Impact of Combined Exercise and High-Intensity Interval Training on 6-Minute Walk Test Dynamics in Heart Failure Patients with Preserved Ejection Fraction: Results from the ExIC-FEp Trial
Abstract
1. Introduction
2. Materials and Methods
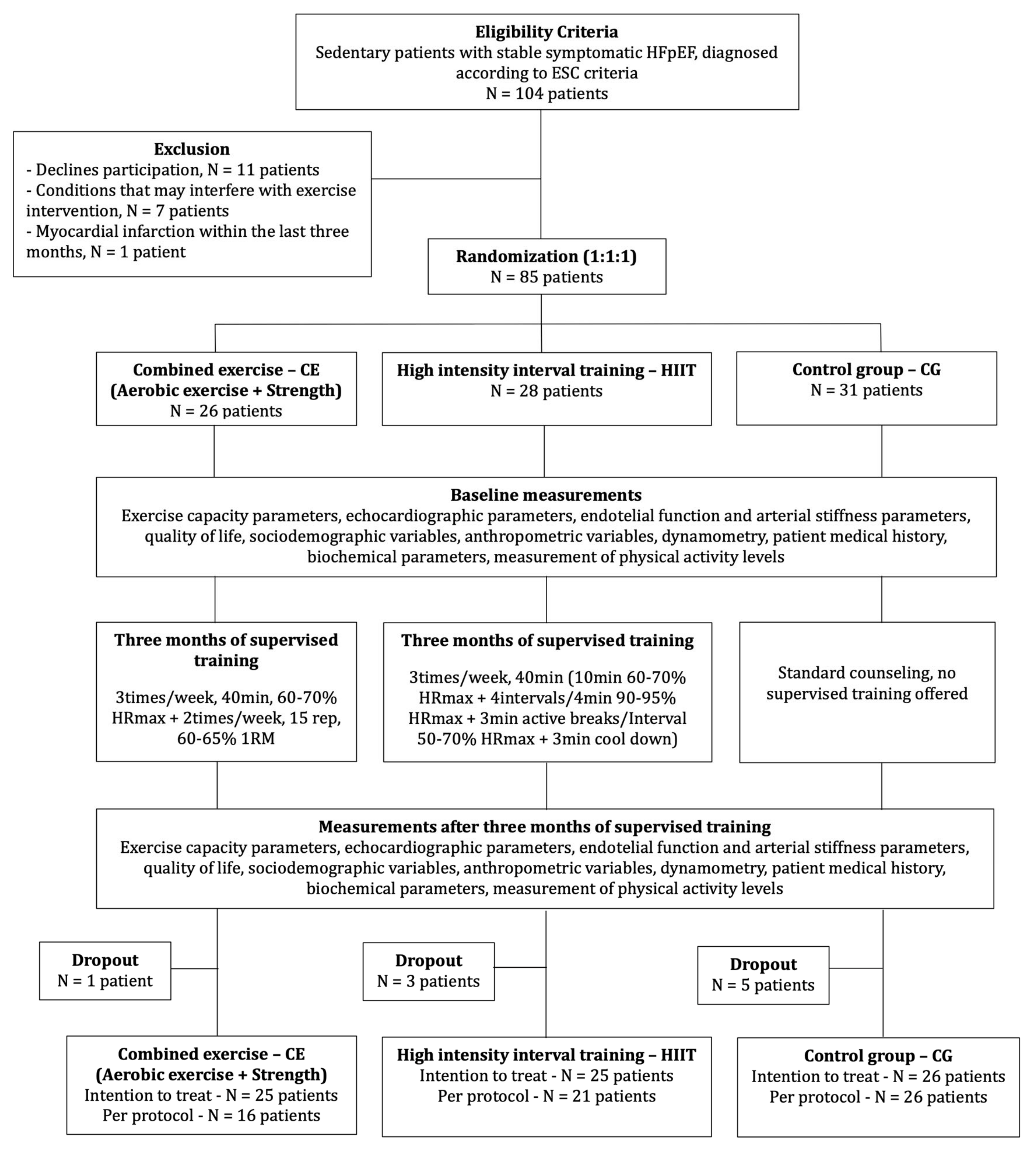
2.1. Participants
2.1.1. Inclusion Criteria
- -
- HFpEF (diagnosis according to ESC 2021 criteria):
- (a)
- Signs and symptoms of HF.
