BAT-Transformer: Prediction of Bus Arrival Time with Transformer Encoder for Smart Public Transportation System
Abstract
1. Introduction
- We develop a preprocessing pipeline that provides optimized data for the prediction model through preprocessing processes such as data filtering, feature extraction, and resampling.
- We propose a methodology that can effectively learn temporal and spatial information by combining learnable positional encoding and linear projection and improve prediction accuracy by utilizing a fully connected layer.
- The experimental results show that the proposed model can estimate the actual bus arrival time more accurately, and the prediction error is 30 s lower than that of the existing model, and the generalization performance is secured by k-fold cross-validation.
2. Related Work
2.1. Smart Public Transportation System
2.2. Attention Mechanism
2.3. Transformer
3. BAT-Transformer: Bus Arrival Time with Transformer Encoder
3.1. Overall Architecture
3.2. Stage 1: Data Preprocessing
3.3. Stage 2: Time Prediction
4. Experiment and Results
4.1. Dataset and Data Collection
4.2. Settings
4.3. Performance Metrics
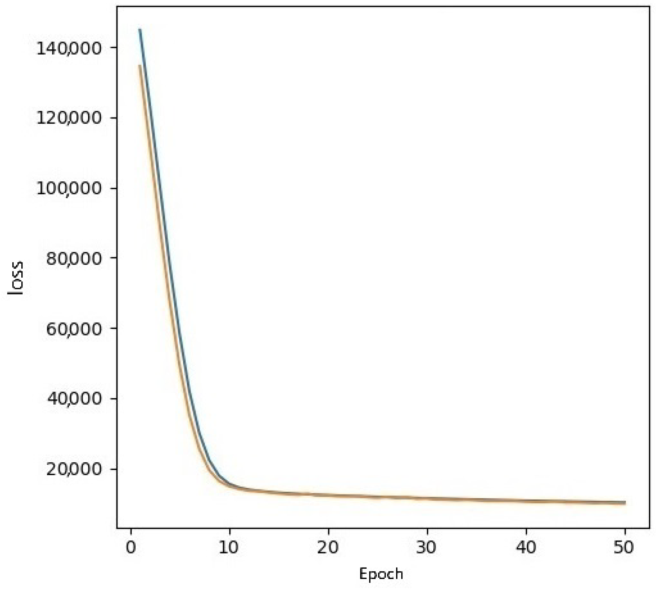
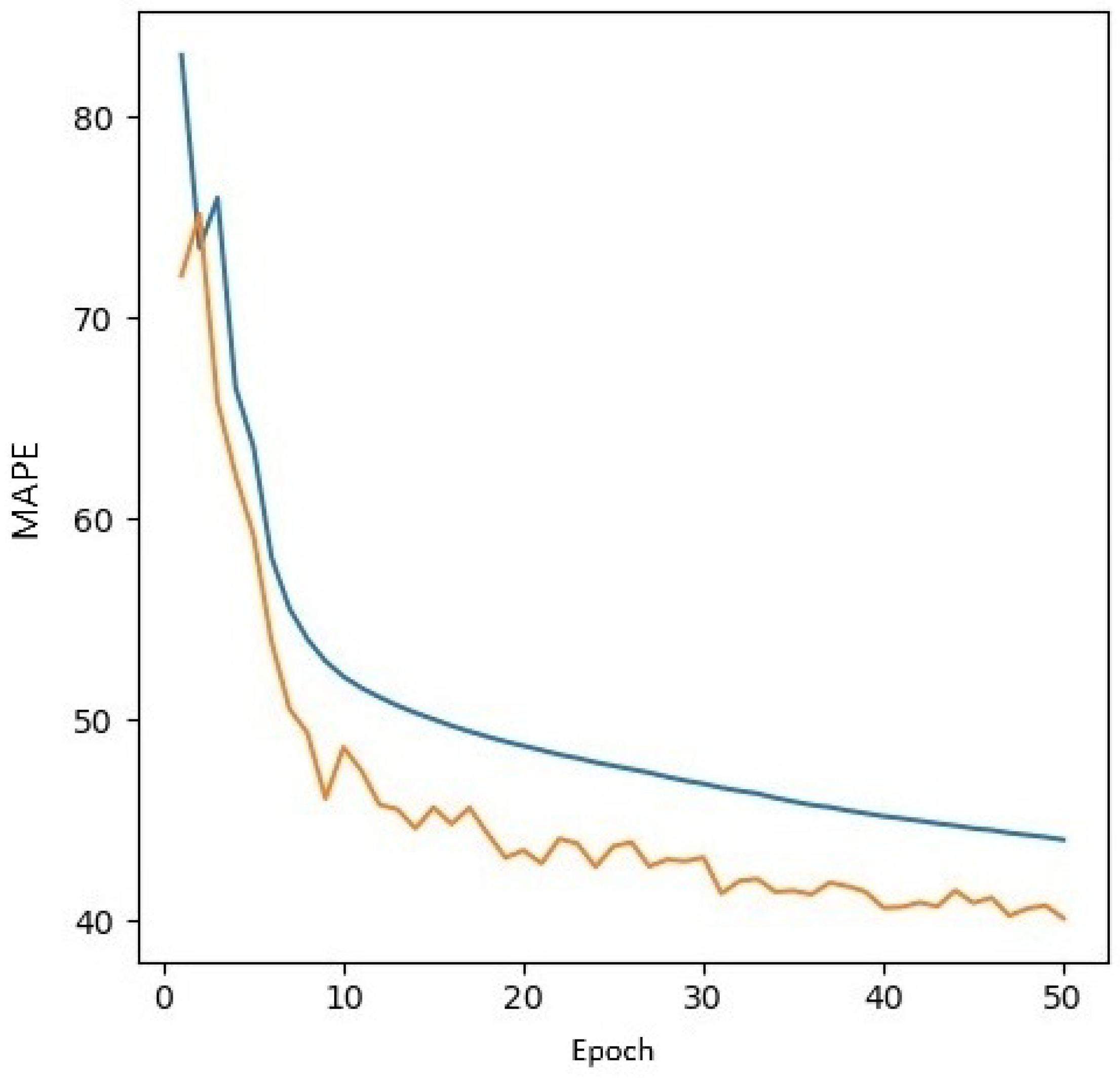
4.4. Results
5. Conclusions
Author Contributions
Funding
Institutional Review Board Statement
Informed Consent Statement
Data Availability Statement
