Next Article in Journal
Gut Microbiota as an Endocrine Organ: Unveiling Its Role in Human Physiology and Health
Next Article in Special Issue
Corner Reflector Plasmonic Nanoantennas for Enhanced Single-Photon Emission
Previous Article in Journal
Flutter Mechanism of a Thin Plate Considering Attack Angles
Previous Article in Special Issue
Polarization-Sensitive Quantum Optical Coherence Tomography: Birefringence Profiles of Biological Samples
 
 
Font Type:
Arial Georgia Verdana
Font Size:
Aa Aa Aa
Line Spacing:
Column Width:
Background:
Article

Quantum Noise: Particles, Waves and Mixture

by
Leonardo López-Hernández
1,
Diego Alberto Lara-Bustillos
1,
Guillermo de Jesús Rojas-Prado
1,
Josué Cantera
1,
Edna M. Hernández
1,
Jehú López-Aparicio
1,
Carlos Ernesto Vargas
2 and
Víctor Velázquez
1,*
1
Facultad de Ciencias, Universidad Nacional Autónoma de México, Apartado Postal 70-543, Ciudad de México 04510, Mexico
2
Facultad de Física, Universidad Veracruzana, Paseo No. 112, Desarrollo Hab. Nvo. Xalapa, Xalapa-Enriquez 91097, Mexico
*
Author to whom correspondence should be addressed.
Appl. Sci. 2024, 14(20), 9382; https://doi.org/10.3390/app14209382
Submission received: 21 May 2024 / Revised: 12 September 2024 / Accepted: 19 September 2024 / Published: 15 October 2024
(This article belongs to the Special Issue Quantum Optics: Theory, Methods and Applications)

Abstract

We carry out a theoretical investigation about quantum noise in coherent mixtures of states with different statistics. On the one hand, we investigate the dependence between the behavior wave-particle and associated noise. On the other hand, we are interested in studying the persistence of chaotic behavior in mixtures of states with quantum and classical behavior. For this, we perform mixtures of single photons with coherent states of different averages. We find that the noise associated with quantum chaos depends on the proportion of the quantum–classical mixture and that quantum wave states are more efficient than classical wave states in terms of their randomness properties.

1. Introduction

“In 1909, Albert Einstein realized that electromagnetic fluctuations vary depending on whether the energy is carried by waves or particles.” [1]. The fluctuations of the information are also information. The noise produced by individual photons in the detectors depends on your location. That means if a detector is positioned towards the possible path of photons that do not have a precise location, the noise produced in the photon count around the average will be different from the noise produced when all photons are directed unambiguously to the detector. That implies the difference in noise between detecting photons in the wave and particle states. Although our quantum intuition is an approximation of reality, the concept of quantum particles still depends on the high probability that we associate with a single path. On the other hand, a quantum wave can go on different paths simultaneously. When a photon in the state of a quantum particle enters a 50:50 beam splitter, its outgoing state is now a quantum wave with two trajectories, transmitted and reflected. According to experience, the photon will be detected in the detector placed on the transmitted port or in the other on the reflected port [2]. The detectors we currently use detect quantum particles, but we do not have detectors of waves, although we can detect quantum waves indirectly. The test of Bell’s inequality, in some way, is an indirect proof of the existence of these quantum waves [3].
In [4], it is proposed as a conjecture that quantum chaotic behavior comes from the balanced superposition of each photon’s wave and particle states. To make these measurements, we use the Fano factor to measure quantum noise, as used in ballistic and nuclear billiards [1,5,6,7], in which the quantum chaos is associated with a Fano factor F = 1 / 4 . In [4], we talked about the superposition of two states of the same photon, one state with zero shot noise ( F = 0 ) and the other state with individual random noise ( F = 1 / 2 ). The chaotic behavior of individual photons is seen as an average of noise between those of a wave and a particle. It is imperative to understand that the randomness of individual photons, such as those crossing a 50:50 beam splitter with a Fano factor F = 1 / 2 , is distinct from the randomness of a coherent state photon beam with F = 1 . The latter is associated with shot noise, and this distinction is crucial for a clear understanding of our research. The importance of this conjecture about quantum chaos does not require the behavior of a particle bouncing off a nonregular billiard but rather the superposition of two of its possible states. In that context, we want to know whether quantum or classical chaos can be obtained from the superposition of individual photon states with different noise states and in what proportions. For example, single-photon states with coherent states with varying averages of photons.
In this article, we present a theoretical study on the mixture of quantum and classical states of light to extend the understanding of the possibility of indirectly measuring the wave nature of photons through the noise they generate. We assume that the radiation field of a coherent | α state has properties like those of a classical field [8,9,10], which can coherently mix with a quantum field, i.e., its density function contains non-diagonal matrix elements that are non-zero. In that sense, when we talk about a mixture, we are referring to a coherent mixture, which allows interference between the two states entering the beam splitter.
We start with the experimental results of the Fano factor obtained from the Grangier experiment [4]. We used this research to study the superposition of photons that generate noise associated with chaotic fluctuations. We organize this article as follows: in the first section, we describe the various statistics behind shot noise and obtaining quantum chaos as a superposition of wave and particle states. In the next section, we substitute the quantum wave states with coherent states with different averages. In the penultimate section we perform an analysis of the proportion of coherent state necessary to produce the noise associated with quantum chaos in photon counting. Finally, we present the conclusions.

