Abstract
In urban public transportation systems, the accuracy of bus arrival time prediction is crucial to reduce passenger waiting time, increase satisfaction, and ensure efficient transportation operations. However, traditional bus information systems (BISs) rely on neural network models, which have limited prediction accuracy, and some public transportation systems have non-fixed or irregular arrival times, making it difficult to directly apply traditional prediction models. Therefore, we used a Transformer Encoder model to effectively learn the long-term dependencies of time series data, and a multi-headed attentional mechanism to reduce the root mean square error (RMSE) and lower the mean absolute percentage error (MAPE) compared to other models to improve prediction performance. The model was trained on real bus-operation data collected from a public data portal covering the Gangnam-gu area of Seoul, Korea, and data preprocessing included missing value handling, normalization and one-hot encoding, and resampling techniques. A linear projection process, learnable location-encoding technique, and a fully connected layer were applied to the transformer-encoder model to capture the time series data more precisely. Therefore, we propose BAT-Transformer, a method that applies a linear projection process, learnable location-encoding technique, and a fully connected layer using bus data. It is expected to help optimize public transportation systems and show its applicability in various urban environments.
1. Introduction
In recent years, owing to urbanization and increased transportation volumes, active research has been conducted aimed at improving the efficiency and reliability of public transportation systems. In particular, accurate prediction of bus arrival times is crucial for increasing the reliability and satisfaction of public transport users, which plays a key role in reducing transportation congestion, minimizing environmental impact, and improving the quality of life of city dwellers. The development of autonomous public transport systems supported by smart mobility frameworks has become a critical area of focus in this research because it offers promising solutions to these challenges [1]. Accurate bus arrival time predictions are particularly important for public transportation users because they significantly influence user satisfaction and system efficiency. Moreover, the rise in flexible mobility in demand services driven by advancements in Internet of Things (IoT) technology has further enhanced the adaptability and responsiveness of public transportation systems to meet user needs [2].
Current bus information systems (BISs) primarily rely on GPS data and historical records to predict bus arrival times. However, this approach suffers from several limitations, including limited dependency learning capabilities, slow learning speed, and real-time processing constraints, resulting in poor prediction accuracy, especially in systems without fixed arrival times. A closer look at the issues with the existing BIS reveals the following problems: First, limited dependency learning capabilities prevent existing models from adequately reflecting the continuity of data over time, resulting in poor forecast accuracy [3]. Second, slow training speeds pose a significant problem in situations requiring real-time predictions. Processing large datasets requires a long time, often preventing the prediction model from reflecting the latest data [4]. Third, real-time processing limitations are particularly problematic in urban environments, where transportation conditions change rapidly. Existing models often fail to quickly incorporate real-time data, resulting in predictions that differ significantly from actual conditions [5]. Finally, the complexity of hyperparameter tuning makes model optimization difficult and requires substantial time and resources [6]. One of the main problems caused by these issues is the high latency of bus arrival time prediction, defined as the difference between the actual arrival time and the predicted arrival time, which has a significant impact on the user experience. In fact, passengers experienced unnecessary waiting times, and the current error margin of the BIS was approximately 2 min. According to a survey by the Seoul Metropolitan Government, approximately 78.1% of BIS users frequently use bus information terminals (BITs) installed at bus stops; however, a significant portion of them cite frequent system malfunctions (25.5%) and inaccurate arrival information (10.6%) as major inconveniences [7].
In bus arrival time prediction, existing studies have mainly utilized recurrent neural network (RNN)-based models to predict transportation flows over time. Fan et al. (2020) modeled transportation patterns through deep learning, with a particular focus on using Long Short-Term Memory (LSTM) to handle long-term dependencies [8]. In addition, Fu et al. (2016) presented a methodology to effectively predict transportation flows using LSTM and Gated Recurrent Unit (GRU) models. Gharaibeh et al. (2017) emphasized the potential of data management and transportation forecasting in smart cities, and these studies show that recurrent neural network-based methodologies have been dominant in transportation flow forecasting, including bus arrival time prediction [9,10]. However, these methodologies suffer from the limitation that they do not sufficiently address the problem of long-term dependencies, and various studies have been conducted utilizing artificial intelligence (AI) and machine learning (ML) techniques to address this issue [11]. Zhang et al. (2017) developed a deep spatio-temporal residual network to emphasize the potential of deep learning models to process complex spatiotemporal data [12]. Recently, Jingwei Guo et al. (2022) proposed a network structure that combines CNN and Bi-LSTM in parallel to improve the performance of train travel time prediction. The model combines the feature-extraction capabilities of CNN with the long-term dependency learning capabilities of Bi-LSTM to effectively handle time series data, improving the accuracy of the transportation-prediction model and demonstrating its real-time applicability [13]. Rashvand et al. (2022) presented a method to improve bus arrival time prediction in urban transportation conditions through different neural network architectures [14]. In addition, Guo et al. (2019) improved transportation flow-prediction accuracy using a spatial-temporal graph convolutional network, and Wu et al. (2019) demonstrated the effectiveness of the attention mechanism in enhancing sequence data processing in time-series prediction [15,16]. These studies show that attention mechanism-based models, which are at the heart of Transformer, provide better prediction accuracy and real-time performance than traditional recurrent neural networks, and are playing an important role in transportation forecasting.
In this study, we utilized public data platforms such as Seoul Open Data Plaza and Public data portal for bus arrival time prediction to obtain real-time transportation information, bus route information, and service records, which are various factors that can affect arrival times. In the data-preprocessing stage, we applied normalization and one-hot encoding techniques to handle missing values and maintain data consistency to build a high-quality dataset for model training, and to improve prediction performance, we applied resampling techniques to address the data imbalance problem proposed by Le Guennec et al. (2021) [17]. Data imbalance occurs when data are skewed toward certain paths or time periods, which negatively impacts model training, and we used resampling techniques to even out the distribution of the data. Iwana and Uchida (2021) highlighted that data augmentation plays a significant role in improving model generalization in time-series classification. Considering these references, we recognize the positive impact of applying data-resampling techniques on model performance [18]. We used these data-resampling techniques to address data imbalance and further improve the performance of our model.
We also introduced a learnable position encoding to better capture temporal dynamics and specific context. In the original transformer model, a fixed location encoding is pre-computed based on a sine function and is maintained during training, but in this work, we introduce a learnable location encoding that adapts during training to better capture temporal dynamics and specific context to improve performance. These learnable location encodings evolve through training to encode optimal location information, which is essential for understanding the different factors that influence bus delays. Several studies have begun to introduce learnable positional encodings that can adapt to the data during training and have proven essential. Lim et al. (2019) proposed the Temporal Fusion Transformer to enhance interpretability of multi-horizontal time series forecasts, effectively capturing temporal patterns through learnable positional encodings and improving the accuracy of forecasts [19]. Additionally, Li et al. (2019) introduced a method to strengthen locality to solve the memory bottleneck of the Transformer model, and used learnable location encoding to better reflect the characteristics of time series data and improve prediction performance [20]. This learnable location encoding enables the model to learn the optimal representation of temporal information during training, which can reflect the location information in the context of a specific task or dataset. This allows the model to learn to capture temporal structure more precisely, further improving the model’s predictive performance, and enabling the model to appropriately reflect different temporal dynamics.
The proposed framework uses a deep learning model based on transformer-encoders to more accurately predict the error time of bus arrival time. The model integrates current bus locations, transportation conditions, past arrival times, and other data and processes them simultaneously through a multi-head attention mechanism. The results include a significant improvement in prediction accuracy with a substantial reduction in the average arrival time errors compared with existing methods. Specifically, the model achieved a Root Mean Squared Error (RMSE) of 92 s, demonstrating considerable improvement over traditional machine learning systems. We also used k-fold cross-validation to ensure the generalization performance of the model and prevent overfitting.
The major contributions of this study can be summarized as follows:
- We develop a preprocessing pipeline that provides optimized data for the prediction model through preprocessing processes such as data filtering, feature extraction, and resampling.
- We propose a methodology that can effectively learn temporal and spatial information by combining learnable positional encoding and linear projection and improve prediction accuracy by utilizing a fully connected layer.
- The experimental results show that the proposed model can estimate the actual bus arrival time more accurately, and the prediction error is 30 s lower than that of the existing model, and the generalization performance is secured by k-fold cross-validation.
The remainder of this paper is organized as follows. Section 2 provides a detailed background and related research, and discusses existing methods and their limitations. Section 3 explains the research methodology, including data collection, preprocessing, and the transformer-encoder architecture. Section 4 introduces the experimental set-up, datasets, training procedures, and evaluation metrics. Section 5 presents the experimental results, highlights the performance improvements of the proposed model, summarizes key findings, and suggests future research directions.