Acknowledgments
Conflicts of Interest
References
- Mounce, R.; Nelson, J.D. On the role of frameworks and smart mobility in the development of autonomous public transport systems. Transp. Res. Part A Policy Pract. 2019, 119, 400–410. [Google Scholar]
- Liyanage, S.; Dia, H.; Abduljabbar, R.; Bagloee, S.A. Flexible mobility on demand: An environmental scan. Sustainability 2019, 11, 1262. [Google Scholar] [CrossRef]
- Zheng, G.; Liu, W.; Zhang, X. Deep and embedded learning approach for traffic flow prediction in urban informatics. IEEE Trans. Intell. Transp. Syst. 2018, 20, 3687–3699. [Google Scholar] [CrossRef]
- Huang, W.; Song, G.; Hong, H.; Xie, K. Deep architecture for traffic flow prediction: Deep belief networks with multitask learning. IEEE Trans. Intell. Transp. Syst. 2014, 15, 2191–2201. [Google Scholar] [CrossRef]
- Li, Y.; Yu, R.; Shahabi, C.; Liu, Y. Diffusion convolutional recurrent neural network: Data-driven traffic forecasting. arXiv 2018, arXiv:1707.01926. [Google Scholar]
- Yu, H.; Wu, Z.; Wang, S.; Wang, Y.; Ma, X. Spatiotemporal recurrent convolutional networks for traffic prediction in transportation networks. Sensors 2017, 17, 1501. [Google Scholar] [CrossRef]
- Seoul Metropolitan City Transportation Information. Public Transportation Status in Seoul. 2023. Available online: https://topis.seoul.go.kr/refRoom/openRefRoom_8.do (accessed on 4 April 2024).
