Abstract
Ashes from biomass combustion (BAs) are a valuable source of plant nutrients, making them suitable for fertilizing crops. BAs also contain components that directly affect soil environmental conditions, leading to improved growth and development of plants. Their deacidifying properties allow BAs to serve as a substitute for calcium fertilizers. However, they contain substantial amounts of components that can increase soil salinity, which can have negative effects. The aim of this study was to assess the impact of BAs on changes in pH and salinity of haplicluvisol soil under the cultivation of various plant species. The study also analyzed the effects of BAs on the content of total forms of calcium (Ca), magnesium (Mg), potassium (K), and sodium (Na) in the soil. The BAs used in the experiment were sourced from a combined heat and power plant that combusts forest and agricultural biomass. These BAs are distributed as a product for fertilizing agricultural land. However, their application is not subjected to further monitoring. The results indicated that the application of different doses of BAs significantly affected the pH of the analyzed soil. Compared to control objects, a significant increase in pH was observed, with these changes dependent on the species of the cultivated plant. Additionally, even the smallest doses of BAs caused an increase in the electrolytic conductivity (EC) of soil solutions, which serves as a measure of soil salinity. Despite the increase in the average EC value, the application of BAs did not alter the salinity class. The use of BAs also significantly influenced other analyzed parameters. An increase in the average content of total forms of Ca, Mg, K, and Na in the soil was observed, along with a higher degree of soil saturation with alkaline cations, compared to the control and the soil condition before the experiment. The changes in the analyzed soil parameters were significantly influenced not only by the different doses of BAs but also by the species of the cultivated plant. The greatest fluctuations in the obtained values were observed in soil under winter rape cultivation, while the smallest fluctuations were noted in soil under spring barley and potato cultivation.
1. Introduction
Renewable energy sources represent cleaner alternatives to fossil fuels [1]. In 2022, energy from renewable sources accounted for 23% of energy consumption in the European Union. In 2023, lawmakers increased the EU target for the share of renewable energy in gross energy consumption from 32% to 42.5% by 2030, aiming to reach 45% [2]. Biomass is currently the most commonly used alternative to fossil fuels for heat and energy production. Biomass is considered a carbon-neutral fuel, which can help reduce greenhouse gas emissions. However, the combustion of biomass generates large quantities of ash, currently estimated at about 50 Mt/year in Europe [3]. According to the available data, most of the ash produced during energy generation in Europe ends up in landfills [4,5]. However, given its properties, this waste can be repurposed for other uses, including fertilizing agricultural crops [1]. The reutilization of biomass ashes (BAs) in agriculture is an important issue for creating nutrient cycles and reducing the need for chemical fertilizers [6,7]. Data suggest that applying BAs to soil improves its properties, particularly by increasing the content of plant nutrients, reducing acidity, and enhancing structure, water retention, and microbiological activity, among others [8,9,10,11,12]. With the exception of nitrogen, BAs contain large amounts of essential plant nutrients necessary for proper growth and development [6]. The application of ash can stimulate microbial activity and mineralization processes in the soil by improving its chemical and physical properties [13]. Therefore, BAs have high potential for reuse, aligning with the EU’s circular waste management policy [4].
Ashes from biomass combustion have varied effects on soil. In general, they positively influence the reduction in soil acidity, increase the degree of saturation of the sorption complex with bases, and enhance the availability of plant nutrients [9,10,13,14,15]. Acidification of agricultural soils limits plant production considerably, and its impact on the Polish soil environment is more negative than in any other EU countries [16,17]. Over 50% of soils in Poland, regardless of their use, are characterized by very acidic or acidic pH levels [16]. In Poland, very acidic soils constitute 13% of the area of agricultural land, while acidic and slightly acidic soils account for 26% and 34%, respectively. Only 27% of agricultural land consists of soils with neutral or alkaline reaction [16]. Only soils with regulated pH provide optimal conditions for plant growth and development, particularly in terms of nutrient absorption, which directly translates into increased yields of good quality. BAs can serve as a substitute for lime fertilizers and can be effectively used to deacidify soils [9,12,14,15].
Despite the high potential for using BAs in fertilization, there are also some limitations. One major issue is the considerable variability in the chemical composition of BAs, which results from such factors as the type, origin, and combustion temperature of the biomass [6,9]. BAs may contain elevated concentrations of easily soluble salts, particularly K, Mg, and Ca. When these are introduced into the soil, they can influence not only its salinity but also contribute to excessive alkalization, resulting in various unfavorable effects. Salinization results in soil degradation and, consequently, limits plant production [18]. Additionally, substantial amounts of elements like K, Mg, and Ca introduced with BAs may disrupt the uptake of other nutrients by plants, which in turn affects their proper growth and development [19,20,21,22]. Due to the considerable differences in the quality and chemical composition of ashes, long-term monitoring of their impact on soil is essential [1,23]. However, such research constitutes a small portion of the existing literature, as most studies in this field rely on short-term laboratory experiments [24,25].
The BAs used in the experiment were sourced from a combined heat and power plant that combusts forest and agricultural biomass. These BAs are distributed as a product for fertilizing agricultural land. However, their application is not subjected to monitoring. Therefore, the conducted research analyzed the impact of BAs with a consistent composition, applied uniformly over three years, on selected properties of haplicluvisol soil (pH, hydrolytic acidity (HAC), electrical conductivity (EC), and the concentration of Ca, Mg, K, and Na). The effects of the application of BAs were also examined in different cultivated crop plants—spring barley, winter oilseed rape, and potatoes—which may have further modified the soil’s properties.
