Next Article in Journal
The Influence of the Gap Phenomenon on the Occurrence of Consecutive Discharges in WEDM Through High-Speed Video Camera Observation
Next Article in Special Issue
Improved Autocollimator for Roll Angle Measurement with an Enlarged Measuring Range
Previous Article in Journal
Evaluating Airport Service Quality Based on the Statistical and Predictive Analysis of Skytrax Passenger Reviews
Previous Article in Special Issue
Analysis of Beam Walk in Inter-Satellite Laser Link: Implications for Differential Wavefront Sensing in Gravitational Wave Detection
 
 
Font Type:
Arial Georgia Verdana
Font Size:
Aa Aa Aa
Line Spacing:
Column Width:
Background:
Article

Absorption Measurement in Ultrapure Crystalline Quartz with the Eliminated Influence of Ambient Air Absorption in the Time-Resolved Photothermal Common-Path Interferometry Scheme

A.V. Gaponov-Grekhov Institute of Applied Physics of the Russian Academy of Sciences, 46 Ulyanov Street, 603950 Nizhny Novgorod, Russia
*
Author to whom correspondence should be addressed.
Appl. Sci. 2024, 14(20), 9474; https://doi.org/10.3390/app14209474
Submission received: 19 August 2024 / Revised: 30 September 2024 / Accepted: 14 October 2024 / Published: 17 October 2024
(This article belongs to the Special Issue Advances in Optical Instrument and Measurement Technology)

Abstract

Featured Application

Development of ultrapure materials technology.

Abstract

We demonstrate measurements of the absorption coefficient α ≈ 2.5 × 10−7 cm−1 in synthetic crystalline quartz at a wavelength of 1071 nm with a signal-to-noise ratio of 10/1 using the Time-resolved photothermal common-path interferometry (TPCI) scheme. It utilized cells filled with flowing argon and eliminated the influence of ambient air absorption. The scheme elements limiting the sensitivity of measurements at the level of ≈7.8 × 10−8 cm−1 were revealed. When these elements are replaced by better ones in terms of their thermal influence, the sensitivity of absorption coefficient measurements in crystalline quartz is ~10−8 cm−1. The calculation of the correction due to these optical elements of the values of the measured absorption coefficients is also described, which makes it possible to achieve the same sensitivity without replacing the elements. The improved scheme confirms the presence of the spatial inhomogeneity of absorption with a minimum coefficient of 2.5 × 10−7 cm−1 in synthetic crystalline quartz. The discrepancy of the absorption coefficient values in different regions of the crystal in the presented series of experiments was 2.5 × 10−7 cm−1 to 4 × 10−6 cm−1. Taking into account the ratio of thermo-optical parameters and the heat diffusion effect, the calculation shows that for quartz glasses the corresponding sensitivity of the absorption coefficient measurements equals ≈1.5 × 10−9 cm−1.

1. Introduction

The scheme shown in the paper is based on the photothermal effect and provides one of the possible ways of indirect measurement of the absorption coefficient. The measurement of absorption in optical materials by means of the photothermal effect does not require destruction of the sample and plays a special role among many other measurement methods due to its sensitivity. There are a variety of photothermally based techniques implemented using various optical schemes: the thermal lens technique [1,2,3,4,5,6], photothermal common-path interferometry (PCI) [3,7,8,9,10], time-resolved photothermal common-path interferometry (TPCI) [11,12,13,14,15], the photothermal deflection technique [3,16,17,18,19] (as well as the laser induced deflection technique [3,20,21]), surface thermal lensing [22,23,24], and the phase-shift (interferometric) technique [3,25,26,27,28]. Photoacoustic spectroscopy [3,4,8,29,30,31] is also based on the photothermal effect.
These methods continue to be actively developed for several reasons. First of all, the problem of increasing the sensitivity of the methods to the level of ~10−8 cm−1 remains urgent. It is necessary for their use in the task of the reliable control of the absorption coefficients of ultrapure materials (e.g., Suprasil 3001 quartz glasses [32]) with values at the level of ~10−7 cm−1. To confirm this, one can refer to the Heraeus data. In [33] the results of absorption coefficient measurement projects for various glass grades are given, in particular for the most transparent glass, Suprasil 3001. It was not possible to measure the bulk absorption coefficient in this glass using the PCI method because, as the authors indicate, it is below the detection limit (<10−6 cm−1). Measurements employing a cavity ring-down loss meter in conjunction with a PCI also did not give a specific result and only confirmed that the bulk absorption coefficient was below the level of 10−6 cm−1.
Increasing the sensitivity of low absorption measurements is also necessary for the identification of impurities and determination of their concentration in ultrapure quartz materials at the level of fractions of ppb. This task is inaccessible to mass spectrometry methods for a number of common elements [34]. The problem can be solved by measuring the absorption coefficients of the material at different wavelengths of heating radiation generated by low-power diode lasers [35].
In addition, our interest in the task of increasing the measurement sensitivity is conditioned by the supposed further thorough research of the spatial inhomogeneity of absorption in hydrothermal quartz crystals and quartz glasses with low concentration (~1 ppm) of hydroxyl groups. Inhomogeneities are thin (200–300 µm) regions in which the value of ultra-low absorption can differ greatly [13]. Such absorption inhomogeneity can play a role in the application of these quartz materials in power optics. According to the hypothesis expressed in our paper [36], this can be related to a different ratio of the concentrations of absorbing and low-absorbing ions of impurities, that are homogenously distributed in the material volume. The spatial heterogeneity of the ratio of the ion concentration in the material volume and the formation of a spatial structure can be a consequence of strong gradients of fictive temperature and associated high local pressures formed during the glass transition of quartz glasses in their manufacture. Variations of these parameters can lead to different ratios of impurity ion concentrations with different absorption at the measurement wavelength.
The initial motivation for our work in this direction was the need to control the absorption coefficient of the optical elements used in the cascade frequency multiplication scheme of a continuous wave ytterbium laser with a relatively low power of ~100 W [37]. It turned out that the absorption coefficient of the order of 10−6 cm−1 in the optical elements of the scheme can destroy the mode of highly efficient (~40%) power conversion.
The TPCI scheme is a modification of the PCI method and by now demonstrates the highest experimentally achieved sensitivity of measuring the absorption coefficient in quartz glasses: ≤10−6 cm−1 with a signal-to-noise ratio ≥50 [11]. The achievement of such parameters for ultra-low absorption measurements in this scheme is associated with several reasons [11,12,13].
1. The application of electronic modulation of the heating laser radiation intensity. Meanwhile, in most other schemes a mechanical chopper is employed. The main advantage of the electronic modulation is the possibility of using methods of digital processing of measured signal waveforms obtained with the help of an 8-bit analog-to-digital converter (ADC). At such processing of the measured signal with the number of realizations ~104 in the process of its averaging by the 64-bit processor there is an increase in the bit rate of the averaged signal [12,13]. It allows research to be carried out in weakly absorbing samples and for the measurement of weak signals with values within one ADC bit in conditions when technical noise values correspond to eight ADC bits. It also makes it possible to determine and compensate for the influence of different parasitic effects, thus effectively increasing the sensitivity of measurements.
2. Temporal resolution of the shape of the time-varying component of the probe beam power. This resolution allows the observed absorption-based signal to be separated from distortions caused by refractive index nonlinearity in the heating radiation field and by heat diffusion from the heated area [11,12,13].
3. Carrying out theoretical calculations using simple analytical formulas relating the level of the observed signals to the value of the absorption coefficient [11]. This allows a simple calibration of measurements using glasses with known absorption coefficients, which is especially relevant for crystal measurements [12,13].
4. Clear criteria for tuning of the scheme determined by the coaxiality of the beams of heating and probe radiation. This configuration, in addition to the theoretical calculations mentioned in point 3, allows us to obtain reproducible results of the absorption coefficient values when changing samples and, thus, to obtain calibration coefficients with a small spread of possible values.
It should be mentioned that our earlier estimates of the sensitivity of the TPCI scheme [12], based on the measurement of the noise component of the large signal in Suprasil 311 glasses with a relatively large absorption coefficient (2.6 × 10−6 cm−1), turned out to be too optimistic. This is due to the fact that when measured in samples with the absorption coefficient at the level of ~10−7 cm−1, other physical effects that mask the signal associated with absorption begin to influence to the desired signal. In particular, this is the absorption of ambient air [14], the elimination of which is the subject of this work. As shown below, when this effect is eliminated, other disturbances may arise that distort the signal already at lower absorption levels ≤10−8 cm−1. This remark also refers to theoretical estimates of the limiting sensitivity of the methods (given, e.g., by the authors [16,17]), which may be encouraging, but which have no sense in relation to practical purposes.
This paper is a continuation of [14,15], in which measurements of the absorption coefficient at a wavelength of 1071 nm were carried out in synthetic crystalline quartz under the influence of ambient air absorption. The measurements were carried out using a TPCI scheme in which the optical part was modified compared to the original version described in [11]. The achieved high sensitivity of the method (~10−8 cm−1) led to the problem of the disturbing influence of the ambient air absorption located on the path of the heating beam before and after the sample.
We present a further modification of the scheme without the influence of ambient air absorption by using cells filled with flowing argon installed before and after the tested sample on the path of co-propagation of heating and probe radiation beams.

