Stratigraphic Division Method Based on the Improved YOLOv8
Abstract
1. Introduction
2. Materials and Methods
2.1. Research Area
2.2. Well Logs
2.3. Dataset
2.4. YOLOv8x-CAMDP Model Introduction
2.4.1. CA Attention Mechanism
- Channel relationships are learned to compute channel weights, which are applied to each pixel point in the input feature map to enhance key feature channels and optimize boundary differentiation.
- The average pooling results in the width and height directions are merged and processed by convolution, normalization, and activation functions to capture the relationship between the width and height dimensions to enhance the identification of boundary features.
- The feature dimensions are recovered by transposition, and attention scores are obtained with Sigmoid activation to indicate the importance of different locations. Critical boundary regions are reinforced by multiplying the original input feature map with the attention score.
- The ability to adaptively adjust the focus of attention based on the input data without additional supervision and the ability to work effectively on images with different resolutions and aspect ratios are particularly important for capturing subtle features at the boundaries.
2.4.2. MDPIOU Loss Function
3. Experimental Results and Their Analysis
3.1. Comparative Analysis of mAP Values
3.2. Comparative Analysis of Confusion Matrix
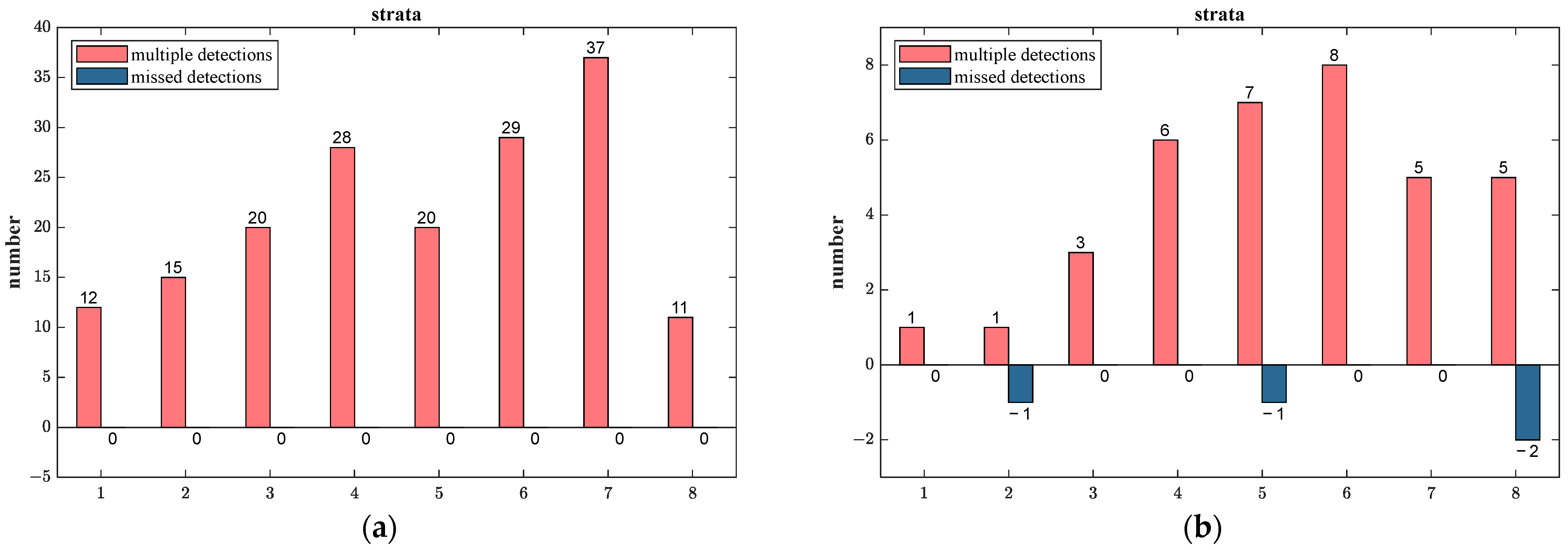
3.3. Analysis of Stratigraphic Division Effects
4. Discussion
5. Conclusions
- Data enhancement: Adding more diverse training samples, including stratigraphic data under different geological conditions can help the model to generalize better and reduce missed detections.
