Açaí-Loaded Nanoemulsion: Synthesis, Characterization, and In Vitro Safety Profile
Abstract
1. Introduction
2. Materials and Methods
2.1. Experimental Design
2.2. Production and Characterization of Açaí Freeze-Dried Hydroalcoholic Extract
2.2.1. Freeze-Dried Hydroalcoholic Açaí Extract Production
2.2.2. Freeze-Dried Hydroalcoholic Açaí Extract Characterization
2.3. Production and Characterization of Nanoemulsion Containing Açaí Extract
2.3.1. Nanoemulsion Containing Açaí Extract Production
2.3.2. Average Droplet Size and Polydispersity Index
2.3.3. Zeta Potential
2.3.4. pH Measurement
2.3.5. Microscopic Analysis
2.3.6. Stability Evaluation
2.3.7. Evaluation of the Antioxidant Capacity
2.3.8. Quantification of Phenolic Compounds
2.3.9. Thermal Analysis
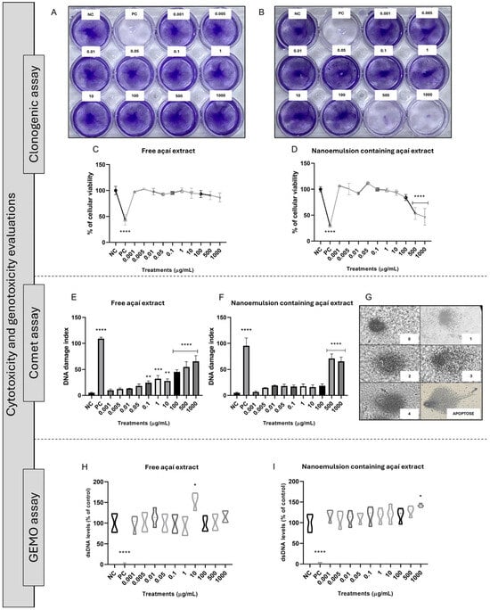
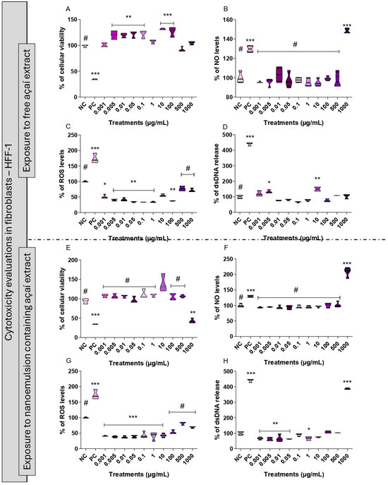
2.4. In Vitro Safety Profile
2.4.1. Cellular Culture and Treatments
2.4.2. Cellular Viability and Genotoxicity Analysis
2.4.3. Total Levels of Reactive Oxygen Species Measurement
2.4.4. Indirect Measurement of Nitric Oxide Production
2.4.5. Analysis of Extracellular dsDNA Release
2.5. Statistical Analysis
3. Results
3.1. Freeze-Dried Hydroalcoholic Açaí Extract Production and Characterization
3.2. Nanoemulsion Containing Açaí Extract Production and Characterization
3.2.1. Stability Evaluation
3.2.2. Evaluation of the Antioxidant Capacity
3.2.3. Quantification of Phenolic Compounds
3.2.4. Thermal Analysis
3.3. In Vitro Safety Profile
4. Discussion
5. Conclusions
Author Contributions
Funding
Institutional Review Board Statement
Informed Consent Statement
Data Availability Statement
Acknowledgments
Conflicts of Interest
Abbreviations
| AP | Aqueous phase |
| CC | Climatic chamber |
| MCTs | Medium chain triglycerides |
| NE | Nanoemulsion containing açaí extract |
| NE1 | Nanoemulsion 1 with 0.83 mg/mL of extract |
| NE2 | Nanoemulsion 2 with 2 mg/mL of extract |
| NE3 | Nanoemulsion 3 with 4 mg/mL of extract |
| NE4 | Nanoemulsion 4 with 6 mg/mL of extract |
| NE5 | Nanoemulsion 5 with 8 mg/mL of extract |
| NE6 | Nanoemulsion 6 with 20 mg/mL of extract |
| NO | Nitric oxide |
| O | Oily |
| OP | Oily phase |
| PDI | Polydispersity index |
| RE | Refrigeration |
| ROS | Reactive oxygen species |
| RT | Room temperature |
| ZP | Zeta potential |
| W | Water |
References
- Silva, D.F.; Vidal, F.C.; Santos, D.; Costa, M.C.; Morgado-Díaz, J.A.; do Desterro Soares Brandão Nascimento, M.; de Moura, R.S. Cytotoxic effects of Euterpe oleracea Mart. in malignant cell lines. BMC Complement. Altern. Med. 2014, 14, 175. [Google Scholar] [CrossRef]
- Kang, J.; Li, Z.; Wu, T.; Jensen, G.S.; Shauss, A.G.; Wu, X. Anti-oxidant capacities of flavonoid compounds isolated from acai pulp (Euterpe oleracea Mart.). Food Chem. 2010, 122, 610–617. [Google Scholar] [CrossRef]
- Dias, M.M.; Martino, H.S.; Noratto, G.; Roque-Andrade, A.; Stringheta, P.C.; Talcott, S.; Ramos, A.M.; Mertens-Talcott, S.U. Anti-inflammatory activity of polyphenolics from açai (Euterpe oleracea Martius) in intestinal myofibroblasts CCD-18Co cells. Food Funct. 2015, 6, 3249–3256. [Google Scholar] [CrossRef]
