Enhancement of Skin Anti-Wrinkling Effects of Arthrospira maxima Phycocynobilin by Combining with Wheat Bran Extract
Abstract
1. Introduction
2. Materials and Methods
2.1. Materials
2.2. Preparation of Samples
2.3. Measurement of PCB Concentration in the Extract
2.4. Evaluation of the Cytotoxicity of Extracts
2.5. Measurement of the Antioxidant Activities of the Extracts
2.6. Evaluation of Collagen Synthesis in Skin Fibroblasts Treated with the Extracts
2.7. Evaluation of the Inhibition of MMP-1 Expression by the Extracts
2.8. Reverse Transcription Polymerase Chain Reaction (RT-PCR)
2.9. Statistical Analysis
3. Results and Discussion
3.1. Concentration of PCB in SP and Cytotoxicity of the Extracts
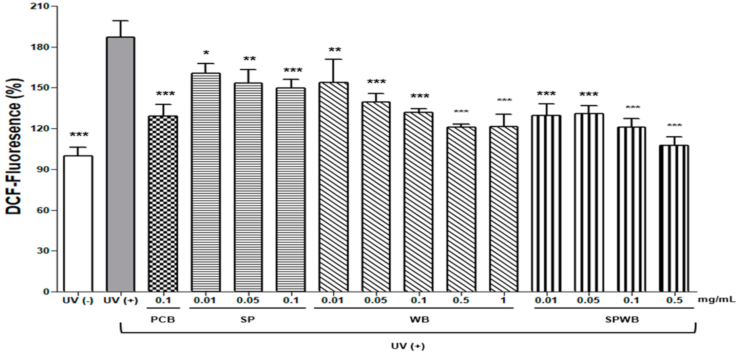
3.2. Antioxidant Effects of PCB, SP, WB, and SPWB
3.3. Skin Anti-Wrinkling Effects of SP
4. Conclusions
Author Contributions
Funding
Institutional Review Board Statement
Informed Consent Statement
Data Availability Statement
Conflicts of Interest
References
- Krutmann, J.; Schikowski, T.; Morita, A.; Berneburg, M. Environmentally-induced (extrinsic) skin aging: Exposomal factors and underlying mechanisms. J. Investig. Dermatol. 2021, 141, 1096–1103. [Google Scholar] [CrossRef] [PubMed]
- Csekes, E.; Račková, L. Skin aging, cellular senescence and natural polyphenols. Int. J. Mol. Sci. 2021, 22, 12641. [Google Scholar] [CrossRef] [PubMed]
- Choi, S.-H.; Choi, S.-I.; Jung, T.-D.; Cho, B.-Y.; Lee, J.-H.; Kim, S.-H.; Yoon, S.-A.; Ham, Y.-M.; Yoon, W.-J.; Cho, J.-H. Anti-photoaging effect of Jeju Putgyul (unripe citrus) extracts on human dermal fibroblasts and ultraviolet B-induced hairless mouse skin. Int. J. Mol. Sci. 2017, 18, 2052. [Google Scholar] [CrossRef] [PubMed]
- Mohamed, M.A.A.; Jung, M.; Lee, S.M.; Lee, T.H.; Kim, J. Protective effect of Disporum sessile D. Don extract against UVB-induced photoaging via suppressing MMP-1 expression and collagen degradation in human skin cells. J. Photochem. Photobiol. B. 2014, 133, 73–79. [Google Scholar] [CrossRef] [PubMed]
- Chen, B.; Li, R.; Yan, N.; Chen, G.; Qian, W.; Jiang, H.-L.; Ji, C.; Bi, Z.-G. Astragaloside IV controls collagen reduction in photoaging skin by improving transforming growth factor-β/Smad signaling suppression and inhibiting matrix metalloproteinase-1. Mol. Med. Rep. 2015, 11, 3344–3348. [Google Scholar] [CrossRef]
- Cadet, J.; Davies, K.J.; Medeiros, M.H.; Di Mascio, P.; Wagner, J.R. Formation and repair of oxidatively generated damage in cellular DNA. Free Radic. Biol. Med. 2017, 107, 13–34. [Google Scholar] [CrossRef]
- Kim, G.-Y.; Kim, A.-K.; Han, S.-S.; Lee, S.-H. A study on the comparson of skin effects by natural cosmetics and general cosmetics. Kor. J. Aesthet. Cosmetol. 2009, 7, 225–238. [Google Scholar]
- Amin, M.; Haq, A.U.; Shahid, A.; Boopathy, R.; Syafiuddin, A. Spirulina as a food of the future. In Pharmaceutical and Nutraceutical Potential of Cyanobacteria; Mehmood, M.A., Verma, P., Shah, M.P., Betenbaugh, M.J., Eds.; Springer International Publishing: Cham, Switzerland, 2024; pp. 53–83. [Google Scholar] [CrossRef]
- Liestianty, D.; Rodianawati, I.; Arfah, R.A.; Assa, A.; Patimah; Sundari; Muliadi. Nutritional analysis of spirulina sp to promote as superfood candidate. IOP Conf. Ser. Mater. Sci. Eng. 2019, 509, 012031. [Google Scholar] [CrossRef]
- Kim, K.M.; Lee, J.Y.; Im, A.-R.; Chae, S. Phycocyanin protects against UVB-induced apoptosis through the PKC α/βII-Nrf-2/HO-1 dependent pathway in human primary skin cells. Molecules 2018, 23, 478. [Google Scholar] [CrossRef]