- Fan, X.; Xiang, C.; Chen, C.; Yang, P.; Gong, L.; Song, X.; Nanda, P.; He, X. Deep learning for intelligent traffic sensing and prediction: Recent advances and future challenges. CCF Trans. Pervasive Comput. Interact. 2020, 2, 240–260. [Google Scholar] [CrossRef]
- Fu, R.; Zhang, Z.; Li, L. Using LSTM and GRU neural network methods for traffic flow prediction. In Proceedings of the 2016 31st Youth Academic Annual Conference of Chinese Association of Automation (YAC), Wuhan, China, 11–13 November 2016. [Google Scholar]
- Gharaibeh, A.; Salahuddin, M.A.; Hussini, S.J.; Khreishah, A.; Khalil, I.; Guizani, M.; Al-Fuqaha, A. Smart cities: A survey on data management, security, and enabling technologies. IEEE Commun. Surv. Tutor. 2017, 19, 2456–2501. [Google Scholar] [CrossRef]
- Ma, X.; Tao, Z.; Wang, Y.; Yu, H.; Wang, Y. Long short-term memory neural network for traffic speed prediction using remote microwave sensor data. Transp. Res. Part C Emerg. Technol. 2015, 54, 187–197. [Google Scholar] [CrossRef]
- Zhang, J.; Zheng, Y.; Qi, D. Deep spatio-temporal residual networks for citywide crowd flows prediction. In Proceedings of the AAAI Conference on Artificial Intelligence, San Francisco, CA, USA, 4–9 February 2017; Volume 31. [Google Scholar]
- Guo, J.; Wang, W.; Tang, Y.; Zhang, Y.; Zhuge, H. A CNN-Bi_LSTM parallel network approach for train travel time prediction. Knowl.-Based Syst. 2022, 233, 109796. [Google Scholar] [CrossRef]
- Rashvand, N.; Hosseini, S.S.; Azarbayjani, M.; Tabkhi, H. Real-Time Bus Arrival Prediction: A Deep Learning Approach for Enhanced Urban Mobility. IEEE Trans. Intell. Transp. Syst. 2022, 23, 567–578. [Google Scholar]
- Guo, S.; Lin, Y.; Feng, N.; Song, C.; Wan, H. Attention based spatial-temporal graph convolutional networks for traffic flow forecasting. In Proceedings of the AAAI Conference on Artificial Intelligence, Honolulu, HI, USA, 27 January–1 February 2019. [Google Scholar]
- Wu, Y.; Tan, H.; Qin, L.; Ran, B.; Jiang, Z. A hybrid deep learning based traffic flow prediction method and its understanding. Transp. Res. Part C Emerg. Technol. 2019, 90, 166–180. [Google Scholar] [CrossRef]
- Le Guennec, A.; Malinowski, S.; Tavenard, R. Data Augmentation for Time-Series Classification: A Comprehensive Survey. Data Min. Knowl. Discov. 2021, 34, 415–445. [Google Scholar]
- Iwana, B.K.; Uchida, S. An empirical survey of data augmentation for time series classification with neural networks. PLoS ONE 2021, 16, e0254841. [Google Scholar] [CrossRef]
- Lim, B.; Arık, S.Ö.; Loeff, N.; Pfister, T. Temporal Fusion Transformers for interpretable multi-horizon time series forecasting. In Proceedings of the 43rd International Conference on Machine Learning (ICML), Long Beach, CA, USA, 9–15 June 2019. [Google Scholar]
- Li, S.; Jin, X.; Xuan, Y.; Zhou, X.; Chen, W.; Wang, Y.; Yan, X. Enhancing the Locality and Breaking the Memory Bottleneck of Transformer on Time Series Forecasting. In Proceedings of the 29th International Joint Conference on Artificial Intelligence (IJCAI), Macao, China, 10–16 August 2019. [Google Scholar]
- Lv, Y.; Duan, Y.; Kang, W.; Li, Z.; Wang, F.Y. Traffic flow prediction with big data: A deep learning approach. IEEE Trans. Intell. Transp. Syst. 2015, 16, 865–873. [Google Scholar] [CrossRef]