2. Quantum Chaos as a Superposition of Wave-like and Particle-like Behavior on Single Photons

Starting from the assumption that the Fano factor, defined as an indicator of fluctuations or noise in particle count, has special values for notable statistics. That with zero noise F = 0 , of photons with particle behavior, and that with noise F = 1 / 2 associated with wave behavior. The superposition states of these two states can be written as follows:
| ψ = C w | w + C p | p
where C w and C p are probability amplitudes, with P w = | C w | 2 , P p = | C p | 2 the probabilities for each photon to be detected in one or the other behavior. For the case in which | C w | 2 = | C p | 2 = 1 / 2 , we have F = 1 / 4 , which we can associate with the noise of quantum chaos. Let us briefly recall the case analyzed in [4] with polarization modes and polarizing beam splitter (PBS) to make clear both the Fano factor measurement and quantum chaos. To measure the Fano factor, a source of photon pairs was used in [4], where the linear polarization of the signal photons was rotated with a half-wave plate before crossing a polarizing beam splitter (PBS). In this way, it is possible to control the transmission and reflection coefficients of individual photons and, with these probabilities be detected at each of the PBS output ports. The idler photons are detected as a trigger signal.
The particle state is constructed when we ensure that the horizontally polarized photon crosses the PBS with probability one | t | 2 = 1 , | p = | 0 2 | H 3 , while the wave state is generated when the photon with diagonal polarization crosses the PBS with the state | w = 1 2 ( | H 3 | 0 2 + i | 0 3 | V 2 ), for | r | 2 = | t | 2 = 1 2 . Figure 1 shows the experimental data of the measurement of the Fano factor against the transmission probability P T = | t | 2 in the beam splitter. For a transmission probability of P T = 3 / 4 , the quantum noise associated with chaos F = 1 / 4 is obtained [4]. In the same publication we can
On the other hand, let us consider a quantum state incident on a standard beam splitter (BS). In particular, if the photons enter the beam splitter in the | 1 state, the Fano factor in the transmitted port will have a valor F 1 . From the theory and experiments in [1,4,5,6], we know that the noise associated with quantum chaos has the value F = 1 / 4 . Noise becomes independent of the number of particles that enter the beam splitter [11] because the variance ( Δ n ^ ) 2 increases with the number of particles, in the same proportion as its average n ^ . The Fano factor measures the normalized shots and noise levels of the individual particles.
F = ( Δ n ^ ) 2 n ^ .
In principle, the interaction of each photon with the beam splitter is the source of noise generation. The Fano factor behaves linearly for these photon time series. F = 0 for the maximum transmission probability, where the series is composed only of 1’s, while F = 1 represents the limit 0 / 0 of V / n ¯ . This limit has an interesting interpretation from the point of view of a coherent state photon time series whose Fano factor is always F = 1 , regardless of the average number of photons in the series. The equivalence is the Fano factor for coherent states whose average number of photons tends to zero. As in [4], the chaotic states are obtained for F = 1 / 4 , 3 / 4 , the noises 1 / f and f, respectively [12,13,14]. In addition, in [4] we also verified that the photon time series have a complex behavior that can be interpreted as the transition from a crystalline state to an ideal gas state [15] when the Fano factor goes from F = 0 to F = 1 / 2 . Now, we are in a position to perform calculations for mixing time series with coherent states (Didactic interpretations of this mixture can be obtained with simulations [16]).