2. Materials and Method

Figure 1 shows the electron-optical scheme used for the measurements in our recent papers [14,15].
In this paper, a single-mode ytterbium fiber laser (λ = 1071 nm) operating in pulse-periodic mode was employed as a heating laser, and a continuous-wave, single-mode, single-frequency, low-noise, stabilized He-Ne laser (λ = 633 nm) with an output power of 2 mW was employed as a probe laser. Using the lens system [14,15], a Gaussian radiation profile of the heating and probe laser beams (coaxial) was formed in the sample, as well as the necessary transverse size of the beams in the waist (the beam radius at the 1/e level in the waist of the heating beam was 47 μm, and that of the probe beam was 100 μm). The centers of the beam waists were located in the center of the sample. The repetition rate of the heating radiation pulses (≈30 Hz) and their duration (1000 μs) were set using a driving pulse generator. The output energy of the heating laser radiation pulse (33 mJ) was set using the laser control unit. The heating pulse had a quasi-rectangular shape [11], and its power was 33 W. The average power of the heating radiation was about 0.9 W, which was three orders of magnitude greater than the power of the probe radiation.
The principle of operation of the TPCI scheme can be summarized as follows. Pulsed heating radiation creates in the sample a time-varying, spatially inhomogeneous distribution of temperature deformations causing refractive index variations. The probe beam experiences diffraction on the refractive index inhomogeneities, resulting in a time-varying component of the radiation power. This is the result of interference between the perturbated and unperturbed parts of the probe beam or, put in another way, single-beam interference [11,22]. The lens located after the sample transferred the image of the cross-section of the probe beam to the diaphragm of the photodiode. The area from which the image was transferred was located at a distance of 2 cm from the output surface of the sample. The power of the time-varying component was recorded using a photodiode (70% quantum efficiency at the probe radiation wavelength) with an aperture (acting as a spatial filter) and a diffuse plate (to smooth out the effect of inhomogeneity of the photodiode cathode and speckle structure of the field on the photocathode [38]). Then, an amplifier (40 dB gain in the frequency band from 2 Hz to 250 kHz) separated the time-varying component, and the 100-fold amplified signal from the photodiode was inputted to a digital oscilloscope operating in the averaging mode (typical value of the number of averaged pulses is ~104) to improve the signal-to-noise ratio. At the repetition rate used the averaging time was about 6 min.
The principle of calculating the absorption coefficient in this scheme was described in detail in our previous papers [11,12,15,35]. To compare the observed signals when measuring the absorption of samples of different lengths from different materials, the following problems were solved. First, there was the problem of thermoelasticity during heating by focused radiation [11]. As a result, a coefficient was determined that allowed one to take into account the influence of the thermoelastic properties of the material on the change in the observed signal associated with absorption. Secondly, the problem of diffraction of the probe radiation on spatially inhomogeneous deformations caused by focused heating radiation was solved [11]. As a result, a functional dependence of the time-varying component of the probe radiation power on the absorption coefficient was determined. This dependence took into account all possible geometric parameters of the scheme (the length of the constrictions, the length of the sample, the size of the diaphragm on the photodiode, etc.) [15].
As previously mentioned, the sensitivity of the measurement was limited by the absorption of the air located on the path of the co-propagation of the heating and probe beams. This led to the fact that the measurement results were rather estimative at values of the absorption coefficient in the quartz crystal of ~10−7 cm−1.
In previous papers we have already pointed out the need to exclude the influence of air. The simplest theoretically but technically complicated solution is to organize vacuum space in the areas of the sample location and co-propagation of laser beams. Such a solution would greatly complicate the experimental work. Therefore, a simpler solution to the problem was found. We assumed that the absorption of ambient air at 1071 nm is mainly determined by energetic transitions in the infrared region at frequencies (and overtones of these frequencies) of vibrational–rotational energy levels of various two-atomic and multi-atomic molecules included in the air. In accordance with this assumption, the absorption of pure one-atomic gas, for example, argon, is determined by electronic transitions whose frequencies are located, as in quartz materials, closer to the UV range of the spectrum. And at near-atmospheric gas pressures, this absorption will be significantly lower due to the gas density, three degrees of magnitude lower than the density of the samples under study. This assumption was confirmed to a large extent in the subsequent experiments.
Figure 2 shows a part of the optical scheme modified in this work, with details of the cell arrangement to explain the observed residual disturbances. The cells with an inner diameter of 0.5 cm and a length of 9 cm supplied with argon of 99.99% purity had open ends. Such a decision was caused by the necessity to eliminate the influence of windows in closed cells when measuring ultra-low absorption in quartz glasses at the level of ~10−8 cm−1. The rate of argon flow into the cells was ~3 L/min at a pressure of ≈1.033 atm at the cell input. The flow rate was selected experimentally by observing single (i.e., without averaging) waveforms of the time-varying component, which allowed us to fix the flow rate at which a jump in the amplitude of low-frequency noises occurred (Figure 3). These noises are apparently caused by the unsteadiness of the gas flow in the cells. The operating pressure of argon at the input of the cells was chosen to be somewhat lower than the threshold of these noises. We should pay attention to the value ≈0.05 s of the characteristic time of change of the noises arising due to the unsteadiness of the argon flow. The measurement of the absorption coefficient at the level of ~10−8 cm−1 requires a significant increase in the number of averaged waveforms from 104 to 5 × 104 to average these slow oscillations. This increases the measurement time from 6 min to 30 min.
The peculiarity of this simple design was the presence of areas of co-propagation of the heating and probing beams located near the mirrors, which were filled with air mixed with an outgoing unsteady argon flow. The total length of these regions was about 3 cm. The distance between the M2 and M3 elements was 50 cm. The optical elements were made of quartz glasses having a large absorption coefficient ~10−4 cm−1, relatively to the values measured in the samples.
As in [14], the measurements were performed in a sample of synthetic crystalline quartz (LLC Quartz Technologies [39]). Figure 4 shows the geometry of the mutual arrangement of the crystallographic axes of the crystal (C, ai, i = 1,2,3), the polarization vector of the heating radiation (Eh), and the wave vector of the heating beam (kh).

