Abstract
A bridge hybrid isolation system, integrating both active and passive control strategies, is proposed and investigated to enhance seismic performance. The system is modeled as a two-layer structure, with the upper layer subjected to active control via a Proportional–Integral–Derivative (PID) controller, and the lower layer employing a conventional passive base isolation system. The displacement response of the superstructure is minimized by the control forces generated by the PID controller, which also accounts for the reaction forces transmitted to the lower isolation layer. To optimize the controller’s performance, a genetic algorithm is implemented for real-time tuning of the PID parameters. Numerical simulations, conducted using the Newmark method, are employed to assess the influence of active control on the lower isolation system. The results reveal that, while active control increases the peak displacement of the superstructure to some extent, it significantly prolongs the structural period, thus enhancing the system’s overall seismic resilience and stability.
1. Introduction
Bridges are recognized as critical components of global infrastructure, serving as vital links in geographical and economic lifelines. The role they play in facilitating social and economic development is of paramount importance. However, their safety and stability are significantly threatened by seismic activity [1]. Severe earthquakes have been shown not only to cause physical damage to bridges but also to lead to structural failure, resulting in traffic disruptions, risks to human life, and considerable economic losses. Therefore, enhancing the seismic performance of bridges has been identified as a key research focus within civil engineering.
Traditionally, seismic design for bridges has relied on increasing structural stiffness and load-bearing capacity to resist seismic forces. However, limitations in this approach have been observed, as increasing seismic forces leads to heightened internal stresses, requiring more complex designs and escalating costs. In response to these challenges, base isolation technology has been introduced as a viable solution [2]. By incorporating an isolation layer between the bridge structure and its foundation, the transmission of seismic forces to the superstructure is reduced, minimizing structural deformation and damage [3,4]. Base isolation systems are generally classified into passive and active systems, each with specific characteristics and application scenarios [5]. Passive isolation systems are designed to function without external energy, reducing the transmission of seismic energy to the superstructure through the installation of flexible isolation devices between the bridge and the foundation of the bridge [6,7]. Devices commonly used in passive isolation systems include lead rubber bearings, friction pendulum bearings, and high-damping rubber bearings [8]. These devices work by absorbing seismic energy via the displacement of the isolation layer, thereby reducing the vibration amplitude of the superstructure.
The simplicity and cost-effectiveness of passive isolation systems have allowed them to be widely adopted in various bridge structures, with minimal maintenance required. However, since design parameters such as stiffness and damping are predetermined during construction, passive isolation systems cannot adapt during seismic events [9]. When subjected to seismic motions of varying frequency and intensity, passive systems may not respond optimally, thus limiting their effectiveness [10]. This limitation has prompted a growing interest in more adaptive isolation systems that adjust to changing seismic conditions.
To address these shortcomings, active isolation technology has been increasingly investigated [11]. Unlike passive systems, active isolation systems incorporate sensors, controllers, and actuators to monitor seismic activity and the structural response in real time. Through control algorithms, counteracting forces are applied, reducing the seismic impact on the bridge structure. The flexibility of active isolation allows for the real-time adjustment of system parameters during seismic events, improving seismic performance [12].
The core of the active isolation system lies in the design of its control strategy, with Proportional–Integral–Derivative (PID) controllers being commonly employed due to their simplicity and stability. In such systems, proportional, integral, and derivative parameters are adjusted to provide real-time control over the structure’s dynamic response, enabling rapid adaptation to changing seismic conditions [13]. In response to seismic accelerations or displacements detected by sensors, the PID controller calculates and applies the necessary control forces, reducing the structural vibration response [14,15]. Although effective in practice, optimizing PID controller parameters to handle complex seismic environments remains a significant challenge [16].
Given the nonlinear and complex behavior of bridge structures during seismic events, traditional parameter-tuning methods often fail to identify globally optimal solutions. Consequently, intelligent optimization algorithms have gained traction in structural control applications. Among these, genetic algorithms are particularly effective in optimizing PID controller parameters due to their global search capabilities and independence from initial conditions [17,18].
Genetic algorithms (GAs) simulate natural evolution by using operations such as selection, crossover, and mutation to explore the parameter space for a global optimum. As they do not rely on gradient information, GAs are well-suited for solving complex, nonlinear optimization problems. In active isolation systems, GAs can autonomously adjust PID controller parameters, allowing the system to maintain optimal performance under varying seismic conditions. This adaptive capability significantly enhances both the flexibility and seismic performance of active isolation systems [19].
Despite the superior performance of active isolation systems in seismic control, their complexity and reliance on external power sources limit their widespread adoption in certain applications. In response, semi-active and hybrid isolation systems have been developed [20,21,22]. These systems combine the benefits of both active and passive isolation approaches. Under normal seismic conditions, passive isolation devices manage seismic energy, while during extreme seismic events, the active control system is activated to further optimize the structural response [23,24].
Semi-active isolation systems often utilize devices such as magneto-rheological (MR) dampers, which can adjust damping characteristics in real time without requiring significant power input [25,26,27]. MR dampers modify damping forces by varying the external magnetic field, enabling semi-active control with lower energy requirements. Hybrid isolation systems, however, integrate passive isolation with active control, offering a versatile solution capable of adapting to a wide range of seismic conditions.
