar] [CrossRef]
- Fujita, H.; Mae, K.; Nagatani, H.; Horie, M.; Nagamori, E. Effect of Hydrogen Peroxide Concentration on the Maintenance and Differentiation of Cultured Skeletal Muscle Cells. J. Biosci. Bioeng. 2021, 131, 572–578. [Google Scholar] [CrossRef]
- Denizot, F.; Lang, R. Rapid Colorimetric Assay for Cell Growth and Survival. Modifications to the Tetrazolium Dye Procedure Giving Improved Sensitivity and Reliability. J. Immunol. Methods 1986, 89, 271–277. [Google Scholar] [CrossRef] [PubMed]
- Cadoná, F.C.; Manica-Cattani, M.F.; Machado, A.K.; Oliveira, R.M.; Ribas da Silveira Flôres, E.; Assmann, C.; Algarve, T.D.; da Cruz, I.B.M. Genomodifier Capacity Assay: A Non-Cell Test Using DsDNA Molecules to Evaluate the Genotoxic/Genoprotective Properties of Chemical Compounds. Anal. Methods 2014, 6, 8559–8568. [Google Scholar] [CrossRef]
- Green, L.C.; Wagner, D.A.; Glogowski, J.; Skipper, P.L.; Wishnok, J.S.; Tannenbaum, S.R. Analysis of Nitrate, Nitrite, and [15N]Nitrate in Biological Fluids. Anal. Biochem. 1982, 126, 131–138. [Google Scholar] [CrossRef]
- Costa, F.; Dornelles, E.; Mânica-Cattani, M.F.; Algarve, T.D.; Souza Filho, O.C.d.; Sagrillo, M.R.; Garcia, L.F.M.; da Cruz, I.B.M. Influence of Val16Ala SOD2 Polymorphism on the In-Vitro Effect of Clomiphene Citrate in Oxidative Metabolism. Reprod. Biomed. Online 2012, 24, 474–481. [Google Scholar] [CrossRef] [PubMed]
- Lowry, O.H.; Rosebrough, N.J.; Farr, A.L.; Randall, R.J. Protein Measurement with the Folin Phenol Reagent. J. Biol. Chem. 1951, 193, 265–275. [Google Scholar] [CrossRef]
- Spinazzi, M.; Casarin, A.; Pertegato, V.; Salviati, L.; Angelini, C. Assessment of Mitochondrial Respiratory Chain Enzymatic Activities on Tissues and Cultured Cells. Nat. Protoc. 2012, 7, 1235–1246. [Google Scholar] [CrossRef]
- Huang, Y.-Y.; Sharma, S.K.; Carroll, J.; Hamblin, M.R. Biphasic dose response in low level light therapy—An update. Dose-Response 2011, 9, 602–618. [Google Scholar] [CrossRef] [PubMed]
- Sharma, S.K.; Kharkwal, G.B.; Sajo, M.; Huang, Y.-Y.; De Taboada, L.; McCarthy, T.; Hamblin, M.R. Dose Response Effects of 810 Nm Laser Light on Mouse Primary Cortical Neurons. Lasers Surg. Med. 2011, 43, 851–859. [Google Scholar] [CrossRef] [PubMed]
- Flores Luna, G.L.; de Andrade, A.L.M.; Brassolatti, P.; Bossini, P.S.; Anibal, F.d.F.; Parizotto, N.A.; Leal, Â.M.d.O. Biphasic Dose/Response of Photobiomodulation Therapy on Culture of Human Fibroblasts. Photobiomodul. Photomed. Laser Surg. 2020, 38, 413–418. [Google Scholar] [CrossRef]
- Albuquerque-Pontes, G.M.; Casalechi, H.L.; Tomazoni, S.S.; Serra, A.J.; Ferreira, C.d.S.B.; Brito, R.B.d.O.; de Melo, B.L.; Vanin, A.A.; Monteiro, K.K.D.S.; Dellê, H.; et al. Photobiomodulation Therapy Protects Skeletal Muscle and Improves Muscular Function of Mdx Mice in a Dose-Dependent Manner through Modulation of Dystrophin. Lasers Med. Sci. 2018, 33, 755–764. [Google Scholar] [CrossRef]