3. Coherent Mixing States of Single Photons | 1 with Coherent States with Different Averages

There are several methods to produce noise related to quantum chaos. Quantum chaos evidently necessitates both the particle’s localization and its wave-like delocalization. At the semi-classical or classical level, different statistical combinations might also exhibit similar noise characteristics. For example, unlike Equation (1), a wave with a different structure could be utilized. An example would be a coherent state’s wave passing through a beam splitter. Figure 2 illustrates the theoretical setup for combining a coherent state with a single-photon Fock state. Unlike in the experimental realization [4], we make calculations with photons in spatial modes. In this article, it is not necessary to consider states with defined polarization where a polarizing beam splitter is used. Since in this work, we consider a nonpolarizing beam splitter, the process is equivalent to [4] if we consider the transmission and reflection coefficients as parameters of the problem. The coherent state, represented by | α with an average photon number of | α | 2 , enters through port 0, while the quantum state | 1 enters through port 1. For the Fock state, the transmission and reflection coefficients are denoted by t and r, respectively, while for the coherent state, the coefficients are t and r . These coefficients adhere to the Stokes relations [17].
| r | = | r | , | t | = | t | , | r | 2 + | t | 2 = 1 , r * t + r t * = 0
The states on ports 2 and 3 are given by this unitary transformation [18]:
a ^ 2 a ^ 3 = t r r t a ^ 0 a ^ 1
To determine the noise in photon counting, especially the noise related to quantum chaos, we need to find the average number of photons from the state mixture and their variance. These measurements allow us to calculate the Fano factor [19]. The output state of the beam splitter is:
| α 0 | 1 1 e α ( t a ^ 2 + r a ^ 3 ) α * ( t * a ^ 2 + r * a ^ 3 ) ( r a ^ 2 + t a ^ 3 ) | 0 2 | 0 3
= D ^ 2 ( t α ) D ^ 3 ( r α ) ( r a ^ 2 + t a ^ 3 ) | 0 2 | 0 3
the density matrix of the resulting state can be expressed as follows:
ρ ^ 23 = D ^ 2 ( t α ) D ^ 3 ( r α ) ρ ˜ ^ 23 D ^ 3 ( r α ) D ^ 2 ( t α )
where
ρ ˜ ^ 23 = ( r a ^ 2 + t a ^ 3 ) | 0 2 | 0 3 0 | 3 0 | 2 ( r * a ^ 2 + t * a ^ 3 )
As our research focuses on analyzing the noise at output port 3, the density operator is represented as:
ρ ^ 3 = T r 2 ( ρ ^ 23 )
By taking the trace over port 2, we obtain:
ρ ^ 3 = | r | 2 | r α 3 r α | + | t | 2 D ^ ( r α ) | 1 3 1 | D ^ ( r α )
By employing the identity [20], a ^ D ^ ( r α ) = D ^ ( r α ) ( a ^ + r α ) and its conjugated equivalent.
This operator allows us to determine the mean number of photons and the variance from the mean count in port 3.
n ^ 3 = t r ( n ^ 3 ρ ^ 3 )
( Δ n ^ 3 ) 2 = n ^ 3 2 n ^ 3 2
where n ^ 3 2 = T r ( n ^ 3 2 ρ ^ 3 ) . Thus,
n ^ 3 = | t | 2 + | r α | 2
( Δ n ^ 3 ) 2 = | t | 2 ( 1 | t | 2 ) + | r | 2 | α | 2 ( 1 + 2 | t | 2 )
Finally,
F 3 = ( Δ n ^ 3 ) 2 n ^ 3
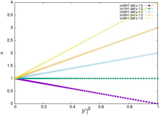
Figure 3 shows the photon average curves of these mixtures.
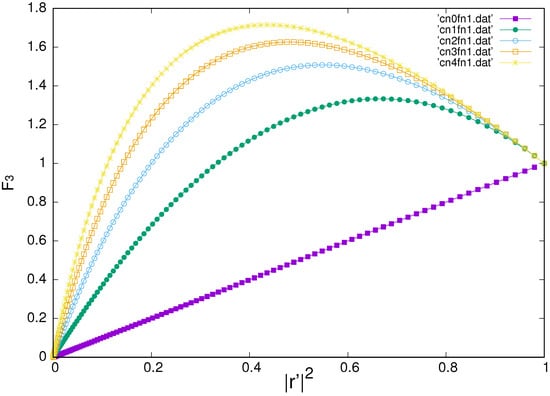
When the reflection probability | r | 2 is nearly zero, indicating the absence of a coherent state in the mixture exiting through port 3, the photon count is n = 1 with F 3 = 0 . As the proportion of the coherent state reflected towards output 3 increases, the average photon number grows to | α | 2 . For the magenta full-box graph with | α | 2 = 0 , the photon count decreases from 1 to 0. In the scenario where the averaging results in a one-photon average in both the coherent state and the Fock state, the average number of photons consistently remains n ^ = 1 . The other graphs are also linear in terms of the increase in the average number of photons depending on the probability that the coherent state leaves the port 3. Figure 4 illustrates the Fano factor distributions for various combinations of single-photon states and coherent states with | α | 2 values of 0, 1, 2, 3, and 4. For | α | = 0 , the transmitted single photon exhibits a Fano factor between F 3 = 0 and F 3 = 1 . This plot (represented by filled magenta boxes) resembles the Fano factor observed in the experiment [4] involving single photons, where the quantum chaos value F 3 = 1 / 4 corresponds to a transmission probability of | t | 2 = 0.75 . For the other graphs, represented by green filled circles for | α | = 1 , cyan circles for | α | = 2 , orange boxes for | α | = 3 , and yellow stars for | α | = 4 , it is evident that the maximum noise level indicated by the Fano factor approaches F 3 = 2 . This suggests a proximity to photon thermal noise with bunching. In addition, it becomes clear that there is an upper limit for the Fano factor when the average photon number in the coherent state is very large. This limit is F 3 = 3 .