2. Materials and Methods
The effect of BAs on selected properties of haplic luvisol soil [26] was investigated in a three-year field experiment. The study was conducted on a private farm in Korzenica, located in the Podkarpackie Province of southeastern Poland (Figure S1). The BAs utilized in the experiment originated from burning forest and agricultural biomass in a fluidized bed furnace. Specifically, the BAs were generated from approximately 70% forest biomass and 30% agricultural biomass. The forest biomass consisted of a balanced mix of deciduous and coniferous trees (50/50), while the agricultural biomass included such components as cereal straw, sunflower husks, and willow. Throughout the entire experiment, BAs with consistent properties were employed. The characteristics of the BAs used in the experiment are detailed in Table S1. The BAs exhibited an alkaline reaction (pH = 12.83) and high salinity (EC = 8.81 mS cm−1). Among the analyzed elements, K had the highest concentration, followed by Ca, Mg, P, and Na. The average concentrations of these components in the BAs were 165,617, 145,081, 13,512, and 9244 mg kg−1, respectively (Table S1). The soil used in the experiment was characterized by a silt texture, acidic reaction, and low salinity. The average values for hydrolytic acidity (HAC), total exchangeable bases (TEB), and cation exchange capacity (CEC) were 1.23, 5.18, and 6.41 cmol kg−1, respectively, with a base saturation (BS) value of 80.78%. The concentrations of the elements determined in the soil before the experiment were ranked in the following order of decreasing values: K > Ca > Mg > Na, with average concentrations of 1778, 1295, 826, and 212 mg kg−1, respectively (Table 1).
Table 1.
Soil characteristics before starting the experiment (mean ± SE).
The variants of the experiment differed in the dose of K fertilization; this component accounted for the largest proportion of the BAs used in the experiment, which is related to the biomass combustion technology [27]. The study analyzed the effects of five BAs doses applied at rates ranging from 0.5 to 2.5 Mg ha−1 (BAs_0.5 to BAs_2.5), corresponding to K2O amounts from 100 to 500 kg ha−1, respectively [28,29]. The results were compared to two control groups: control (without K fertilization) and NPK (fertilized with K from mineral fertilizers, specifically 60% potassium salt applied at a rate of 175 kg ha−1). A detailed description of the experimental design and conditions is provided in the Supplementary Materials. The effect of BAs was analyzed under the cultivation of three crop species: winter oilseed rape (Brassica napus L. var. napus) cv. Mandril (from Syngenta), spring barley (Hordeum vulgare L.) of the RGT Planet variety (breeder RAGT 2n; brewery type), and potatoes (Solanum tuberosum L. cv. Sagitta, mid-early, fry type; breeder HZPC Holland B.V., The Netherlands) [30,31]. The weather conditions in each year of the experiment are detailed in Table S2.
Every autumn, after harvesting the crops, soil samples were collected from the 0–30 cm layer. The samples were air-dried for two weeks, crushed using a PULVERISERRE 8 soil deagglomerator from Fritsch GmbH, and sifted through a laboratory sieve with a mesh diameter of 2 mm. The following properties were determined in the prepared soil samples: pH was measured using the potentiometric method in a 1 mol dm−3 KCl solution and in water. HAC and TEB were determined using the Kappen method. Based on HAC and TEB, CEC was calculated according to the formula: CEC = HAC + TEB. The degree of BS was calculated using the formula: BS = (TEB/CEC) × 100 [32]. The total concentrations of Ca, Mg, K, and Na were determined by atomic absorption spectrometry using a Hitachi Z-2000 apparatus (Tokyo, Japan), following prior mineralization of the soil samples in 70% HclO4 [33]. The results were statistically processed using the Statistica 13.3 program and two-way ANOVA.
3. Results and Discussion
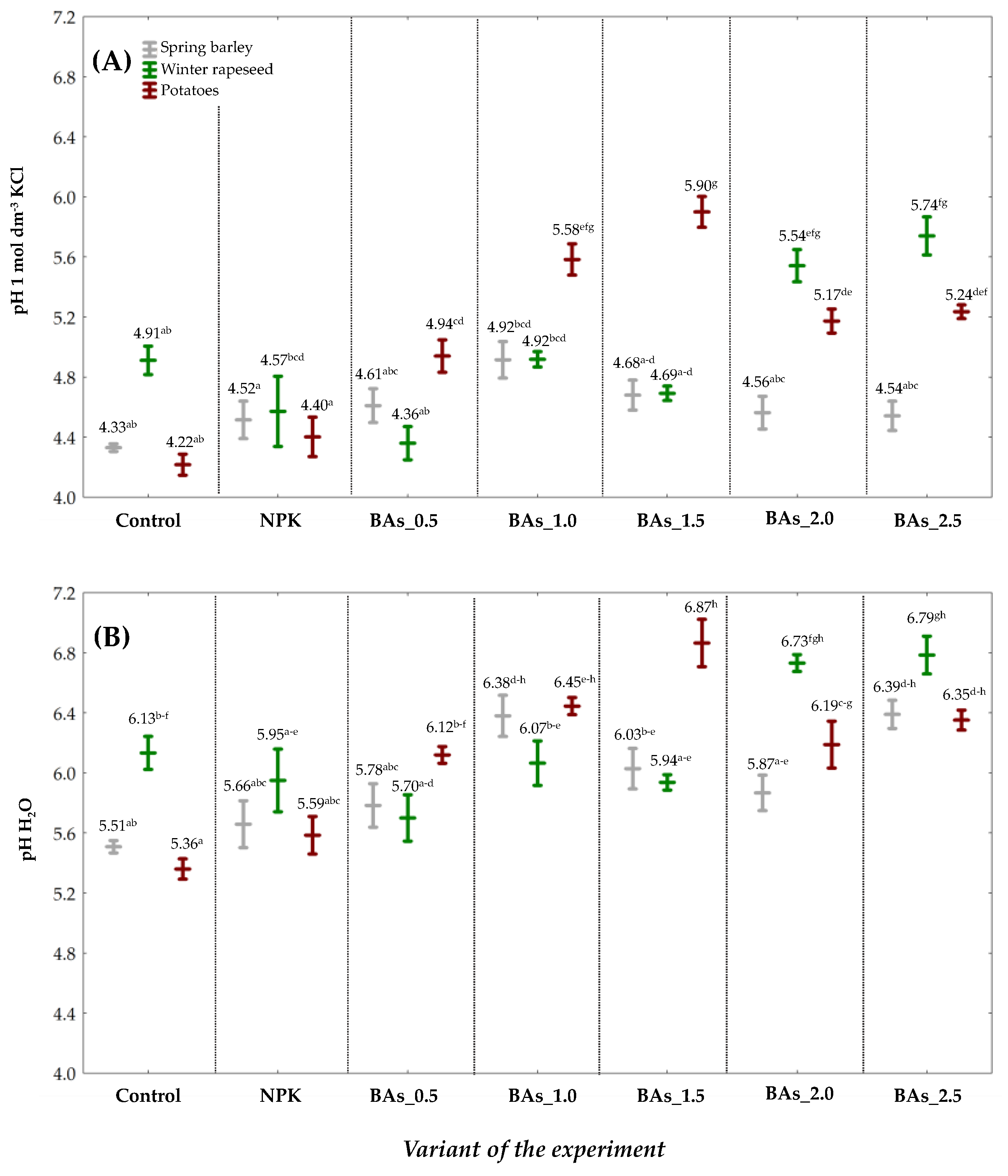
Figure 1 presents the average pH of the soil from the three-year field experiment. Overall, all applications of BAs resulted in a significant increase (p < 0.000) in soil pH (Table 2) compared to the control, which received no K fertilizer. This effect was further modified by the crop plant species (p < 0.000) (Figure 1, Table 2).
Figure 1.