- Monteiro, K.K.D.S.; Tomazoni, S.S.; Albuquerque Pontes, G.M.; Teixeira, A.M.; Agra, F.A.d.A.; Alvim, C.B.; Medeiros Brigato, S.L.; Marcos, R.L.; Dellê, H.; Serra, A.J.; et al. Effects of Short-, Medium-, and Long-Term Treatment Using Photobiomodulation Therapy Combined with Static Magnetic Field in Aging Rats. Biomedicines 2024, 12, 990. [Google Scholar] [CrossRef] [PubMed]
- Zorov, D.B.; Juhaszova, M.; Sollott, S.J. Mitochondrial Reactive Oxygen Species (ROS) and ROS-Induced ROS Release. Physiol. Rev. 2014, 94, 909–950. [Google Scholar] [CrossRef]
- Vahidi Ferdousi, L.; Rocheteau, P.; Chayot, R.; Montagne, B.; Chaker, Z.; Flamant, P.; Tajbakhsh, S.; Ricchetti, M. More Efficient Repair of DNA Double-Strand Breaks in Skeletal Muscle Stem Cells Compared to Their Committed Progeny. Stem Cell Res. 2014, 13, 492–507. [Google Scholar] [CrossRef]
- Dos Santos Ferreira, F.; Cadoná, F.C.; Aurélio, A.R.; de Oliveira Martins, T.N.; Pivetta, H.M.F. Photobiomodulation-Blue and Red LED: Protection or Cellular Toxicity? In Vitro Study with Human Fibroblasts. Lasers Med. Sci. 2021, 37, 523–530. [Google Scholar] [CrossRef]
- De Marchi, T.; Schmitt, V.M.; Danúbia da Silva Fabro, C.; da Silva, L.L.; Sene, J.; Tairova, O.; Salvador, M. Phototherapy for Improvement of Performance and Exercise Recovery: Comparison of 3 Commercially Available Devices. J. Athl. Train. 2017, 52, 429–438. [Google Scholar] [CrossRef]
- Coletti, D.; Teodori, L.; Albertini, M.C.; Rocchi, M.; Pristerà, A.; Fini, M.; Molinaro, M.; Adamo, S. Static Magnetic Fields Enhance Skeletal Muscle Differentiation in Vitro by Improving Myoblast Alignment. Cytometry A 2007, 71, 846–856. [Google Scholar] [CrossRef]
- Leal-Junior, E.C.P.; de Oliveira, M.F.D.; Joensen, J.; Stausholm, M.B.; Bjordal, J.M.; Tomazoni, S.S. What Is the Optimal Time-Response Window for the Use of Photobiomodulation Therapy Combined with Static Magnetic Field (PBMT-SMF) for the Improvement of Exercise Performance and Recovery, and for How Long the Effects Last? A Randomized, Triple-Blinded, Placebo-Controlled Trial. BMC Sports Sci. Med. Rehabil. 2020, 12, 64. [Google Scholar] [CrossRef]
- Kashiwagi, S.; Morita, A.; Yokomizo, S.; Ogawa, E.; Komai, E.; Huang, P.L.; Bragin, D.E.; Atochin, D.N. Photobiomodulation and Nitric Oxide Signaling. Nitric Oxide 2023, 130, 58–68. [Google Scholar] [CrossRef] [PubMed]
- Eghbalzadeh, K.; Brixius, K.; Bloch, W.; Brinkmann, C. Skeletal Muscle Nitric Oxide (NO) Synthases and NO-Signaling in “Diabesity”—What about the Relevance of Exercise Training Interventions? Nitric Oxide 2014, 37, 28–40. [Google Scholar] [CrossRef] [PubMed]
- Baldelli, S.; Ciccarone, F.; Limongi, D.; Checconi, P.; Palamara, A.T.; Ciriolo, M.R. Glutathione and Nitric Oxide: Key Team Players in Use and Disuse of Skeletal Muscle. Nutrients 2019, 11, 2318. [Google Scholar] [CrossRef]