2. Related Work
2.1. Smart Public Transportation System
Smart Public Transportation Systems (SPTSs) aim to maximize the efficiency, safety, and convenience of public transportation services by integrating cutting-edge technologies. These systems utilize real-time data, Internet of Things (IoT) devices, and intelligent algorithms to improve various aspects such as route optimization, transportation congestion management, and passenger experience enhancement, as shown in Figure 1.
Figure 1.
Overall structure of a smart public transportation system: organic connection of real-time data collection, analysis, and service provision.
For example, GPS tracking technology can monitor bus locations in real-time, and mobile applications can provide passengers with up-to-date arrival information. In addition, predictive analytics technology can predict bus arrival times and analyze transportation data to suggest optimal routes, which greatly contributes to reducing transportation congestion, increasing public transportation reliability, and enhancing passenger convenience [21]. In addition to these functionalities, real-time bus arrival time prediction is a key feature of the SPTS. Accurate predictions allow passengers to manage their time better and reduce waiting periods at bus stops.
Several studies have explored the potential of machine-learning algorithms to enhance the accuracy of these predictions. Almusaylim et al. (2019) proposed how IoT technologies can be integrated to optimize transportation flow and improve the responsiveness and adaptability of public transportation systems. Their work contributes to maximizing the efficiency of public transportation operations through real-time data analysis [22]. Yu, Yang, and Yao (2017) highlighted the role of advanced algorithms in predicting bus arrival times within SPTS. They explored the use of support vector machines (SVMs) combined with genetic algorithms (GAs) to improve prediction models, highlighting the importance of optimization techniques to improve prediction accuracy [23]. Their work highlighted the potential of hybrid models, which combine the strengths of different algorithms to provide a more robust approach for handling the complexity of real-time data in public transportation. Other researchers have contributed to the development of SPTSs by focusing on different aspects of smart transportation, such as network optimization, passenger demand forecasting, and adaptive scheduling. For example, research on network optimization has proposed algorithms to dynamically adjust bus routes based on real-time demand and transportation conditions to improve operational efficiency [24,25]. Another important area, passenger demand forecasting, uses historical and real-time data to predict passenger volumes to enable better resource allocation and reduce overcrowding during rush hours [26]. Recently, research has focused on combining transfer learning and attention mechanisms to enable more sophisticated predictions in public transportation systems. Guo et al. (2024) proposed a model that combines transfer learning and attention mechanisms to predict the arrival time of freight trains on the China–Europe Railway Express, demonstrating high prediction performance even when data are sparse. Such a model can be similarly applied in smart public transportation systems, contributing to real-time data processing and improved prediction accuracy [27].
These research efforts collectively highlight the potential of smart public transportation systems to revolutionize urban mobility. They provide a solid foundation for the development of advanced bus arrival time-prediction models such as those proposed in this study. As discussed in this study, the BAT-Transformer model builds upon these advancements by integrating machine-learning techniques with the robustness of the transformer architecture, offering a promising solution to the challenges faced in real-time public transportation management.
2.2. Attention Mechanism
The attention mechanism has become a crucial component of deep learning models, particularly for sequence-based tasks. The core idea of attention is to assign different weights to each element in the input sequence, thereby allowing the model to focus on more important elements. This approach helps the model handle long-range dependencies more effectively, and prioritizes the learning of important information. This concept was first introduced by Bahdanau et al. (2015) in the context of machine translation, where it significantly improved translation quality [28]. Following this, various modifications and enhancements were proposed, including the work by Luong et al. (2015), who introduced effective approaches for further improving machine translation performance using attention-based methods [29].
Among these advancements, self-attention and multi-head attention, which play critical roles in transformer models, have garnered significant attention. The self-attention mechanism allows the model to consider the relationships between all the elements in the input sequence simultaneously, enabling it to generate more refined and contextually relevant representations. Vaswani et al. (2018) applied these mechanisms to neural machine translation systems, leading to substantial improvements in translation tasks and for a wide range of natural language processing (NLP) tasks [30]. The impacts of these developments extend beyond NLP. Lin et al. (2017) proposed the use of self-attention to structure sentence embeddings, and demonstrated that this approach effectively captures complex relationships within textual data [31]. This capability is particularly relevant to time-series data such as bus arrival time prediction, for which understanding the intricate relationships between different data points is crucial. Attention mechanisms are particularly advantageous for handling complex time series data such as transportation information. Reicha et al. (2022) developed a bus arrival time-prediction model using attention mechanisms, achieving a higher accuracy than traditional models [32]. Their research showed that attention mechanisms can effectively capture important patterns in bus-operation data and accurately model the relationships between bus stops. This highlights the importance of attention mechanisms in the learning and prediction of complex patterns. The application of attention mechanisms is not limited to NLP or time-series data, but extends to various domains. Shen et al. (2018) introduced a method for performing language-understanding tasks using a directional self-attention network, without relying on recurrent or convolutional neural networks [33]. This study demonstrated the broad applicability of attention mechanisms across different fields. Similarly, Choromanski et al. (2021) proposed an efficient attention mechanism called the performer, which reduces the computational complexity of traditional self-attention while maintaining the performance [34]. This evolution of attention mechanisms demonstrates how they continue to effectively address computational challenges.
These studies provide both a theoretical foundation and practical validation of attention mechanisms, supporting their application in improving bus arrival time-prediction models. The advanced processing capabilities of attention mechanisms render them suitable for handling complex data patterns, particularly in real-time prediction systems. This study aims to leverage the strengths of attention mechanisms to further enhance the accuracy of bus arrival time predictions.
2.3. Transformer
The transformer model, introduced by Vaswani et al. in 2017, is an innovative architecture that completely eliminates the need for recurrent structures instead relyingentirely on self-attention mechanisms [35]. This approach overcomes the limitations faced by traditional sequence models such as Recurrent Neural Networks (RNNs), enabling the effective handling of long-range dependencies, significantly improving training speed, and allowing for parallel processing. Because of these characteristics, transformers have gained considerable attention, particularly in the field of Natural Language Processing (NLP) and have been widely applied across various domains.
The transformer architecture consists of an encoder and decoder, each composed of multiple layers of self-attention mechanisms and feedforward networks. This structure allows the model to capture contextual information within input sequences more effectively, making it particularly suitable for handling large datasets [36]. The transformer has served as the foundation for various derivative models such as BERT and GPT, which have consistently demonstrated superior performance in numerous NLP tasks [37]. A key component of the transformer model is the multi-head attention mechanism, which enables each element in the input sequence to simultaneously learn its relationships with other elements from multiple perspectives. This allows the model to effectively learn complex patterns within the input sequence, and exhibits high adaptability across various types of data [38]. Additionally, the positional encoding technique helps the transformer model recognize sequential data, making it possible for the model to process the order of the data, even in the absence of inherent sequential information. The transformer model also has a significant advantage in terms of training speed compared with traditional RNNs or Long Short-Term Memory (LSTM) models, primarily because of its high parallel processing capability. This makes the transformer particularly optimized for processing large datasets, and it has become widely used for training and prediction tasks involving massive amounts of data. Transformers are crucial in modern applications. For instance, Devlin et al. (2019) demonstrated that pretrained transformers, such as the BERT model, achieved outstanding performance across various natural language understanding tasks [39]. Additionally., Dosovitskiy et al. (2021) applied the transformer architecture to image recognition and showed that it outperformed traditional methods in processing image data. These studies indicate that transformer models can be flexibly utilized not only in NLP, but also on a variety of data formats, suggesting strong potential in prediction tasks [40]. The applications of transformer models extend beyond NLP to areas such as transportation-prediction systems. The high predictive performance of transformers is particularly effective in handling complex transportation patterns, and their ability to process long time-series data makes them highly promising for transportation prediction [41].
These studies highlighted the diverse applicability of transformer models and provided a crucial foundation for the model development proposed in this research. The robust processing capabilities of transformers make them well suited for handling complex data patterns, and they can serve as valuable tools, particularly in real-time prediction systems.
3. BAT-Transformer: Bus Arrival Time with Transformer Encoder
3.1. Overall Architecture
This study proposes a novel architecture for predicting bus arrival times. The proposed architecture leverages various data resampling and preprocessing techniques, and enhances the performance of the transformer-encoder model by incorporating linear projection, a learnable positional encoding technique, and a fully connected layer. The system was structured into data collection, data preprocessing, model training, and prediction stages. The overall architecture is shown in Figure 2.
Figure 2.
BAT-Transformer architecture.
Data from 55 buses in the Gangnam area were collected using the OPEN API of the public data portal. These include real-time bus locations, bus operations, and route information. As shown in the upper part of Figure 2, the collected data underwent a filtering stage to extract the necessary information based on which key features were selected. These features provide essential information for model training and play a crucial role in enhancing the data quality and prediction performance in subsequent stages.