With advancements in computational technology and intelligent control methods, seismic design for bridges is increasingly moving towards greater adaptability and intelligence. The integration of active and passive isolation technologies not only improves the seismic resilience of bridge structures but also reduces system costs and energy consumption, enhancing robustness and reliability [28]. In high-seismic-risk regions, hybrid isolation systems can minimize operational disruptions while ensuring structural safety and maintaining post-earthquake functionality [29].
In many hybrid control systems, the interaction between active control forces and the passive control elements is often overlooked. This paper introduces a novel hybrid isolation system that integrates PID active control with passive isolation. The system accounts for the reactive forces generated by the PID controller on the passive isolation devices, while a GA is employed to optimize the PID parameters. This approach offers a new solution for bridge seismic protection by combining intelligent optimization with real-time control, significantly enhancing the system’s flexibility, adaptability, and overall seismic performance.
The main purpose of this paper is to propose a new hybrid isolation system and simulation method, and to analyze the performance of the isolation system when considering the reaction forces from the upper layer to the lower layer. This hybrid isolation system can be applied not only to bridges but also to buildings, precision instruments, and cultural relics.
2. System Model and Methodology
The primary aim of the paper is to research and analyze the performance of hybrid isolation devices. The focus is on examining the impact of the reactive forces exerted by active control on the lower passive isolation layer when control forces are applied to the upper layer, and how these forces affect the system displacement. GA optimization is used to adjust the gain, integral, and derivative parameters of the PID controller. This section explains the methods used to achieve the research objectives.
Figure 1 summarizes the research methodology flowchart. The proposed method integrates dynamic iterative analysis with optimization techniques.
Figure 1.
Research methods flowchart.
In step 1, the process begins with setting the initial conditions for the entire hybrid isolation system. This includes configuring system structural parameters, PID parameters, and improved genetic algorithm parameters. System structural parameters encompass mass, stiffness, and damping. PID parameters include proportional gain, integral gain, and derivative gain. Improved genetic algorithm parameters cover fitness function, population size, and number of iterations. Additionally, seismic excitation is inputted and initial responses are set.
In step 2, the Newmark method is used to calculate displacement, velocity, and acceleration. Based on the current response and the values of Proportional Gain (Kp), Integral Gain (Ki), and Derivative Gain (Kd), the PID control forces are calculated and applied to both the upper and lower layers simultaneously.
In step 3, the seismic forces and PID control forces are integrated to update the displacement, velocity, and acceleration of the system. The fitness of the current genetic algorithm individuals is calculated based on the displacement results of the upper layer.
Subsequently, crossover, selection, and mutation operations are performed based on the fitness results to generate a new generation of PID parameters. The optimal PID parameters of the new generation are then applied in the subsequent calculations, continuing until the seismic excitation ends.
2.1. Structural Model
Figure 2 shows the model diagram of the hybrid isolation device. When establishing its dynamic model, the system’s spatial mass distribution can typically be neglected, simplifying it into a mass point. Similarly, the spatial distribution of the isolation device can be ignored, reducing it to a spring–damper system.
Figure 2.
PID hybrid seismic isolation system.
The dynamic equation of the hybrid isolation device is expressed as (1):
In this equation, M is the mass, C is the damping coefficient, K is the stiffness, is the seismic acceleration, FPID is the PID control force, x, , and , respectively, represent the displacement, velocity, and acceleration.
When the impact of control force on the substructure is not considered, the dynamic equation is given as shown in Equation (2):
Expanding Equation (2) yields the detailed equation, as shown in Equation (3):
When the impact of control force on the substructure is considered, the dynamic equation is given as shown in Equation (4):
Expanding Equation (4) yields the detailed equation, as shown in Equation (5):
When the control force on the substructure is considered, the transfer rate of the hybrid isolation device is studied. By applying the Laplace transform, the time-domain equation is converted into a complex frequency-domain equation, as shown in Equation (6):
By designing the hybrid isolation system using a bandpass method, the transfer functions of the superstructure and the substructure are obtained, as shown in Equation (7):
By combining Equations (6) and (7), the transfer rate equation can be derived. The transfer rate equation of the hybrid isolation system is given in Equation (8):
To simplify the equation for transmissibility, the PID control force FPID can be replaced with k3⋅X2, where k3 is a control gain and X2 represents the displacement of the superstructure. This substitution allows for the formulation of the transmissibility equation.
Figure 3 shows the transmissibility of the hybrid isolation system under different frequency ratios for varying values of k3/k1, where the frequency ratio is defined as the ratio between the source frequency and the natural frequency of the system.
Figure 3.
Transmission rate of hybrid seismic isolation system.
- When k3/k1 = 0, the system behaves as a passive isolation system with two degrees of freedom, unaffected by the active control forces;
- When k3/k1 > 0, the system operates as a hybrid isolation system, incorporating both active and passive control;
The results indicate that at lower frequency ratios, the transmissibility of the hybrid isolation system is significantly lower than that of the passive isolation system, especially for both the superstructure and the substructure. This suggests that the hybrid isolation system is more effective in reducing vibrations in low-frequency conditions compared to the passive isolation system.