4. Quantum Chaos Mixing Coherent States with Fock States

From Figure 5, we observe that the values for which we have F 3 = 1 / 4 for a chaotic mixture have a behavior that decays depending on the magnitude of the proportion of the coherent state.
For the case in which | α | 2 = 0 , we recover the value of F 3 = 1 / 4 , for | r | 2 = 0.25 or | t | 2 = 0.75 . As the average number of photons in the coherent state increases, the proportion of the coherent state required to reach a stage of chaotic noise becomes smaller and smaller.
It is important to mention that the interaction between the coherent states and the individual states of the photons creates a sum of the noises associated with each contribution. In other words, the non-diagonal or coherence terms in the mixture generate noise that is greater than the sum of the separate noises of the individual photons and the photons in the coherent state.
For the state with a coherent state with one photon on average, a reflection probability of P r = 0.065 is required, which implies that the Fock photon entering through port 1 behaves like a particle approximately 93.5 % of the time it crosses the beam splitter. The coherent state with its 6.5 % behaves like a wave, a classical wave compared to the quantum wave mentioned in Section 2. In another hand, there is a gap between the states with | α | 2 = 0 and | α | 2 > 1 in the noise F > 1 for | r | 2 > 1 / 3 . Above this coherent state reflection probability, there is no noise suppression, so all quantum behavior must be located below | r | 2 = 1 / 3 .
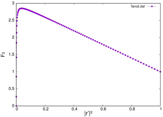
As an example of an extreme interaction, the noise F generated by the interaction of an individual photon with a coherent state with n ^ = 1000 , see Figure 6. A coherent state whose energy can be 1000 times greater than the individual photon interacts as a function of the energy difference. Clearly, the limit of the Fano factor is F 3 = 3 , which is reached quickly. The proportion of the mixture that provides a Fano factor with chaotic noise consists of particle states in a proportion close to one and coherent states in a very small proportion because the intensity of the interaction of the Fock state with the coherent state depends on the energy difference between both states. If the energy difference is large, then the interaction will be weak, and therefore, the associated noise will be smaller. For this reason, the maximum noise shifts to the left (lower r ) depending on the average number of photons in the coherent state. However, Fano noise decays linearly to F 3 = 1 as the probability of reflection increases. It may be of interest to know why the noise F has as its limit the value F 3 = 3 , regardless of the value of the average number of photons that have the coherent state. We can say that the knee bend of F versus | r | 2 for an arbitrary number of photons in the coherent state is close to the maximum interaction between the two states, i.e., in the area where the energy is comparable. In any case, the mixture of states that we propose here has a limit equivalent to the noise that would produce quantum states of three photons | 3 mixed with the vacuum.
The Fano factor obtained from the statistical mixture expressed by the density function [12] describes the competition between the quantum character of the state | 1 and the state | α that we can consider classical. In this way, the statistics of the photons that can be detected at the output port 3 can have the three characteristic limits of light sources. Subpoisson, superpoisson, and poisson for different values of | r | 2 , since the value σ / n ¯ = F is an indicator of this behavior.
Regarding the F = 1/4 criterion as a signal of quantum chaos, it does not depend on the mode of the photons but on the count of photons per unit of time. On the other hand, the most widely accepted criterion for the existence of quantum chaos corresponds to the Bohigas-Giannoni-Schmit (BGS) conjecture [21], which predicts the presence of chaos in a quantum system if there is an analogous classical system that has chaos. There is no proof that the linear, time-reversible quantum system possesses chaos when its nonlinear classical analog also exhibits it. In that sense, the F = 1/4 criterion associated with quantum chaos in ballistic billiards [1,5,6] and nuclear systems [7] can be connected with the quantum chaos of a linear system of photons crossing a beam splitter whose value of the Fano factor is also F = 1 / 4 . Since this value corresponds to the wave-particle superposition of the photons [4], it gives rise to an alternative conjecture to that of BGS. Therefore, without performing a proof of this conjecture, we can justify the presence of quantum chaos in the statistical superposition of single photons with coherent states based on the probability of reflection of the coherent state towards port 3.

5. Conclusions

For individual photon time series, it is possible to obtain the noise associated with quantum chaos through the superposition of wave and particle states. Now, by superimposing a particle state with a coherent state, we find that the proportion of the particle state increases while that of the coherent state decreases and decreases in inverse proportion with the average number of photons that the coherent state has. We could say that a coherent state behaves more like a classical wave than a quantum wave. On the noise suppression scale, the coherent state has shot noise, while a quantum wave has noise halfway between shot noise and full suppression. In other words, the coherent state is noisier than a quantum wave. However, the noise associated with a coherent state is independent of its photon average, so clearly, the quantum coherence generated in the mixture is large enough to contribute to the noise described by the Fano factor and allow the maximum of the distribution to move to the left, towards where the proportion of contribution from the coherent state is minimum.
Finally, the definition of quantum chaos given in [4] about the mixture of wave and particle states can be enhanced using mixtures of quantum states with classical states and represents an alternative definition to that of Bohigas [21]. In principle, defining quantum chaos as a superposition of wave and particle states makes more sense when we now mix a classical state with an independent particle state since the mixture that exhibits quantum chaos does not occur for any average of photons of the coherent state, but it occurs for an average close to the average of maximum interaction with the Fock state.

Author Contributions

Conceptualization, V.V.; Software, D.A.L.-B. and G.d.J.R.-P.; Validation, E.M.H. and J.L.-A.; Formal analysis, C.E.V.; Investigation, L.L.-H.; Data curation, J.C. All authors have read and agreed to the published version of the manuscript.