- Almusaylim, A.K.; Ahmad, A.; Alghamdi, S.; Alahmadi, Y. An Internet of Things Based Intelligent Transportation System. In Proceedings of the 2019 IEEE 5th International Conference on Future Internet of Things and Cloud (FiCloud), Istanbul, Turkey, 26–28 August 2019; pp. 1–6. [Google Scholar]
- Yu, B.; Yang, Z.; Yao, J. Bus arrival time prediction using support vector machines and genetic algorithm. J. Intell. Transp. Syst. 2017, 21, 324–334. [Google Scholar]
- Wang, Y.Z.D.; Hu, L.; Yang, Y.; Lee, L.H. A data-driven and optimal bus scheduling model with time-dependent traffic and demand. IEEE Trans. Intell. Transp. Syst. 2017, 18, 2443–2452. [Google Scholar] [CrossRef]
- Li, P.; Han, Y.; Wang, J. Integrated Robust Optimization of Scheduling and Signal Timing for Bus Rapid Transit. Sustainability 2022, 14, 16922. [Google Scholar] [CrossRef]
- Vlahogianni, E.I.; Karlaftis, M.G.; Kepaptsoglou, K.; Tsetsos, V. Short-term traffic forecasting: Where we are and where we’re going. Transp. Res. Part C Emerg. Technol. 2004, 43, 312–327. [Google Scholar] [CrossRef]
- Guo, J.; Wang, W.; Guo, J.; D’Ariano, A.; Bosi, T.; Zhang, Y. An instance-based transfer learning model with attention mechanism for freight train travel time prediction in the China–Europe railway express. Expert Syst. Appl. 2024, 251, 123989. [Google Scholar] [CrossRef]
- Bahdanau, D.; Cho, K.; Bengio, Y. Neural machine translation by jointly learning to align and translate. arXiv 2015, arXiv:1409.0473. [Google Scholar]
- Luong, M.T.; Pham, H.; Manning, C.D. Effective approaches to attention-based neural machine translation. arXiv 2015, arXiv:1508.04025. [Google Scholar]
- Vaswani, A.; Bengio, S.; Brevdo, E.; Chollet, F.; Gomez, A.; Jones, L. Tensor2Tensor for neural machine translation. In Proceedings of the 2018 Conference on Empirical Methods in Natural Language Processing: System Demonstrations, Brussels, Belgium, 31 October–4 November 2018; pp. 193–198. [Google Scholar]
- Lin, Z.; Feng, M.; Santos, C.N.D.; Yu, M.; Xiang, B.; Zhou, B.; Bengio, Y. A structured self-attentive sentence embedding. arXiv 2017, arXiv:1703.03130. [Google Scholar]
- Reicha, T.; Budka, M.; Hulbert, D. An Attention Mechanism Based Prediction Method for Estimation of Arrival Time and Next-Step Position in Urban Traffic Networks. SSRN Electron. J. 2022. [Google Scholar] [CrossRef]
- Shen, T.; Zhou, T.; Long, G.; Jiang, J.; Zhang, C. DiSAN: Directional self-attention network for RNN/CNN-free language understanding. In Proceedings of the Thirty-Second AAAI Conference on Artificial Intelligence, New Orleans, LA, USA, 2–7 February 2018. [Google Scholar]
- Choromanski, K.; Likhosherstov, V.; Dohan, D.; Song, X.; Gane, A.; Sarlos, T.; Hawkins, P.; Davis, J.; Mohiuddin, A.; Kaiser, L.; et al. Rethinking attention with performers. arXiv 2021, arXiv:2009.14794. [Google Scholar]
- Vaswani, A.; Shazeer, N.; Parmar, N.; Uszkoreit, J.; Jones, L.; Gomez, A.N.; Kaiser, Ł.; Polosukhin, I. Attention is all you need. Adv. Neural Inf. Process. Syst. 2017, 5998–6008. Available online: https://proceedings.neurips.cc/paper_files/paper/2017/file/3f5ee243547dee91fbd053c1c4a845aa-Paper.pdf (accessed on 4 April 2024).