- (b)
- Left ventricular ejection fraction (LVEF) ≥ 50%.
- (c)
- Objective evidence of cardiac structural and/or functional abnormalities consistent with the presence of left ventricular diastolic dysfunction/elevated left ventricular filling pressures, including elevated natriuretic peptide.
- -
- Sedentary men and women (structured exercise < 2 × 30 min/week).
- -
- Age ≥ 40 years.
- -
- Written informed consent.
- -
- Clinically stable for ≥6 weeks.
- -
- Optimal medical treatment for ≥6 weeks.
2.1.2. Exclusion Criteria
- -
- Noncardiac causes of heart failure symptoms:
- (a)
- Significant valvular or coronary artery disease.
- (b)
- Uncontrolled hypertension or arrhythmias.
- (c)
- Primary cardiomyopathies.
- -
- Significant pulmonary disease (forced expiratory volume in the first second [FEV1] <50% predicted, Global Initiative for Chronic Obstructive Lung Disease [GOLD] III-IV).
- -
- Exercise disability or conditions that may interfere with exercise intervention.
- -
- Myocardial infarction within the last 3 months.
- -
- Signs of ischemia during the maximal cardiopulmonary stress test.
- -
- Comorbidities (renal failure, cancer, and cognitive impairment) may influence patient prognosis for 1 year.
- -
- Participation in another clinical trial.
2.2. Randomization and Intervention Characteristics
- -
- CE Group: These participants exercised on the ergometer bike for 40 min, three times per week. The exercise intensity was maintained at 50–60% of their VO2max and 60–70% of their HRmax and was rated at 11–13 on the Borg scale, ensuring that no respiratory discomfort occurred. Additionally, they took part in strength training twice a week, performing exercises such as bench presses, leg presses, leg curls, rowing, triceps dips, and pec pull. Each session consisted of 15 repetitions per exercise, with a load set at 60–65% of their one-repetition maximum (1RM), which was assessed at both the start and conclusion of the intervention.
- -
- HIIT Group: This group participated in three weekly sessions, starting with a 10-minute warm-up at a moderate intensity (50–60% VO2max, 60–70% HRmax, and a rating of 11–13 on the Borg scale without respiratory discomfort). After the warm-up, they completed four high-intensity intervals, each lasting 4 min, with intensity levels of 85–90% of VO2max and 90–95% of HRmax, and they were rated 15–17 on the Borg scale, accompanied by mild respiratory discomfort. Between each interval, there was 3 min of active recovery at 50–70% HRmax. Each session ended with a 3-minute cool-down at moderate intensity (50–60% VO2max, 60–70% HRmax, and 11–13 on the Borg scale). The total duration of each session was 40 min.
- -
- CG Group: Participants in this group received general advice on the benefits of physical exercise for cardiovascular health, following standard guidelines. They were encouraged to engage in 30 min of walking on most days of the week and to maintain their usual daily physical activities throughout the study [28].
2.3. Outcomes
2.4. Statistical Analysis
3. Results
3.1. Baseline Characteristics of the Sample
3.2. Six-Minute Walk Test Dynamics
- Cadence: In the intention-to-treat analysis, significant improvements in cadence were observed in the CE group compared with the CG (p = 0.009), with the HIIT group showing nonsignificant changes. The per-protocol analysis further confirmed these findings, with the CE group showing significantly greater improvements than both the HIIT and CG groups did (p = 0.002).
- Distance: While the intention-to-treat analysis revealed nonsignificant differences in walking distance among the groups (p = 0.133), the per-protocol analysis revealed significant improvements in the CE group compared with the other groups (p = 0.034).
- HRmax: Compared with the other groups, the CE group presented a significant increase in HRmax in both the intention-to-treat (p = 0.006) and per-protocol analyses (p < 0.001).