3. Results and Discussion

First of all, the signal was studied when the entire space between the optical elements M2 and M3 was filled with argon. Figure 5 shows the waveforms of the time-varying component obtained during the co-propagation of beams in argon in the absence of samples for five independent experiments (colored curves). Each curve is the average of 104 waveforms. For comparison, the waveform when the cells are filled with ambient air (black curve) is shown. Figure 5b shows the same waveforms when the scale of the ordinate axis is increased 40 times. The amplitude of the waveform due to air absorption is reduced 40 times.
Figure 5 clearly shows that the waveforms tend to deviate downward during the heating time interval. To better visualize this process, we extracted the slow component Si in the noisy waveforms by sliding averaging using the formula:
S i t = t t + τ f i ϑ d ϑ τ ,
where fi(ϑ) is the i-realization (here i = 1, 2, …, 6) of the waveform of the time-varying component, and τ is the sliding averaging time equal to 100 µs. Figure 6a shows these new functions as colored curves. The black curve is the waveform due to air absorption (see Figure 5b), which was transformed using the above formula.
The diversity of the obtained curves draws attention. Their maximum observed deviation from the zero level is ≈150 μV. The calibration of the values of the time-varying component [14] gives that at its amplitude equal to the magnitude of these deviations, the absorption coefficient of the crystal would be α ≈ 1.8 × 10−7 cm−1. It can be assumed that the observed discrepancy is caused by an insufficient number of realizations at averaging to smooth out the slow fluctuations caused by the argon motion in the cells. To reduce this discrepancy, an average curve of the realizations was constructed, which actually corresponds to averaging over 5×104 original waveforms. Figure 6 shows two such averaged waveforms obtained in two independent experiments conducted on different days.
The curves presented in Figure 6 show that during the process of heating the sample with a laser pulse, the maximum deviation of the averaged waveform, reached at the end of the heating pulse, has a regular character and equals ≈65 μV. When measuring the crystal absorption, such deviations correspond to the absorption coefficient of ≈7.8 × 10−8 cm−1.
The linearity of the form of the obtained curves during heating and the time of decay of their amplitudes during cooling after heating (≈2 ms at the half-height level) indicates that the optical element of the scheme, which determines such a temporal shape of the signal, is quartz glass [15]. The only contenders for this role are optical elements M2 and M3 having quartz substrates with absorption sufficiently large relative to those measured in this paper.
The observed negative amplitude of the time-varying component can be explained by the location of the projection plane of the aperture installed in front of the photodiode. This projection was 2 cm away from the sample exit, and the spectral splitting mirror M3, which played the role of a nonlinear thermal positive lens formed during heating, was placed after the aperture projection. The polarizer M2, located behind the projection of the aperture, also represented a positive thermal lens during heating. But due to its different location relative to the projection of the aperture plane, this resulted in positive deviations of the amplitude of the time-varying component. Thus, the observed negative deviation of the signal was the result of opposite influences of the polarizer M2 and the spectral splitting mirror M3. When the tested sample is mounted, due to its refractive index, the optical distance between the polarizer M2 and the aperture increases and the influence of its thermal lens also increases accordingly. At the same time, the amplitude of the parasitic signal after the sample is installed will generally differ from that observed above to a lesser extent. In other words, this amplitude value obtained in the absence of the sample can be used only to estimate the magnitude of the correction that takes into account the influence of parasitic absorption of these elements on the measured values of the absorption coefficients: ≤7.8 × 10−8 cm−1.
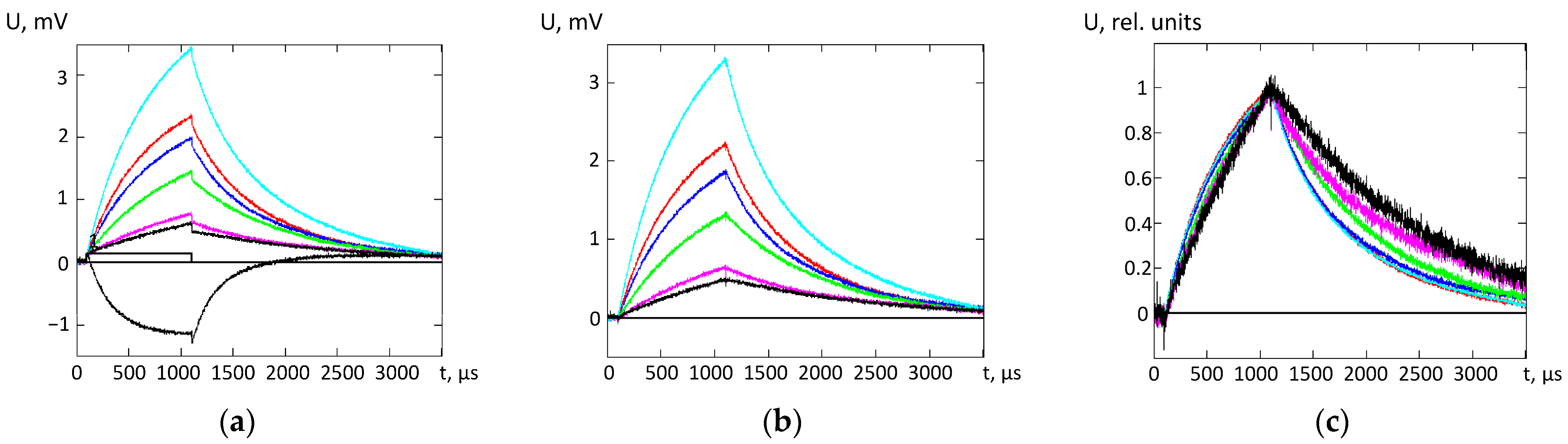