The selected features are used to generate a balanced dataset using resampling techniques. Resampling alleviates data imbalance and helps the model operate stably in various situations. The generated data were normalized using a standard-scaler. Normalization ensures that the data scales are aligned, facilitating efficient model training, and mitigating convergence issues that may arise during the learning process. Categorical variables were processed using one-hot encoding. One-hot encoding transforms categorical data into binary vectors, allowing the model to learn effectively. The transformed data were linearly projected onto a high-dimensional space, making them suitable for model training. Through this process, the data were ready for training and used as input for the model.
The preprocessed data are then trained using the transformer-encoder model. This flow is shown in in the lower architecture of Figure 2. In this model, the input data were projected into a d_model dimensional space, and learnable positional encoding was added to capture the sequential order of the time-series data. Positional encoding helps the model effectively process time-series data by incorporating temporal information. The model employs a multi-head attention mechanism and dropout to learn significant patterns while preventing overfitting. Multi-head attention allows the model to analyze data from multiple perspectives, whereas dropout enhances the generalization performance of the model by mitigating overfitting during training. Finally, a fully connected layer is added to convert the final output of the transformer into a single prediction value.
3.2. Stage 1: Data Preprocessing
Figure 3 shows the data-collection and -preprocessing pipeline used in this study. The bus’s current location, arrival information, and route information were collected through the OPEN API provided by the Seoul Metropolitan Government’s public data portal. The data-collection period spanned from 29 April to 20 May, with information gathered at intervals of 2–4 min. This study focused on Gangnam-gu, a region characterized by high population mobility, involving 55 buses, 35 trunk buses, and 20 branch buses. The collected data consisted of 19 attributes: RecordedAtTime, DirectionRef, PublishedLineName, OriginName, OriginLat, OriginLong, DestName, DestLat, DestLong, VehicleRef, VehicleLocation.Lat, VehicleLocationLong, NextStopPointName, NextStopTime, DistanceFromStop, FullSectDist, ArrivalProximityTime, and RoadType.
Figure 3.
Stage 1: data preprocessing.
The data collected through each API comprised approximately 4 million instances. These were consolidated into a single dataset and filtered to derive meaningful observations. Note that only data reflecting bus movements between stops were used. To achieve this, data samples with the value “at-stop” in the ArrivalProximityText field were removed. Additionally, data samples marked as “1 stop before” in the NextStopStation field were excluded, and a new variable, Bus_stop, was created by removing samples with the value “1 stop before” in the ArrivalProximityText field. This resulted in a total of 1.5 million data records. From this dataset, various input features, such as bus routes, stops, time-related variables, and distance-related variables, were extracted.
Figure 4 shows the structure of the input and output variables used in the model. The input variables were broadly categorized into numerical, time, and binary types, whereas the output variable was NextStopTime, which the model was tasked with predicting. After feature extraction, we performed a feature selection process to identify features that would have a significantly impact on the performance of the model. The feature selection process focused on removing unnecessary features while retaining the most important ones to reduce model complexity, mitigate multicollinearity, and increase prediction accuracy.
Figure 4.
Input and output data features.
The bus routes, which are categorical features, were initially represented as integer values to differentiate between each route. However, this approach was not only inefficient, but the numeric values could lead to unintended relationships between routes. To address this, we converted the bus routes to binary features using one-hot encoding. Consequently, 232 additional binary features were generated, aiding the model in learning the differences between routes. For example, suppose you have three bus routes (Route A, Route B, and Route C), which were originally represented as integers 1, 2, and 3. After applying one-hot encoding, each route was represented as a binary vector: Route A is represented as [1, 0, 0], Route B as [0, 1, 0], and Route C as [0, 0, 1]. This allowed each route to be uniquely identified and removed the order relationship between routes. As a result, the model was better able to learn and distinguish the characteristics of each route (e.g., different transportation conditions, number of passengers, average travel time, etc.). Vehicle_Type, which represents the order of stops, plays an important role in understanding transportation flow and passenger demand. This variable was kept because it represents the location of the bus and the level of service at each stop, and was processed using an integer encoding.
Features such as time-related variables RecordedAtTime, ScheduledArrivalTime, Rush_hour, and Day_type were retained because they are essential to understanding transportation patterns at each time of day. RecordedAtTime was converted to a specific time of day, and Day_type was differentiated between weekdays and weekends to reflect the difference in transportation patterns. To define Rush_hour, we analyzed the number of people getting on and off the bus route at different times of the day, which is shown in Figure 5.
Figure 5.
Comparison graph of boardings and alightings by time of day.
Figure 5 shows the total number of people boarding and alighting by time of day. The analysis shows that the main rush hours are from 7 to 9 a.m. and 6 to 8 p.m. These are the times when the number of passengers increases significantly, indicating that these are the busiest times to use the bus. Initially, rush hours were assumed to be 7 to 9 a.m. and 6 to 8 p.m. based on general transportation information in urban areas. However, after analyzing actual bus route data, we found that these assumptions aligned well with the data. In the graph, we can see a sharp increase in boardings and alightings in the morning (7–9 a.m.) and evening (6–8 p.m.). By taking this data-driven approach, we were able to determine that these are the peak hours that see the highest passenger activity. By incorporating this dynamically defined rush hour information into the model, we were able to help the model better recognize and learn from peak hour transportation patterns and improve its predictive performance, especially in situations where congestion has a significant impact on bus arrival times.
DistanceFromStop, a distance and location-related variable, was modified to be the distance between the current location and the next stop to provide a more accurate metric for prediction. Additionally, a binary variable was created to categorize the distance as “close” or “far” and was set to 500 m, the average distance between stops. Features such as RoadType and DirectionRef were also included to reflect the nature of the route (e.g., whether it is a bus-only lane, direction of travel) to help the model predict transportation flow.
The feature selection process focused on including variables that directly contribute to understanding transportation flow, stop sequences, and patterns over time. Redundant or poorly discriminative features were removed to simplify the model while maintaining high predictive performance. For example, variables such as VehicleLocation.Lat and VehicleLocationLong were removed because they were highly correlated with other location-based features and did not independently improve performance.
The final set of selected features consisted of numeric, categorical, and binary variables, which allowed the model to effectively learn from the data and avoid overfitting. These features contributed to improved prediction performance by allowing the model to learn key characteristics of bus operations (e.g., route characteristics, changes over time).
3.3. Stage 2: Time Prediction
The transformer-encoder model consists of several essential components designed to predict bus arrival times, each of which contributes to the characteristics of the training data and the accuracy of the prediction. As shown in Figure 6, the input is data of the form (N, 59), where N is the number of data and 59 contains 59 characteristics, such as recorded time, distance to the stop, and frequency interval. This input is transformed into a 256-dimensional vector via a linear projection layer, which allows for more complex relationships to be learned. Before entering self-attention, it goes through a learnable positional encoding that adapts during training to better capture temporal dynamics or other specific contexts, instead of a fixed positional encoding that does not take into account existing ordering information.
Figure 6.
Stage 2: time prediction.
This interaction in the model begins by creating a Query, Key, and Value vector. Each attribute of the input data forms a Query, Key, and Value vector, which allows the model to understand the data from multiple perspectives. The query and key vectors RecordedAtTime and ScheduledArrivalTime help the model understand how late the bus is currently running, DistanceFromStop and RoadType help the model understand what conditions the bus is facing on the road, and rush_hour and day_type provide values to help the model understand external conditions, such as transportation patterns over time. The interaction between these vectors is done through multi-headed attentions, where each attentional head learns the relationships between the input data from different perspectives: temporal relationships to understand when delays occur by analyzing the difference between the recorded time and the scheduled arrival time; spatial relationships to analyze how certain conditions (such as the type of road or the condition of the bus stop) affect the progress of the bus, taking into account the remaining distance; and external conditions, such as rush hour, to consider the amount of transportation at each time of day, which determines how much the bus will be delayed. The dot product between the query and key vectors is calculated to generate a score for the relationship between each input, which is scaled and then normalized using a softmax function. The resulting attentional weights indicate which inputs are more important in the current context. For example, during rush hour, transportation conditions play a more important role, and these weights might be set higher. The value vectors are then combined with these weights to create a final output that represents a unified understanding of the various factors. In this way, each attentional head computes interactions in parallel to integrate information from different perspectives, and the results from each head are combined back together in the concat step in the form of (N, 256) to form a multi-attentional output. This structure allows the model to capture complex relationships between multiple factors simultaneously.