As the frequency ratio increases, the transmissibility of the hybrid isolation system rises and eventually exceeds that of the passive isolation system, indicating that its isolation performance is weaker at higher frequency ratios.
When the frequency ratio continues to increase, the transmissibility of both systems converges to one, meaning that the isolation performance of the hybrid, active, and passive systems becomes similar. This suggests that at higher frequency ratios, the isolation benefits of active control diminish, and the system behaves similarly to passive isolation.
From the above results, it can be concluded that the hybrid isolation system performs excellently in low-frequency conditions, where the transmissibility from the lower to the upper layer is significantly reduced, outperforming the passive isolation system. The use of a PID controller in the hybrid isolation system, while accounting for the reactive forces, allows for a more accurate and realistic response to seismic forces. This enables better regulation of the displacement of the upper structure, ultimately leading to improved isolation performance.
2.2. PID Controller Design
A PID controller is a classical feedback controller, and its control law consists of three components: Proportional (P), Integral (I), and Derivative (D):
In the PID controller, Kp is the proportional gain, Ki is the integral gain, Kd is the derivative gain, and e(t) is the error signal (the difference between the setpoint and the actual value). The setpoint in this case is the displacement of the upper layer, which is defined as 0, and the actual value is the measured displacement of the upper structure. By adjusting the proportional, integral, and derivative parameters, the PID controller ensures that the system reaches the desired control target (with the upper layer displacement approaching zero). The proportional controller output is directly proportional to the error. Its primary role is to quickly respond to the current error and reduce the steady-state error. The integral controller accumulates the error over time to eliminate any residual steady-state error. For persistent deviations, the integral term increases until the error is corrected. The derivative controller reacts to the rate of change in the error, predicting the error trend. This improves the system’s response speed and stability, helping to reduce overshoot. Together, these three components allow the PID controller to effectively regulate the system’s response to achieve optimal seismic isolation performance by driving the upper layer displacement to zero.
2.3. Genetic Algorithm for Optimization
The GA is a robust optimization technique inspired by natural selection and genetic inheritance, commonly employed to address complex optimization problems across various domains. Its theoretical foundation lies in Darwinian evolutionary theory, where natural selection is emulated to evolve optimal or near-optimal solutions from an initial population. By iteratively refining candidate solutions, the GA effectively mimics the biological evolution process, progressively improving the quality of solutions.
The core idea of the GA is the concept of evolving a population of potential solutions over generations. The process begins by encoding candidate solutions as individuals within a population. A fitness function is employed to evaluate each individual, determining its suitability for the given problem. The core operators—selection, crossover (recombination), and mutation—are applied to evolve the population. Selection favors individuals with higher fitness, ensuring that superior traits are propagated into subsequent generations. Crossover combines genetic material from selected individuals, facilitating the exploration of new regions within the solution space. Mutation introduces random variations, helping to maintain genetic diversity and prevent premature convergence to local optima.
The iterative process continues until a predefined termination criterion is met, such as reaching a maximum number of generations or achieving a satisfactory fitness level. Through this process, the GA explores the solution space efficiently, balancing the trade-off between exploration (diversifying the search) and exploitation (intensifying the search for near-promising solutions). The algorithm ultimately converges to an optimal or near-optimal solution. In summary, the GA’s ability to simulate biological evolution and adaptively explore complex solution spaces makes it a powerful and flexible tool for optimization, capable of finding high-quality solutions in a wide range of problem domains.
Applying the GA to optimize PID controller parameters enables the automated search for optimal PID values, enhancing the capability of the control system. This method combines the simplicity and effectiveness of PID control with the global search capability of the GA, playing a crucial role in improving the active control of isolation systems. By leveraging the GA, the PID controller can adapt to varying conditions, ensuring better vibration reduction and overall system performance.
3. Experimental Study
3.1. Experimental Setup
A two-layer hybrid isolation device is constructed by combining PID active control with passive control. The performance of this hybrid isolation device under seismic waves is evaluated. A six-degree-of-freedom simulation shaking table is used for the earthquake simulation experiments, as shown in the Figure 4. The shaking table measures 2.5 m by 1.5 m and consists of a motion platform, control cabinet, electric cylinders, and connecting components. It operates with a motor servo control system, supporting the input of sinusoidal waves and the writing of random wave spectrum data files. The system can meet the motion requirements for both linear velocity and angular velocity vibrations. The specific parameters of the simulation shaking table are presented in Table 1.
Figure 4.
Simulation shaker system.
Table 1.
Parameter of simulation shaker system.
The data acquisition system uses the DH8302 high-performance dynamic signal testing and analysis system from Donghua Testing. This system has a sampling frequency of up to 1 MHz and features 18 acquisition channels. Six ICP accelerometers are employed to measure the acceleration responses of the platform and the storage cabinet. The specific performance parameters of the accelerometers are shown in Table 2.
Table 2.
Parameter of accelerometer performance.