- Yang, Z.; Dai, Z.; Yang, Y.; Carbonell, J.; Salakhutdinov, R.R.; Le, Q.V. XLNet: Generalized autoregressive pretraining for language understanding. Adv. Neural Inf. Process. Syst. 2019, 32. [Google Scholar]
- Radford, A.; Narasimhan, K.; Salimans, T.; Sutskever, I. Improving language understanding by generative pre-training. arXiv 2018, arXiv:1801.06146. [Google Scholar]
- Ahmed, K.; Wallace, B.C.; Johnson, R.; Pilehvar, M.T.; Wang, Y. Understanding attention mechanisms in text classification. In Proceedings of the 2019 Conference on Empirical Methods in Natural Language Processing, Hong Kong, China, 3–7 November 2019; pp. 1920–1930. [Google Scholar]
- Devlin, J.; Chang, M.W.; Lee, K.; Toutanova, K. BERT: Pre-training of deep bidirectional transformers for language understanding. arXiv 2019, arXiv:1810.04805. [Google Scholar]
- Dosovitskiy, A.; Beyer, L.; Kolesnikov, A.; Weissenborn, D.; Zhai, X.; Unterthiner, T.; Dehghani, M.; Minderer, M.; Heigold, G.; Gelly, S.; et al. An image is worth 16 × 16 words: Transformers for image recognition at scale. In Proceedings of the International Conference on Learning Representations, Vienna, Austria, 4 May 2021. [Google Scholar]
- Khan, S.; Naseer, M.; Hayat, M.; Zamir, S.W.; Khan, F.S. Transformers in vision: A survey. arXiv 2021, arXiv:2101.01169. [Google Scholar] [CrossRef]












| Fold | Validation Loss | Validation RMSE | Validation MAPE (%) | Validation R2 | Validation TWE | 
|---|---|---|---|---|---|
| 1 | 8688.38 | 91.58 | 36.12 | 0.8295 | 66.76 | 
| 2 | 9159.24 | 94.12 | 37.86 | 0.8203 | 68.77 | 
| 3 | 10,468.05 | 100.70 | 38.08 | 0.7937 | 73.73 | 
| 4 | 9543.85 | 96.02 | 42.39 | 0.8126 | 70.92 | 
| 5 | 9014.87 | 93.28 | 34.88 | 0.8228 | 67.61 | 
| Average | 9374.88 | 95.14 | 37.87 | 0.8158 | 69.56 | 
| Model | Loss | RMSE | MAPE | R2 | TWE | 
|---|---|---|---|---|---|
| GRU | 31,921 | 204 | 69 | 0.58 | 137 | 
| LSTM | 20,170 | 153 | 57 | 0.55 | 107 | 
| Bi-LSTM | 15,651 | 125 | 54 | 0.7 | 96 | 
| FCNN | 20,170 | 142 | 53 | 0.94 | 97 | 
| Transformer Encoder | 15,123 | 122.6 | 51 | 0.76 | 93 | 
| BAT-Transformer | 8722 | 92 | 35 | 0.83 | 66 | 
| Disclaimer/Publisher’s Note: The statements, opinions and data contained in all publications are solely those of the individual author(s) and contributor(s) and not of MDPI and/or the editor(s). MDPI and/or the editor(s) disclaim responsibility for any injury to people or property resulting from any ideas, methods, instructions or products referred to in the content. | 
© 2024 by the authors. Licensee MDPI, Basel, Switzerland. This article is an open access article distributed under the terms and conditions of the Creative Commons Attribution (CC BY) license (https://creativecommons.org/licenses/by/4.0/).
Share and Cite
Jeong, S.; Oh, C.; Jeong, J. BAT-Transformer: Prediction of Bus Arrival Time with Transformer Encoder for Smart Public Transportation System. Appl. Sci. 2024, 14, 9488. https://doi.org/10.3390/app14209488
Jeong S, Oh C, Jeong J. BAT-Transformer: Prediction of Bus Arrival Time with Transformer Encoder for Smart Public Transportation System. Applied Sciences. 2024; 14(20):9488. https://doi.org/10.3390/app14209488
Chicago/Turabian StyleJeong, Suhyun, Changsong Oh, and Jongpil Jeong. 2024. "BAT-Transformer: Prediction of Bus Arrival Time with Transformer Encoder for Smart Public Transportation System" Applied Sciences 14, no. 20: 9488. https://doi.org/10.3390/app14209488
APA StyleJeong, S., Oh, C., & Jeong, J. (2024). BAT-Transformer: Prediction of Bus Arrival Time with Transformer Encoder for Smart Public Transportation System. Applied Sciences, 14(20), 9488. https://doi.org/10.3390/app14209488
 
         
                                                


 
       