The output of the self-attention mechanism passes through the ADD & NORM layer before being directly fed as input to the feedforward network (FFN). In situations where subtle changes in distance or transportation conditions can act as important signals, Residual Connection ensures that the original input is passed along with the transformed output to ensure that the original information is not lost so that these signals are not overwhelmed by more prominent features. Layer Normalization also normalizes the output of each layer to stabilize learning and improve learning speed. The FFN then performs more complex transformations on each input feature, performing non-linear transformations on each feature, allowing the model to learn more complex patterns. An ADD & NORM layer is also applied between the feedforward network (FFN) and the fully connected layer to retain the learned information and stabilize the data flow, helping the model to effectively learn complex, non-linear relationships between attributes. Finally, the Fully Connected Layer converts the final output into a single scalar value: the predicted latency. This layer maps the abstract and complex representation learned by the previous encoder layers into a concrete predicted value. It uses all the learned relationships, such as time of day, distance remaining, road type, etc. to accurately predict the bus delay at a specific point in time. We experimentally tested different numbers of encoder layers and found that eight layers were the most effective at capturing the relationships between temporal and spatial characteristics and predicting bus delays.
Through this combination of multi-headed attentions, feedforward networks, ADD & NORM layers, and fully connected layers, the model progressively refines and understands the data. Each encoder layer adds new abstractions and complexity, allowing the model to dynamically process and effectively predict the various factors that affect bus delays. This design allows the model to capture both short-term interactions, such as sudden changes in transportation conditions, and long-term trends, such as rush hour patterns, to make accurate delay predictions.
4. Experiment and Results
4.1. Dataset and Data Collection
In this study, we collected data using the OPEN API of Korea’s Open Public Data Portal (DATA.GO.KR). The real-time data is retrieved through API requests, and the data is converted and stored in CSV file format. Figure 7 shows the process of data collection.
Figure 7.
Data-collection and -conversion process using the Public Data Portal API.
We removed outliers before entering the data, and due to the nature of the OPEN API, which imposes daily transportation limits, we observed data imbalances over various time periods, including missing data at certain times of day. Unbalanced data can cause the model to make biased predictions for certain times or conditions, so it is essential to keep the data balanced. To address this imbalance, the study used both upsampling and downsampling to balance the data. Upsampling increases the data of underrepresented instances, while downsampling reduces the data of overrepresented instances. As shown in Figure 8, the blue graph shows the number of data points per time zone before resampling and the red graph shows the number of data points after resampling. Specifically, the number of data points from 6 p.m. to 11 p.m. was almost three times lower than the peak hours of 9 a.m. to 10 a.m. To address this imbalance, we applied data-resampling techniques and used upsampling techniques to increase the values from 6 p.m. to 11 p.m. because we only needed to adjust the values for RecordedAtTime, trip_time, and DistanceFromStop, while the other values remained constant. For the densely populated hours of 9 a.m. and 10 a.m., we applied downsampling to reduce the data imbalance.
Figure 8.
Data Distribution of data before and after resampling by time zone: blue line shows before resampling and red line shows after resampling.
Because of the wide range of input feature values, scaling was required before the data were fed into the model. While binary features like rush hour conditions are represented as 0 or 1, features like distance or time can vary from hundreds of meters to various scales. Differences in feature ranges can affect the model, so we used StandardScaler to convert all input feature values, which ensured that the data ranges were consistent, making it easier to train the model. Scaling the data in this way allows the model to learn in a balanced way without relying on any particular feature.
The entire dataset was used 80 percent for training and 20 percent for validation. Out of about 1.5 million data instances, approximately 1.2 million were used for training, and the remaining 300,000 were used for validation. This split helps to evaluate the model’s performance and validates its generalization capabilities. To ensure the model’s generalization performance and avoid overfitting, we also used k-fold cross-validation to evaluate the model by dividing the data into k folds, using each fold as the test set and the remaining folds as the training set.
4.2. Settings
The BAT-Transformer is a model based on the transformer architecture, de-signed to process time series data such as bus arrival delays. In this study, we configured the model with a depth of eight layers and set the dropout rate to 0.3, as this was the best performing layer in the transformer-encoder when we tried training with multiple layers. The dropout mechanism, which randomly disables neurons during training, was used to improve the model’s generalization performance. Dropout is a widely used technique to prevent overfitting by ensuring that the model does not rely heavily on a particular pattern, thereby improving its generalizability.
The learning rate was set to to control the rate at which the model weights are updated, maintain stability, and prevent excessive changes. The number of epochs was set to 50 to provide enough learning time for the model to effectively learn the data, and was set to 50 as the appropriate learning epoch after checking the instability of the model due to overfitting if the number of epochs was higher than 50, and the poor learning progress if the number of epochs was too low.
The model training was conducted in a local environment using NVIDIA Quadro P2000 GPU, 16.0 GB RAM, Intel i7-8700 CPU, Visual Studio Code development environment, and Python 3.11. Hardware and software environments have a significant impact on the efficiency of model training, and GPUs in particular enhance the parallel processing capabilities of deep learning models, significantly accelerating the learning process. The Adam algorithm, which provides both learning speed and stability, is effectively used in many deep learning models and was also used in this experiment to update the model parameters. We also evaluated the model performance during the learning process using various evaluation metrics to objectively assess the predictive performance of the model. In this study, we used root mean square error (RMSE), mean absolute percentage error (MAPE), coefficient of determination (R2), and time-weighted error (TWE) as the main evaluation metrics.
4.3. Performance Metrics
The Root Mean Squared Error (RMSE) is a widely used metric in bus arrival time forecasting that provides the forecast error in actual time units (seconds or minutes), allowing for an intuitive interpretation of the forecast performance. We chose RMSE as the main performance-evaluation metric because it is sensitive to large errors between predicted and actual values, making it suitable for conservatively evaluating the prediction accuracy of a model, and in time series data such as bus arrival time prediction, RMSE is very useful for comparing the overall prediction performance of a model. In this Formula (1), represents the actual bus travel time, represents the predicted bus travel time, and n represents the sample size.
The mean absolute percentage error (MAPE) expresses the accuracy of a prediction model as a percentage, which is useful for comparing the performance of models across different datasets and scales, especially when the values in the data span a wide range, as MAPE shows the relative prediction error, making it intuitively easier to understand the accuracy of the model. In this study, MAPE was used to evaluate the predictive accuracy of the model and to see how consistently the model performed overall. In this formula, represents the true value and represents the predicted value.
The coefficient of determination () is a metric that evaluates how well a model explains the variability in the data, indicating how much of the variance in the true value can be explained by the model, and is a widely used metric in regression analysis, quantifying the proportion of the variance in the dependent variable that can be predicted from the independent variable. A higher value indicates that the model is explaining the data well, so in this study, we used the metric to see how well the model explains the variability in bus arrival times. A value closer to 1 indicates that the model explains a higher percentage of the variance, indicating a better fit. As expressed in Formula (3), represents the actual bus travel time, Pi represents the predicted bus travel time, represents the average of the actual values, and n represents the sample size.
The Time-weighted error (TWE) is a performance metric that incorporates the importance of forecast error at different points in time by applying weights. In bus arrival prediction, forecast accuracy may be more important at certain times of the day, so TWE is used to reflect the importance of these times. TWE can be weighted to evaluate forecast errors at different times of the day, providing a more precise measure of the accuracy of the forecast over time. Since forecast accuracy at specific times of day has a direct impact on congestion management and transit user satisfaction, it was important to use TWE to highlight forecast performance at these critical points in time. As expressed in Formula (4), where represents the actual bus travel time, represents the predicted bus travel time, represents the weight associated with the i-th data point, and n represents the total number of data points.
In this study, we used a combination of these performance metrics to evaluate the model’s performance from multiple angles. RMSE intuitively shows the overall error size of the model, while MAPE helps to understand the relative error. R2 indicates the explanatory power of the model, and TWE reflects the importance of prediction error over time, allowing us to evaluate the performance of the model from different perspectives. These metrics complement each other, allowing us to better understand the strengths and weaknesses of the model and set optimization directions based on them.
4.4. Results
In this study, we applied linear projection, learnable location-encoding techniques, and a fully connected layer to a transformer-encoder model to predict bus arrival times, which was evaluated on various metrics and subjected to K-fold cross-validation. We also compared it to LSTM, GRU, Bi-LSTM, FCNN, and standard transformer-encoder models to demonstrate its performance. First, the final evaluation results of the BAT-Transformer were LOS: 8722, RMSE: 92, MAPE: 35%, with an RMSE value of 92 indicating an expected arrival delay of 92 s. The graph below shows the evolution of the evaluation metrics during the learning process.