This paper conducts experiments using three harmonic waves. The harmonic waves include a sinusoidal wave with an amplitude |A| = 1 and a frequency of 1 Hz, a sinusoidal wave with an amplitude |A| = 1 and a frequency of 5 Hz, and a sinusoidal wave with an amplitude |A| = 0.5 and a frequency of 10 Hz.
3.2. Experimental Results and Discussion
Experiments were conducted on the hybrid isolation device under harmonic wave and seismic wave loading. The harmonic wave loading test effectively evaluates the response of the isolation device at a specific frequency and analyzes the variation of the transmission ratio under different frequencies and amplitudes. In earthquakes, the damage to buildings and structures is primarily caused by large amplitude, low-frequency vibrations, and seismic waves typically have dominant low-frequency components. After passing through the ground and structures, seismic energy is concentrated in the range of 1 to 10 Hz. Therefore, this study uses waveforms with frequencies of 1 Hz, 5 Hz, and 10 Hz for the experiments.
Figure 5 illustrates the response of the hybrid isolation system under harmonic wave conditions, where the seismic load is a harmonic wave with an amplitude |A| = 1 and a frequency of 1 Hz. Figure 5 shows the displacement response of the hybrid isolation system under harmonic waves. The displacement and acceleration of the superstructure are significantly lower than those of the substructure. The peak displacement of the superstructure is 0.000947 m, while the peak displacement of the substructure reaches 0.00184 m. The peak isolation rate of the hybrid isolation system under harmonic waves is 48.5%.
Figure 5.
Displacement response in a simple harmonic state with an amplitude of 1 and a frequency of 1 Hz.
Figure 6 illustrates the response of the hybrid isolation system under harmonic wave conditions, where the seismic load is a harmonic wave with an amplitude |A| = 1 and a frequency of 5 Hz. Figure 6 shows the displacement response of the hybrid isolation system under harmonic waves. The displacement and acceleration of the superstructure are significantly lower than those of the substructure. The peak displacement of the superstructure is 0.00571 m, while the peak displacement of the substructure reaches 0.01136 m. The peak isolation rate of the hybrid isolation system under harmonic waves is 49.7%.
Figure 6.
Displacement response in a simple harmonic state with an amplitude of 1 and a frequency of 5 Hz.
Figure 7 illustrates the response of the hybrid isolation system under harmonic wave conditions, where the seismic load is a harmonic wave with an amplitude |A| = 1 and a frequency of 10 Hz. Figure 7 shows the displacement response of the hybrid isolation system under harmonic waves. The displacement and acceleration of the superstructure are significantly lower than those of the substructure. The peak displacement of the superstructure is 0.00671 m, while the peak displacement of the substructure reaches 0.03381 m. The peak isolation rate of the hybrid isolation system under harmonic waves is 80.2%.
Figure 7.
Displacement response in a simple harmonic state with an amplitude of 0.5 and a frequency of 10 Hz.
The harmonic wave experiments show that the isolation system achieves approximately a 50% isolation rate under the influence of 1 Hz and 5 Hz harmonic waves. Under the influence of a 10 Hz harmonic wave, the isolation rate reaches about 80%. The experimental results indicate that the hybrid isolation system performs optimally around 10 Hz. The harmonic wave experiments demonstrate that the hybrid isolation device exhibits good isolation performance.
4. Simulation Study
This study investigates the seismic isolation capability of the hybrid isolation system. MATLAB2023b was used to conduct simulation analysis of the hybrid isolation system, and the simulation results under different conditions are evaluated to assess the system’s isolation effectiveness. The simulation experiments utilized both harmonic waves and seismic waves to test the capability of the system.
4.1. Simulation Setup
This paper describes simulations that were conducted on the hybrid isolation device using harmonic waves and seismic waves. The harmonic wave experiments used a sinusoidal wave with an amplitude |A| = 1 and a frequency of 1 Hz, and another with an amplitude |A| = 0.5 and a frequency of 10 Hz. Table 3 presents the data for the two selected seismic waves. The parameter settings of this simulation throughout the work are listed in Table 4, Table 5 and Table 6.
Table 3.
Parameters of seismic waves.
Table 4.
Parameters of hybrid seismic isolation devices.
Table 5.
Parameters of GA.
Table 6.
Parameters of PID controllers.
In the control strategy, a PID controller is used for the active control of the upper layer displacement of the structure, to reduce the upper layer’s displacement response. The three parameters of the PID controller—proportional gain Kp, integral gain Ki, and derivative gain Kd—are optimized in real time using a genetic algorithm. The genetic algorithm’s parameter settings ensure that the PID controller can converge to appropriate parameters within a certain computational time, thus optimizing the control effect.
4.2. Simulation Results and Discussion
Figure 8 illustrates the response of the hybrid isolation system under harmonic wave conditions, where the seismic load is a harmonic wave with an amplitude |A| = 1 and a frequency of 1 Hz. Figure 8a shows the displacement response of the hybrid isolation system under harmonic waves. The displacement and acceleration of the superstructure are significantly lower than those of the substructure. The peak displacement of the superstructure is 0.02244 m, while the peak displacement of the substructure reaches 0.3354 m. Figure 8b presents the acceleration response under harmonic waves. The acceleration of the superstructure is much lower than that of the substructure, with the peak acceleration of 0.2871 m/s2 for the superstructure and 4.6016 m/s2 for the substructure. Figure 8c displays the control force applied by the PID controller to the superstructure under harmonic waves. Figure 8d shows the real-time variations of the PID controller’s three parameters throughout the control process. The peak isolation rate of the hybrid isolation system under harmonic waves is 93.3%.