- Yamaguchi, K.K.; Pereira, L.F.; Lamarão, C.V.; Lima, E.S.; da Veiga-Junior, V.F. Amazon acai: Chemistry and biological activities: A review. Food Chem. 2015, 179, 137–151. [Google Scholar] [CrossRef]
- Spada, P.D.; Dani, C.; Bortolini, G.V.; Funchal, C.; Henriques, J.A.; Salvador, M. Frozen fruit pulp of Euterpe oleraceae Mart. (Acai) prevents hydrogen peroxide-induced damage in the cerebral cortex, cerebellum, and hippocampus of rats. J. Med. Food 2009, 12, 1084–1088. [Google Scholar] [CrossRef]
- Barbosa, P.O.; Pala, D.; Silva, C.T.; de Souza, M.O.; do Amaral, J.F.; Vieira, R.A.; Folly, G.A.; Volp, A.C.; de Freitas, R.N. Açai (Euterpe oleracea Mart.) pulp dietary intake improves cellular antioxidant enzymes and biomarkers of serum in healthy women. Nutrition 2016, 32, 674–680. [Google Scholar] [CrossRef]
- Machado, A.K.; Andreazza, A.C.; da Silva, T.M.; Boligon, A.A.; do Nascimento, V.; Scola, G.; Duong, A.; Cadoná, F.C.; Ribeiro, E.E.; da Cruz, I.B. Neuroprotective Effects of Açaí (Euterpe oleracea Mart.) against Rotenone In Vitro Exposure. Oxid. Med. Cell Longev. 2016, 2016, 8940850. [Google Scholar] [CrossRef]
- Machado, A.K.; Cadona, F.C.; Assmann, C.E.; Andreazza, A.C.; Duarte, M.M.M.F.; dos Santos Branco, C.; Zhou, X.; de Souza, D.V.; Ribeiro, E.E.; da Cruz, I.B.M. Açaí (Euterpe oleracea Mart.) has anti-inflammatory potential through NLRP3-inflammasome modulation. J. Funct. Foods 2019, 56, 364–371. [Google Scholar] [CrossRef]
- de Souza, D.V.; Pappis, L.; Bandeira, T.T.; Sangoi, G.G.; Fontana, T.; Rissi, V.B.; Sagrillo, M.R.; Duarte, M.M.; Duarte, T.; Bodenstein, D.F.; et al. Açaí (Euterpe oleracea Mart.) presents anti-neuroinflammatory capacity in LPS-activated microglia cells. Nutr. Neurosci. 2022, 25, 1188–1199. [Google Scholar] [CrossRef] [PubMed]
- Cadoná, F.C.; de Souza, D.V.; Fontana, T.; Bodenstein, D.F.; Ramos, A.P.; Sagrillo, M.R.; Salvador, M.; Mota, K.; Davidson, C.B.; Ribeiro, E.E.; et al. Açaí (Euterpe oleracea Mart.) as a Potential Anti-neuroinflammatory Agent: NLRP3 Priming and Activating Signal Pathway Modulation. Mol. Neurobiol. 2021, 58, 4460–4476. [Google Scholar] [CrossRef] [PubMed]
- Desai, K.G.H.; Park, H.J. Recent Developments in Microencapsulation of Food Ingredients. Dry. Technol. 2007, 23, 1361–1394. [Google Scholar] [CrossRef]
- Montagner, G.E.; Ribeiro, M.F.; Cadoná, F.C.; Franco, C.; Gomes, P. Liposomes loading grape seed extract: A nanotechnological solution to reduce wine-making waste and obtain health-promoting products. Future Foods 2022, 5, 100144. [Google Scholar] [CrossRef]
- Jaiswal, M.; Dudhe, R.; Sharma, P.K. Nanoemulsion: An advanced mode of drug delivery system. 3 Biotech 2015, 5, 123–127. [Google Scholar] [CrossRef]
- Kumar, N.; Verma, A.; Mandal, A. Formation, characteristics and oil industry applications of nanoemulsions: A review. J. Pet. Sci. Eng. 2021, 206, 109402. [Google Scholar] [CrossRef]