Funding

We acknowledge financial support from the PAPIIT-UNAM-IN113023 PAPIME-UNAM-PE105223. LLH and DLB are thankful for the grants from CONAHCyT.

Institutional Review Board Statement

Not applicable.

Informed Consent Statement

Not applicable.

Data Availability Statement

The data presented in this study are available on request from the corresponding author.

Conflicts of Interest

The authors declare no conflicts of interest.

References

  1. Beenakker, C.; Schönenberge, C. Quantum shot noise. Phys. Today 2003, 56, 37–42. [Google Scholar] [CrossRef]
  2. Grangier, P.; Roger, G.; Aspect, A. Experimental Evidence for a Photon Anticorrelation Effect on a Beam Splitter: A New Light on Single-Photon Interferences. EPL Europhys. Lett. 1986, 1, 173–179. [Google Scholar] [CrossRef]
  3. Bierhorst, P.; Knill, E.; Glancy, S.; Zhang, Y.; Mink, A.; Jordan, S.; Rommal, A.; Liu, Y.-K.; Christensen, B.; Nam, S.W.; et al. Experimentally generated randomness certified by the impossibility of superluminal signals. Nature 2018, 556, 223–226. [Google Scholar] [CrossRef] [PubMed]
  4. Mendoza, B.D.; Lara, D.A.; López-Aparicio, J.; Armendáriz, G.; López-Hernández, L.; Velázquez, V.; Hernández, E.M.; Grether, M.; López-Moreno, E.; Frank, A. Quantum Chaos in Time Series of Single Photons as a Superposition of Wave and Particle States. Photonics 2021, 8, 326. [Google Scholar] [CrossRef]
  5. Agam, O.; Aleiner, I.; Larkin, A. Shot Noise in Chaotic Systems: Classical to Quantum Crossover. Phys. Rev. Lett. 2000, 85, 3153–3156. [Google Scholar] [CrossRef] [PubMed]
  6. Oberholzer, S.; Sukhorukov, E.V.; Schönenberger, C. Crossover between classical and quantum shot noise in chaotic cavities. Nature 2002, 415, 765–767. [Google Scholar] [CrossRef] [PubMed]
  7. Bustillos, D.A.L.; López-Hernández, L.; Ramírez-Cruz, N.; Hernández, E.M.; Fossion, R.; López-Moreno, E.; Vargas, C.E.; Velázquez, V. Nuclear energy level complexity: Fano factor signature of chaotic behavior of nearest-neighbor time-series analysis. Phys. Rev. C 2020, 102, 044301. [Google Scholar] [CrossRef]
  8. Glauber, R.J. The Quantum Theory of Optical Coherence. Phys. Rev. 1963, 130, 2529. [Google Scholar] [CrossRef]
  9. Glauber, R.J. Coherent and Incoherent States of the Radiation Field. Phys Rev. 1963, 131, 2766. [Google Scholar] [CrossRef]
  10. Agarwal, G.S.; Tara, K. Nonclassical properties of states generated by the excitations on a coherent state. Phys. Rev. A 1991, 43, 492–497. [Google Scholar] [CrossRef] [PubMed]
  11. Ramírez-Cruz, N.; Bastarrachea-Magnani, M.A.; Velázquez, V. Quantum anatomy of the classical interference of n-photon states in a Mach-Zehnder interferometer. J. Phys. Conf. Ser. 2016, 698, 012015. [Google Scholar] [CrossRef]
  12. Relaño, A.; Gómez, J.M.G.; Molina, R.A.; Retamosa, J.; Faleiro, E. Quantum Chaos and 1/f Noise. Phys. Rev. Lett. 2002, 89, 244102. [Google Scholar] [CrossRef] [PubMed]
  13. Landa, E.; Morales, I.O.; Fossion, R.; Stránský, P.; Velázquez, V.; López Vieyra, J.C.; Frank, A. Criticality and long-range correlations in time series in classical and quantum systems. Phys. Rev. E 2011, 84, 016224. [Google Scholar] [CrossRef] [PubMed]