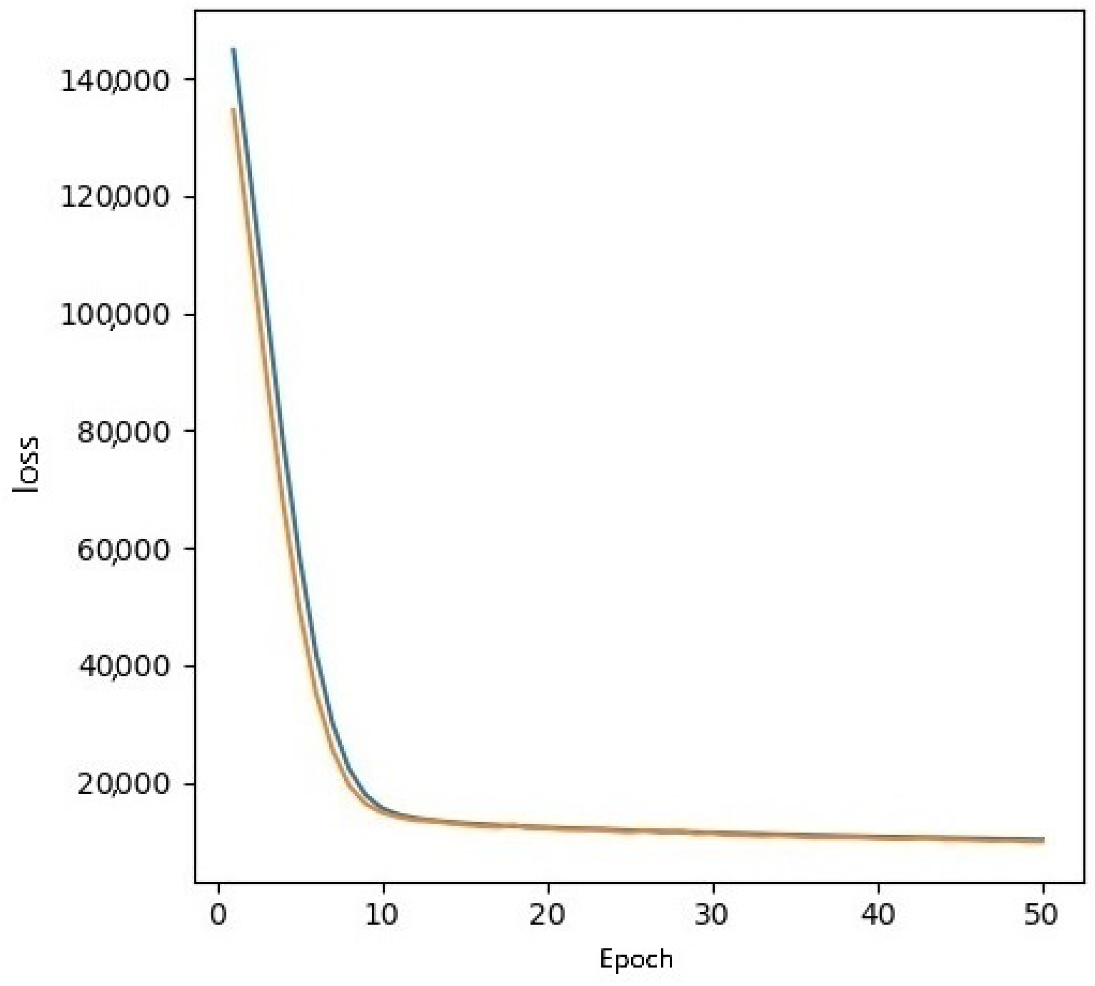
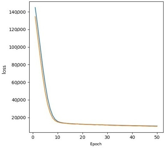
As shown in Figure 9, the blue line represents the training loss and the yellow line represents the validation loss, which is the difference between the predicted value and the actual value during model training. The graph shows that the loss value decreases rapidly as the number of epochs increases. During the early epochs, the loss value decreased significantly, indicating that the model learned quickly, and after about 20 epochs, the rate of decrease decreased, indicating that the model approached the optimal state. In the final epoch (50 epochs), the loss value remained almost constant, indicating that the model reached a steady state without significant change, and the validation loss stabilized at a similar level to the learning loss, indicating that the model has good generalization performance without overfitting.
Figure 9.
Loss of training and validation: The blue line shows the change in training values and the yellow line shows the change in Validaion values.
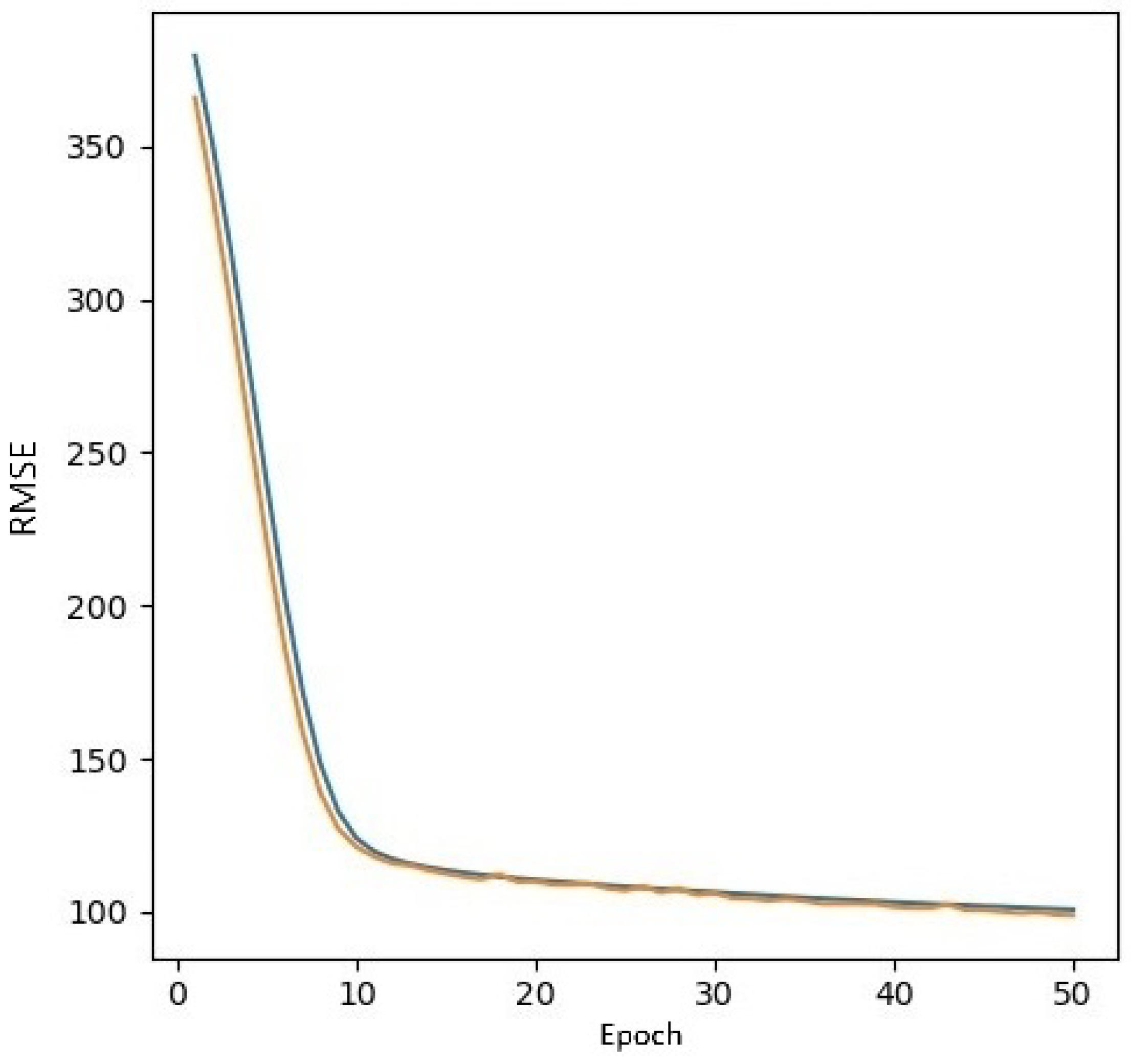
As shown in Figure 10, the blue line represents the training RMSE and the yellow line represents the validation RMSE. During the initial epochs, the RMSE value decreases rapidly, showing that the model’s prediction accuracy is improving rapidly with training. After about 20 epochs, the rate of decrease of the RMSE value slows down, indicating that the model has achieved stable prediction performance through learning, and in the final epoch, the RMSE value remains almost constant, indicating that the model has maintained stable prediction performance without significant change. In the graph, we can see that the validation RMSE converges to a similar level to the training RMSE, indicating that the model performed consistently across different datasets.
Figure 10.