- Exercise Intensity: In the intention-to-treat analysis, exercise intensity increased significantly in the CE group compared with the CG (p = 0.004). The per-protocol analysis also revealed a significant increase in the CE group compared with both the HIIT and CG groups (p < 0.001).
3.3. Subgroup Analyses for 6-Minute Walk Test Dynamics
3.4. Associations Between Changes in Cadence and Distance, HRmax, and Exercise Intensity in the 6-Minute Walk Test
4. Discussion
5. Conclusions
Author Contributions
Funding
Institutional Review Board Statement
Informed Consent Statement
Data Availability Statement
Conflicts of Interest
References
- Oeun, B.; Hikoso, S.; Nakatani, D.; Mizuno, H.; Suna, S.; Kitamura, T.; Okada, K.; Dohi, T.; Sotomi, Y.; Kojima, T.; et al. Prognostic Impact of Echocardiographic Diastolic Dysfunction on Outcomes in Patients with Heart Failure with Preserved Ejection Fraction—Insights From the PURSUIT-HFpEF Registry. Circ. J. 2021, 86, 23–33. [Google Scholar] [CrossRef] [PubMed]
- Abbate, A.; Arena, R.; Abouzaki, N.; Van Tassell, B.W.; Canada, J.; Shah, K.; Biondi-Zoccai, G.; Voelkel, N.F. Heart failure with preserved ejection fraction: Refocusing on diastole. Int. J. Cardiol. 2015, 179, 430–440. [Google Scholar] [CrossRef]
- Packer, M. Do most patients with obesity or type 2 diabetes, and atrial fibrillation, also have undiagnosed heart failure? A critical conceptual framework for understanding mechanisms and improving diagnosis and treatment. Eur. J. Heart Fail. 2020, 22, 214–227. [Google Scholar] [CrossRef] [PubMed]
- Larson, K.; Omar, M.; Sorimachi, H.; Omote, K.; Alogna, A.; Popovic, D.; Tada, A.; Doi, S.; Naser, J.; Reddy, Y.N.V.; et al. Clinical phenogroup diversity and multiplicity: Impact on mechanisms of exercise intolerance in heart failure with preserved ejection fraction. Eur. J. Heart Fail. 2024, 26, 564–577. [Google Scholar] [CrossRef]
- Upadhya, B.; Taffet, G.E.; Cheng, C.P.; Kitzman, D.W. Heart failure with preserved ejection fraction in the elderly: Scope of the problem. J. Mol. Cell. Cardiol. 2015, 83, 73–87. [Google Scholar]
- Gevaert, A.B.; Kataria, R.; Zannad, F.; Sauer, A.J.; Damman, K.; Sharma, K.; Shah, S.J.; Van Spall, H.G.C. Heart failure with preserved ejection fraction: Recent concepts in diagnosis, mechanisms and management. Heart 2022, 108, 1342–1350. [Google Scholar] [CrossRef]
- Tschöpe, C.; Birner, C.; Böhm, M.; Bruder, O.; Frantz, S.; Luchner, A.; Maier, L.; Störk, S.; Kherad, B.; Laufs, U. Heart failure with preserved ejection fraction: Current management and future strategies: Expert opinion on the behalf of the Nucleus of the “Heart Failure Working Group” of the German Society of Cardiology (DKG). Clin. Res. Cardiol. 2018, 107, 1–19. [Google Scholar] [CrossRef]
- Bonsu, K.O.; Arunmanakul, P.; Chaiyakunapruk, N. Pharmacological treatments for heart failure with preserved ejection fraction-a systematic review and indirect comparison. Heart Fail. Rev. 2018, 23, 147–156. [Google Scholar] [CrossRef]