  14. Armendáriz, G.; Velázquez, V. Determining Single Photon Quantum States through Robust Waveguides on Chip. Photonics 2023, 10, 755. [Google Scholar] [CrossRef]
  15. López-Ruiz, R.; Mancini, H.L.; Calbet, X. A statistical measure of complexity. Phys. Lett. A 1995, 209, 321–326. [Google Scholar] [CrossRef]
  16. Cabello, R.; Liprandi, N.; Olivar, C.V.; Hernández, E.M.; Barrios, E.; Cantera, J.; Velázquez, V. Simulations of Quantum Optics Experiments; Universidad Nacional Autónoma de México: Mexico City, Mexico, 2024; manuscript in preparation. [Google Scholar]
  17. Stokes, G.G. Mathematical and Physical Papers; Cambridge University Press: Cambridge, UK, 1883; Volume 2, pp. 89–103. [Google Scholar]
  18. Gerry, C.C.; Knight, P.L. Introductory Quantum Optics; Cambridge University Press: Cambridge, UK, 2005. [Google Scholar]
  19. Windhager, A.; Suda, M.; Pacher, C.; Peev, M.; Poppe, A. Quantum interference between a single-photon Fock state and a coherent state. Opt. Commun. 2011, 284, 1907–1912. [Google Scholar] [CrossRef]
  20. Mandel, L.; Wolf, E. Optical Coherence and Quantum Optics; Cambridge University Press: Cambridge, UK, 1995. [Google Scholar]
  21. Bohigas, O.; Giannoni, M.J.; Schmit, C. Characterization of chaotic quantum spectra and universality of level fluctuation laws. Phys. Rev. Lett. 1984, 52, 1–4. [Google Scholar] [CrossRef]
Figure 1. Determination of the Fano factor for photons traversing a polarizing beam splitter (PBS). There are five significant values of the Fano factor. Initially, for F = 0 , the fluctuations in the photon count are completely suppressed. The Fano factor value F = 1 / 4 , corresponding to quantum chaos noise, occurs at a transmission probability of P T = 0.75 . The wave-state-driven counting noise manifests itself at F = 1 / 2 , representing an equal likelihood of the photon being transmitted through or reflected by the PBS. Another critical state is the complementary quantum chaos noise F = 3 / 4 , commonly referred to as blue noise. Lastly, in the limit where the transmission probability approaches zero, the Fano factor reaches F = 1 , signifying shot noise [4].
Figure 1. Determination of the Fano factor for photons traversing a polarizing beam splitter (PBS). There are five significant values of the Fano factor. Initially, for F = 0 , the fluctuations in the photon count are completely suppressed. The Fano factor value F = 1 / 4 , corresponding to quantum chaos noise, occurs at a transmission probability of P T = 0.75 . The wave-state-driven counting noise manifests itself at F = 1 / 2 , representing an equal likelihood of the photon being transmitted through or reflected by the PBS. Another critical state is the complementary quantum chaos noise F = 3 / 4 , commonly referred to as blue noise. Lastly, in the limit where the transmission probability approaches zero, the Fano factor reaches F = 1 , signifying shot noise [4].
Applsci 14 09382 g001
Figure 2. In theory, to mix single-photon states with coherent states, we use a beam splitter where the coherent state | α and the Fock state | 1 enter through the input ports. The transmission and reflection coefficients are t and r for input port 1, and t and r for input port 0.