- Tengan, C.H.; Rodrigues, G.S.; Godinho, R.O. Nitric Oxide in Skeletal Muscle: Role on Mitochondrial Biogenesis and Function. Int. J. Mol. Sci. 2012, 13, 17160–17184. [Google Scholar] [CrossRef]
- Gantner, B.N.; LaFond, K.M.; Bonini, M.G. Nitric Oxide in Cellular Adaptation and Disease. Redox Biol. 2020, 34, 101550. [Google Scholar] [CrossRef]
- Veloso, T.M.; de Souza da Fonseca, A.; Costa dos Santos, G., Jr. Effects of light-emitting diodes on cell biology. Front. Photon. 2022, 3, 1018773. [Google Scholar] [CrossRef]
- Lubart, R.; Eichler, M.; Lavi, R.; Friedman, H.; Shainberg, A. Low-Energy Laser Irradiation Promotes Cellular Redox Activity. Photomed. Laser Surg. 2005, 23, 3–9. [Google Scholar] [CrossRef]
- Albuquerque-Pontes, G.M.; Vieira, R.d.P.; Tomazoni, S.S.; Caires, C.O.; Nemeth, V.; Vanin, A.A.; Santos, L.A.; Pinto, H.D.; Marcos, R.L.; Bjordal, J.M.; et al. Effect of Pre-Irradiation with Different Doses, Wavelengths, and Application Intervals of Low-Level Laser Therapy on Cytochrome c Oxidase Activity in Intact Skeletal Muscle of Rats. Lasers Med. Sci. 2015, 30, 59–66. [Google Scholar] [CrossRef]
- Ferraresi, C.; Kaippert, B.; Avci, P.; Huang, Y.-Y.; de Sousa, M.V.P.; Bagnato, V.S.; Parizotto, N.A.; Hamblin, M.R. Low-Level Laser (Light) Therapy Increases Mitochondrial Membrane Potential and ATP Synthesis in C2C12 Myotubes with a Peak Response at 3–6 h. Photochem. Photobiol. 2015, 91, 411–416. [Google Scholar] [CrossRef]
- Houreld, N.N.; Masha, R.T.; Abrahamse, H. Low-Intensity Laser Irradiation at 660 Nm Stimulates Cytochrome c Oxidase in Stressed Fibroblast Cells. Lasers Surg. Med. 2012, 44, 429–434. [Google Scholar] [CrossRef] [PubMed]
- Yu, C.-Y.; Chiang, R.-L.; Chang, T.-H.; Liao, C.-L.; Lin, Y.-L. The Interferon Stimulator Mitochondrial Antiviral Signaling Protein Facilitates Cell Death by Disrupting the Mitochondrial Membrane Potential and by Activating Caspases. J. Virol. 2010, 84, 2421–2431. [Google Scholar] [CrossRef] [PubMed]
- Iqbal, S.; Hood, D.A. Oxidative Stress-Induced Mitochondrial Fragmentation and Movement in Skeletal Muscle Myoblasts. Am. J. Physiol. Cell Physiol. 2014, 306, C1176–C1183. [Google Scholar] [CrossRef] [PubMed]
- Fan, X.; Hussien, R.; Brooks, G.A. H2O2-Induced Mitochondrial Fragmentation in C2C12 Myocytes. Free Radic. Biol. Med. 2010, 49, 1646–1654. [Google Scholar] [CrossRef] [PubMed]
- Chen, A.C.-H.; Huang, Y.-Y.; Arany, P.R.; Hamblin, M.R. Role of reactive oxygen species in low level light therapy. In Mechanisms for Low-Light Therapy IV; Hamblin, M.R., Waynant, R.W., Anders, J., Eds.; SPIE: Bellingham, WA, USA, 2009. [Google Scholar]
- Huang, Y.-Y.; Tedford, C.E.; McCarthy, T.; Hamblin, M.R. Low Level Laser Therapy Reduces Oxidative Stress in Cortical Neurons in Vitro. In Mechanisms for Low-Light Therapy VII; Hamblin, M.R., Anders, J., Carroll, J.D., Eds.; SPIE: Bellingham, WA, USA, 2012; Volume 8211, pp. 9–16. [Google Scholar]