Then, we investigated the operation of the scheme with a sample of hydrothermal crystalline quartz (Figure 4). During the study it was possible to move the sample perpendicularly to the axes of the beams, i.e., to scan inside the sample in different areas defined by the heating beam waist. The sample was placed on a stand that was moved by a micrometer screw. Figure 7a presents with black color the waveforms obtained at the same sample position when the cells were filled with ambient air (lower waveform in the negative range) and when they were filled with argon at a flow rate below the threshold of turbulence (upper waveform in the positive range). The observed ratio of signal amplitudes demonstrates the influence of ambient air when measuring the absorption coefficient of the sample at the level of 5.6 × 10−7 cm−1. In all waveforms, the signal component, due to the influence of refractive index nonlinearity in the heating beam field [11], is clearly visible in the form of a spike of amplitude 140 μV at the beginning and end of the heating pulse of rectangular shape. Figure 7a shows a rectangular function with a height of 140 μV modeling the spike. This function was used to subtract this component from the observed waveforms. The waveforms obtained after this procedure are shown in Figure 7b. The calibration of the absorption coefficient measurements corresponding to the black curve amplitude minus this influence gave a value equal to 5.6 × 10−7 cm−1. If we use an estimate of the magnitude of the 7.8 × 10−8 cm−1 correction introduced by the mirrors, we obtain a more realistic value of 6.4 × 10−7 cm−1. The colored curves correspond to the waveforms obtained at different positions of the crystal. The maximum absorption coefficient measured in this series of experiments was 4 × 10−6 cm−1. It should be noted that the minimum absorption coefficient found after purposeful studies of this sample was 2.5 × 10−7 cm−1. Figure 7c shows the same waveforms normalized to their maximum amplitude. It is well seen that their forms are different. Especially distinctive is the difference in the rate of decline of the curves in the cooling area after the end of the heating pulse. This clearly indicates the presence of an additional contribution to the measurements not related to crystal absorption, since the signal changes caused by its absorption occur at shorter time frames [14].
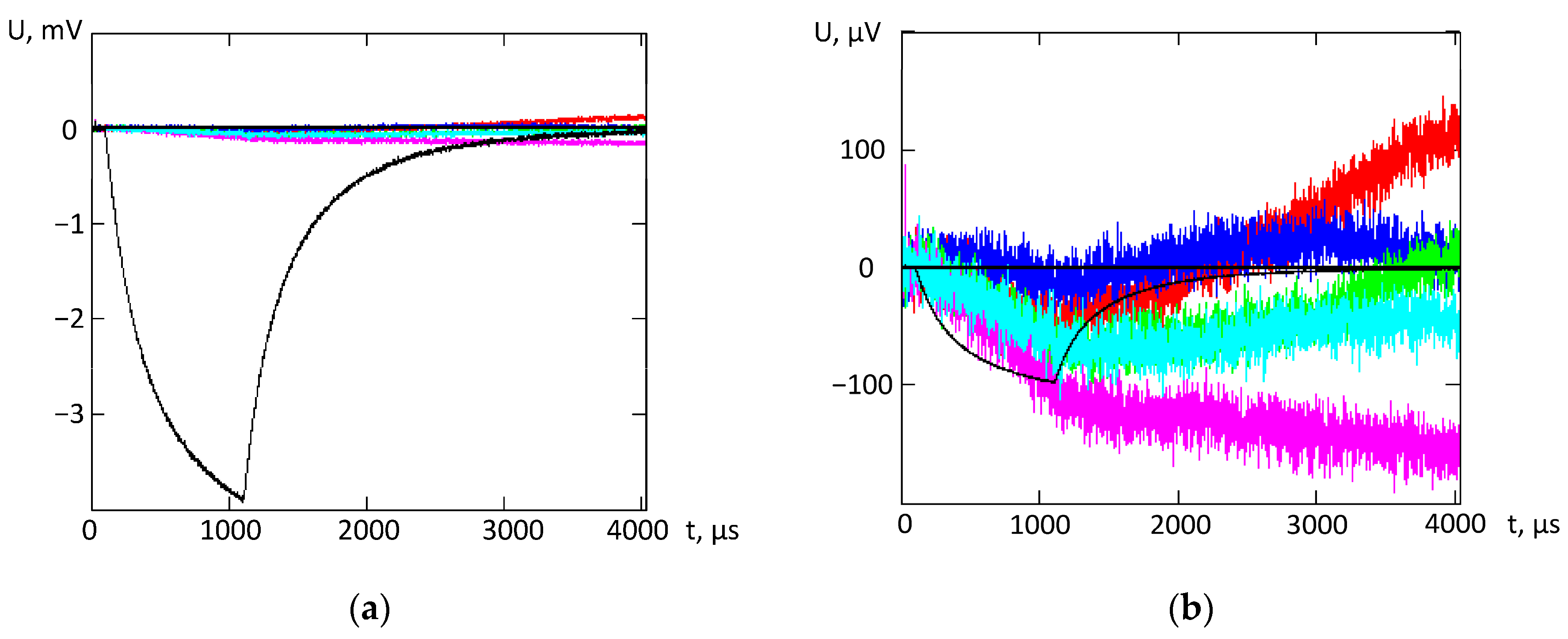
Next, we separated this contribution by digital processing of the obtained waveforms. First of all, it is obvious that if this contribution does not change when moving the crystal, then the difference of the obtained waveforms should be similar to a uniform form for all waveforms. Figure 8a shows the differences of the waveforms obtained at different sample positions and the waveform obtained at the position with minimal absorption (Figure 7a, black positive curve). Figure 8b shows the same curves normalized to their maximum amplitudes. One can see the similarity of these curves within the accuracy of the measurements. They can be used to construct a universal curve representing the influence of the crystal heating and cooling process on the observed signal. For reasons of greater accuracy, it is necessary to subtract the waveform with minimum amplitude from the waveform with maximum amplitude and normalize the obtained curve by its amplitude. Such a curve (light blue) is shown in Figure 8b among other curves.
With the help of the universal curve obtained in this way it is possible to determine the distortion of an arbitrary waveform associated with external disturbances. Figure 8c shows two characteristic curves, which are the difference between the curves shown in Figure 7b and the universal curve with the matched amplitude. The criterion for choosing the amplitude of the universal curve was the coincidence of the obtained difference with the measured temporal contribution of elements M2 and M3 (Figure 6b) during the heating interval. The black curve in Figure 8c is a piecewise linear approximation of the curves corresponding to the thermal influence of these elements.
The given waveforms processing shows that the difference of these waveforms from the universal curve is of a regular nature over the time interval of the heating pulse. This allows us to use the values of this difference as a correction to the measured waveforms. It can also be concluded that the refractive index of the sample has a weak influence on the distortions introduced by the mirror M3.
Therefore, the studies have shown that in case of the replacement of the optical elements M2 and M3 with better ones in terms of their thermal influence on the measurements, the sensitivity of the described scheme (defined as absorption giving a signal equal to the root mean square value of the noise component) for measurements of the absorption coefficient in crystalline quartz will be ~10−8 cm−1. This conclusion also applies to the case of application of the above-described procedure of making a correction to the values of the measured absorption coefficients.
To evaluate the sensitivity of measurements in quartz glass, the following factors should be taken into consideration. First, it has approximately four times the value of the thermo-optic parameter [13,40]. Secondly, the effect of heat diffusion, which reduces the signal value in the crystal by 1.7 times at a heating pulse duration of 1 ms, has little effect in quartz glass. In this case, the sensitivity of absorption coefficient measurements will be ≈1.5 × 10−9 cm−1.