Figure 2. In theory, to mix single-photon states with coherent states, we use a beam splitter where the coherent state | α and the Fock state | 1 enter through the input ports. The transmission and reflection coefficients are t and r for input port 1, and t and r for input port 0.
Applsci 14 09382 g002
Figure 3. Photon average as a function of reflection probability. For the case where | α | 2 = 0 , the photon count starts with the average n ^ = 1 and ends at zero. When both the single-photon Fock state and the coherent state average one photon, the average is always one. For the following cases, the averaging starts at one and ends with the photon average of the coherent state.
Figure 3. Photon average as a function of reflection probability. For the case where | α | 2 = 0 , the photon count starts with the average n ^ = 1 and ends at zero. When both the single-photon Fock state and the coherent state average one photon, the average is always one. For the following cases, the averaging starts at one and ends with the photon average of the coherent state.
Applsci 14 09382 g003
Figure 4. Plot above: when the coherent state is zero in the mixture (magenta full squares), we recover the Fano factor graph (Ec.15) from Figure 1. When the coherent state has one photon on average (green full circles), the Fano factor curve becomes convex with a maximum above-the-shot noise. Similar behaviors appear for the cases | α | 2 = 2 , 3 , 4 , cyan circles, orange boxes, and yellow stars, respectively.
Figure 4. Plot above: when the coherent state is zero in the mixture (magenta full squares), we recover the Fano factor graph (Ec.15) from Figure 1. When the coherent state has one photon on average (green full circles), the Fano factor curve becomes convex with a maximum above-the-shot noise. Similar behaviors appear for the cases | α | 2 = 2 , 3 , 4 , cyan circles, orange boxes, and yellow stars, respectively.
Applsci 14 09382 g004
Figure 5. Reflection probability P R = | r | 2 for which F 3 = 1 / 4 in function of the | α | 2 for the cases in Figure 4. We have included some points | α | 2 = 1 / 2 , 1 / 4 to have a smooth curve.
Figure 5. Reflection probability P R = | r | 2 for which F 3 = 1 / 4 in function of the | α | 2 for the cases in Figure 4. We have included some points | α | 2 = 1 / 2 , 1 / 4 to have a smooth curve.
Applsci 14 09382 g005
Figure 6. For an extreme case, where we calculate the Fano factor (Equation (15)) for | α | 2 = 1000 , we can see that the limit for such Fano factor is F 3 = 3 . After the knee in the graph, the decreasing behavior in the Fano factor is linear with a negative slope.
Figure 6. For an extreme case, where we calculate the Fano factor (Equation (15)) for | α | 2 = 1000 , we can see that the limit for such Fano factor is F 3 = 3 . After the knee in the graph, the decreasing behavior in the Fano factor is linear with a negative slope.
Applsci 14 09382 g006
Disclaimer/Publisher’s Note: The statements, opinions and data contained in all publications are solely those of the individual author(s) and contributor(s) and not of MDPI and/or the editor(s). MDPI and/or the editor(s) disclaim responsibility for any injury to people or property resulting from any ideas, methods, instructions or products referred to in the content.