- Zhou, H.; Peng, W.; Li, F.; Wang, Y.; Wang, B.; Ding, Y.; Lin, Q.; Zhao, Y.; Pan, G.; Wang, X. Effect of Sodium-Glucose Cotransporter 2 Inhibitors for Heart Failure with Preserved Ejection Fraction: A Systematic Review and Meta-Analysis of Randomized Clinical Trials. Front. Cardiovasc. Med. 2022, 9, 875327. [Google Scholar]
- Alonso, W.W.; Kupzyk, K.A.; Norman, J.F.; Lundgren, S.W.; Fisher, A.; Lindsey, M.L.; Keteyian, S.J.; Pozehl, B.J. The HEART Camp Exercise Intervention Improves Exercise Adherence, Physical Function, and Patient-Reported Outcomes in Adults with Preserved Ejection Fraction Heart Failure. J. Card. Fail. 2022, 28, 431–442. [Google Scholar] [CrossRef]
- Cavero-Redondo, I.; Martínez-García, I.; Saz-Lara, A.; Garcia-Klepzig, J.L.; Álvarez-Bueno, C.; Martínez-Vizcaino, V. Comparative effect of different physical exercise training on exercise capacity and cardiac function in heart failure with preserved ejection fraction: A network meta-analysis-ExIC-FEp Study. Eur. J. Cardiovasc. Nurs. 2023, 22, 669–678. [Google Scholar] [CrossRef] [PubMed]
- Fukuta, H.; Goto, T.; Wakami, K.; Ohte, N. Effects of drug and exercise intervention on functional capacity and quality of life in heart failure with preserved ejection fraction: A meta-analysis of randomized controlled trials. Eur. J. Prev. Cardiol. 2016, 23, 78–85. [Google Scholar] [CrossRef] [PubMed]
- Guo, Y.; Xiao, C.; Zhao, K.; He, Z.; Liu, S.; Wu, X.; Shi, S.; Chen, Z.; Shi, R. Physical Exercise Modalities for the Management of Heart Failure with Preserved Ejection Fraction: A Systematic Review and Meta-Analysis. J. Cardiovasc. Pharmacol. 2022, 79, 698–710. [Google Scholar] [CrossRef]
- Fu, T.C.; Yang, N.I.; Wang, C.H.; Cherng, W.J.; Chou, S.L.; Pan, T.L.; Wang, J.S. Aerobic Interval Training Elicits Different Hemodynamic Adaptations Between Heart Failure Patients with Preserved and Reduced Ejection Fraction. Am. J. Phys. Med. Rehabil. 2016, 95, 15–27. [Google Scholar] [CrossRef]
- Kitzman, D.W.; Brubaker, P.H.; Herrington, D.M.; Morgan, T.M.; Stewart, K.P.; Hundley, W.G.; Abdelhamed, A.; Haykowsky, M.J. Effect of endurance exercise training on endothelial function and arterial stiffness in older patients with heart failure and preserved ejection fraction: A randomized, controlled, single-blind trial. J. Am. Coll. Cardiol. 2013, 62, 584–592. [Google Scholar] [CrossRef]
- Sachdev, V.; Sharma, K.; Keteyian, S.J.; Alcain, C.F.; Desvigne-Nickens, P.; Fleg, J.L.; Florea, V.G.; Franklin, B.A.; Guglin, M.; Halle, M.; et al. Supervised Exercise Training for Chronic Heart Failure with Preserved Ejection Fraction: A Scientific Statement From the American Heart Association and American College of Cardiology. J. Am. Coll. Cardiol. 2023, 81, 1524–1542. [Google Scholar] [CrossRef]
- Sandbakk, Ø.; Haugen, T.; Ettema, G. The Influence of Exercise Modality on Training Load Management. Int. J. Sports Physiol. Perform. 2021, 16, 605–608. [Google Scholar] [CrossRef]