4. Conclusions

This paper demonstrates the results of experiments on measuring absorption coefficients in synthetic crystalline quartz in the TPCI scheme with the elimination of the influence of ambient air absorption, manifested in our previous experiments [11,14,15] when measuring the absorption coefficient α ≤ 10−7 cm−1. To eliminate this effect, cells located on both sides of the sample filled with flowing argon were used. Thus, the co-propagation of the heating and probe beams outside the sample was not through the surrounding air, but through cells with argon, whose influence on the signal was significantly less than in the scheme with air filling of the cells. The optimal flow rate minimizing the noise component of the signal introduced by the refractive index variations in the moving argon flow was selected.
The optical elements distorting the shape of the time-varying component of the probe beam power in the measurements in the crystal at the absorption level of ~10−8 cm−1 were determined. Improving the sensitivity of the scheme by eliminating these distortions is possible either by replacing these elements with elements made of ultrapure quartz glass or by applying the procedure proposed in this paper for measuring these regular distortions and further subtracting them with the help of proper digital signal processing. The measured absorption coefficients varied in different areas of the crystal and ranged from 2.5 × 10−7 cm−1 to 4 × 10−6 cm−1.
Recalculation of the achieved sensitivity for the case of quartz glasses gives a value of 1.5 × 10−9 cm−1. Such sensitivity will give an opportunity to determine the value and possibly the spatial structure of the fundamental absorption of quartz glasses, which is determined by the local physical structure of the material associated with the glass transition process and independent of impurities.
Therefore, the use of cells with inert gas is a good alternative to the use of a vacuum chamber in which the sample under test is placed. The latter is complicated by technical constraints, starting from the process of manufacturing such a chamber to its application in a real experiment, where it is necessary to be able to quickly change samples, as well as to quickly move the tested sample spatially in the course of measurements.
In conclusion, we note that the sensitivity realized in this work is not the limit for the TPCI method, since, according to calculations, it is possible to further increase its sensitivity by optimizing the geometry of the heating and probe beams [6,35,38]. In addition, the described experimental setup is located on the territory of a large research institute in the center of the city and is subject to technical noise arising for various reasons. If necessary, it can be further modernized to significantly reduce the influence of these factors on measurements. In particular, such modernization is necessary in case of application of the installation for identification of impurities and determination of their concentration in ultrapure quartz materials. This is possible by measuring the absorption coefficient at different wavelengths of heating radiation using available diode lasers with a power of 0.1–1 W [35].

Author Contributions

Conceptualization, K.V. and A.M.; methodology, K.V. and A.M.; validation, K.V. and A.M.; formal analysis, A.M.; investigation, K.V. and A.M.; resources, N.A.; writing—original draft preparation, K.V. and A.M.; writing—review and editing, K.V., A.M. and N.A.; supervision, project administration and funding acquisition, N.A. All authors have read and agreed to the published version of the manuscript.

Funding

This research was supported by the Center of Excellence “Center of Photonics” funded by The Ministry of Science and Higher Education of the Russian Federation (contract No. 075-15-2022-316) and the Ministry of Science and Higher Education of the Russian Federation within the framework of the State assignment to the IAP RAS (project No. FFUF-2024-0030).

Institutional Review Board Statement

Not applicable.

Informed Consent Statement

Not applicable.

Data Availability Statement

The original contributions presented in the study are included in the article; further inquiries can be directed to the author.

Conflicts of Interest

The authors declare no conflicts of interest.