- Data fusion: Integration of multi-source and multi-scale seismic, logging, and core information.
- Model structure optimization: Different network structures can be tried, such as introducing deeper or wider networks or exploring different attention mechanisms to improve the model’s ability to capture detailed features.
- Loss function adjustment: Continue to optimize the loss function, possibly by introducing new loss terms or adjusting the weights of the existing loss function to better reflect the complexity of the stratigraphic boundary.
- Multi-task learning: Combining the stratigraphic division task with other related tasks (e.g., stratigraphic classification or attribute prediction) and sharing feature representations through multi-task learning may help to improve the accuracy of boundary detection.
Author Contributions
Funding
Institutional Review Board Statement
Informed Consent Statement
Data Availability Statement
Acknowledgments
Conflicts of Interest
References
- Li, C.; Liu, D.; Zhou, D.; Yang, K. Application and Prospect of Artificial Intelligence in the Field of Geology. Bull. Mineral. Petrol. Geochem. 2022, 41, 668–677. [Google Scholar]
- Dai, S.; Hu, H.; Ma, X. The Tertiary Stratigraphy Synthesis and Its Tectonic Implications for the Wuwei Basin, Northeastern Tibetan Plateau. Acta Sedimentol. Sin. 2023, 41, 378–391. [Google Scholar]
- Shen, W.; Wang, Y.; Xie, H. Neoproterozoic sequence stratigraphy in the northwestern margin of the Tarim basin and its regional correlation significance. Acta Geol. Sin. 2023, 97, 3967–3983. [Google Scholar]
- Sun, L.; Han, H.; Feng, D.; Liu, H.; Li, Z.; Kang, Y.; Lü, W. Research Status and Outlook of Logging Stratigraphic Division Methods Based on Artificial Intelligence. Pet. Geol. Recovery Effic. 2023, 30, 49–58. [Google Scholar]
- Kadkhodaie, A.; Rezaee, R. Intelligent Sequence Stratigraphy Through a Wavelet-Based Decomposition of Well Log Data. J. Nat. Gas Sci. Eng. 2017, 40, 38–50. [Google Scholar] [CrossRef]
- Mukherjee, B.; Srivardhan, V.; Roy, P.N.S. Identification of Formation Interfaces by Using Wavelet and Fourier Transforms. J. Appl. Geophys. 2016, 128, 140–149. [Google Scholar] [CrossRef]
- Zhang, W.; Li, C.; Wang, S.; Yang, L. Research Progress and Development Trends in Intelligent Stratigraphic Division and Correlation. China CIO News 2021, 132–135+138. [Google Scholar] [CrossRef]
- Pham, N.; Fomel, S.; Dunlap, D. Automatic Channel Detection Using Deep Learning. Interpretation 2019, 7, SE43–SE50. [Google Scholar] [CrossRef]
- Wu, X.; Liang, L.; Shi, Y.; Fomel, S. FaultSeg3D: Using Synthetic Data Sets to Train an End-to-End Convolutional Neural Network for 3D Neismic Fault Segmentation. Geophysics 2019, 84, IM35–IM45. [Google Scholar] [CrossRef]
- Xu, Z.; Liu, Y.; Zhou, X.; He, H.; Zhang, B.; Wu, H.; Gao, J. An Experiment in Automatic Stratigraphic Correlation Using Convolutional Neural Networks. Pet. Sci. Bull. 2019, 4, 1–10. [Google Scholar]
- Xu, P. Small Layer Intelligent Division Method Based on Data-Driven and Cyclic Sliding Time Window. Pet. Geol. Recovery Effic. 2022, 29, 113–120. [Google Scholar]
- Zhang, G.; Wang, Z.Z.; Lin, C. Seismic Reservoir Prediction Method Based on Wavelet Transform and Convolutional Neural Network and Its Application. J. China Univ. Pet. 2020, 44, 83–93. [Google Scholar]