RMSE of training and validation: The blue line shows the change in training values and the yellow line shows the change in Validaion values.
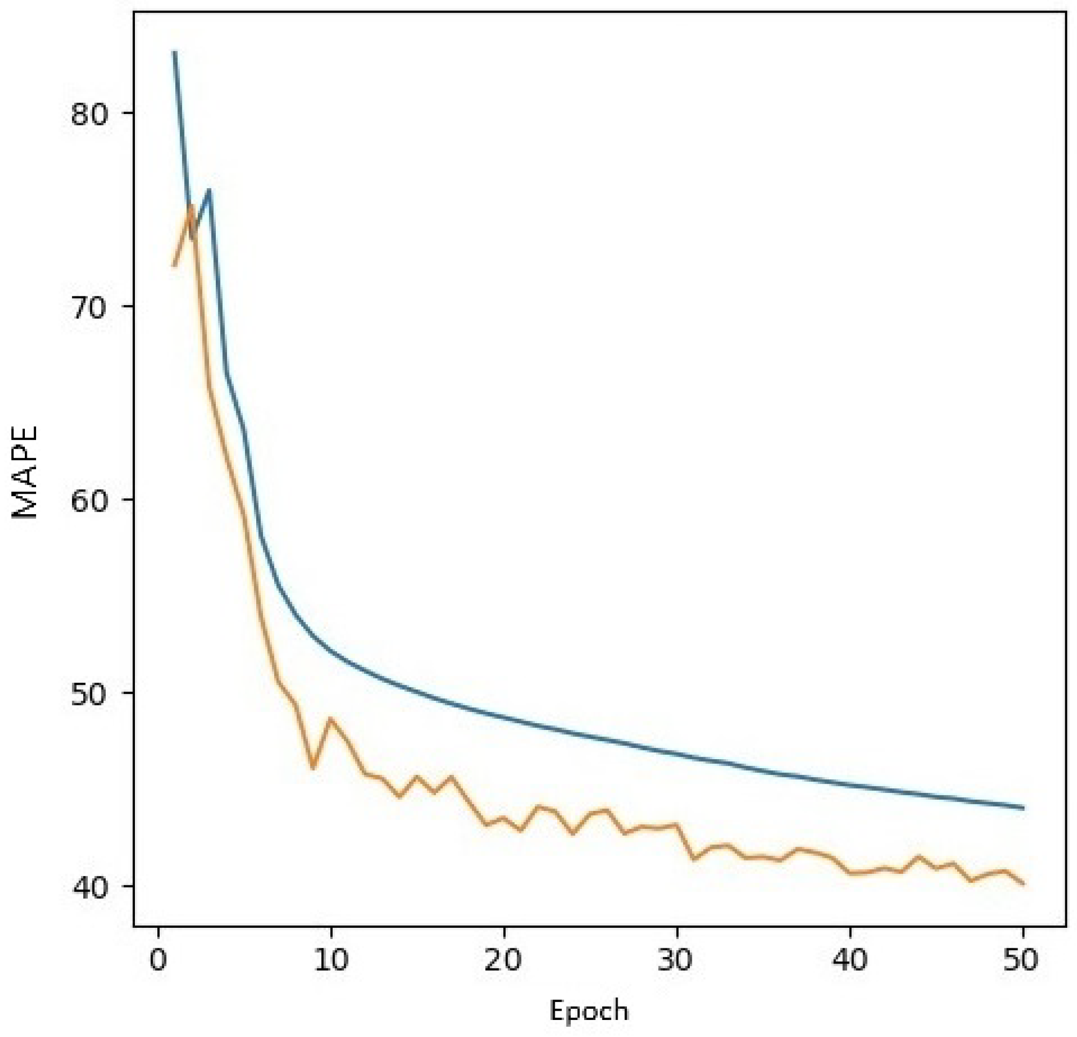
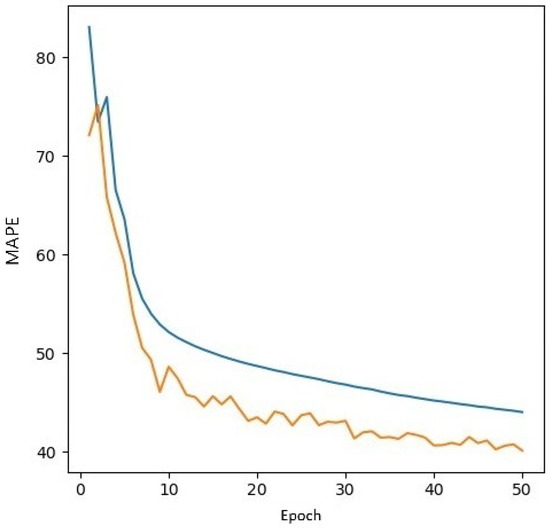
As shown in Figure 11, the MAPE value decreased sharply during the initial epoch, indicating that the model quickly reduced its prediction error as it learned. There was a temporary increase in the MAPE value during the middle epoch, which may have occurred as the model learned certain patterns, and as learning progressed, the MAPE value decreased again and stabilized in the final epoch, indicating that the model’s prediction performance remained consistent. The convergence of the validation MAPE to a similar level to the training MAPE confirms that the model’s predictive performance is stable across a wide range of data patterns. These three graphs indicate that the model gradually improved with learning and ultimately achieved stable prediction performance, which supports that the proposed transformer model is effective in predicting bus arrival times.
Figure 11.
MAPE of training and validation: The blue line shows the change in training values and the yellow line shows the change in Validaion values.
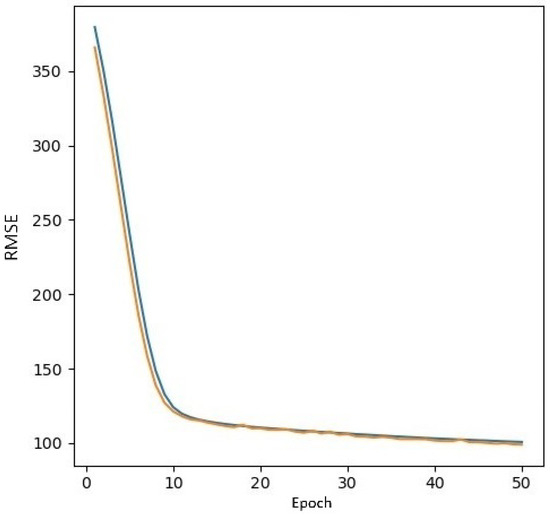
Figure 12 shows a graph comparing the training RMSE of the six models.
Figure 12.
Comparison of RMSE: the red line represents FCNN, the blue line represents transformer-encoder, and the green line represents BAT-Transformer.
The RMSE as a function of epoch during the training of the Transformer-Encoder, FCNN, BAT-Transformer, LSTM, GRU and Bi-LSTM models can be seen in Figure 12, and it can be seen that the BAT-Transformer model converged faster and achieved a lower RMSE. The Transformer-Encoder model showed a stable decreasing trend, with an initial RMSE starting at about 476 and gradually decreasing to about 122 at the 50th epoch. The FCNN model had a higher RMSE value in the early stages, which decreased rapidly, showing a sharp performance improvement, and then maintained a relatively moderate decrease. The BAT-Transformer model had the lowest RMSE from the start and continued to decline, showing very rapid performance improvement and stable characteristics. The LSTM model and Bi-LSTM improved at a stable and constant rate, while the GRU showed a similar pattern of performance improvement to the LSTM, but with a slightly higher RMSE than the LSTM in the last epoch. This graph visually compares the performance of the five models for predicting bus arrival times, highlighting that the BAT-Transformer model outperformed the others with the fastest decrease in RMSE. The Transformer and LSTM models show a steady improvement in performance, with the Transformer model outperforming the other models until the last epoch. The FCNN and GRU models showed rapid performance improvement in the early epochs, but the performance improvement tended to slow down in the later epochs.
In this study, we used k-fold cross-validation to ensure the model’s generalization performance and prevent overfitting, and we chose a k-value of five to more reliably evaluate the model’s performance. This cross-validation process ensured consistent performance across different data partitions and ensured that the model learned general patterns without being biased toward specific data.
As shown in Table 1, the average RMSE obtained through cross-validation was 95.14, while the final model trained using the full dataset resulted in an RMSE of 92. These results suggest that when the model is trained on the full data, it has slightly better predictive performance than the average performance found through cross-validation. In particular, the difference between the RMSE from cross-validation and the RMSE of the final training model indicates that the model maintained consistent performance during cross-validation, indicating that the final model has high predictive accuracy. Similarly, the final MAPE was 35%, which is lower than the average MAPE of 37.87% in cross-validation, indicating that the model maintained a relatively low prediction error on the overall data. The coefficient of determination () value was also higher in the final model (0.83) than the cross-validation average (0.8158), indicating that the model better explained the variability in the data. The time-weighted error (TWE) was also 66 in the final model, which is lower than the cross-validation average of 69.56, indicating improved prediction performance during critical time periods and confirming that the model has been cross-validated to reflect the importance of different time periods. This indicates that the model was trained reliably without overfitting, and we can see that it has reliable prediction performance in a variety of environments.