- Montes de Oca-Ávalos, J.M.; Candal, R.J.; Herrera, M.L. Colloidal properties of sodium caseinate-stabilized nanoemulsions prepared by a combination of a high-energy homogenization and evaporative ripening methods. Food Res. Int. 2017, 100, 143–150. [Google Scholar] [CrossRef]
- Ismail, A.; Nasr, M.; Sammour, O. Nanoemulsion as a feasible and biocompatible carrier for ocular delivery of travoprost: Improved pharmacokinetic/pharmacodynamic properties. Int. J. Pharm. 2020, 583, 119402. [Google Scholar] [CrossRef]
- Sessa, M.; Balestrieri, M.L.; Ferrari, G.; Servillo, L.; Castaldo, D.; D’Onofrio, N.; Donsì, F.; Tsao, R. Bioavailability of encapsulated resveratrol into nanoemulsion-based delivery systems. Food Chem. 2014, 147, 42–50. [Google Scholar] [CrossRef]
- Chen, B.H.; Stephen Inbaraj, B. Nanoemulsion and Nanoliposome Based Strategies for Improving Anthocyanin Stability and Bioavailability. Nutrients 2019, 11, 1052. [Google Scholar] [CrossRef] [PubMed]
- Rabelo, C.A.S.; Taarji, N.; Khalid, N.; Kobayashi, I.; Nakajima, M.; Neves, M.A. Formulation and characterization of water-in-oil nanoemulsions loaded with açaí berry anthocyanins: Insights of degradation kinetics and stability evaluation of anthocyanins and nanoemulsions. Food Res. Int. 2018, 106, 542–548. [Google Scholar] [CrossRef] [PubMed]
- Gupta, S.; Chavhan, S.; Sawant, K.K. Self-nanoemulsifying drug delivery system for adefovir dipivoxil: Design, characterization, in vitro and ex vivo evaluation. Colloids Surf. A Physicochem. Eng. Asp. 2011, 392, 145–155. [Google Scholar] [CrossRef]
- Seibert, J.B.; Bautista-Silva, J.P.; Amparo, T.R.; Petit, A.; Pervier, P.; Dos Santos Almeida, J.C.; Azevedo, M.C.; Silveira, B.M.; Brandão, G.C.; de Souza, G.H.B.; et al. Development of propolis nanoemulsion with antioxidant and antimicrobial activity for use as a potential natural preservative. Food Chem. 2019, 287, 61–67. [Google Scholar] [CrossRef]
- Copetti, P.M.; Gündel, S.D.S.; de Oliveira, P.S.B.; Favarin, F.R.; Ramos, A.P.; Pintos, F.G.; Pappis, L.; Gündel, A.; Machado, A.K.; Ourique, A.F.; et al. Development, characterisation, stability study and antileukemic evaluation of nanoemulsions containing. Nat. Prod. Res. 2022, 36, 1321–1326. [Google Scholar] [CrossRef] [PubMed]
- Bittencourt, L.S.; Machado, D.C.; Machado, M.M.; Dos Santos, G.F.; Algarve, T.D.; Marinowic, D.R.; Ribeiro, E.E.; Soares, F.A.; Barbisan, F.; Athayde, M.L.; et al. The protective effects of guaraná extract (Paullinia cupana) on fibroblast NIH-3T3 cells exposed to sodium nitroprusside. Food Chem. Toxicol. 2013, 53, 119–125. [Google Scholar] [CrossRef] [PubMed]
- Boligon, A.A.; Piana, M.; Kubiça, T.F.; Mario, D.N.; Dalmolin, T.V.; Bonez, P.C.; Weiblen, R.; Lovato, L.; Alvez, S.H.; Campos, M.M.A.; et al. HPLC analysis and antimicrobial, antimycobacterial and antiviral activities of Tabernaemontana catharinensis. J. Appl. Biomed. 2015, 13, 7–18. [Google Scholar] [CrossRef]
- Bazana, M.T.; da Silva, S.S.; Codevilla, C.F.; de Deus, C.; Lucas, B.N.; Ugalde, G.A.; Mazutti, M.A.; Flores, E.M.M.; Barin, J.S.; da Silva, C.B.; et al. Development of nanoemulsions containing Physalis peruviana calyx extract: A study on stability and antioxidant capacity. Food Res. Int. 2019, 125, 108645. [Google Scholar] [CrossRef]