- Fuentes-Abolafio, I.J.; Trinidad-Fernández, M.; Escriche-Escuder, A.; Roldán-Jiménez, C.; Arjona-Caballero, J.M.; Bernal-López, M.R.; Ricci, M.; Gómez-Huelgas, R.; Pérez-Belmonte, L.M.; Cuesta-Vargas, A.I. Kinematic Parameters That Can Discriminate in Levels of Functionality in the Six-Minute Walk Test in Patients with Heart Failure with a Preserved Ejection Fraction. J. Clin. Med. 2022, 12, 241. [Google Scholar] [CrossRef] [PubMed]
- Tudor-Locke, C.; Han, H.; Aguiar, E.J.; Barreira, T.V.; Schuna, J.M., Jr.; Kang, M.; Rowe, D.A. How fast is fast enough? Walking cadence (steps/min) as a practical estimate of intensity in adults: A narrative review. Br. J. Sports Med. 2018, 52, 776–788. [Google Scholar] [CrossRef] [PubMed]
- Qiao, Y.S.; Santanasto, A.J.; Coen, P.M.; Cawthon, P.M.; Cummings, S.R.; Forman, D.E.; Goodpaster, B.H.; Harezlak, J.; Hawkins, M.; Kritchevsky, S.B.; et al. Associations between skeletal muscle energetics and accelerometry-based performance fatigability: Study of Muscle, Mobility and Aging. Aging Cell 2024, 23, e14015. [Google Scholar] [CrossRef]
- Baril, J.F.; Bromberg, S.; Moayedi, Y.; Taati, B.; Manlhiot, C.; Ross, H.J.; Cafazzo, J. Use of Free-Living Step Count Monitoring for Heart Failure Functional Classification: Validation Study. JMIR Cardio 2019, 3, e12122. [Google Scholar] [CrossRef] [PubMed]
- Watanabe, T.; Murase, N.; Kime, R.; Kurosawa, Y.; Fuse, S.; Hamaoka, T. Effects of Exercise Training on Cardiac and Skeletal Muscle Functions in Patients with Chronic Heart Failure. Adv. Exp. Med. Biol. 2021, 1269, 101–105. [Google Scholar] [PubMed]
- Cuesta-Vargas, A.I.; Fuentes-Abolafio, I.J.; García-Conejo, C.; Díaz-Balboa, E.; Trinidad-Fernández, M.; Gutiérrez-Sánchez, D.; Escriche-Escuder, A.; Cobos-Palacios, L.; López-Sampalo, A.; Pérez-Ruíz, J.M.; et al. Effectiveness of a cardiac rehabilitation program on biomechanical, imaging, and physiological biomarkers in elderly patients with heart failure with preserved ejection fraction (HFpEF): FUNNEL + study protocol. BMC Cardiovasc. Disord. 2023, 23, 550. [Google Scholar] [CrossRef]
- Cavero-Redondo, I.; Saz-Lara, A.; Bizzozero-Peroni, B.; Núñez-Martínez, L.; Díaz-Goñi, V.; Calero-Paniagua, I.; Martínez-García, I.; Pascual-Morena, C. Accuracy of the 6-Minute Walk Test for Assessing Functional Capacity in Patients with Heart Failure with Preserved Ejection Fraction and Other Chronic Cardiac Pathologies: Results of the ExIC-FEp Trial and a Meta-Analysis. Sports Med. Open 2024, 10, 74. [Google Scholar] [CrossRef]
- Cohen, J.F.; Korevaar, D.A.; Altman, D.G.; Bruns, D.E.; Gatsonis, C.A.; Hooft, L.; Irwig, L.; Levine, D.; Reitsma, J.B.; de Vet, H.C.; et al. STARD 2015 guidelines for reporting diagnostic accuracy studies: Explanation and elaboration. BMJ Open 2016, 6, e012799. [Google Scholar] [CrossRef]
- Cavero-Redondo, I.; Saz-Lara, A.; Martínez-García, I.; Bizzozero-Peroni, B.; Díaz-Goñi, V.; Díez-Fernández, A.; Moreno-Herráiz, N.; Pascual-Morena, C. Comparative Effect of Two Types of Physical Exercise for the Improvement of Exercise Capacity, Diastolic Function, Endothelial Function and Arterial Stiffness in Participants with Heart Failure with Preserved Ejection Fraction (ExIC-FEp Study): Protocol for a Randomized Controlled Trial. J. Clin. Med. 2023, 12, 3535. [Google Scholar] [CrossRef]