Table 1.
BAT-Transformer cross-validation with 5 folds.
Furthermore, Table 2 compares the performance of the proposed BAT-Transformer model with that of five other models across five evaluation metrics: loss, RMSE, MAPE, R2, and TWE.
Table 2.
Performance comparisons of BAT-Transformer and others.
The proposed BAT-Transformer model performed well on metrics such as loss, RMSE, MAPE, and TWE. The loss of the BAT-Transformer was 8722.7, which is significantly lower than the other five models, indicating that the model was optimized more effectively during the learning process. In addition, the RMSE and MAPE metrics, which represent the accuracy of the prediction, were 92 and 35, respectively, showing excellent performance compared to the existing models. In particular, in terms of Time Weighted Error (TWE), BAT-Transformer recorded the lowest value of 66, demonstrating its superiority in time-based prediction performance. Although FCNN slightly outperformed BAT-Transformer in the R2 metric with a value of 0.94, this may be due to the fact that BAT-Transformer’s design focuses on minimizing latency prediction, which means that it places more emphasis on temporal accuracy, even if it does not fully account for data variability. However, the superior performance on other performance metrics is more significant.
Thus, the proposed BAT-Transformer model outperformed the other models, especially in terms of metrics related to prediction accuracy, showing significant improvement over the other models, suggesting that the proposed model has the ability to effectively learn and predict complex transportation patterns.
5. Conclusions
In this study, we propose a method to predict bus arrival times in the Gangnam area by applying linear projection, learnable location-encoding techniques, and a fully connected layer within a transformer-encoder model. The approach is compared with time series forecasting models GRU, LSTM, Bi-LSTM, transformer-encoder model, and fully connected neural network (FCNN) model. The proposed BAT-Transformer model performed well in predicting bus arrival times by effectively learning the temporal characteristics of the data using these techniques. The performance-evaluation results showed that the BAT-Transformer model achieved a low RMSE of 92 and a relatively low MAPE of 35%. This means that the BAT-Transformer model fits the training data well and achieves higher prediction accuracy than the traditional BIS error time, which indicates that the transformer model fits the training data well and achieves high prediction accuracy. In addition, the BAT-Transformer model converged faster and had lower loss and RMSE values than other models, suggesting that it effectively handles complex time series data and learns various patterns to achieve high prediction accuracy. These results demonstrate the superiority of the model and highlight its stability and consistency even on large datasets, enhancing its applicability in real-world scenarios.
Furthermore, the BAT-Transformer model outperforms the other models in terms of MAPE and TWE, indicating better prediction accuracy and reduced prediction error on real data. However, in terms of the R2 metric, the FCNN model records higher values, suggesting a better explanation of data variability. This indicates that the BAT-Transformer model may be somewhat deficient in fitting the data. Nevertheless, this study shows the superior performance of the BAT-Transformer model by prioritizing prediction accuracy and error reduction. Future research should focus on improving data fitting to address this aspect.
The main objectives of this study were to experimentally demonstrate that the linear projection process, learnable location-encoding technique, and fully connected layer applied to the transformer-encoder model outperform other models in predicting bus arrival-prediction error time. We also verified that the data-resampling technique can effectively handle unbalanced datasets and improve the learning performance of the model, and systematically evaluated the performance of the model using various metrics to verify its practical applicability. However, there are some limitations to this study. Additional data-collection and -preprocessing is needed to achieve more consistent performance improvements, lighter model designs should be considered, and optimization techniques should be explored to reduce the complexity and computational cost of the converter model. These aspects will be addressed in future work. In future work, experiments will be conducted in different environments to validate the generalization capabilities of the transducer model and explore its potential as a real-time prediction system. This study demonstrates the feasibility of using transducer models for bus arrival time prediction, which may contribute to improving the efficiency of public transportation systems in the future.
Author Contributions
Conceptualization, S.J.; methodology, S.J.; software, S.J.; validation, S.J.; formal analysis, S.J.; investigation, S.J.; resources, S.J.; data curation, S.J.; writing—original draft preparation, S.J.; writing—review and editing, C.O. and J.J.; visualization, S.J.; supervision, C.O. and J.J.; project administration, S.J.; funding acquisition, S.J. All authors have read and agreed to the published version of the manuscript.
Funding
This work was supported by Institute of Information & communications Technology Planning & Evaluation(IITP) grant funded by the Korea government(MSIT) (2020-0-00002, ETRI R&D Support Project).
Institutional Review Board Statement
Not applicable.
Informed Consent Statement
Not applicable.
Data Availability Statement
The data used in this study were collected through four APIs, including the ‘Seoul Metropolitan City_Bus Location Information Inquiry Service’ of the Korea Open Data Portal (https://www.data.go.kr/, accessed on 4 April 2024). The collected data underwent missing value processing and preprocessing, and then underwent in-depth statistical analysis and modeling. The processed data is provided upon request from the corresponding author.
Acknowledgments
This work was supported by Institute of Information & communications Technology Planning & Evaluation(IITP) grant funded by the Korea government(MSIT) (2020-0-00002, ETRI R&D Support Project).
Conflicts of Interest
The authors declare no conflicts of interest.
References
- Mounce, R.; Nelson, J.D. On the role of frameworks and smart mobility in the development of autonomous public transport systems. Transp. Res. Part A Policy Pract. 2019, 119, 400–410. [Google Scholar]
- Liyanage, S.; Dia, H.; Abduljabbar, R.; Bagloee, S.A. Flexible mobility on demand: An environmental scan. Sustainability 2019, 11, 1262. [Google Scholar] [CrossRef]
- Zheng, G.; Liu, W.; Zhang, X. Deep and embedded learning approach for traffic flow prediction in urban informatics. IEEE Trans. Intell. Transp. Syst. 2018, 20, 3687–3699. [Google Scholar] [CrossRef]
- Huang, W.; Song, G.; Hong, H.; Xie, K. Deep architecture for traffic flow prediction: Deep belief networks with multitask learning. IEEE Trans. Intell. Transp. Syst. 2014, 15, 2191–2201. [Google Scholar] [CrossRef]
- Li, Y.; Yu, R.; Shahabi, C.; Liu, Y. Diffusion convolutional recurrent neural network: Data-driven traffic forecasting. arXiv 2018, arXiv:1707.01926. [Google Scholar]
- Yu, H.; Wu, Z.; Wang, S.; Wang, Y.; Ma, X. Spatiotemporal recurrent convolutional networks for traffic prediction in transportation networks. Sensors 2017, 17, 1501. [Google Scholar] [CrossRef]
- Seoul Metropolitan City Transportation Information. Public Transportation Status in Seoul. 2023. Available online: https://topis.seoul.go.kr/refRoom/openRefRoom_8.do (accessed on 4 April 2024).