- da Silva Gündel, S.; de Souza, M.E.; Quatrin, P.M.; Klein, B.; Wagner, R.; Gündel, A.; Vaucher, R.A.; Santos, R.C.V.; Ourique, A.F. Nanoemulsions containing Cymbopogon flexuosus essential oil: Development, characterization, stability study and evaluation of antimicrobial and antibiofilm activities. Microb. Pathog. 2018, 118, 268–276. [Google Scholar] [CrossRef] [PubMed]
- de Godoi, S.N.; Quatrin, P.M.; Sagrillo, M.R.; Nascimento, K.; Wagner, R.; Klein, B.; Santos, R.C.V.; Ourique, A.F. Evaluation of Stability and In Vitro Security of Nanoemulsions Containing. Biomed Res. Int. 2017, 2017, 2723418. [Google Scholar] [CrossRef]
- Re, R.; Pellegrini, N.; Proteggente, A.; Pannala, A.; Yang, M.; Rice-Evans, C. Antioxidant activity applying an improved ABTS radical cation decolorization assay. Free Radic. Biol. Med. 1999, 26, 1231–1237. [Google Scholar] [CrossRef]
- Brand-Williams, W.; Cuvelier, M.E.; Berset, C. Use of a free radical method to evaluate antioxidant activity. LWT-Food Sci. Technol. 1995, 28, 25–30. [Google Scholar] [CrossRef]
- Hara, A.; Radin, N.S. Lipid extraction of tissues with a low-toxicity solvent. Anal. Biochem. 1978, 90, 420–426. [Google Scholar] [CrossRef]
- Vassar, V.; Hagen, C.; Ludwig, J.; Thomas, R.; Zhou, J. One-step method of phosphatidylcholine extraction and separation. BioTechniques 2006, 42, 442–444. [Google Scholar] [CrossRef] [PubMed]
- Song, X.; Wang, L.; Liu, T.; Liu, Y.; Wu, X.; Liu, L. Mandarin (Citrus reticulata L.) essential oil incorporated into chitosan nanoparticles: Characterization, anti-biofilm properties and application in pork preservation. Int. J. Biol. Macromol. 2021, 185, 620–628. [Google Scholar] [CrossRef]
- Cubillos-Rojas, M.; Amair-Pinedo, F.; Peiró-Jordán, R.; Bartrons, R.; Ventura, F.; Rosa, J.L. The E3 ubiquitin protein ligase HERC2 modulates the activity of tumor protein p53 by regulating its oligomerization. J. Biol. Chem. 2014, 289, 14782–14795. [Google Scholar] [CrossRef]
- Nadin, S.B.; Vargas-Roig, L.M.; Ciocca, D.R. A silver staining method for single-cell gel assay. J. Histochem. Cytochem. 2001, 49, 1183–1186. [Google Scholar] [CrossRef]
- Cadoná, F.; Mania-Cattani, M.; Machado, A.; Oliveira, R.; Flôres, E.; Assmann, C.; Algarve, T.; da Cruz, I. Genomodifier capacity assay: A non-cell test using dsDNA molecules to evaluate the genotoxic/genoprotective properties of chemical compounds. Anal. Methods 2014, 21, 8559–8568. [Google Scholar] [CrossRef]
- Choi, W.S.; Shin, P.G.; Lee, J.H.; Kim, G.D. The regulatory effect of veratric acid on NO production in LPS-stimulated RAW264.7 macrophage cells. Cell Immunol. 2012, 280, 164–170. [Google Scholar] [CrossRef]
- Susan, J.A.; José, C.; Janet, R.E. Picogreen quantitation of DNA: Effective evaluation of samples pre-or post-PCR. Nucleic Acids Res. 1996, 13, 2623–2625. [Google Scholar]
- Neri-Numa, I.A.; Soriano Sancho, R.A.; Pereira, A.P.A.; Pastore, G.M. Small Brazilian wild fruits: Nutrients, bioactive compounds, health-promotion properties and commercial interest. Food Res. Int. 2018, 103, 345–360. [Google Scholar] [CrossRef] [PubMed]