Effect of ashes from biomass combustion on soil pH in KCl (A) and H2O (B) under the cultivation of various crop species (mean ± SE). Mean ± standard error; identical superscripts (a, b, c…h) denote non-significant differences between means according to the post hoc Tukey’s HSD test.
Table 2.
General linear model (GLM) analysis for pH, hydrolytic acidity (HAC), electrical conductivity (EC), and Ca, Mg, K, and Na concentrations of soil determined for doses of ashes from biomass combustion (BAs_D) and crop plant species (CPS). Significant effects (p < 0.05) are shown in bold.
The original soil selected for the experiment was acidic (Table 1). After three years of research, the pH ranges of the soil in KCl and H2O in the analyzed experimental variants were found to range from 4.22 to 5.90 and from 5.36 to 6.87, respectively (Figure 1). The most significant increase in pH over the three years was observed with the highest doses of ash—BAs_2.0 and BAs_2.5—in the soils where winter rapeseed and potatoes were cultivated. A slight effect of BAs was observed in the soil under spring barley. Compared to the original soil selected for the experiment, the control soil where spring barley and potatoes were grown exhibited lower pH values, indicating progressive acidification. After three years of research, it was also found that fertilization with traditional NPK mineral fertilizers led to a gradual decrease in pH (Table 1, Figure 1). Generally, the application of BAs also resulted in a decrease in the HAC of the soil (Figure 2).
Figure 2.
Effect of ashes from biomass combustion on soil HAC under the cultivation of various crop species (mean ± SE). Mean ± standard error; identical superscripts (a, b, c, d) denote non-significant differences between means according to the post hoc Tukey’s HSD test.
Overall, all the applications of BAs resulted in a significant decrease (p < 0.000) in soil HAC (Table 2) compared to the control. The results were modified further by the interaction between the experimental factors (p < 0.001) (Figure 2, Table 2). After three years of research, the soil was generally characterized by lower average HAC values compared to the soil before the experiment. The best results were achieved with the highest dose of BAs_2.5 in the soil under winter rapeseed cultivation, where the average HAC value was 0.53 cmol(+) kg−1, representing a reduction of over 43% compared to the original soil.
Given the high pH of the BAs used in the experiment (pH = 12.8), the results obtained were expected. The literature extensively documents the reduction in soil acidification resulting from the application of BAs [9,15,34,35,36,37]. Long-term studies conducted by Jacobson et al. (2004) confirmed a sustained improvement in pH observed even 5–6 years after the application of ashes [38]. In general, the use of BAs reduces soil HAC and increases the saturation of the soil sorption complex with alkaline cations (Ca2+, Mg2+, K+, and Na+) [20]. Research conducted by Piekarczyk et al. (2012) demonstrated a significant increase in the pH value of light soil when at least 2 Mg of BAs per hectare was applied. According to other studies, a significant increase in pH was achieved with a minimum dose of 8 Mg ha−1 [15]. In our research, the maximum dose of BAs was 2.5 Mg ha−1. Particularly with lower doses, this may not result in noticeable effects regarding reduced hydrolytic acidity (HAC) and increased pH. It is important to note that, due to their significant content of alkaline substances, the application of excessively high doses of ashes may produce undesirable outcomes, such as increased leaching of nutrients and pollutants, as observed by previous studies [39]. It has been indicated that BAs are most effective in altering pH in strongly acidic soils with low organic matter content. BAs react much more quickly in soil than lime, leading to a more substantial increase in pH, although this effect tends to be relatively short-lived [13]. As demonstrated by Hansen et al. (2017), pH changes in the topsoil exhibit the greatest dynamics within the first 50 days following BA application. It has also been noted that the application of BAs can cause extreme fluctuations in pH, particularly in the top layer of the soil (pH = 11.0–4.4); therefore, this should be considered in realistic assessments of their impact on pH changes and the associated soil properties [40].