References

  1. Snook, R.D.; Lowe, R.D. Thermal lens spectrometry. A review. Analyst 1995, 120, 2051–2068. [Google Scholar] [CrossRef]
  2. Marcano, A.O.; Loper, C.; Melikechi, N. High-sensitivity absorption measurement in water and glass samples using a mode-mismatched pump-probe thermal lens method. Appl. Phys. Lett. 2001, 78, 3415–3417. [Google Scholar] [CrossRef]
  3. Skvortsov, L.A. Laser photothermal spectroscopy of light-induced absorption. Quantum Electron. 2013, 43, 1–13. [Google Scholar] [CrossRef]
  4. Proskurnin, M.A.; Khabibullin, V.R.; Usoltseva, L.O.; Vyrko, E.A.; Mikheev, I.V.; Volkov, D.S. Photothermal and Optoacoustic Spectroscopy: State of the Art and Prospects. Phys. Uspekhi 2022, 65, 270–312. [Google Scholar] [CrossRef]
  5. Cruz, R.A.; Jacinto, C.; Marcano, A.O.; Catunda, T. High-sensitivity thermal lens optimized technique to measure low linear absorption coefficients. In Proceedings of the RIAO/OPTILAS 2007: 6th Ibero-American Conference on Optics (RIAO); 9th Latin-American Meeting on Optics, Lasers and Applications (OPTILAS), Sao Paulo, Brazil, 21–26 October 2007; AIP Conference Proceedings: Melville, NY, USA, 2008; Volume 992, pp. 992, 1195–1200. [Google Scholar] [CrossRef]
  6. Cruz, R.A.; Marcano, A.O.; Jacinto, C.; Catunda, T. Ultrasensitive thermal lens spectroscopy of water. Opt. Lett. 2009, 34, 1882–1884. [Google Scholar] [CrossRef]
  7. Alexandrovski, A.; Fejer, M.; Markosian, A.; Route, R. Photothermal common-path interferometry (PCI): New developments. In Proceedings of the Solid State Lasers XVIII: Technology and Devices, Proceedings of the SPIE Lase: Lasers and Applications in Science and Engineering, SanJose, CA, USA, 24–29 January 2009; SPIE: Bellingham, WA, USA, 2009; Volume 7193, pp. 71–91. [Google Scholar] [CrossRef]
  8. Leidinger, M.; Fieberg, S.; Waasem, N.; Kühnemann, F.; Buse, K.; Breunig, I. Comparative study on three highly sensitive absorption measurement techniques characterizing lithium niobate over its entire transparent spectral range. Opt. Express 2015, 23, 21690–21705. [Google Scholar] [CrossRef]
  9. Alexandrovski, A.; Markosyan, A.S.; Cai, H.; Fejer, M.M. Photothermal measurements of absorption in LBO with a “proxy pump”calibration technique. In Proceedings of the Laser-Induced Damage in Optical Materials, Proceedings of the SPIE Laser Damage, Boulder, CO, USA, 24–27 September 2017; SPIE: Bellingham, WA, USA, 2017; Volume 10447, pp. 92–103. [Google Scholar] [CrossRef]
  10. Lee, Y.-J.; Das, A.; Mah, M.L.; Talghader, J.J. Long-wave infrared absorption measurement of undoped germanium using photothermal common-path interferometry. Appl. Opt. 2020, 59, 3494–3497. [Google Scholar] [CrossRef]
  11. Vlasova, K.V.; Makarov, A.I.; Andreev, N.F.; Konstantinov, A.Y. High-sensitive absorption measurement in transparent isotropic dielectrics with time-resolved photothermal common-path interferometry. Appl. Opt. 2018, 57, 6318–6328. [Google Scholar] [CrossRef]
  12. Vlasova, K.; Makarov, A.; Andreev, N.; Konovalov, A. Minimum Absorption Coefficient Available for Measurements Using Time-resolved Photothermal Common-path Interferometry on the Example of Synthetic Crystalline Quartz. Sens. Transducers J. 2019, 233, 6–14. [Google Scholar]
  13. Vlasova, K.V.; Konovalov, A.N.; Makarov, A.I.; Kozhevatov, I.E.; Silin, D.E. Synthetic crystalline quartz as an optical material for power optics. Radiophys. Quantum Electron. 2019, 62, 439–446. [Google Scholar] [CrossRef]
  14. Vlasova, K.V.; Makarov, A.I.; Andreev, N.F. Measurement of absorption in ultrapure crystalline quartz under conditions of influence of ambient air absorption using time-resolved photothermal common-path interferometry. Rom. Rep. Phys. 2023, 75, 402. [Google Scholar]
  15. Vlasova, K.; Makarov, A.; Andreev, N. Problem of Measuring Absorption Using Time-Resolved Photothermal Common-Path Interferometry under Conditions of Developed Heat Diffusion. Appl. Sci. 2024, 14, 190. [Google Scholar] [CrossRef]
  16. Jackson, W.B.; Amer, N.M.; Boccara, A.C.; Fournier, D. Photothermal deflection spectroscopy and detection. Appl. Opt. 1981, 20, 1333–1344. [Google Scholar] [CrossRef]
  17. Baures, P.Y.; Man, C.N. Measurements of optical absorption at 1.06 μm in low-loss materials. Opt. Mater. 1993, 2, 241–247. [Google Scholar] [CrossRef]
  18. Willamowski, U.; Ristau, D.; Welsch, E. Measuring the absolute absorptance of optical laser components. Appl. Opt. 1998, 37, 8362–8370. [Google Scholar] [CrossRef]
  19. Piombini, H.; Guediche, A.; Picart, D.; Dammame, G. Absorption measurement of layers or materials: How to calibrate? Results Phys. 2019, 14, 102314. [Google Scholar] [CrossRef]
  20. Mühlig, C.; Bublitz, S. Sensitive and absolute absorption measurements in optical materials and coatings by laser-induced deflection technique. Opt. Eng. 2012, 51, 121812. [Google Scholar] [CrossRef]
  21. Bublitz, S.; Mühlig, C. Absolute Absorption Measurements in Optical Coatings by Laser Induced Deflection. Coatings 2019, 9, 473. [Google Scholar] [CrossRef]
  22. Kuo, P.-K.; Munidasa, M. Single-beam interferometry of a thermal bump. Appl. Opt. 1990, 29, 5326. [Google Scholar] [CrossRef]
  23. Chow, R.; Taylor, J.R.; Wu, Z.L. Absorptance behavior of optical coatings for high-average-power laser applications. Appl. Opt. 2000, 39, 650–658. [Google Scholar] [CrossRef]
  24. Dong, J.; Lu, R.; Zhang, T.; Yang, L.; Zhang, Y.; Wu, Z.; Chen, J. Multi-channel averaging detection for fast imaging of weakly absorbing defects in surface thermal lensing. Rev. Sci. Instrum. 2018, 89, 114904. [Google Scholar] [CrossRef]
  25. Luk’yanov, A.Y.; Novikov, M.A. The sensitivity of thermal-lens and phase-shift (interferometric) techniques in photothermal spectroscopy: A comparative study. Tech. Phys. 2000, 45, 1470–1474. [Google Scholar] [CrossRef]
  26. Luk’yanov, A.Y.; Pogorelko, A.A. Phase (interferometric) photothermal method for separate measurements of surface and volume absorption. Tech. Phys. 2002, 47, 585–590. [Google Scholar] [CrossRef]
  27. Pellegrino, P.M.; Fell, N.F., Jr.; Gillespie, J.B. Trace chemical vapor detection by photothermal interferometry. Proc. SPIE Int. Soc. Opt. Eng. 2001, 4205, 4205441. [Google Scholar] [CrossRef][Green Version]
  28. Radeschnig, U.; Bergmann, A.; Lang, B. Optimization of the optical path length amplitude for interferometric photothermal gas and aerosol sensing considering advection: A theoretical study. J. Appl. Phys. 2024, 135, 094501. [Google Scholar] [CrossRef]
  29. Patel, C.K.N.; Tam, A.C. Pulsed optoacoustic spectroscopy of condensed matter. Rev. Mod. Phys. 1981, 53, 517–554. [Google Scholar] [CrossRef]
  30. Yang, T.; Chen, W.; Wang, P. A review of all-optical photoacoustic spectroscopy as a gas sensing method. Appl. Spectrosc. Rev. 2021, 56, 143–170. [Google Scholar] [CrossRef]
  31. Fathy, A.; Sabry, Y.M.; Hunter, I.W.; Khalil, D.; Bourouina, T. Direct Absorption and Photoacoustic Spectroscopy for Gas Sensing and Analysis: A Critical Review. Laser Photon. Rev. 2022, 16, 2100556. [Google Scholar] [CrossRef]
  32. Heraeus Conamic. Fused Silica Products for Optical Applications. Available online: https://www.heraeus-conamic.com/products-and-solutions/products-for-key-markets/products-for-optical-applications (accessed on 17 August 2024).
  33. Nürnberg, F.; Kühn, B.; Langner, A.; Altwein, M.; Schötz, G.; Takke, R.; Thomas, S.; Vydra, J. Bulk damage and absorption in fused silica due to high-power laser applications. Proc. SPIE 2015, 9632, 96321R. [Google Scholar] [CrossRef]
  34. Becker, J.S.; Tenzler, D. Studies of LA-ICP-MS on quartz glasses at different wavelengths of a Nd:YAG laser. Fresenius J. Anal. Chem. 2001, 307, 637–640. [Google Scholar] [CrossRef]
  35. Vlasova, K.V.; Makarov, A.I.; Andreev, N.F. Ultra-low Light Absorption Measurement in the Problem of Determining Chemical Impurities Concentrations in Quartz Glasses and Synthetic Crystalline Quartz Using Time-resolved Photothermal Common-path Interferometry. In Advances in Optics: Reviews; Yurish, S.Y., Ed.; IFSA: Barcelona, Spain, 2021; Volume 5, p. 302. [Google Scholar]
  36. Vlasova, K.V.; Makarov, A.I.; Andreev, N.F. On the Problem of Inhomogeneous Spatial Distribution of the Redox Index of Polyvalent Iron Ions in the Volume of Ultrapure Synthetic Quartz Materials. Radiophys. Quantum Electron. 2023, 66, 39–51. [Google Scholar] [CrossRef]
  37. Andreev, N.F.; Vlasova, K.V.; Davydov, V.S.; Kulikov, S.M.; Makarov, A.I.; Sukharev, S.A.; Freidman, G.I.; Shubin, S.V. Cascaded frequency doublers for broadband laser radiation. Quantum Electron. 2012, 42, 887–898. [Google Scholar] [CrossRef]
  38. Fang, H.L.; Swofford, R.L. The thermal lens in absorption spectroscopy. In Ultrasensitive Laser Spectroscopy, 1st ed.; Kliger, D.S., Ed.; Academic Press: New York, NY, USA, 1983; p. 201. [Google Scholar]