- Schauss, A.G.; Wu, X.; Prior, R.L.; Ou, B.; Huang, D.; Owens, J.; Agarwal, A.; Jensen, G.S.; Hart, A.N.; Shanbrom, E. Antioxidant capacity and other bioactivities of the freeze-dried Amazonian palm berry, Euterpe oleraceae mart. (acai). J. Agric. Food Chem. 2006, 54, 8604–8610. [Google Scholar] [CrossRef] [PubMed]
- Matta, F.V.; Xiong, J.; Lila, M.A.; Ward, N.I.; Felipe-Sotelo, M.; Esposito, D. Chemical Composition and Bioactive Properties of Commercial and Non-Commercial Purple and White Açaí Berries. Foods 2020, 9, 1481. [Google Scholar] [CrossRef] [PubMed]
- Komaiko, J.; Sastrosubroto, A.; McClements, D.J. Formation of oil-in-water emulsions from natural emulsifiers using spontaneous emulsification: Sunflower phospholipids. J. Agric. Food Chem. 2015, 63, 10078–10088. [Google Scholar] [CrossRef]
- Monge-Fuentes, V.; Muehlmann, L.A.; Longo, J.P.; Silva, J.R.; Fascineli, M.L.; de Souza, P.; Faria, F.; Degterev, I.A.; Rodriguez, A.; Carneiro, F.P.; et al. Photodynamic therapy mediated by acai oil (Euterpe oleracea Martius) in nanoemulsion: A potential treatment for melanoma. J. Photochem. Photobiol. B 2017, 166, 301–310. [Google Scholar] [CrossRef]
- Bouchemal, K.; Briançon, S.; Perrier, E.; Fessi, H. Nano-emulsion formulation using spontaneous emulsification: Solvent, oil and surfactant optimisation. Int. J. Pharm. 2004, 280, 241–251. [Google Scholar] [CrossRef]
- Gurpreet, K.; Singh, S.K. Review of nanoemulsion formulation and characterization techniques. Indian J. Pharm. Sci. 2018, 80, 781–789. [Google Scholar] [CrossRef]
- Singh, M.; Bharadwaj, S.; Lee, K.E.; Kang, S.G. Therapeutic nanoemulsions in ophthalmic drug administration: Concept in formulations and characterization techniques for ocular drug delivery. J. Control Release 2020, 328, 895–916. [Google Scholar] [CrossRef]
- Teja, P.K.; Mithiya, J.; Kate, A.S.; Bairwa, K.; Chauthe, S.K. Herbal nanomedicines: Recent advancements, challenges, opportunities and regulatory overview. Phytomedicine 2022, 96, 153890. [Google Scholar] [CrossRef]
- Martinez, R.M.; Guimarães, D.A.B.; Berniz, C.R.; Abreu, J.P.; Rocha, A.P.M.D.; Moura, R.S.; Resende, A.C.; Teodoro, A.J. Açai (Euterpe oleracea Mart.) Seed Extract Induces Cell Cycle Arrest and Apoptosis in Human Lung Carcinoma Cells. Foods 2018, 7, 178. [Google Scholar] [CrossRef]
- Del Pozo-Insfran, D.; Brenes, C.H.; Talcott, S.T. Phytochemical composition and pigment stability of Açai (Euterpe oleracea Mart.). J. Agric. Food Chem. 2004, 52, 1539–1545. [Google Scholar] [CrossRef]
- Melo, P.S.; Arrivetti, L.O.R.; Alencar, S.M.; Skibsted, L.H. Antioxidative and prooxidative effects in food lipids and synergism with α-tocopherol of açaí seed extracts and grape rachis extracts. Food Chem. 2016, 213, 440–449. [Google Scholar] [CrossRef] [PubMed]
- Izadiyan, Z.; Shameli, K.; Teow, S.-Y.; Yusefi, M.; Kia, P.; Rasouli, E.; Tareq, M.A. Anticancer Activity of 5-Fluorouracil-Loaded Nanoemulsions Containing Fe3O4/Au Core-Shell Nanoparticles. J. Mol. Struct. 2021, 1245, 131075. [Google Scholar] [CrossRef]