The content of various salts in the soil can be determined indirectly by measuring their concentration in the soil solution through electrolytic conductivity (EC). Soils for the cultivation of most crops should not exhibit signs of salinity, as salinity leads to soil degradation and reduced plant productivity [41,42]. Soil EC is influenced by several factors, including soil moisture, ion content, clay particle content, and bulk density [43]. Based on EC values, the following salinity classification is adopted: 0–2 dS m−1 for non-saline soils, 2–4 dS m−1 for slightly saline soils, 4–8 dS m−1 for saline soils, 8–16 dS m−1 for strongly saline soils, and >16 dS m−1 for very strongly saline soils [44]. According to this classification, the analyzed soil in the 0–30 cm layer was characterized by low salinity (EC = 68 µS cm−1) before the experiment (Table 1). The use of BAs in the present study did not affect the soil salinity class. The data indicate that the average EC values, depending on the experimental variant, showed considerable variability, ranging from 43.5 to 141.0 µS cm−1 (Figure 3).
Figure 3.
Effect of ashes from biomass combustion on soil EC under the cultivation of various crop species (mean ± SE). Mean ± standard error; identical superscripts (a, b, c) denote non-significant differences between means according to the post hoc Tukey’s HSD test.
The changes in soil EC during the study period significantly depended on the species of the cultivated plants only (p < 0.001) (Table 2). In general, the soil under winter rape cultivation exhibited higher average EC values than the original soil, and this pattern was consistent across all the experimental treatments. The comparison of the individual experimental treatments revealed that, regardless of the fertilization applied, the average EC value was lower in the soil where potatoes were grown (Figure 3). Despite the increase in EC, the use of BAs did not result in a change in the soil salinity class. After three years of using BAs, salinity remained low regardless of the species of the cultivated plant. This indicates that the concentration of salts present in the soil was at a level tolerated by all the species grown. The results obtained in this study differ from those reported by Matsi and Keramidas (1999), who found a significant increase in EC values, which peaked at 2.5 mS cm−1, indicating a high degree of soil salinization due to the use of BAs. Such salinization can be harmful to various plant species, particularly woody plants. Simultaneously, these studies show that the increase in soil salinity caused by BA application follows a similar trend to that of pH [45]. In a study conducted by Ribeiro et al. (2018), it was also found that the application of BAs led to a fourfold increase in EC values in the surface layer of the soil, compared to the control. This increase in salinity was attributed to the high sodium content in the applied ash [46]. Similarly, Ondrasek et al. (2021) and Schönegger et al. (2018) reported increased soil salinity as a result of using wood biomass ash [37,47]. Due to their high content of alkaline components, BAs are characterized by elevated electrolytic conductivity, which can be detrimental to many plant species. The BAs used in our research were characterized by high salinity, with an EC value of 8.81 mS cm−1. Despite these elevated EC values in BAs, their application over the three years did not result in a change in the soil salinity class.
As mentioned earlier, BAs contain a substantial amount of alkaline components, which can positively influence changes in soil pH and acidity but may also lead to excessive salinization [20,21]. Therefore, the impact of BAs on the content of Ca, Mg, K, and Na was analyzed. These elements are not only important plant nutrients but also directly affect changes in soil properties, including pH and EC [48]. Among the analyzed elements, K and Ca were the most abundant in the BAs used in the experiment, reflecting the original composition of the type of biomass burned, as noted in the literature [49]. The content of Mg and Na was also consistent with the information presented in the literature regarding certain types of BAs [50]. The relatively high concentrations of Ca, Mg, K, and Na in the BAs utilized in the experiment generally led to an increase in the levels of these elements in the soil surface layer, with the extent of this effect varying according to the species of the cultivated plant (Table 1 and Table 3).
Table 3.
Effect of ashes from biomass combustion on Ca, Mg, K, and Na concentrations in soil under the cultivation of various crop species (mean ± SE).