Figure 8.
Response in a simple harmonic state with an amplitude of 1 and a frequency of 1 Hz: (a) displacement response; (b) acceleration response; (c) control force response; (d) PID parameter response.
Figure 9 presents a comparison of displacement under harmonic wave conditions, with and without the control force applied to the substructure. Figure 9a shows the upper layer displacement comparison under harmonic waves. When the PID controller applies a control reaction force to the lower layer, the upper layer’s maximum displacement reaches 0.02244 m. When no control reaction force is applied to the lower layer, the upper layer’s maximum displacement is 0.01166 m. Compared to the case without a control reaction force, applying the control reaction force increases the peak displacement by 92.4%. Figure 9b depicts the lower layer displacement comparison under harmonic waves. When the PID controller applies a control reaction force to the lower layer, the lower layer’s maximum displacement is 0.3354 m. Without the control reaction force, the lower layer’s maximum displacement is 0.09166 m. Applying the control reaction force results in a 238.2% increase in peak displacement. Moreover, when the PID controller applies the control reaction force to the lower layer, the system’s overall motion period is extended by 1.3 to 1.4 times compared to the case without the control reaction force.
Figure 9.
Comparison of the displacement of the control force applied to the lower layer: (a) comparison of the displacement of the upper layer; (b) comparison of the displacement of the lower layer.
Figure 10 illustrates the response of the hybrid isolation system under harmonic wave conditions, where the seismic load is a harmonic wave with an amplitude |A| = 0.5 and a frequency of 10 Hz. Figure 10a shows the displacement response of the hybrid isolation system under harmonic waves. The displacement and acceleration of upper layer are significantly lower than those of the lower layer. The peak displacement of the upper layer is 0.0008818 m, while the peak displacement of the lower layer reaches 0.009771 m. Figure 10b presents the acceleration response under harmonic waves. The upper layer’s acceleration is much higher than that of the lower layer, with a maximum acceleration of 0.7291 m/s2 for the upper layer and 0.5140 m/s2 for the lower layer. Figure 10c displays the control force applied by the PID controller to the superstructure under harmonic waves. Figure 10d shows the real-time variations of the PID controller’s three parameters throughout the control process. The peak isolation rate of the hybrid isolation system under harmonic waves is 89.2%.
Figure 10.
Response in a simple harmonic state with an amplitude of 0.5 and a frequency of 10 Hz: (a) displacement response; (b) acceleration response; (c) control force response; (d) PID parameter response.
Figure 11 presents a comparison of displacement under harmonic wave conditions, with and without the control force applied to the lower layer. Figure 11a shows the upper layer displacement comparison under harmonic waves. When the PID controller applies a control reaction force to the lower layer, the peak displacement of the upper layer reaches 0.0008800 m. When no control reaction force is applied to the lower layer, the peak displacement of the upper layer is 0.0004800 m. Compared to the case without a control reaction force, applying the control reaction force increases the peak displacement by 83.3%. Figure 11b depicts the lower layer displacement comparison under harmonic waves. When the PID controller applies a control reaction force to the lower layer, the peak displacement of the lower layer is 0.009771 m. Without the control reaction force, the peak displacement of the lower layer is 0.002432 m. Applying the control reaction force results in a 302.1% increase in peak displacement. Moreover, when the PID controller applies the control reaction force to the lower layer, the system’s overall motion period is extended by 1.5 times compared to the case without the control reaction force.
Figure 11.
Comparison of the displacement of the control force applied to the lower layer: (a) comparison of the displacement of the upper layer; (b) comparison of the displacement of the lower layer.
Figure 12 illustrates the displacement response of the hybrid isolation system under random wave conditions. Figure 12a shows the displacement response under the Tangshan wave. In this scenario, the peak displacement of the upper layer is 0.009986 m, while the peak displacement of the lower layer reaches 0.18225 m. The isolation efficiency of the hybrid isolation system under the Tangshan wave is 94.5%. Figure 12b presents the displacement response under the Superstition Mountain wave. For this case, the peak displacement of the upper layer is 0.005991 m, and the peak displacement of the lower layer is 0.08173 m. The isolation efficiency of the hybrid isolation system under the Superstition Mountain wave is 92.6%.
Figure 12.
Displacement response in a random wave state: (a) displacement response of Tangshan wave; (b) displacement response of Superstition Mountain wave.
Figure 13 illustrates the acceleration response of the hybrid isolation system under random wave conditions. Figure 13a shows the acceleration response under the Tangshan wave. The peak acceleration of the upper layer is 0.3007 m/s2, while the peak acceleration of the lower layer reaches 1.6292 m/s2. Figure 13b presents the acceleration response under the Superstition Mountain wave. In this scenario, the peak acceleration of the upper layer is 1.0999 m/s2, and the peak acceleration of the lower layer is 2.2751 m/s2.