- McDonagh, T.A.; Metra, M.; Adamo, M.; Gardner, R.S.; Baumbach, A.; Böhm, M.; Burri, H.; Butler, J.; Čelutkienė, J.; Chioncel, O.; et al. 2021 ESC Guidelines for the diagnosis and treatment of acute and chronic heart failure: Developed by the Task Force for the diagnosis and treatment of acute and chronic heart failure of the European Society of Cardiology (ESC) with the special contribution of the Heart Failure Association (HFA) of the ESC. Rev. Esp. Cardiol. (Engl. Ed.) 2022, 75, 523. [Google Scholar]
- Arnett, D.K.; Blumenthal, R.S.; Albert, M.A.; Buroker, A.B.; Goldberger, Z.D.; Hahn, E.J.; Himmelfarb, C.D.; Khera, A.; Lloyd-Jones, D.; McEvoy, J.W.; et al. 2019 ACC/AHA Guideline on the Primary Prevention of Cardiovascular Disease: Executive Summary: A Report of the American College of Cardiology/American Heart Association Task Force on Clinical Practice Guidelines. J. Am. Coll. Cardiol. 2019, 74, 1376–1414. [Google Scholar]
- Bellet, R.N.; Adams, L.; Morris, N.R. The 6-minute walk test in outpatient cardiac rehabilitation: Validity, reliability and responsiveness—A systematic review. Physiotherapy 2012, 98, 277–286. [Google Scholar] [CrossRef] [PubMed]
- Ellingsen, Ø.; Halle, M.; Conraads, V.; Støylen, A.; Dalen, H.; Delagardelle, C.; Larsen, A.I.; Hole, T.; Mezzani, A.; Van Craenenbroeck, E.M.; et al. High-Intensity Interval Training in Patients with Heart Failure with Reduced Ejection Fraction. Circulation 2017, 135, 839–849. [Google Scholar] [CrossRef]
- Egwim, C.; Dixon, B.; Ambrosy, A.P.; Mentz, R.J. Global Variations in Patient Populations and Outcomes in Heart Failure Clinical Trials. Curr. Heart Fail. Rep. 2017, 14, 30–39. [Google Scholar] [CrossRef] [PubMed]
- Hearon, C.M., Jr.; Samels, M.; Dias, K.A.; MacNamara, J.P.; Levine, B.D.; Sarma, S. Isolated knee extensor exercise training improves skeletal muscle vasodilation, blood flow, and functional capacity in patients with HFpEF. Physiol. Rep. 2022, 10, e15419. [Google Scholar] [CrossRef] [PubMed]
- Sedgwick, P. Intention to treat analysis versus per protocol analysis of trial data. BMJ 2015, 350, h681. [Google Scholar] [CrossRef] [PubMed]
- Besnier, F.; Labrunée, M.; Richard, L.; Faggianelli, F.; Kerros, H.; Soukarié, L.; Bousquet, M.; Garcia, J.L.; Pathak, A.; Gales, C.; et al. Short-term effects of a 3-week interval training program on heart rate variability in chronic heart failure. A randomised controlled trial. Ann. Phys. Rehabil. Med. 2019, 62, 321–328. [Google Scholar] [CrossRef]
- van der Leeden, M.; Stuiver, M.M.; Huijsmans, R.; Geleijn, E.; de Rooij, M.; Dekker, J. Structured clinical reasoning for exercise prescription in patients with comorbidity. Disabil. Rehabil. 2020, 42, 1474–1479. [Google Scholar] [CrossRef]