As shown in Table 3, the content of Ca, Mg, K, and Na in the soil after the application of BAs varied, depending on the experimental variant and the cultivated plant species. Overall, during the three years of the experiment, the average content of Ca, Mg, and K was lower in the soil under spring barley and winter rapeseed cultivation, compared to the control. However, these changes were statistically insignificant, especially after applying the highest doses of BAs. In the case of potatoes, a reverse relationship was observed; in this experimental variant, the average contents of Ca, Mg, and generally K were higher following the application of BAs. Conversely, compared to the control, the average Na content was higher in the soil in all the experimental variants under barley and potato cultivation, while it was generally lower in the soil under rapeseed cultivation. As mentioned earlier, K was the most abundant element in the BAs; however, the soil application of BAs did not result in a significant increase in K levels in the soil, as in the case of the other elements, particularly Ca and Mg. This may be due to several reasons. Firstly, K is an element that easily dissolves and migrates to groundwater. In a study on the solubility of major elements in ashes from biomass combustion, Khanna et al. (1994) found that K dissolves very quickly (over 50% of the total content), while Ca and Mg dissolve relatively quickly as the ash/water ratio increases and P remains practically insoluble [51]. In field conditions during the experiment, meteorological conditions were found to be an important factor influencing the K content in the soil, its release from BAs, and the growth and development of cultivated plant species. According to the data presented in Table S2, the individual years of the experiment varied in this regard. The highest rainfall amounts (792.4 mm) were noted in the second year of the study. In contrast, the third year recorded the lowest rainfall total of 610.3 mm. As a result, the distribution of nutrients introduced into the soil with BAs may have differed from year to year. In the years with lower rainfall, the solubility of the constituents in BAs might have been lower than in the second year of the experiment characterized by higher precipitation. With more rainfall, the greatest solubility of the components in BAs, particularly in the case of K, can be assumed. For this reason, no significant increase in the K content in the soil after the application of BAs was generally observed. It is also important to note that the cultivated plant species differ in their requirements for K. Winter rapeseed exhibits the highest K uptake, while potatoes have the lowest requirements. Therefore, in the case of potatoes, the introduction of K through BAs resulted in only a slight increase in the amount of this element in the soil, compared to the control. It is worth noting that the experiment was conducted on haplic luvisol soil with a silt granulometric composition. Such soil is inherently well-drained, which may lead to substantial leaching of K from the applied BAs [52,53]. Leaching losses of potassium (K) may have reached 22% and 16% of the applied K in sandy loam and loamy soils, respectively, in submerged moisture conditions [54]. For this reason, substituting K fertilization with BAs may prove insufficient, particularly in conditions of increased rainfall or in soils with good drainage. A better alternative might be to split the planned doses over time to provide nutrients to plants throughout the entire growing season. However, this requires further research. The absence of increased salinity, despite the high content of soluble salts in the BAs introduced into the soil, may indicate the leaching of potentially soluble nutrients. However, such changes in field conditions are difficult to capture and require detailed laboratory studies. Additionally, in other research where the effects of the same BAs on the soil were observed in controlled conditions, no significant increase in the Ca, Mg, K, and Na cations in the soil solution was found. However, a substantial increase in the concentration of these elements was noted in the seeds of spring rapeseed [11]. This may support the theory that the application of BAs induces an increase in Ca, Mg, K, and Na content in plant biomass. Changes in soil environmental properties that occur as a result of neutralizing soil acidity and the toxic effects of Al3+ contribute to better crop yields and nutrient uptake [22]. The application of BAs, similar to liming, also affects other soil properties, including its structure and biological characteristics. In general, an increase in the activity and abundance of soil microorganisms is a result of applying BAs, primarily due to the increase in pH [34,37]. The introduction of BAs, especially in acidic soils, improves conditions for the activity of nitrifying and ammonifying bacteria [55]. Although BAs do not contain N, their application can promote the mineralization of large reserves of organic N in the soil, improving its availability for cultivated plants. The application of BAs often enhances soil nutrients and plant nutrient uptake, thereby increasing crop biomass and yields [24]. Furthermore, the increase in plant biomass resulting from improved soil conditions leads to a greater accumulation of nutrients, particularly Ca, Mg, and K, which are subsequently absorbed by the plants. This may indicate a dependency on these factors. Additional studies are necessary, particularly regarding other elements in BAs, including heavy metals.
4. Conclusions
The BAs used in the experiment, even in small doses, gradually increased the pH and reduced soil acidity, which is a positive aspect of their application. The components contained in the BAs contributed to the gradual reduction in acidity over the three-year study period, thereby improving the conditions for plant growth and development. An important factor influencing the effect of the BAs is the species of the cultivated plant. Different plants have specific nutrient demands, which can affect the reactions occurring in the soil environment to differing extents. This variability should also be considered. Although no significant effect of the BAs on changes in soil salinity was observed, this parameter should be monitored closely. The granulometric composition of the soil, which influences soil permeability, plays a crucial role in this context. In our study, the soil was characterized by good permeability, which may have facilitated the leaching of the components contained in the ashes into the soil profile, explaining the lack of increases in salinity. These issues warrant further research, particularly in the context of long-term experiments.
Supplementary Materials
The following supporting information can be downloaded at: https://www.mdpi.com/article/10.3390/app14219812/s1, Figure S1. Localization of the field experiment. Table S1. Physicochemical properties of ash from biomass combustion used in the experiment (mean ± SE). Table S2. Meteorological conditions during the study period (2019–2021).
Author Contributions
Conceptualization, M.S.; methodology, M.S., K.S. and E.S.-K.; formal analysis, M.K. and N.M.; investigation, M.S., K.S. and A.I.; data curation, N.M., A.I. and M.K.; writing—original draft preparation, M.S. and A.I.; writing—review and editing, M.S. and A.I.; visualization, M.S. and N.M.; supervision, M.K. All authors have read and agreed to the published version of the manuscript.
Funding
This research received no external funding.
Institutional Review Board Statement
Not applicable.
Informed Consent Statement
Not applicable.
Data Availability Statement
The raw data supporting the conclusions of this article will be made available by the authors on request.
Acknowledgments
The authors would like to thank the anonymous reviewers for their thorough assessment of the present paper and their many valuable and helpful suggestions.
Conflicts of Interest
The authors declare no conflicts of interest.
References
- Lehmusto, J.; Tesfaye, F.; Karlström, O.; Hupa, L. Ashes from Challenging Fuels in the Circular Economy. Waste Manag. 2024, 177, 211–231. [Google Scholar] [CrossRef] [PubMed]
- DIRECTIVE (EU) 2018/2001 OF THE EUROPEAN PARLIAMENT AND OF THE COUNCIL—Of 11 December 2018—On the Promotion of the Use of Energy from Renewable Sources. Available online: https://eur-lex.europa.eu/eli/dir/2018/2001/oj (accessed on 28 September 2024).