- Fan, X.; Xiang, C.; Chen, C.; Yang, P.; Gong, L.; Song, X.; Nanda, P.; He, X. Deep learning for intelligent traffic sensing and prediction: Recent advances and future challenges. CCF Trans. Pervasive Comput. Interact. 2020, 2, 240–260. [Google Scholar] [CrossRef]
- Fu, R.; Zhang, Z.; Li, L. Using LSTM and GRU neural network methods for traffic flow prediction. In Proceedings of the 2016 31st Youth Academic Annual Conference of Chinese Association of Automation (YAC), Wuhan, China, 11–13 November 2016. [Google Scholar]
- Gharaibeh, A.; Salahuddin, M.A.; Hussini, S.J.; Khreishah, A.; Khalil, I.; Guizani, M.; Al-Fuqaha, A. Smart cities: A survey on data management, security, and enabling technologies. IEEE Commun. Surv. Tutor. 2017, 19, 2456–2501. [Google Scholar] [CrossRef]
- Ma, X.; Tao, Z.; Wang, Y.; Yu, H.; Wang, Y. Long short-term memory neural network for traffic speed prediction using remote microwave sensor data. Transp. Res. Part C Emerg. Technol. 2015, 54, 187–197. [Google Scholar] [CrossRef]
- Zhang, J.; Zheng, Y.; Qi, D. Deep spatio-temporal residual networks for citywide crowd flows prediction. In Proceedings of the AAAI Conference on Artificial Intelligence, San Francisco, CA, USA, 4–9 February 2017; Volume 31. [Google Scholar]
- Guo, J.; Wang, W.; Tang, Y.; Zhang, Y.; Zhuge, H. A CNN-Bi_LSTM parallel network approach for train travel time prediction. Knowl.-Based Syst. 2022, 233, 109796. [Google Scholar] [CrossRef]
- Rashvand, N.; Hosseini, S.S.; Azarbayjani, M.; Tabkhi, H. Real-Time Bus Arrival Prediction: A Deep Learning Approach for Enhanced Urban Mobility. IEEE Trans. Intell. Transp. Syst. 2022, 23, 567–578. [Google Scholar]
- Guo, S.; Lin, Y.; Feng, N.; Song, C.; Wan, H. Attention based spatial-temporal graph convolutional networks for traffic flow forecasting. In Proceedings of the AAAI Conference on Artificial Intelligence, Honolulu, HI, USA, 27 January–1 February 2019. [Google Scholar]
- Wu, Y.; Tan, H.; Qin, L.; Ran, B.; Jiang, Z. A hybrid deep learning based traffic flow prediction method and its understanding. Transp. Res. Part C Emerg. Technol. 2019, 90, 166–180. [Google Scholar] [CrossRef]
- Le Guennec, A.; Malinowski, S.; Tavenard, R. Data Augmentation for Time-Series Classification: A Comprehensive Survey. Data Min. Knowl. Discov. 2021, 34, 415–445. [Google Scholar]
- Iwana, B.K.; Uchida, S. An empirical survey of data augmentation for time series classification with neural networks. PLoS ONE 2021, 16, e0254841. [Google Scholar] [CrossRef]
- Lim, B.; Arık, S.Ö.; Loeff, N.; Pfister, T. Temporal Fusion Transformers for interpretable multi-horizon time series forecasting. In Proceedings of the 43rd International Conference on Machine Learning (ICML), Long Beach, CA, USA, 9–15 June 2019. [Google Scholar]
- Li, S.; Jin, X.; Xuan, Y.; Zhou, X.; Chen, W.; Wang, Y.; Yan, X. Enhancing the Locality and Breaking the Memory Bottleneck of Transformer on Time Series Forecasting. In Proceedings of the 29th International Joint Conference on Artificial Intelligence (IJCAI), Macao, China, 10–16 August 2019. [Google Scholar]
- Lv, Y.; Duan, Y.; Kang, W.; Li, Z.; Wang, F.Y. Traffic flow prediction with big data: A deep learning approach. IEEE Trans. Intell. Transp. Syst. 2015, 16, 865–873. [Google Scholar] [CrossRef]
- Almusaylim, A.K.; Ahmad, A.; Alghamdi, S.; Alahmadi, Y. An Internet of Things Based Intelligent Transportation System. In Proceedings of the 2019 IEEE 5th International Conference on Future Internet of Things and Cloud (FiCloud), Istanbul, Turkey, 26–28 August 2019; pp. 1–6. [Google Scholar]
- Yu, B.; Yang, Z.; Yao, J. Bus arrival time prediction using support vector machines and genetic algorithm. J. Intell. Transp. Syst. 2017, 21, 324–334. [Google Scholar]
- Wang, Y.Z.D.; Hu, L.; Yang, Y.; Lee, L.H. A data-driven and optimal bus scheduling model with time-dependent traffic and demand. IEEE Trans. Intell. Transp. Syst. 2017, 18, 2443–2452. [Google Scholar] [CrossRef]
- Li, P.; Han, Y.; Wang, J. Integrated Robust Optimization of Scheduling and Signal Timing for Bus Rapid Transit. Sustainability 2022, 14, 16922. [Google Scholar] [CrossRef]
- Vlahogianni, E.I.; Karlaftis, M.G.; Kepaptsoglou, K.; Tsetsos, V. Short-term traffic forecasting: Where we are and where we’re going. Transp. Res. Part C Emerg. Technol. 2004, 43, 312–327. [Google Scholar] [CrossRef]
- Guo, J.; Wang, W.; Guo, J.; D’Ariano, A.; Bosi, T.; Zhang, Y. An instance-based transfer learning model with attention mechanism for freight train travel time prediction in the China–Europe railway express. Expert Syst. Appl. 2024, 251, 123989. [Google Scholar] [CrossRef]
- Bahdanau, D.; Cho, K.; Bengio, Y. Neural machine translation by jointly learning to align and translate. arXiv 2015, arXiv:1409.0473. [Google Scholar]
- Luong, M.T.; Pham, H.; Manning, C.D. Effective approaches to attention-based neural machine translation. arXiv 2015, arXiv:1508.04025. [Google Scholar]
- Vaswani, A.; Bengio, S.; Brevdo, E.; Chollet, F.; Gomez, A.; Jones, L. Tensor2Tensor for neural machine translation. In Proceedings of the 2018 Conference on Empirical Methods in Natural Language Processing: System Demonstrations, Brussels, Belgium, 31 October–4 November 2018; pp. 193–198. [Google Scholar]
- Lin, Z.; Feng, M.; Santos, C.N.D.; Yu, M.; Xiang, B.; Zhou, B.; Bengio, Y. A structured self-attentive sentence embedding. arXiv 2017, arXiv:1703.03130. [Google Scholar]
- Reicha, T.; Budka, M.; Hulbert, D. An Attention Mechanism Based Prediction Method for Estimation of Arrival Time and Next-Step Position in Urban Traffic Networks. SSRN Electron. J. 2022. [Google Scholar] [CrossRef]
- Shen, T.; Zhou, T.; Long, G.; Jiang, J.; Zhang, C. DiSAN: Directional self-attention network for RNN/CNN-free language understanding. In Proceedings of the Thirty-Second AAAI Conference on Artificial Intelligence, New Orleans, LA, USA, 2–7 February 2018. [Google Scholar]
- Choromanski, K.; Likhosherstov, V.; Dohan, D.; Song, X.; Gane, A.; Sarlos, T.; Hawkins, P.; Davis, J.; Mohiuddin, A.; Kaiser, L.; et al. Rethinking attention with performers. arXiv 2021, arXiv:2009.14794. [Google Scholar]
- Vaswani, A.; Shazeer, N.; Parmar, N.; Uszkoreit, J.; Jones, L.; Gomez, A.N.; Kaiser, Ł.; Polosukhin, I. Attention is all you need. Adv. Neural Inf. Process. Syst. 2017, 5998–6008. Available online: https://proceedings.neurips.cc/paper_files/paper/2017/file/3f5ee243547dee91fbd053c1c4a845aa-Paper.pdf (accessed on 4 April 2024).
- Yang, Z.; Dai, Z.; Yang, Y.; Carbonell, J.; Salakhutdinov, R.R.; Le, Q.V. XLNet: Generalized autoregressive pretraining for language understanding. Adv. Neural Inf. Process. Syst. 2019, 32. [Google Scholar]
- Radford, A.; Narasimhan, K.; Salimans, T.; Sutskever, I. Improving language understanding by generative pre-training. arXiv 2018, arXiv:1801.06146. [Google Scholar]
- Ahmed, K.; Wallace, B.C.; Johnson, R.; Pilehvar, M.T.; Wang, Y. Understanding attention mechanisms in text classification. In Proceedings of the 2019 Conference on Empirical Methods in Natural Language Processing, Hong Kong, China, 3–7 November 2019; pp. 1920–1930. [Google Scholar]
- Devlin, J.; Chang, M.W.; Lee, K.; Toutanova, K. BERT: Pre-training of deep bidirectional transformers for language understanding. arXiv 2019, arXiv:1810.04805. [Google Scholar]
- Dosovitskiy, A.; Beyer, L.; Kolesnikov, A.; Weissenborn, D.; Zhai, X.; Unterthiner, T.; Dehghani, M.; Minderer, M.; Heigold, G.; Gelly, S.; et al. An image is worth 16 × 16 words: Transformers for image recognition at scale. In Proceedings of the International Conference on Learning Representations, Vienna, Austria, 4 May 2021. [Google Scholar]
- Khan, S.; Naseer, M.; Hayat, M.; Zamir, S.W.; Khan, F.S. Transformers in vision: A survey. arXiv 2021, arXiv:2101.01169. [Google Scholar] [CrossRef]
Disclaimer/Publisher’s Note: The statements, opinions and data contained in all publications are solely those of the individual author(s) and contributor(s) and not of MDPI and/or the editor(s). MDPI and/or the editor(s) disclaim responsibility for any injury to people or property resulting from any ideas, methods, instructions or products referred to in the content. |
© 2024 by the authors. Licensee MDPI, Basel, Switzerland. This article is an open access article distributed under the terms and conditions of the Creative Commons Attribution (CC BY) license (https://creativecommons.org/licenses/by/4.0/).