- Bondarenko, O.; Mortimer, M.; Kahru, A.; Feliu, N.; Javed, I.; Kakinen, A.; Lin, S.; Xia, T.; Song, Y.; Davis, T.P.; et al. Nanotoxicology and Nanomedicine: The Yin and Yang of Nano-Bio Interactions for the New Decade. Nano Today 2021, 39, 101184. [Google Scholar] [CrossRef] [PubMed]
- Zain, M.S.C.; Ediriisinghe, S.L.; Kim, C.-H.; de Zoysa, M.; Shaari, K. Nanoemulsion of flavonoid-enriched oil palm (Elaeis guineensis Jacq.) leaf extract enhances wound healing in zebrafish. Phytomedicine Plus 2021, 1, 100124. [Google Scholar] [CrossRef]
- Davidson, C.B.; Sangoi, G.; de Souza, D.; Fontana, T.; Bonazza, G.K.C.; Schultz, J.V.; Martins, M.O.; Fagan, S.B.; Machado, A.K. Potencial anti-inflamatório do extrato de Euterpe oleracea Mart. em células pulmonares ativadas. Discip. Sci. 2022, 23, 1–12. [Google Scholar] [CrossRef]



| Formulations | Concentration of Açaí Extract (mg/mL) | Oily Phase | Aqueous Phase | ||||
|---|---|---|---|---|---|---|---|
| Span 80® (g) | MCT (g) | Filtered Extract (mL) | Ethanol 70% (mL) | Tween 80® (g) | Ultrapure Water (mL) | ||
| NE1 | 0.83 | 0.1925 | 0.4 | 2.083 | 65 | 0.1925 | 135.0 |
| NE2 | 2.0 | 0.1925 | 0.4 | 5.0 | 62 | 0.1925 | 135.0 |
| NE3 | 4.0 | 0.1925 | 0.4 | 10.0 | 57 | 0.1925 | 135.0 |
| NE4 | 6.0 | 0.1925 | 0.4 | 15.0 | 52 | 0.1925 | 135.0 |
| NE5 | 8.0 | 0.1925 | 0.4 | 20.0 | 47 | 0.1925 | 135.0 |
| NE6 | 20.0 | 0.1925 | 0.4 | 50.0 | 17 | 0.1925 | 135.0 |
| Formulations | Diameter (nm) ± SD | PDI ± SD | ZP (mV) ± SD | pH ± SD |
|---|---|---|---|---|
| NE 1 (0.83 mg/L) | 172 ± 1.68 | 0.207 ± 0.13 | −12.12 ± 0.39 | 5.31 ± 0.32 |
| NE 2 (2 mg/mL) | 194 ± 26.93 | 0.200 ± 0.05 | −10.65 ± 0.55 | 4.97 ± 0.70 |
| NE 3 (4 mg/mL) | 194 ± 34.92 | 0.226 ± 0.10 | −10.15 ± 3.34 | 6.59 ± 0.32 |
| NE 4 (6 mg/mL) | 187 ± 18.73 | 0.243 ± 0.06 | −14.47 ± 1.16 | 5.56 ± 0.01 |
| NE 5 NE5 (8 mg/mL) | 202 ± 13.33 | 0.240 ± 0.06 | −13.22 ± 0.83 | 4.61 ± 0.60 |
| NE 6 (20 mg/mL) | 200 ± 31.72 | 0.358 ± 0.07 | −23.16 ± 2.54 | 5.37 ± 0.12 |
| Formulations | Time (Days) | Climatic Condition | Diameter (nm) ± SD | PDI ± SD | ZP (mV) ± SD | pH ± SD | Free Extract pH |
|---|---|---|---|---|---|---|---|
| NE1 [0.83 mg/mL] ![]() | 0 | - | 172 ± 1.68 | 0.207 ± 0.13 | −12.12 ± 0.39 | 5.31 ± 0.32 | 5.50 ± 0.33 |
| 7 | RT | 178 ± 8.74 | 0.199 ± 0.02 | −10.12 ± 3.93 | 5.39 ± 0.13 | 5.05 ± 0.04 * | |
| RE | 182 ± 27.11 | 0.248 ± 0.08 | −7.83 ± 0.94 | 5.90 ± 0.11 * | 5.08 ± 0.03 * | ||
| CC | 176 ± 6.53 | 0.226 ± 0.05 | −11.20 ± 2.48 | 5.26 ± 0.27 | 5.04 ± 0.09 * | ||
| 15 | RT | 213 ± 32.36 | 0.319 ± 0.03 | −9.91 ± 1.18 * | 5.26 ± 0.19 | 5.02 ± 0.03 * | |
| RE | 201 ± 36.65 | 0.295 ± 0.11 | −10.33 ± 0.60 | 5.04 ± 0.21 | 5.05 ± 0.03 * | ||
| CC | 185 ± 9.11 | 0.243 ± 0.02 | −12.00 ± 0.81 | 4.86 ± 0.18 | 5.09 ± 0.03 * | ||
| 30 | RT | 184 ± 19.27 | 0.218 ± 0.06 | −10.67 ± 2.04 | 5.42 ± 0.08 | 5.05 ± 0.02 * | |
| RE | 194 ± 27.33 | 0.280 ± 0.06 | −15.71 ± 6.07 | 5.14 ± 0.17 | 5.12 ± 0.04 | ||
| CC | 201 ± 17.29 | 0.309 ± 0.05 | −14.35 ± 3.06 | 4.76 ± 0.07 * | 5.27 ± 0.03 | ||