- Hubert, J.; Grigoletto, S.; Michel, F.; Zhao, Z.; Courard, L. Development and Properties of Recycled Biomass Fly Ashes Modified Mortars. Recycling 2024, 9, 46. [Google Scholar] [CrossRef]
- Communication from the Commission to the European Parliament, The Council, The European Economic and Social Committee and the Committee of the Regions Closing the Loop—An EU Action Plan for the Circular Economy. 2015. Available online: https://eur-lex.europa.eu/resource.html?uri=cellar:8a8ef5e8-99a0-11e5-b3b7-01aa75ed71a1.0012.02/DOC_1&format=PDF (accessed on 28 September 2024).
- Thomas, B.S.; Yang, J.; Mo, K.H.; Abdalla, J.A.; Hawileh, R.A.; Ariyachandra, E. Biomass Ashes from Agricultural Wastes as Supplementary Cementitious Materials or Aggregate Replacement in Cement/Geopolymer Concrete: A Comprehensive Review. J. Build. Eng. 2021, 40, 102332. [Google Scholar] [CrossRef]
- Schiemenz, K.; Eichler-Löbermann, B. Biomass Ashes and Their Phosphorus Fertilizing Effect on Different Crops. Nutr Cycl Agroecosyst 2010, 87, 471–482. [Google Scholar] [CrossRef]
- Latawiec, A.E.; Rodrigues, A.; Korys, K.A.; Medeiros, B. Methodical Aspects of Soil Ecosystem Services Valuation. Agric. Eng. 2022, 26, 39–49. [Google Scholar] [CrossRef]
- Patterson, S.J.; Acharya, S.N.; Thomas, J.E.; Bertschi, A.B.; Rothwell, R.L. Barley Biomass and Grain Yield and Canola Seed Yield Response to Land Application of Wood Ash. Agron. J. 2004, 96, 971–977. [Google Scholar] [CrossRef]
- Shi, R.; Li, J.; Jiang, J.; Mehmood, K.; Liu, Y.; Xu, R.; Qian, W. Characteristics of Biomass Ashes from Different Materials and Their Ameliorative Effects on Acid Soils. J. Environ. Sci. 2017, 55, 294–302. [Google Scholar] [CrossRef]
- Cruz, N.C.; Silva, F.C.; Tarelho, L.A.C.; Rodrigues, S.M. Critical Review of Key Variables Affecting Potential Recycling Applications of Ash Produced at Large-Scale Biomass Combustion Plants. Resour. Conserv. Recycl. 2019, 150, 104427. [Google Scholar] [CrossRef]
- Szostek, M.; Szpunar-Krok, E.; Jańczak-Pieniążek, M.; Ilek, A. Short-Term Effect of Fly Ash from Biomass Combustion on Spring Rape Plants Growth, Nutrient, and Trace Elements Accumulation, and Soil Properties. Int. J. Environ. Res. Public Health 2022, 20, 455. [Google Scholar] [CrossRef]
- Ribeiro, J.P.; Vicente, E.D.; Gomes, A.P.; Nunes, M.I.; Alves, C.; Tarelho, L.A.C. Effect of Industrial and Domestic Ash from Biomass Combustion, and Spent Coffee Grounds, on Soil Fertility and Plant Growth: Experiments at Field Conditions. Environ. Sci. Pollut. Res. 2017, 24, 15270–15277. [Google Scholar] [CrossRef]
- Demeyer, A.; Voundi Nkana, J.C.; Verloo, M.G. Characteristics of Wood Ash and Influence on Soil Properties and Nutrient Uptake: An Overview. Bioresour. Technol. 2001, 77, 287–295. [Google Scholar] [CrossRef] [PubMed]
- Poluszyńska, J. Możliwości zastosowania popiołów ze spalania biomasy w gospodarowaniu osadami ściekowymi. Pract. Inst. Ceram. I Mater. Bud. 2013, 6, 49–59. [Google Scholar]
- Piekarczyk, M.; Kotwica, K.; Jaskulski, D. Effect of spring barley straw ash on the chemical properties of light soil. Fragm. Agron. 2011, 28, 91–99. Available online: https://pta.up.poznan.pl/pdf/2011/FA%2028(3)%202011%20Piekarczyk.pdf (accessed on 28 September 2024). (In Polish).
- Ochal, P.; Smreczak, B. Soil acidification and current issues of liming. Studia i Raporty IUNG-PIB 2020, 63, 9–19. (In Polish) [Google Scholar] [CrossRef]
- Barwicki, J.; Borusiewicz, A.; Holden, L.; Kulcsar, L.; Skibko, Z.; Żuchowski, I.; Romaniuk, W. Leaching of Elements from Soil in Grassland Field Crops Treated with Raw and Acidified Slurry. Agric. Eng. 2022, 26, 145–156. [Google Scholar] [CrossRef]
- Mostafazadeh, B.; Fard; Heidarpour, M.; Aghakhani, A.; Feizi, M. Effect of Irrigation Water Salinity and Leaching on Soil Chemical Properties in an Arid Region. Int. J. Agric. Biol. 1560, 8530, 3–9. [Google Scholar]
- Trivedi, N.S.; Mandavgane, S.A.; Mehetre, S.; Kulkarni, B.D. Characterization and Valorization of Biomass Ashes. Environ. Sci. Pollut. Res. 2016, 23, 20243–20256. [Google Scholar] [CrossRef]
- Huotari, N.; Tillman-Sutela, E.; Kubin, E. Ground Vegetation Has a Major Role in Element Dynamics in an Ash-Fertilized Cut-Away Peatland. For. Ecol. Manag. 2011, 261, 2081–2088. [Google Scholar] [CrossRef]
- Kramar, V.G. PROBLEMS OF BIOMASS ASH UTILIZATION FROM BOILER HOUSES IN UKRAINE. Thermophys. Therm. Power Eng. 2021, 43, 71–77. [Google Scholar] [CrossRef]
- Grzebisz, W.; Zielewicz, W.; Przygocka-Cyna, K. Deficiencies of Secondary Nutrients in Crop Plants—A Real Challenge to Improve Nitrogen Management. Agronomy 2022, 13, 66. [Google Scholar] [CrossRef]