- Moradi, F.; Aghamaali, M.; Hadavi, M. Osteogenic differentiation of human amniotic mesenchymal stem cells by phycocyanin and phycoerythrin pigments isolated from Spirulina platensis and Gracilaria gracilis algae. Tissue Cell 2023, 85, 102216. [Google Scholar] [CrossRef]
- Jespersen, L.; Strømdahl, L.D.; Olsen, K.; Skibsted, L.H. Heat and light stability of three natural blue colorants for use in confectionery and beverages. Eur. Food Res. Technol. 2005, 220, 261–266. [Google Scholar] [CrossRef]
- Bishop, J.; Lagarias, J.; Nagy, J.; Schoenleber, R.; Rapoport, H.; Klotz, A.; Glazer, A. Phycobiliprotein-bilin linkage diversity. I. Structural studies on A-and D-ring-linked phycocyanobilins. J. Biol. Chem. 1986, 261, 6790–6796. [Google Scholar] [CrossRef] [PubMed]
- Li, Y. The bioactivities of phycocyanobilin from Spirulina. J. Immunol. Res. 2022, 2022, 4008991. [Google Scholar] [CrossRef] [PubMed]
- McCarty, M.F. Clinical potential of Spirulina as a source of phycocyanobilin. J. Med. Food. 2007, 10, 566–570. [Google Scholar] [CrossRef] [PubMed]
- Zheng, J.; Inoguchi, T.; Sasaki, S.; Maeda, Y.; McCarty, M.F.; Fujii, M.; Ikeda, N.; Kobayashi, K.; Sonoda, N.; Takayanagi, R. Phycocyanin and phycocyanobilin from Spirulina platensis protect against diabetic nephropathy by inhibiting oxidative stress. Am. J. Physiol. Regul. Integr. Comp. Physiol. 2013, 304, R110–R120. [Google Scholar] [CrossRef]
- Klein, G.; Rüdiger, W. Thioether formation of phycocyanobilin: A model reaction of phycocyanin biosynthesis. Z. Naturforsch. 1979, 34, 192–195. [Google Scholar] [CrossRef]
- Buecker, S.; Grossmann, L.; Loeffler, M.; Leeb, E.; Weiss, J. Thermal and acidic denaturation of phycocyanin from Arthrospira platensis: Effects of complexation with λ-carrageenan on blue color stability. Food Chem. 2022, 380, 132157. [Google Scholar] [CrossRef]
- Minic, S.; Radomirovic, M.; Savkovic, N.; Radibratovic, M.; Mihailovic, J.; Vasovic, T.; Nikolic, M.; Milcic, M.; Stanic-Vucinic, D.; Velickovic, T.C. Covalent binding of food-derived blue pigment phycocyanobilin to bovine β-lactoglobulin under physiological conditions. Food Chem. 2018, 269, 43–52. [Google Scholar] [CrossRef]
- Ikeda, I.K.; Sydney, E.B.; Sydney, A.C.N. Potential application of Spirulina in dermatology. J. Cosmet. Dermatol. 2022, 21, 4205–4214. [Google Scholar] [CrossRef]
- Wilkinson, I.V.; Castro-Falcón, G.; Roda-Serrat, M.C.; Purdy, T.N.; Straetener, J.; Brauny, M.M.; Maier, L.; Brötz-Oesterhelt, H.; Christensen, L.P.; Sieber, S.A.; et al. The cyanobacterial “nutraceutical” phycocyanobilin inhibits cysteine protease legumain. ChemBioChem 2023, 24, e202200455. [Google Scholar] [CrossRef]
- Lee, H.; Choi, W.; Ro, H.; Kim, G.; Lee, H. Skin Antiaging effects of the fermented outer layers of leaf skin of Aloe barbadensis miller associated with the enhancement of mitochondrial activities of UVb-irradiated human skin fibroblasts. Appl. Sci. 2021, 11, 5660. [Google Scholar] [CrossRef]
- Roda-Serrat, M.C.; Christensen, K.V.; El-Houri, R.B.; Fretté, X.; Christensen, L.P. Fast cleavage of phycocyanobilin from phycocyanin for use in food colouring. Food Chem. 2018, 240, 655–661. [Google Scholar] [CrossRef] [PubMed]
- Kumar, D.; Dhar, D.W.; Pabbi, S.; Kumar, N.; Walia, S. Extraction and purification of C-phycocyanin from Spirulina platensis (CCC540). Indian J. Plant Physiol. 2014, 19, 184–188. [Google Scholar] [CrossRef] [PubMed]
- Moon, J.; Choi, S.; Lee, S.; Yim, D. Antioxidant activities and anti-inflammatory effects of rice bran and wheat bran extracts. Korean J. Pharmacog. 2015, 46, 140–147. [Google Scholar]