| NE2 [2 mg/mL] ![]() | 0 | - | 194 ± 26.93 | 0.200 ± 0.05 | −10.65 ± 0.55 | 4.97 ± 0.70 | 5.17 ± 0.10 |
| 7 | RT | 197 ± 22.19 | 0.246 ± 0.02 | −12.17 ± 1.03 | 5.58 ± 0.30 | 5.00 ± 0.05 * | |
| RE | 243 ± 91.66 | 0.309 ± 0.07 | −12.96 ± 1.32 * | 4.55 ± 0.75 | 5.01 ± 0.02 * | ||
| CC | 196 ± 39.71 | 0.210 ± 0.09 | −13.91 ± 0.60 ** | 4.76 ± 0.05 | 5.01 ± 0.03 * | ||
| 15 | RT | 218 ± 59.89 | 0.303 ± 0.05 | −12.48 ± 1.82 | 5.67 ± 0.12 | 5.00 ± 0.04 * | |
| RE | 229 ± 56.39 | 0.340 ± 0.06 * | −11.05 ± 0.78 | 4.51 ± 0.64 | 5.03 ± 0.05 * | ||
| CC | 250 ± 76.12 | 0.335 ± 0.03 * | −12.33 ± 4.34 | 4.72 ± 0.07 | 4.98 ± 0.01 * | ||
| 30 | RT | 184 ± 21.69 | 0.267 ± 0.04 | −22.46 ± 1.27 ** | 5.69 ± 0.19 | 4.99 ± 0.02 * | |
| RE | 209 ± 63.95 | 0.271 ± 0.09 | −17.63 ± 0.88 * | 4.63 ± 0.69 | 5.02 ± 0.03 * | ||
| CC | 181 ± 6.55 | 0.238 ± 0.09 | −20.37 ± 5.52 ** | 4.64 ± 0.03 | 5.04 ± 0.03 * | ||
| NE3 [4 mg/mL] ![]() | 0 | - | 194 ± 34.92 | 0.226 ± 0.10 | −10.15 ± 3.34 | 6.59 ± 0.32 | 5.25 ± 0.03 |
| 7 | RT | 215 ± 41.54 | 0.243 ± 0.04 | −11.63 ± 0.65 | 5.32 ± 0.37 ** | 5.18 ± 0.01 | |
| RE | 183 ± 15.13 | 0.224 ± 0.05 | −11.41 ± 0.43 | 6.44 ± 0.32 | 5.19 ± 0.01 | ||
| CC | 182 ± 16.45 | 0.214 ± 0.02 | −12.39 ± 0.99 | 5.00 ± 0.13 *** | 5.22 ± 0.03 * | ||
| 15 | RT | 187 ± 16.53 | 0.234 ± 0.05 | −13.18 ± 0.69 | 5.18 ± 0.35 ** | 5.14 ± 0.05 * | |
| RE | 185 ± 21.65 | 0.238 ± 0.06 | −12.49 ± 0.70 | 6.09 ± 0.25 | 5.14 ± 0.03 * | ||
| CC | 183 ± 7.19 | 0.236 ± 0.04 | −14.17 ± 0.61 | 5.11 ± 0.28 *** | 5.17 ± 0.04 | ||
| 30 | RT | 166 ± 6.57 | 0.171 ± 0.04 | −16.23 ± 4.01 | 5.29 ± 0.28 * | 5.17 ± 0.02 ** | |
| RE | 177 ± 15.09 | 0.180 ± 0.03 | −15.97 ± 2.02 * | 5.36 ± 0.85 * | 5.17 ± 0.03 ** | ||
| CC | 220 ± 43.22 | 0.167 ± 0.02 | −16.01 ± 2.82 * | 5.02 ± 0.20 * | 5.19 ± 0.02 * | ||
| NE4 [6 mg/mL] ![]() | 0 | - | 187 ± 18.73 | 0.243 ± 0.06 | −14.47 ± 1.16 | 5.56 ± 0.01 | 5.45 ± 0,02 |
| 7 | RT | 232 ± 41.13 | 0.271 ± 0.05 | −12.81 ± 4.06 | 4.33 ± 0.36 *** | 5.39 ± 0.03* | |
| RE | 167 ± 4.06 | 0.198 ± 0.01 | −12.77 ± 2.81 | 5.54 ± 0.08 | 5.40 ± 0.02 | ||
| CC | 516 ± 192.90 * | 0.328 ± 0.07 | −20.13 ± 2.17 | 4.50 ± 0.11 ** | 5.41 ± 0.02 | ||
| 15 | RT | 509 ± 345.27 | 0.295 ± 0.12 | −14.49 ± 0.58 | 4.67 ± 0.50 * | 5.34 ± 0.01 *** | |
| RE | 199 ± 44.10 | 0.275 ± 0.13 | −14.72 ± 0.12 | 4.92 ± 0.52 | 5.39 ± 0.04 * | ||
| CC | 922 ± 390.36** | 0.677 ± 0.10 ** | −16.80 ± 1.67 | 4.30 ± 0.19 ** | 5.32 ± 0.01 *** | ||
| 30 | RT | 550 ± 500.93 | 0.168 ± 0.07 | −16.67 ± 0.88 | 4.82 ± 0.18 | 5.34 ± 0.03 ** | |
| RE | 166 ± 2.87 | 0.193 ± 0.02 | −15.20 ± 2.26 | 4.52 ± 1.00 | 5.39 ± 0.03 | ||
| CC | 0.493 ± 0.10 | −15.05± 3.04 | - | - | |||
| NE5 [8 mg/mL] ![]() | 0 | - | 202 ± 13.33 | 0.240 ± 0.06 | −13.22 ± 0.83 | 4.61 ± 0.60 | 5.89 ± 0.01 |
| 7 | RT | 947 ± 1338.12 | 333,498 ± 577.21 | −16.72 ± 2.01 | 4.18 ± 0.09 | 5.86 ± 0.01 ** | |
| RE | 183 ± 10.42 | 0.302 ± 0.04 | −15.16 ± 0.75 | 5.50 ± 0.26 * | 5.86 ± 0.00 ** | ||
| CC | 224 ± 59.65 | 0.331 ± 0.06 | −14.78 ± 2.33 | 5.26 ± 0.06 | 5.85 ± 0.01 ** | ||
| 15 | RT | - | - | - | - | ||
| RE | 166 ± 5.95 | 0.184 ± 0.01 | −18.14 ± 4.08 | 4.39 ± 0.74 | 5.85 ± 0.01 *** | ||