- Zając, G.; Szyszlak-Bargłowicz, J.; Gołębiowski, W.; Szczepanik, M. Chemical Characteristics of Biomass Ashes. Energies 2018, 11, 2885. [Google Scholar] [CrossRef]
- Yu, C.-L.; Deng, Q.; Jian, S.; Li, J.; Dzantor, E.K.; Hui, D. Effects of Fly Ash Application on Plant Biomass and Element Accumulations: A Meta-Analysis. Environ. Pollut. 2019, 250, 137–142. [Google Scholar] [CrossRef] [PubMed]
- Harinarayanan, M.N.; Ramanatha, S.; Nagarajan, K.; Kalarani, M.K.; Sathyamoorthy, N.K.; Geethalakshmi, I.; Ramya, S. Soil and Water Conservation Engineering Techniques to Modify the Rhizosphere Climate of Cucumber (Cucumis sativus L.) for Improving Water Use Efficiency and Yield. Agric. Eng. 2022, 26, 201–213. [Google Scholar] [CrossRef]
- IUSS Working Group WRB. World Reference Base for Soil Resources. In International Soil Classification System for Naming Soils and Creating Legends for Soil Maps, 4th ed.; International Union of Soil Sciences (IUSS): Vienna, Austria, 2022. [Google Scholar]
- Qu, Z.; Fatehi, H.; Schmidt, F.M. Potassium Release from Biomass Particles during Combustion—Real-Time In Situ TDLAS Detection and Numerical Simulation. Appl. Sci. 2021, 11, 8887. [Google Scholar] [CrossRef]
- Szostek, M.; Szpunar-Krok, E.; Ilek, A. Chemical Speciation of Trace Elements in Soil Fertilized with Biomass Combustion Ash and Their Accumulation in Winter Oilseed Rape Plants. Agronomy 2023, 13, 942. [Google Scholar] [CrossRef]
- Szpunar-Krok, E.; Szostek, M.; Pawlak, R.; Gorzelany, J.; Migut, D. Effect of Fertilisation with Ash from Biomass Combustion on the Mechanical Properties of Potato Tubers (Solanum tuberosum L.) Grown in Two Types of Soil. Agronomy 2022, 12, 379. [Google Scholar] [CrossRef]
- Pycia, K.; Szupnar-Krok, E.; Szostek, M.; Pawlak, R.; Juszczak, L. Effect of Soil Type and Application of Ecological Fertilizer Composed of Ash from Biomass Combustion on Selected Physicochemical, Thermal, and Rheological Properties of Potato Starch. Molecules 2022, 27, 4318. [Google Scholar] [CrossRef]
- Pycia, K.; Szpunar-Krok, E.; Szostek, M.; Pawlak, R.; Juszczak, L. Selected Physicochemical, Thermal, and Rheological Properties of Barley Starch Depending on the Type of Soil and Fertilization with Ash from Biomass Combustion. Foods 2023, 13, 49. [Google Scholar] [CrossRef]
- Wyszkowski, M.; Modrzewska, B. Acidity and sorption properties of zinc-contaminated soil following the application of neutralising substances added. J. Ecol. Eng. 2016, 17, 63–68. [Google Scholar] [CrossRef]
- Sommers, L.E.; Nelson, D.W. Determination of Total Phosphorus in Soils: A Rapid Perchloric Acid Digestion Procedure. Soil Sci. Soc. Am. J. 1972, 36, 902–904. [Google Scholar] [CrossRef]
- Perucci, P.; Monaci, E.; Onofri, A.; Vischetti, C.; Casucci, C. Changes in Physico-Chemical and Biochemical Parameters of Soil Following Addition of Wood Ash: A Field Experiment. Eur. J. Agron. 2008, 28, 155–161. [Google Scholar] [CrossRef]
- Meller, E.; Bilenda, E. Effects of biomass ash on the physicochemical properties of light soil. Polityka Energetyczna—Energy Policy J. 2012, 15, 287–292. [Google Scholar]
- Saletnik, B.; Zagula, G.; Bajcar, M.; Czernicka, M.; Puchalski, C. Biochar and Biomass Ash as a Soil Ameliorant: The Effect on Selected Soil Properties and Yield of Giant Miscanthus (Miscanthus x Giganteus). Energies 2018, 11, 2535. [Google Scholar] [CrossRef]
- Schönegger, D.; Gómez-Brandón, M.; Mazzier, T.; Insam, H.; Hermanns, R.; Leijenhorst, E.; Bardelli, T.; Fernández-Delgado Juárez, M. Phosphorus Fertilising Potential of Fly Ash and Effects on Soil Microbiota and Crop. Resour. Conserv. Recycl. 2018, 134, 262–270. [Google Scholar] [CrossRef]
- Jacobson, S.; Högbom, L.; Ring, E.; Nohrstedt, H.-Ö. Effects of Wood Ash Dose and Formulation on Soil Chemistry at Two Coniferous Forest Sites. Water Air Soil Pollut. 2004, 158, 113–125. [Google Scholar] [CrossRef]
- Pasquali, M.; Zanoletti, A.; Benassi, L.; Federici, S.; Depero, L.E.; Bontempi, E. Stabilized Biomass Ash as a Sustainable Substitute for Commercial P-fertilizers. Land Degrad. Dev. 2018, 29, 2199–2207. [Google Scholar] [CrossRef]
- Hansen, M.; Kepfer-Rojas, S.; Bjerager, P.E.R.; Holm, P.E.; Skov, S.; Ingerslev, M. Effects of Ash Application on Nutrient and Heavy Metal Fluxes in the Soil and Soil Solution in a Norway Spruce Plantation in Denmark. For. Ecol. Manag. 2018, 424, 494–504. [Google Scholar] [CrossRef]
- Małuszyńska, I.; Małuszyński, M.J. Study of soil salinity on growth and advancement of selected plants species. Inżynieria Ekol. 2009, 21, 32–39. Available online: http://www.archive.ecoeet.com/pdf/21/5.pdf (accessed on 28 September 2024). (In Polish).