- Lacroix, A.; Kressig, R.W.; Muehlbauer, T.; Gschwind, Y.J.; Pfenninger, B.; Bruegger, O.; Granacher, U. Effects of a Supervised versus an Unsupervised Combined Balance and Strength Training Program on Balance and Muscle Power in Healthy Older Adults: A Randomized Controlled Trial. Gerontology 2016, 62, 275–288. [Google Scholar] [CrossRef]



| Overall n = 76 | CE n = 25 | HIIT n = 25 | CG n = 26 | p | |
|---|---|---|---|---|---|
| Age (years) | 69.78 (0.95) | 70.64 (1.65) | 71.08 (1.21) | 67.69 (1.93) | 0.282 |
| Sex, n (%) | 0.025 | ||||
| Male | 37 (48.7) | 8 (32.0) | 11 (44.0) | 18 (69.23) | |
| Female | 39 (51.3) | 17 (68.0) | 14 (56.0) | 8 (30.77) | |
| Cadence (steps/min) | 114.35 (2.10) | 106.20 (4.31) | 115.23 (3.11) | 121.35 (2.83) | 0.010 |
| Distance (meters) | 425.13 (12.31) | 367.67 (23.89) | 450.77 (20.12) | 455.73 (15.44) | 0.004 |
| HRmax (beats/min) | 101.99 (2.21) | 96.08 (2.05) | 102.56 (3.30) | 107.12 (5.16) | 0.122 |
| Exercise intensity (%) | 67.55 (1.50) | 64.08 (1.63) | 68.84 (2.68) | 69.65 (3.15) | 0.265 |
| Mean Difference Pre and Postintervention | F | p | Post Hoc | |||||||
|---|---|---|---|---|---|---|---|---|---|---|
| n | CE | n | HIIT | n | CG | |||||
| Cadence (steps/min) | Intention-to-treat | 25 | 12.33 (3.64) | 25 | 3.43 (2.52) | 26 | −0.01 (2.22) | 5.02 | 0.009 | CE > CG |
| Per-protocol | 16 | 16.51 (5.11) | 21 | 3.13 (2.80) | 26 | −0.01 (2.22) | 6.68 | 0.002 | CE > HIIT, CG | |
| Distance (meters) | Intention-to-treat | 25 | 42.56 (16.16) | 25 | 17.40 (10.55) | 26 | 10.97 (6.18) | 2.07 | 0.133 | - |
| Per-protocol | 16 | 54.70 (23.73) | 21 | 11.07 (8.51) | 26 | 10.97 (6.18) | 3.59 | 0.034 | - | |
| HRmax (beats/min) | Intention-to-treat | 25 | 9.28 (3.65) | 25 | −1.88 (3.08) | 26 | −3.88 (2.16) | 5.55 | 0.006 | CE > HIIT, CG |
| Per-protocol | 16 | 12.5 (5.06) | 21 | −5.33 (2.92) | 26 | −3.88 (2.16) | 8.18 | <0.001 | CE > HIIT, CG | |
| Exercise intensity (%) | Intention-to-treat | 25 | 14.96 (4.89) | 25 | 6.68 (3.80) | 26 | −2.77 (1.50) | 5.97 | 0.004 | CE > CG |
| Per-protocol | 16 | 21.25 (6.65) | 21 | 2.62 (3.57) | 26 | −2.77 (1.50) | 10.17 | <0.001 | CE > HIIT, CG | |
| n | Cadence (steps/min) | Distance (m) | HRmax (beats/min) | Exercise Intensity (%) | ||||||||||||
|---|---|---|---|---|---|---|---|---|---|---|---|---|---|---|---|---|
| CE | HIIT | CG | F | p | Post Hoc | F | p | Post Hoc | F | p | Post Hoc | F | p | Post Hoc | ||
| Age | <70 years | 10 | 10 | 15 | 0.10 | 0.902 | - | 0.29 | 0.754 | - | 0.35 | 0.704 | - | 1.78 | 0.185 | - |
| ≥70 years | 15 | 15 | 11 | 7.69 | 0.002 | CE > HIIT, CG | 4.07 | 0.025 | CE > CG | 6.41 | 0.004 | CE > HIIT, CG | 5.12 | 0.012 | CE > CG | |
| Sex | Male | 8 | 11 | 18 | 2.64 | 0.086 | - | 2.92 | 0.068 | - | 4.46 | 0.019 | CE > CG | 15.47 | <0.001 | CE > HIIT, CG |
| Female | 17 | 14 | 8 | 4.04 | 0.026 | CE > CG | 1.99 | 0.151 | - | 3.79 | 0.032 | - | 1.49 | 0.239 | - | |
| Cadence (steps/min) | <120 steps/min | 20 | 16 | 14 | 3.27 | 0.050 | CE > CG | 2.10 | 0.133 | - | 2.33 | 0.108 | - | 3.76 | 0.031 | CE > CG |
| ≥120 steps/min | 5 | 9 | 12 | 0.56 | 0.577 | - | 0.59 | 0.564 | - | 2.73 | 0.087 | - | 0.71 | 0.502 | - | |