  39. LLC “Quartz Technology”. Available online: http://quartztech.ru/eng.html (accessed on 17 August 2024).
  40. Vlasova, K.V.; Makarov, A.I.; Andreev, N.F. High-sensitive absorption measurement in ultrapure quartz glasses and crystals using time-resolved photothermal common-path interferometry and its possible prospects. J. Appl. Phys. 2021, 129, 043101. [Google Scholar] [CrossRef]
Figure 1. Time-resolved photothermal common-path interferometry (TPCI) electro-optical scheme (argon cells not shown).
Figure 1. Time-resolved photothermal common-path interferometry (TPCI) electro-optical scheme (argon cells not shown).
Applsci 14 09474 g001
Figure 2. The part of the optical scheme modified in this paper consisting of cells with open ends into which argon of 99.99% purity was supplied. The dashed lines show the argon flows.
Figure 2. The part of the optical scheme modified in this paper consisting of cells with open ends into which argon of 99.99% purity was supplied. The dashed lines show the argon flows.
Applsci 14 09474 g002
Figure 3. Example of single (i.e., without averaging) waveforms of the time-varying component of the probe radiation power U(t), at a time interval of 0.1 s, obtained when argon was used as a sample at gas flow velocity below the threshold of turbulence (red) and above the threshold (blue).
Figure 3. Example of single (i.e., without averaging) waveforms of the time-varying component of the probe radiation power U(t), at a time interval of 0.1 s, obtained when argon was used as a sample at gas flow velocity below the threshold of turbulence (red) and above the threshold (blue).
Applsci 14 09474 g003
Figure 4. Scheme of arrangement of beam propagation direction (kh), heating beam polarization (Eh) and crystallographic axes (C and ai) in the sample.
Figure 4. Scheme of arrangement of beam propagation direction (kh), heating beam polarization (Eh) and crystallographic axes (C and ai) in the sample.
Applsci 14 09474 g004
Figure 5. The waveforms of the time-varying component of the probe radiation power U(t) in the experiments with argon and ambient air averaged over 104 realizations: (a) Waveforms obtained during the co-propagation of the heating and probe beams in argon (color) and the waveform due to the absorption of ambient air filling the entire space between the elements M2 and M3 (black). Different color curves correspond to five independent experiments; (b) The same waveforms with a 40-times scale increase along the ordinate axis (color) and the waveform due to the absorption of air with the amplitude reduced 40 times (black).
Figure 5. The waveforms of the time-varying component of the probe radiation power U(t) in the experiments with argon and ambient air averaged over 104 realizations: (a) Waveforms obtained during the co-propagation of the heating and probe beams in argon (color) and the waveform due to the absorption of ambient air filling the entire space between the elements M2 and M3 (black). Different color curves correspond to five independent experiments; (b) The same waveforms with a 40-times scale increase along the ordinate axis (color) and the waveform due to the absorption of air with the amplitude reduced 40 times (black).
Applsci 14 09474 g005
Figure 6. Averaged over 104 realizations and over time (≈100 μs) waveforms of the time-varying component of the probe radiation power U(t) in experiments with argon and ambient air: (a) Waveforms obtained when the heating and probe beams were co-propagated in argon (color), and an waveform (amplitude reduced 40 times) due to ambient air absorption (black). Different color curves correspond to five independent experiments; (b) Arithmetic averages from five waveforms similar to (a), which were obtained in two independent experiments conducted on different days (color) and a waveform due to ambient air absorption (black). The amplitudes of the black curves are reduced 40 times.
Figure 6. Averaged over 104 realizations and over time (≈100 μs) waveforms of the time-varying component of the probe radiation power U(t) in experiments with argon and ambient air: (a) Waveforms obtained when the heating and probe beams were co-propagated in argon (color), and an waveform (amplitude reduced 40 times) due to ambient air absorption (black). Different color curves correspond to five independent experiments; (b) Arithmetic averages from five waveforms similar to (a), which were obtained in two independent experiments conducted on different days (color) and a waveform due to ambient air absorption (black). The amplitudes of the black curves are reduced 40 times.
Applsci 14 09474 g006
Figure 7. Averaged over 104 realizations waveforms of the time-varying component of the probe radiation power U(t) in experiments with synthetic crystalline quartz (different color curves correspond to different positions of the crystal under test and, accordingly, to its different spatial regions): (a) Waveforms obtained when the cells were filled with ambient air (black negative) and argon (black positive) and the crystal was in the same position, and waveforms obtained when the cells were filled with argon and the crystal position was varied perpendicular to the beam axis (color); rectangular function reflects the influence of electronic nonlinearity of the refractive index (black rectangular); (b) Waveforms shown in (a), obtained after subtracting the rectangular function from them; (c) Waveforms shown in (b), normalized to their maximum amplitude.
Figure 7. Averaged over 104 realizations waveforms of the time-varying component of the probe radiation power U(t) in experiments with synthetic crystalline quartz (different color curves correspond to different positions of the crystal under test and, accordingly, to its different spatial regions): (a) Waveforms obtained when the cells were filled with ambient air (black negative) and argon (black positive) and the crystal was in the same position, and waveforms obtained when the cells were filled with argon and the crystal position was varied perpendicular to the beam axis (color); rectangular function reflects the influence of electronic nonlinearity of the refractive index (black rectangular); (b) Waveforms shown in (a), obtained after subtracting the rectangular function from them; (c) Waveforms shown in (b), normalized to their maximum amplitude.
Applsci 14 09474 g007
Figure 8. Differences of waveforms of the time-varying component of the probe radiation power U(t) in experiments with synthetic crystalline quartz (different color curves in figures (a,b) correspond to different positions of the crystal under test and, accordingly, to its different spatial regions): (a) Differences of waveforms obtained at different positions of the sample with the waveform obtained at the position with minimal absorption (Figure 7a, black positive curve); (b) The same waveforms normalized to their maximum amplitude; the light blue curve is used as a universal curve describing the time dependence of the absorption contribution of the crystal in U(t); (c) Characteristic curves, which are the difference between the curves of the corresponding color shown in Figure 7b and the universal curve with the matched amplitude. The black curve is a piecewise linear approximation of the corresponding curves shown in Figure 6b.
Figure 8. Differences of waveforms of the time-varying component of the probe radiation power U(t) in experiments with synthetic crystalline quartz (different color curves in figures (a,b) correspond to different positions of the crystal under test and, accordingly, to its different spatial regions): (a) Differences of waveforms obtained at different positions of the sample with the waveform obtained at the position with minimal absorption (Figure 7a, black positive curve); (b) The same waveforms normalized to their maximum amplitude; the light blue curve is used as a universal curve describing the time dependence of the absorption contribution of the crystal in U(t); (c) Characteristic curves, which are the difference between the curves of the corresponding color shown in Figure 7b and the universal curve with the matched amplitude. The black curve is a piecewise linear approximation of the corresponding curves shown in Figure 6b.
Applsci 14 09474 g008
Disclaimer/Publisher’s Note: The statements, opinions and data contained in all publications are solely those of the individual author(s) and contributor(s) and not of MDPI and/or the editor(s). MDPI and/or the editor(s) disclaim responsibility for any injury to people or property resulting from any ideas, methods, instructions or products referred to in the content.