- Telesiński, A. The effect of salinity on some biochemical indices of soil fertility. Water-Environ.-Rural A Reas 2012, 12, 209–217. [Google Scholar]
- Zhang, R.; Wienhold, B.J. The Effect of Soil Moisture on Mineral Nitrogen, Soil Electrical Conductivity, and pH. Nutr. Cycl. Agroecosystems 2002, 63, 251–254. [Google Scholar] [CrossRef]
- Allison, L.E.; Bernstein, L.; Bower, C.A.; Brown, J.W.; Fireman, M.; Hatcher, J.T.; Hayward, H.E.; Pearson, G.A.; Reeve, R.C.; Richards, A. United States Salinity Laboratory Staff. Available online: https://www.ars.usda.gov/ARSUserFiles/20360500/hb60_pdf/hb60complete.pdf (accessed on 28 September 2024).
- Matsi, T.; Keramidas, V.Z. Fly Ash Application on Two Acid Soils and Its Effect on Soil Salinity, pH, B, P and on Ryegrass Growth and Composition. Environ. Pollut. 1999, 104, 107–112. [Google Scholar] [CrossRef]
- Ribeiro, J.P.; Tarelho, L.; Gomes, A.P. Incorporation of Biomass Fly Ash and Biological Sludge in the Soil: Effects along the Soil Profile and in the Leachate Water. J. Soils Sediments 2018, 18, 2023–2031. [Google Scholar] [CrossRef]
- Ondrasek, G.; Zovko, M.; Kranjčec, F.; Savić, R.; Romić, D.; Rengel, Z. Wood Biomass Fly Ash Ameliorates Acidic, Low-Nutrient Hydromorphic Soil & Reduces Metal Accumulation in Maize. J. Clean. Prod. 2021, 283, 124650. [Google Scholar] [CrossRef]
- Tiecher, T.; Gatiboni, L.; dos Santos, D.R.; Bissani, C.A.; Martins, A.P.; Gianello, C.; Dick, D.P.; Bortoluzzi, E.C.; Escosteguy, P.A.V.; da Silva, L.S.; et al. Base Saturation Is an Inadequate Term for Soil Science. Rev. Bras. Ciênc. Solo 2023, 46, e0220125. [Google Scholar] [CrossRef]
- Vassilev, S.V.; Baxter, D.; Andersen, L.K.; Vassileva, C.G. An Overview of the Chemical Composition of Biomass. Fuel 2010, 89, 913–933. [Google Scholar] [CrossRef]
- Vassilev, S.V.; Vassileva, C.G.; Baxter, D. Trace Element Concentrations and Associations in Some Biomass Ashes. Fuel 2014, 129, 292–313. [Google Scholar] [CrossRef]
- Khanna, P.K.; Raison, R.J.; Falkiner, R.A. Chemical Properties of Ash Derived from Eucalyptus Litter and Its Effects on Forest Soils. For. Ecol. Manag. 1994, 66, 107–125. [Google Scholar] [CrossRef]
- Singh, V.K.; Dwivedi, B.S.; Rathore, S.S.; Mishra, R.P.; Satyanarayana, T.; Majumdar, K. Timing Potassium Applications to Synchronize with Plant Demand. In Improving Potassium Recommendations for Agricultural Crops; Murrell, T.S., Mikkelsen, R.L., Sulewski, G., Norton, R., Thompson, M.L., Eds.; Springer International Publishing: Cham, Switzerland, 2021; pp. 363–384. ISBN 978-3-030-59196-0. [Google Scholar]
- Czyżyk, F.; Rajmund, A. Leaching of Biogenic Elements (NPK) from Fertilized Light Soil. Proc. ECOpole 2014, 8, 369–375. [Google Scholar] [CrossRef]
- Singh, Y.-S.; Singh, B.; Timsina, J. Crop Residue Management for Nutrient Cycling and Improving Soil Productivity in Rice-Based Cropping Systems in the Tropics. In Advances in Agronomy; Elsevier: Amsterdam, The Netherlands, 2005; Volume 85, pp. 269–407. ISBN 978-0-12-000783-7. [Google Scholar]
- Kramar, V. POSSIBLE UTILIZATION DIRECTIONS OF ASH FROM BIOMASS COMBUSTION. BIOMASS ASH AS FERTILIZER IN AGRICULTURE. 2020. Available online: https://uabio.org/wp-content/uploads/2020/12/AZ_Kramar_Zastosuvannya-zoly-biomasy-yak-dobryva_fin_en2.pdf (accessed on 28 September 2024).
Disclaimer/Publisher’s Note: The statements, opinions and data contained in all publications are solely those of the individual author(s) and contributor(s) and not of MDPI and/or the editor(s). MDPI and/or the editor(s) disclaim responsibility for any injury to people or property resulting from any ideas, methods, instructions or products referred to in the content. |
© 2024 by the authors. Licensee MDPI, Basel, Switzerland. This article is an open access article distributed under the terms and conditions of the Creative Commons Attribution (CC BY) license (https://creativecommons.org/licenses/by/4.0/).