- Campas-Ríos, M.D.J.; Mercado-Ruiz, J.N.; Valdéz-Covarrubias, M.A.; Islas-Rubio, A.R.; Mendoza-Wilson, A.M.; Balandrán-Quintana, R.R. Hydrolysates from wheat bran albumin as color-adding agents and inhibitors of apple polyphenol oxidase. J. Food Biochem. 2012, 36, 470–478. [Google Scholar] [CrossRef]
- Mornar, A.; Sertić, M.; Klarić, D.A.; Klarić, I.; Stipanović, K.; Nigović, B. Evaluation of alcohol content and metal impurities in liquid dietary supplements by sHSS-GC-FID and GFAAS techniques. Food Chem. 2016, 211, 285–293. [Google Scholar] [CrossRef]
- Bishop, J.E.; Nagy, J.O.; O’Connell, J.F.; Rapoport, H. Diastereoselective synthesis of phycocyanobilin-cysteine adducts. J. Am. Chem. Soc. 1991, 113, 8024–8035. [Google Scholar] [CrossRef]
- Tu, Y.; Quan, T. Oxidative stress and human skin connective tissue aging. Cosmetics 2016, 3, 28. [Google Scholar] [CrossRef]
- Pittayapruek, P.; Meephansan, J.; Prapapan, O.; Komine, M.; Ohtsuki, M. Role of matrix metalloproteinases in photoaging and photocarcinogenesis. Int. J. Mol. Sci. 2016, 17, 868. [Google Scholar] [CrossRef]
- Potekaev, N.N.; Borzykh, O.B.; Medvedev, G.V.; Petrova, M.M.; Gavrilyuk, O.A.; Karpova, E.I.; Trefilova, V.V.; Demina, O.M.; Popova, T.E.; Shnayder, N.A. Genetic and epigenetic aspects of skin collagen fiber turnover and functioning. Cosmetics 2021, 8, 92. [Google Scholar] [CrossRef]
- Choi, J.-K.; Kwon, O.-Y.; Lee, S.-H. Kaempferide prevents photoaging of ultraviolet-B irradiated NIH-3T3 cells and mouse skin via regulating the reactive oxygen species-mediated signalings. Antioxidants 2022, 12, 11. [Google Scholar] [CrossRef] [PubMed]







Disclaimer/Publisher’s Note: The statements, opinions and data contained in all publications are solely those of the individual author(s) and contributor(s) and not of MDPI and/or the editor(s). MDPI and/or the editor(s) disclaim responsibility for any injury to people or property resulting from any ideas, methods, instructions or products referred to in the content. |
© 2024 by the authors. Licensee MDPI, Basel, Switzerland. This article is an open access article distributed under the terms and conditions of the Creative Commons Attribution (CC BY) license (https://creativecommons.org/licenses/by/4.0/).
Share and Cite
Koh, E.-J.; Kim, T.; Ryu, Y.-K.; Lee, W.-K.; Sunwoo, I.-Y.; Ro, H.S.; Jeon, G.; Kim, G.R.; Lee, H.Y.; Choi, W.-Y. Enhancement of Skin Anti-Wrinkling Effects of Arthrospira maxima Phycocynobilin by Combining with Wheat Bran Extract. Appl. Sci. 2024, 14, 10216. https://doi.org/10.3390/app142210216
Koh E-J, Kim T, Ryu Y-K, Lee W-K, Sunwoo I-Y, Ro HS, Jeon G, Kim GR, Lee HY, Choi W-Y. Enhancement of Skin Anti-Wrinkling Effects of Arthrospira maxima Phycocynobilin by Combining with Wheat Bran Extract. Applied Sciences. 2024; 14(22):10216. https://doi.org/10.3390/app142210216
Chicago/Turabian StyleKoh, Eun-Jeong, Taeho Kim, Yong-Kyun Ryu, Won-Kyu Lee, In-Yung Sunwoo, Hyang Seon Ro, Gibeom Jeon, Gyu Rae Kim, Hyeon Yong Lee, and Woon-Yong Choi. 2024. "Enhancement of Skin Anti-Wrinkling Effects of Arthrospira maxima Phycocynobilin by Combining with Wheat Bran Extract" Applied Sciences 14, no. 22: 10216. https://doi.org/10.3390/app142210216
APA StyleKoh, E.-J., Kim, T., Ryu, Y.-K., Lee, W.-K., Sunwoo, I.-Y., Ro, H. S., Jeon, G., Kim, G. R., Lee, H. Y., & Choi, W.-Y. (2024). Enhancement of Skin Anti-Wrinkling Effects of Arthrospira maxima Phycocynobilin by Combining with Wheat Bran Extract. Applied Sciences, 14(22), 10216. https://doi.org/10.3390/app142210216