Share and Cite

MDPI and ACS Style

López-Hernández, L.; Lara-Bustillos, D.A.; Rojas-Prado, G.d.J.; Cantera, J.; Hernández, E.M.; López-Aparicio, J.; Vargas, C.E.; Velázquez, V. Quantum Noise: Particles, Waves and Mixture. Appl. Sci. 2024, 14, 9382. https://doi.org/10.3390/app14209382

AMA Style

López-Hernández L, Lara-Bustillos DA, Rojas-Prado GdJ, Cantera J, Hernández EM, López-Aparicio J, Vargas CE, Velázquez V. Quantum Noise: Particles, Waves and Mixture. Applied Sciences. 2024; 14(20):9382. https://doi.org/10.3390/app14209382

Chicago/Turabian Style

López-Hernández, Leonardo, Diego Alberto Lara-Bustillos, Guillermo de Jesús Rojas-Prado, Josué Cantera, Edna M. Hernández, Jehú López-Aparicio, Carlos Ernesto Vargas, and Víctor Velázquez. 2024. "Quantum Noise: Particles, Waves and Mixture" Applied Sciences 14, no. 20: 9382. https://doi.org/10.3390/app14209382

APA Style

López-Hernández, L., Lara-Bustillos, D. A., Rojas-Prado, G. d. J., Cantera, J., Hernández, E. M., López-Aparicio, J., Vargas, C. E., & Velázquez, V. (2024). Quantum Noise: Particles, Waves and Mixture. Applied Sciences, 14(20), 9382. https://doi.org/10.3390/app14209382

Note that from the first issue of 2016, this journal uses article numbers instead of page numbers. See further details here.

Article Metrics

Back to TopTop