Figure 13.
Acceleration response in a random wave state: (a) acceleration response of Tangshan wave; (b) acceleration response of Superstition Mountain wave.
Figure 14 illustrates the control forces of the hybrid isolation system under random wave conditions. Figure 14a shows the control forces under the Tangshan wave. Figure 14b presents the control forces under the Superstition Mountain wave.
Figure 14.
Control forces in a random wave state: (a) control forces of Tangshan wave; (b) control forces response of Superstition Mountain wave.
Figure 15 illustrates the variation of PID parameters in the hybrid isolation system under random wave conditions. Figure 15a shows the PID parameter variation under the Tangshan wave. Figure 15b presents the PID parameter variation under the Superstition Mountain wave.
Figure 15.
PID parameters in a random wave state: (a) PID parameters of Tangshan wave; (b) PID parameters response of Superstition Mountain wave.
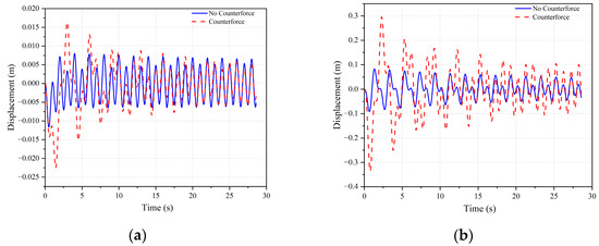
Figure 16 presents a comparison of displacement in the hybrid isolation system under the Tangshan wave, with and without applying control force to the lower layer. Figure 16a shows the upper layer displacement comparison. When the PID controller applies a reaction force to the lower layer, the peak upper layer displacement is 0.009986 m. Without applying the reaction force to the lower layer, the peak upper layer displacement is 0.005181 m. This indicates that the peak displacement increases by 92.6% when the reaction force is applied. Figure 16b illustrates the lower layer displacement comparison. When the PID controller applies a reaction force to the lower layer, the peak lower layer displacement is 0.18225 m. Without applying the reaction force, the peak lower layer displacement is 0.08342 m, which corresponds to a 118.4% increase in peak displacement when the reaction force is applied. Overall, when the PID controller applies control force to the lower layer, the entire system’s motion period extends by 1.3–1.5 times compared to the case without the control force.
Figure 16.
Comparison of the displacements of Tangshan waves: (a) comparison of upper layer displacements; (b) comparison of lower layer displacements.
Figure 17 presents the displacement comparison in the hybrid isolation system under the Superstition Mountain wave, both with and without applying control force to the lower layer. Figure 17a shows the upper layer displacement comparison. When the PID controller applies a reaction force to the lower layer, the peak upper layer displacement is 0.005997 m. Without applying the reaction force, the peak upper layer displacement is 0.002967 m. This results in a 102.1% increase in peak displacement when the reaction force is applied. Figure 17b illustrates the lower layer displacement comparison. When the PID controller applies a reaction force to the lower layer, the peak lower layer displacement is 0.0817 m. Without applying the reaction force, the peak lower layer displacement is 0.022356 m, leading to a 265.4% increase in peak displacement when the reaction force is applied. Overall, when the PID controller applies control force to the lower layer in the hybrid isolation system, the system’s motion period is extended by 1.3–1.5 times compared to when the reaction force is not applied.
Figure 17.
Comparison of the displacements of Superstition Mountain waves: (a) comparison of upper layer displacements; (b) comparison of lower layer displacements.
In the aforementioned simulation analyses, the hybrid isolation system achieved a peak isolation efficiency of 90% when applying a control reaction force to the lower layer, demonstrating excellent seismic isolation performance. When no reaction force was applied to the lower layer, the peak isolation efficiency was around 85%. By considering the reaction force, the simulation becomes more realistic and improves the isolation efficiency. However, compared to the scenario where no control reaction force is applied, applying the control reaction force increases the upper layer displacement by approximately 95%. For the lower layer, the displacement is amplified by approximately 250% under harmonic and Superstition Mountain wave conditions. Additionally, when the hybrid isolation system applies control force to the lower layer, the motion period is extended by 1.3–1.5 times. While a longer period typically enhances the isolation performance [30], it also results in larger displacement responses.
This trade-off suggests that while applying control reaction forces can improve isolation efficiency and simulation realism, it also introduces challenges in managing displacement increases.
5. Conclusions
A novel force model for a hybrid isolation device is proposed in this paper. The theoretical analysis identifies the influence of active control on passive control within the hybrid isolation system. Based on the combination of active and passive control, a PID controller and a genetic algorithm are introduced to optimize the isolation capacity of the system.
The following conclusions are drawn from the simulation and experimental results:
- When the reaction force of the control system on the lower passive control is considered, the period of the hybrid isolation system increases under seismic excitation;
- The isolation efficiency of both the upper and lower layers of the system improves when the reaction force on the lower passive control is considered;
- The displacement response of the system amplifies when the reaction force on the lower passive control is considered.