Share and Cite

MDPI and ACS Style

Vlasova, K.; Makarov, A.; Andreev, N. Absorption Measurement in Ultrapure Crystalline Quartz with the Eliminated Influence of Ambient Air Absorption in the Time-Resolved Photothermal Common-Path Interferometry Scheme. Appl. Sci. 2024, 14, 9474. https://doi.org/10.3390/app14209474

AMA Style

Vlasova K, Makarov A, Andreev N. Absorption Measurement in Ultrapure Crystalline Quartz with the Eliminated Influence of Ambient Air Absorption in the Time-Resolved Photothermal Common-Path Interferometry Scheme. Applied Sciences. 2024; 14(20):9474. https://doi.org/10.3390/app14209474

Chicago/Turabian Style

Vlasova, Ksenia, Alexandre Makarov, and Nikolai Andreev. 2024. "Absorption Measurement in Ultrapure Crystalline Quartz with the Eliminated Influence of Ambient Air Absorption in the Time-Resolved Photothermal Common-Path Interferometry Scheme" Applied Sciences 14, no. 20: 9474. https://doi.org/10.3390/app14209474

APA Style

Vlasova, K., Makarov, A., & Andreev, N. (2024). Absorption Measurement in Ultrapure Crystalline Quartz with the Eliminated Influence of Ambient Air Absorption in the Time-Resolved Photothermal Common-Path Interferometry Scheme. Applied Sciences, 14(20), 9474. https://doi.org/10.3390/app14209474

Note that from the first issue of 2016, this journal uses article numbers instead of page numbers. See further details here.

Article Metrics

Back to TopTop