- Wang, B.; Yang, W.; Zhu, S.; Wang, Z.; Xiu, J.L.; Zhu, P.Y. Application for Sequence Stratigraphy Division Based on Hilbert Transform, Principal Component Analysis and K-Maxim Clustering. Prog. Geophys. 2020, 35, 1861–1869. [Google Scholar]
- Liu, G.; Feng, D.; Lv, W.; Liu, H. Application of Convolutional Neural Network in Automatic Stratigraphic Correlation. Geol. Rev. 2021, 67, 279–280. [Google Scholar]
- Dai, Y.; Huang, X.; Wei, G.; Lu, N.; Han, Z. Actual Data Test and Error Analysis of Stratigraphic Intelligent Auto-Comparison. In Proceedings of the 4th Annual Petroleum Geophysical Conference; Committee on Petroleum Geophysics, Chinese Geophysical Society: Qingdao, China, 2021; p. 4. [Google Scholar]
- Liu, N.; Li, Z.; Chen, J.; Liu, Y.; Wu, H.; Gao, J.; Zhou, X. The Edge-Guided FPN Model for Automatic Stratigraphic Correlation of Well Logs. J. Pet. Sci. Eng. 2022, 218, 110985. [Google Scholar] [CrossRef]
- Kurniawan, A.; Erlangga, E.; Tanjung, T.; Ariani, F.; Aprilinda, Y.; Endra, R.Y. Review of Deep Learning Using Convolutional Neural Network Model. Eng. Headw. 2024, 3, 49–55. [Google Scholar]
- Zhao, X.; Wang, L.; Zhang, Y.; Han, X.; Deveci, M.; Parmar, M. A Review of Convolutional Neural Networks in Computer Vision. Artif. Intell. Rev. 2024, 57, 99. [Google Scholar] [CrossRef]
- Badrinarayanan, V.; Kendall, A.; Cipolla, R. SegNet: A Deep Convolutional Encoder-Decoder Architecture for Image Segmentation. IEEE Trans. Pattern Anal. Mach. Intell. 2017, 39, 2481–2495. [Google Scholar] [CrossRef]
- Jocher, G.; Chaurasia, A.; Qiu, J. Ultralytics YOLOv8; Ultralytics: Los Angeles, CA, USA, 2023. [Google Scholar]
- Ju, R.-Y.; Cai, W. Fracture Detection in Pediatric Wrist Trauma X-Ray Images Using YOLOv8 Algorithm. Sci. Rep. 2023, 13, 20077. [Google Scholar] [CrossRef]
- Hou, Q.; Zhou, D.; Feng, J. Coordinate Attention for Efficient Mobile Network Design. In Proceedings of the 2021 IEEE/CVF Conference on Computer Vision and Pattern Recognition (CVPR), Nashville, TN, USA, 20–25 June 2021; pp. 13708–13717. [Google Scholar]
- Ma, S.; Xu, Y. MPDIoU: A Loss for Efficient and Accurate Bounding Box Regression. arXiv 2023, arXiv:2307.07662. [Google Scholar]









Disclaimer/Publisher’s Note: The statements, opinions and data contained in all publications are solely those of the individual author(s) and contributor(s) and not of MDPI and/or the editor(s). MDPI and/or the editor(s) disclaim responsibility for any injury to people or property resulting from any ideas, methods, instructions or products referred to in the content. |
© 2024 by the authors. Licensee MDPI, Basel, Switzerland. This article is an open access article distributed under the terms and conditions of the Creative Commons Attribution (CC BY) license (https://creativecommons.org/licenses/by/4.0/).
Share and Cite
Tang, L.; Li, T.; Xu, C. Stratigraphic Division Method Based on the Improved YOLOv8. Appl. Sci. 2024, 14, 9485. https://doi.org/10.3390/app14209485
Tang L, Li T, Xu C. Stratigraphic Division Method Based on the Improved YOLOv8. Applied Sciences. 2024; 14(20):9485. https://doi.org/10.3390/app14209485
Chicago/Turabian StyleTang, Lu, Tingting Li, and Chengwu Xu. 2024. "Stratigraphic Division Method Based on the Improved YOLOv8" Applied Sciences 14, no. 20: 9485. https://doi.org/10.3390/app14209485
APA StyleTang, L., Li, T., & Xu, C. (2024). Stratigraphic Division Method Based on the Improved YOLOv8. Applied Sciences, 14(20), 9485. https://doi.org/10.3390/app14209485