Overall, considering the reaction force on the lower passive control, the system’s motion period increases, and displacement amplifies. However, the isolation performance is enhanced, effectively reducing the impact of seismic waves on the structure.
By considering the reaction force from the upper layer to the lower layer, the proposed new hybrid isolation system can more accurately simulate the actual force conditions of structures. Traditional hybrid isolation systems often overlook this factor, while this study demonstrates that the reaction force significantly impacts the isolation performance. Accounting for this effect enhances the overall performance of the isolation system, particularly in responding to strong earthquakes. The proposed hybrid isolation system is not only applicable to bridges but also to buildings, precision instruments, cultural relics, and other structures. This indicates that the system has broad application prospects, especially in different engineering projects where it can effectively reduce earthquake damage and improve safety.
With the application of intelligent optimization algorithms, this study offers a new direction for the development of future isolation technologies. Traditional passive isolation systems have limited performance under complex seismic conditions, while hybrid isolation systems incorporating active control can respond more flexibly and dynamically to seismic excitations, laying a foundation for the advancement of intelligent seismic technology. The research methods and conclusions presented in this paper provide a theoretical basis for designing more optimized isolation systems, especially offering insights into intelligent control and parameter optimization of such systems.
Future research can further enhance the precision and adaptability of control algorithms, enabling isolation systems to better cope with complex and changing seismic environments. The proposed hybrid isolation system is not only limited to bridges but can also be applied to precision instruments and the protection of cultural heritage. Future studies can focus on adjusting system design and control strategies for different application scenarios, ensuring that optimal isolation performance is achieved under varying conditions.
Author Contributions
Conceptualization, N.L. and Y.S.; methodology, N.L.; software, N.L. and W.Z.; validation, N.L., Z.Y., and W.Z.; formal analysis, N.L. and Z.Z.; investigation, Z.Y.; resources, Y.S.; data curation, N.L.; writing—original draft preparation, N.L.; writing—review and editing, Y.L.; visualization, N.L.; supervision, Z.Z.; project administration, Y.S.; funding acquisition, Y.S. All authors have read and agreed to the published version of the manuscript.
Funding
This research was funded by the National Natural Science Foundation of China (Grant No. 52278536) and Natural Science Foundation of Sichuan Province (Grant No. 2024NSFSC0428).
Institutional Review Board Statement
Not applicable.
Informed Consent Statement
Informed consent was obtained from all subjects involved in this study.
Data Availability Statement
The data that support the findings of this study are available from the corresponding author(s) upon reasonable request.
Conflicts of Interest
The authors declare no conflicts of interest.
References
- Makris, N. Seismic isolation: Early history. Earthq. Eng. Struct. Dyn. 2019, 48, 269–283. [Google Scholar] [CrossRef]
- Buckle, I.G.; Mayes, R.L. Seismic isolation: History, application, and performance—A world view. Earthq. Spectra 1990, 6, 161–201. [Google Scholar] [CrossRef]
- Jangid, R.S. Seismic Response of Isolated Bridges. J. Bridge Eng. 2004, 9, 156–166. [Google Scholar] [CrossRef]
- Subcommittee on Bridges, Structures Staff, and Transportation Officials; Subcommittee on Bridges. Guide Specifications for Seismic Isolation Design; AASHTO: Washington, DC, USA, 2010. [Google Scholar]
- Arfiadi, Y.; Hadi, M.N.S. Passive and active control of three-dimensional buildings. Earthq. Eng. Struct. Dyn. 2000, 29, 377–396. [Google Scholar] [CrossRef]
- Cho, C.B.; Kim, Y.J.; Chin, W.J.; Lee, J.-Y. Comparing Rubber Bearings and Eradi-Quake System for Seismic Isolation of Bridges. Materials 2020, 13, 5247. [Google Scholar] [CrossRef]
- Constantinou, M.; Whittaker, A.; Fenz, D.; Apostolakis, G. Seismic Isolation of Bridges; Department of Civil, Structural and Environmental Engineering, State University of New York at Buffalo: Buffalo, NY, USA, 2007. [Google Scholar]
- Ozbulut, O.E.; Hurlebaus, S. Seismic assessment of bridge structures isolated by a shape memory alloy/rubber-based isolation system. Smart Mater. Struct. 2010, 20, 015003. [Google Scholar] [CrossRef]