| Distance (meters) | <400 m | 14 | 7 | 7 | 2.54 | 0.099 | - | 2.79 | 0.080 | - | 2.00 | 0.156 | - | 4.78 | 0.018 | CE > CG |
| ≥400 m | 11 | 18 | 19 | 1.00 | 0.376 | - | 0.21 | 0.810 | - | 3.48 | 0.039 | - | 1.88 | 0.164 | - | |
| HRmax (beats/min) | <100 beats/min | 17 | 14 | 12 | 2.99 | 0.062 | - | 1.87 | 0.168 | - | 4.13 | 0.023 | CE > CG | 5.89 | 0.006 | CE > CG |
| ≥100 beats/min | 8 | 11 | 14 | 1.36 | 0.273 | - | 0.06 | 0.940 | - | 1.21 | 0.313 | - | 0.03 | 0.970 | - | |
| Exercise intensity (%) | <60% | 10 | 9 | 6 | 1.00 | 0.383 | - | 1.01 | 0.381 | - | 1.19 | 0.322 | - | 2.14 | 0.141 | - |
| ≥60% | 15 | 16 | 20 | 4.61 | 0.015 | CE > CG | 0.82 | 0.448 | - | 3.93 | 0.026 | CE > CG | 3.40 | 0.042 | CE > CG | |
Disclaimer/Publisher’s Note: The statements, opinions and data contained in all publications are solely those of the individual author(s) and contributor(s) and not of MDPI and/or the editor(s). MDPI and/or the editor(s) disclaim responsibility for any injury to people or property resulting from any ideas, methods, instructions or products referred to in the content. |
© 2024 by the authors. Licensee MDPI, Basel, Switzerland. This article is an open access article distributed under the terms and conditions of the Creative Commons Attribution (CC BY) license (https://creativecommons.org/licenses/by/4.0/).
Share and Cite
Cavero-Redondo, I.; Martínez-Rodrigo, A.; Otero-Luis, I.; Moreno-Herraiz, N.; Fenoll-Morante, M.; Martínez-García, I.; Guzmán-Pavón, M.J.; Saz-Lara, A. Impact of Combined Exercise and High-Intensity Interval Training on 6-Minute Walk Test Dynamics in Heart Failure Patients with Preserved Ejection Fraction: Results from the ExIC-FEp Trial. Appl. Sci. 2024, 14, 9642. https://doi.org/10.3390/app14219642
Cavero-Redondo I, Martínez-Rodrigo A, Otero-Luis I, Moreno-Herraiz N, Fenoll-Morante M, Martínez-García I, Guzmán-Pavón MJ, Saz-Lara A. Impact of Combined Exercise and High-Intensity Interval Training on 6-Minute Walk Test Dynamics in Heart Failure Patients with Preserved Ejection Fraction: Results from the ExIC-FEp Trial. Applied Sciences. 2024; 14(21):9642. https://doi.org/10.3390/app14219642
Chicago/Turabian StyleCavero-Redondo, Iván, Arturo Martínez-Rodrigo, Iris Otero-Luis, Nerea Moreno-Herraiz, Marta Fenoll-Morante, Irene Martínez-García, María José Guzmán-Pavón, and Alicia Saz-Lara. 2024. "Impact of Combined Exercise and High-Intensity Interval Training on 6-Minute Walk Test Dynamics in Heart Failure Patients with Preserved Ejection Fraction: Results from the ExIC-FEp Trial" Applied Sciences 14, no. 21: 9642. https://doi.org/10.3390/app14219642
APA StyleCavero-Redondo, I., Martínez-Rodrigo, A., Otero-Luis, I., Moreno-Herraiz, N., Fenoll-Morante, M., Martínez-García, I., Guzmán-Pavón, M. J., & Saz-Lara, A. (2024). Impact of Combined Exercise and High-Intensity Interval Training on 6-Minute Walk Test Dynamics in Heart Failure Patients with Preserved Ejection Fraction: Results from the ExIC-FEp Trial. Applied Sciences, 14(21), 9642. https://doi.org/10.3390/app14219642