- Jackson, M.J.; Stretton, C.; McArdle, A. Hydrogen Peroxide as a Signal for Skeletal Muscle Adaptations to Exercise: What Do Concentrations Tell Us about Potential Mechanisms? Redox Biol. 2020, 35, 101484. [Google Scholar] [CrossRef]
- Siu, P.M.; Wang, Y.; Alway, S.E. Apoptotic Signaling Induced by H2O2-Mediated Oxidative Stress in Differentiated C2C12 Myotubes. Life Sci. 2009, 84, 468–481. [Google Scholar] [CrossRef]
- Maldaner, D.R.; Azzolin, V.F.; Barbisan, F.; Mastela, M.H.; Teixeira, C.F.; Dihel, A.; Duarte, T.; Pellenz, N.L.; Lemos, L.F.C.; Negretto, C.M.U.; et al. In Vitro Effect of Low-Level Laser Therapy on the Proliferative, Apoptosis Modulation, and Oxi-Inflammatory Markers of Premature-Senescent Hydrogen Peroxide-Induced Dermal Fibroblasts. Lasers Med. Sci. 2019, 34, 1333–1343. [Google Scholar] [CrossRef]
- Shefer, G.; Oron, U.; Irintchev, A.; Wernig, A.; Halevy, O. Skeletal Muscle Cell Activation by Low-Energy Laser Irradiation: A Role for the MAPK/ERK Pathway. J. Cell Physiol. 2001, 187, 73–80. [Google Scholar] [CrossRef]









| Class | 1M |
|---|---|
| Number of lasers | 1 Super-pulsed infrared |
| Wavelength (nm) | 905 (±1) |
| Frequency (Hz) | 1–250 |
| Peak power (W) | 25 ± 5 |
| Average mean optical output (mW) | 0.75 |
| Power density (mW/cm2) | 1.17 |
| Energy density (J/cm2) | 0.031 (26.7 s)/0.104 (88.8 s)/0.210 (178.6 s)/0.421 (357.1 s)/0.736 (625 s)/1.052 (892.9 s) |
| Dose (J) | 0.020 (26.7 s)/0.066 (88.8 s)/0.133 (178.6 s)/0.267 (357.1 s)/0.468 (625 s)/0.669 (892.9 s) |
| Spot size of laser (cm2) | 0.44 |
| Number of red LEDs | 3 Red |
| Wavelength of red LEDs (nm) | 640 (±10) |
| Frequency (Hz) | 2 |
| Average optical output (mW)—each | 50 ± 8 |
| Power density (mW/cm2)—each | 78.61 |
| Energy density (J/cm2)—each | 2.099 (26.7 s)/6.981 (88.8 s)/14.038 (178.6 s)/28.071 (357.1 s)/49.133 (625 s)/70.181 (892.9 s) |
| Dose (J)—each | 1.335 (26.7 s)/4.44 (88.8 s)/8.93 (178.6 s)/17.855 (357.1 s)/31.25 (625 s)/44.645 (892.9 s) |
| Spot size of red LED (cm2)—each | 0.9 |
| Number of infrared LEDs | 3 Infrared |
| Wavelength of infrared LEDs (nm) | 875 (±10) |
| Frequency (Hz) | 16 |
| Average optical output (mW)—each | 62.5±8 |
| Power density (mW/cm2)—each | 98.274 |
| Energy density (J/cm2)—each | 2.623 (26.7 s)/8.728 (88.8 s)/17.55 (178.6 s)/35.090 (357.1 s)/61.417 (625 s)/87.741 (892.9 s) |
| Dose (J)—each | 1.668 (26.7 s)/5.55 (88.8 s)/11.162 (178.6 s)/22.318 (357.1 s)/39.062 (625 s)/55.806 (892.9 s) |
| Spot Size of LED (cm2)—each | 0.9 |
| Magnetic Field (mT) | 35 ± 10 |
| Irradiation time | |
| Irradiation time per site (s)—9 J | 26.7 |
| Irradiation time per site (s)—30 J | 88.8 |
| Irradiation time per site (s)—60 J | 178.6 |
| Irradiation time per site (s)—121 J | 357.1 |
| Irradiation time per site (s)—211 J | 625 |
| Irradiation time per site (s)—302 J | 892.9 |