- Afraa Labiba, H.; Billah, A.H.M.M. Influence of ground motion duration and isolation bearings on the seismic response of base-isolated bridges. Eng. Struct. 2020, 222, 111129. [Google Scholar] [CrossRef]
- Warn, G.P.; Whittaker, A.S. Performance estimates in seismically isolated bridge structures. Eng. Struct. 2004, 26, 1261–1278. [Google Scholar] [CrossRef]
- Chen, K.T.; Chou, C.H.; Chang, S.H.; Liu, Y.H. Intelligent active vibration control in an isolation platform. Appl. Acoust. 2008, 69, 1063–1084. [Google Scholar] [CrossRef]
- Zhao, D.; Liu, Y.; Li, H. Self-Tuning Fuzzy Control for Seismic Protection of Smart Base-Isolated Buildings Subjected to Pulse-Type Near-Fault Earthquakes. Appl. Sci. 2017, 7, 185. [Google Scholar] [CrossRef]
- Gu, L.; Huang, Q. Adaptive Impedance Control for Force Tracking in Manipulators Based on Fractional-Order PID. Appl. Sci. 2023, 13, 10267. [Google Scholar] [CrossRef]
- Ulusoy, S.; Bekdaş, G.; Nigdeli, S.M.; Kim, S.; Geem, Z.W. Performance of Optimum Tuned PID Controller with Different Feedback Strategies on Active-Controlled Structures. Appl. Sci. 2021, 11, 1682. [Google Scholar] [CrossRef]
- Serdar, U.; Sinan Melih, N.; Gebrail, B. Novel metaheuristic-based tuning of PID controllers for seismic structures and verification of robustness. J. Build. Eng. 2021, 33, 101647. [Google Scholar] [CrossRef]
- Chao, C.-T.; Sutarna, N.; Chiou, J.-S.; Wang, C.-J. An Optimal Fuzzy PID Controller Design Based on Conventional PID Control and Nonlinear Factors. Appl. Sci. 2019, 9, 1224. [Google Scholar] [CrossRef]
- Xue, X.; Sun, Q.; Zhang, L.; Wu, X. Semi-active Control Strategy using Genetic Algorithm for Seismically Excited Structure Combined with MR Damper. J. Intell. Mater. Syst. Struct. 2011, 22, 291–302. [Google Scholar] [CrossRef]
- Turek, P. Optimization of the Control Algorithm for an Active Bearing Support. Appl. Sci. 2024, 14, 824. [Google Scholar] [CrossRef]
- Suresh, T.; Wen, Y. Stability analysis of active vibration control of building structures using PD/PID control. Eng. Struct. 2014, 81, 208–218. [Google Scholar] [CrossRef]
- Symans, M.D.; Kelly, S.W. Fuzzy logic control of bridge structures using intelligent semi-active seismic isolation systems. Earthq. Eng. Struct. Dyn. 1999, 28, 37–60. [Google Scholar] [CrossRef]
- Zoran, R.; Aleksandra, B.; Ehsan; Abbas, S.-P. A hybrid seismic isolation system toward more resilient structures: Shaking table experiment and fragility analysis. J. Build. Eng. 2021, 38, 102194. [Google Scholar] [CrossRef]
- Qiaoyun, W.; Huichao, Y.; Hongping, Z.; Xixuan, B. Shaking table test study on the seismic isolation effect of a hybrid passive control system. Measurement 2020, 164, 108125. [Google Scholar] [CrossRef]
- Huidong, Z.; Xiao, L.; Zhanyuan, G.; Xinqun, Z. Seismic performance analysis of a large-scale single-layer lattice dome with a hybrid three-directional seismic isolation system. Eng. Struct. 2020, 214, 110627. [Google Scholar] [CrossRef]
- Di Matteo, A.; Masnata, C.; Pirrotta, A. Hybrid Passive Control Strategies for Reducing the Displacements at the Base of Seismic Isolated Structures. Front. Built Environ. 2019, 5, 132. [Google Scholar] [CrossRef]
- Kori, J.G.; Jangid, R.S. Semiactive Control of Seismically Isolated Bridges. Int. J. Struct. Stab. Dyn. 2008, 8, 547–568. [Google Scholar] [CrossRef]
- Mohebbi, M.; Dadkhah, H. Effective Semiactive Base Isolation System under Multiple Earthquakes. Adv. Civ. Eng. 2018, 2018, 7382481. [Google Scholar] [CrossRef]
- Seda, Ö.-D.; Cenk, A. Reliability of semi-active seismic isolation under near-fault earthquakes. Mech. Syst. Signal Process. 2019, 114, 146–164. [Google Scholar] [CrossRef]
- Liu, B.; Pan, D.; Zhang, W.; Lu, Y.; Ni, G. Mechanical Behaviors and Numerical Simulation Analysis of a New Isolation System. Appl. Sci. 2023, 13, 7667. [Google Scholar] [CrossRef]
- He, X.; Unjoh, S. Development of rocking isolation bearing system (RIBS) to control excessive seismic responses of bridge structures. Earthq. Eng. Struct. Dyn. 2022, 51, 369–392. [Google Scholar] [CrossRef]
- Xiaoguang, Z.; Weiguo, Y.; Pei, L.; Meng, W. Shaking table tests and numerical study of a sliding isolation bearing for the seismic protection of museum artifacts. J. Build. Eng. 2023, 65, 105725. [Google Scholar] [CrossRef]
Disclaimer/Publisher’s Note: The statements, opinions and data contained in all publications are solely those of the individual author(s) and contributor(s) and not of MDPI and/or the editor(s). MDPI and/or the editor(s) disclaim responsibility for any injury to people or property resulting from any ideas, methods, instructions or products referred to in the content. |
© 2024 by the authors. Licensee MDPI, Basel, Switzerland. This article is an open access article distributed under the terms and conditions of the Creative Commons Attribution (CC BY) license (https://creativecommons.org/licenses/by/4.0/).