| CC | 745 ± 490.01 | 0.388 ± 0.32 | −15.36 ± 2.48 | 4.91 ± 0.16 | 5.85 ± 0.01 *** | ||
| 30 | RT | - | - | - | - | - | |
| RE | 171 ± 10.55 | 0.217 ± 0.03 | −15.20 ± 4.37 | 4.05 ± 0.16 | 5.,86 ± 0.01 ** | ||
| CC | - | - | - | - | - | ||
| NE6 [20 mg/mL] ![]() | 0 | - | 200 ± 31.72 | 0.358 ± 0.07 | −23.16 ± 2.54 | 5.37 ± 0.12 | 6.23 ± 0.01 |
| 7 | RT | 619 ± 182.67** | 0.551 ± 0.03 | −21.62 ± 0.73 | 4.83 ± 0.61 | 6.20 ± 0.01 | |
| RE | 214 ± 42.30 | 0.361 ± 0.08 | −19.85 ± 1.86 | 5.07 ± 0.04 | 5.85 ± 0.01 *** | ||
| CC | 276 ± 122.61 | 0.441 ± 0.23 | −24.12 ± 2.81 | 4.90 ± 0.11 | 6.24 ± 0.02 | ||
| 15 | RT | - | - | - | - | - | |
| RE | 192 ± 40.38 | 0.338 ± 0.08 | −22.53 ± 2.35 | 4.10 ± 0.62 | 5.76 ± 0.05 *** | ||
| CC | - | - | - | - | - | ||
| 30 | RT | - | - | - | - | - | |
| RE | 164 ± 13.12 | 0.279 ± 0.11 | −22.71 ± 1.23 | 4.04 ± 0.54 | 5.86 ± 0.01 ** | ||
| CC | - | - | - | - | - |
Disclaimer/Publisher’s Note: The statements, opinions and data contained in all publications are solely those of the individual author(s) and contributor(s) and not of MDPI and/or the editor(s). MDPI and/or the editor(s) disclaim responsibility for any injury to people or property resulting from any ideas, methods, instructions or products referred to in the content. |
© 2025 by the authors. Licensee MDPI, Basel, Switzerland. This article is an open access article distributed under the terms and conditions of the Creative Commons Attribution (CC BY) license (https://creativecommons.org/licenses/by/4.0/).
Share and Cite
Nunes de Godoi, S.; Valente de Souza, D.; Fontana, T.; Pappis, L.; Reis Favarin, F.; Kolinski Cossettin Bonazza, G.; Davidson, C.B.; Somacal, S.; Emanuelli, T.; Dal Pont Morisso, F.; et al. Açaí-Loaded Nanoemulsion: Synthesis, Characterization, and In Vitro Safety Profile. Appl. Sci. 2025, 15, 8822. https://doi.org/10.3390/app15168822
Nunes de Godoi S, Valente de Souza D, Fontana T, Pappis L, Reis Favarin F, Kolinski Cossettin Bonazza G, Davidson CB, Somacal S, Emanuelli T, Dal Pont Morisso F, et al. Açaí-Loaded Nanoemulsion: Synthesis, Characterization, and In Vitro Safety Profile. Applied Sciences. 2025; 15(16):8822. https://doi.org/10.3390/app15168822
Chicago/Turabian StyleNunes de Godoi, Samantha, Diulie Valente de Souza, Tuyla Fontana, Lauren Pappis, Fernanda Reis Favarin, Giovana Kolinski Cossettin Bonazza, Carolina Bordin Davidson, Sabrina Somacal, Tatiana Emanuelli, Fernando Dal Pont Morisso, and et al. 2025. "Açaí-Loaded Nanoemulsion: Synthesis, Characterization, and In Vitro Safety Profile" Applied Sciences 15, no. 16: 8822. https://doi.org/10.3390/app15168822
APA StyleNunes de Godoi, S., Valente de Souza, D., Fontana, T., Pappis, L., Reis Favarin, F., Kolinski Cossettin Bonazza, G., Davidson, C. B., Somacal, S., Emanuelli, T., Dal Pont Morisso, F., Gündel, A., Pilger, D. A., Kolinski Machado, A., & Ferreira Ourique, A. (2025). Açaí-Loaded Nanoemulsion: Synthesis, Characterization, and In Vitro Safety Profile. Applied Sciences, 15(16), 8822. https://doi.org/10.3390/app15168822