| Aperture of the device (cm2) | 0.636 |
| Group | Description | Exposure Condition |
|---|---|---|
| 1 | Control | No irradiation and no exposure to H2O2 |
| 2 | PBMT-sMF | PBMT-sMF irradiation and no exposure to H2O2 |
| 3 | H2O2 | No irradiation and exposure to H2O2 for 1 h |
| 4 | Co-treatment | PBMT-sMF irradiation simultaneous to H2O2 exposure |
| MTT | dsDNA | NO | ROS | COX | ΔΨm | Early Apoptosis | Late Apoptosis | Necrosis | ||
|---|---|---|---|---|---|---|---|---|---|---|
| H2O2 | ↓ | ns | ↑ | ↑ | ↑ | ns | ↑ | ↑ | ns | |
| PBMT-sMF | 9 J | ns | ns | ns | ns | ↑ | ns | ↑ | ns | ns |
| 30 J | ns | ns | ns | ns | ↑ | - | - | - | - | |
| 60 J | ns | ns | ns | ns | ↑ | ns | ↑ | ns | ns | |
| Co-treatment | 9 J+ H2O2 | ns ↑ | ns ns | ns ↓ | ns ↓ | ↑ ↓ | ns ↑ | ↑ ↑ | ns ↓ | ns ns |
| 30 J+ H2O2 | ns ↑ | ns ns | ns ↓ | ns ↓ | ↑ ↓ | - | - | - | - | |
| 60 J+ H2O2 | ns ↑ | ns ns | ns ↓ | ns ↓ | ↑ ↓ | ns ↑ | ↑ ↑ | ns ↓ | ns ns | |
Disclaimer/Publisher’s Note: The statements, opinions and data contained in all publications are solely those of the individual author(s) and contributor(s) and not of MDPI and/or the editor(s). MDPI and/or the editor(s) disclaim responsibility for any injury to people or property resulting from any ideas, methods, instructions or products referred to in the content. |
© 2024 by the authors. Licensee MDPI, Basel, Switzerland. This article is an open access article distributed under the terms and conditions of the Creative Commons Attribution (CC BY) license (https://creativecommons.org/licenses/by/4.0/).
Share and Cite
Ferlito, M.V.; Ferlito, J.V.; Scariot, F.J.; Salvador, M.; Leal-Junior, E.C.P.; Marchi, T.D.; Branco, C.S. Acute Effects of Photobiomodulation Therapy Combined with Static Magnetic Field in C2C12 Muscle Cells Exposed and Not Exposed to H2O2. Appl. Sci. 2024, 14, 10221. https://doi.org/10.3390/app142210221
Ferlito MV, Ferlito JV, Scariot FJ, Salvador M, Leal-Junior ECP, Marchi TD, Branco CS. Acute Effects of Photobiomodulation Therapy Combined with Static Magnetic Field in C2C12 Muscle Cells Exposed and Not Exposed to H2O2. Applied Sciences. 2024; 14(22):10221. https://doi.org/10.3390/app142210221
Chicago/Turabian StyleFerlito, Marcos Vinicius, João Vitor Ferlito, Fernando Joel Scariot, Mirian Salvador, Ernesto Cesar Pinto Leal-Junior, Thiago De Marchi, and Catia Santos Branco. 2024. "Acute Effects of Photobiomodulation Therapy Combined with Static Magnetic Field in C2C12 Muscle Cells Exposed and Not Exposed to H2O2" Applied Sciences 14, no. 22: 10221. https://doi.org/10.3390/app142210221
APA StyleFerlito, M. V., Ferlito, J. V., Scariot, F. J., Salvador, M., Leal-Junior, E. C. P., Marchi, T. D., & Branco, C. S. (2024). Acute Effects of Photobiomodulation Therapy Combined with Static Magnetic Field in C2C12 Muscle Cells Exposed and Not Exposed to H2O2. Applied Sciences, 14(22), 10221. https://doi.org/10.3390/app142210221

