Investigations of the Windage Losses of a High-Speed Shrouded Gear via the Lattice Boltzmann Method
Abstract
1. Introduction
2. CFD Methodology
2.1. Lattice Boltzmann Method
2.2. Geometry and Numerical Setup
3. Results and Discussion
3.1. Verification of CFD Model
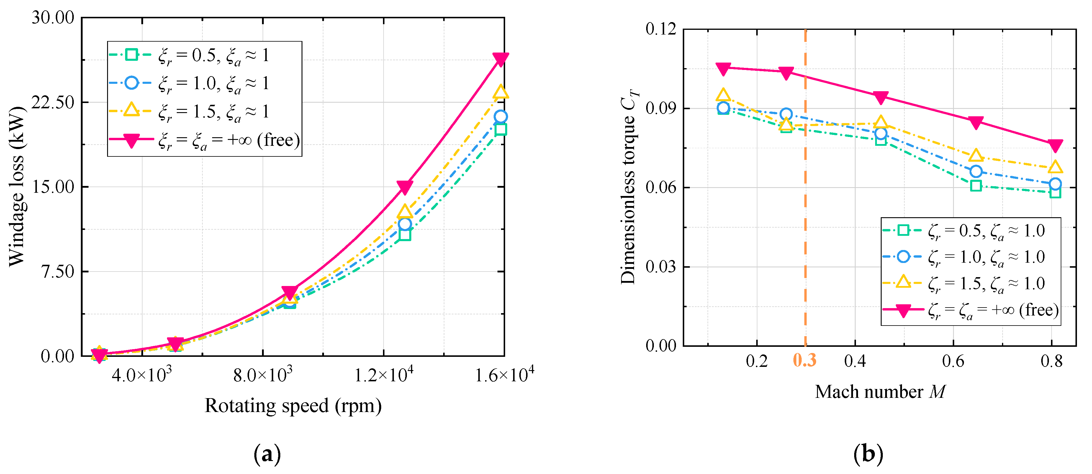
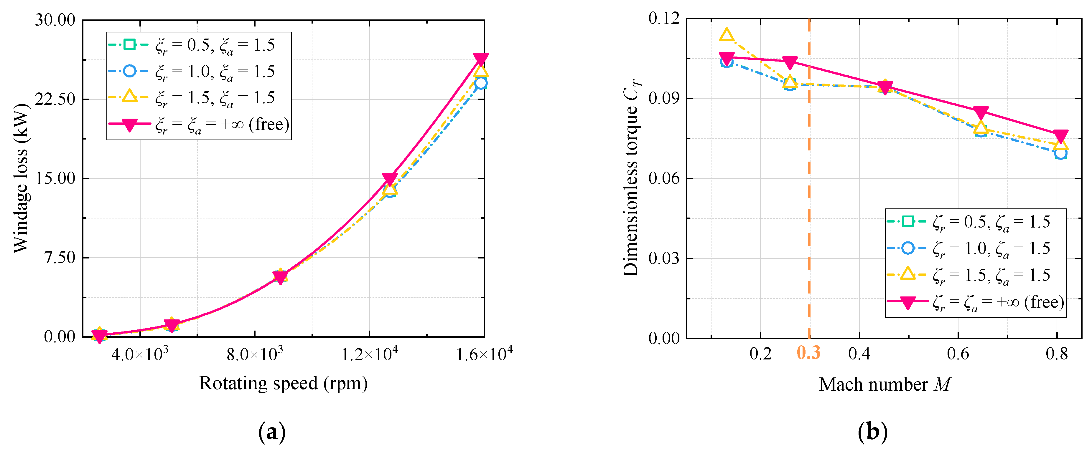
3.2. Influence of the Shroud
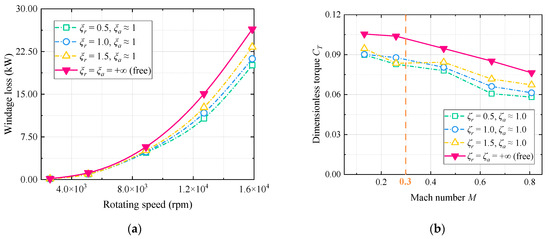
- The numerical gear power losses with a large clearance (ζr ≥ 0.5 and ζa ≥ 1.0) are close to the maximum theoretical power losses of an unshrouded gear. In other words, a loose shroud has no obvious containment effect on the gear power losses. Compared to Figure 3, a tight shroud would significantly reduce the gear power losses. It has been reduced by at least 50% of windage losses for ζr = 0.1009 and ζa = 1.0644 with respect to the case of ζr = 0.5 and ζa = 1.0.
- Even with a shroud, the windage losses are proportional to the cube of the rotating speed. The dimensionless torque CT has little change when the rotating speed falls below about 5900 rpm and the Mach number is 0.3. Once the Mach number increases, the dimensionless value will decrease obviously. The most important cause of this is the increasingly apparent compressible flow phenomenon of the air.
- Windage losses or dimensionless torques are increasing with the increases of the axial clearance of the shroud compared to Figure 4 to Figure 5. The losses are approaching the theoretical maximum values, even exceeding them. This changing trend is reasonable and acceptable considering the deficiencies in both numerical and theoretical methods.
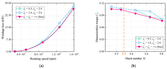
- As for the same axial clearance ζa of the shroud, the radial clearance changed ζr from 0.5 to 1.5, and the windage losses had no significant changes. It is a similar finding to a 2021 study that claimed that the high-speed gear mostly generates airflow that is between 1.0 and 1.5 times the gear’s radius in a radial direction [14]. This scope is governed by the gear teeth. As for the same radius clearance ζr, the radial clearance changed ζr from 1.0 to 2.0, and the variation in windage losses is obvious.
- It is apparent that the gear’s windage losses with a tight shroud (ζr ≤ 1.0 and ζa ≤ 0.3) still rapidly increase with the rotating speed, as shown in Figure 7 and Figure 9. As in the incompressible flow (M ≤ 0.3), the dimensionless torque CT changes little with the increase in the Mach number. As the Mach number continues to grow (M ≥ 0.3), the torque coefficient CT declines (see Figure 8 and Figure 10).
- In contrast to a loose shroud (ζr ≥ 0.5 and ζa ≥ 1), a tight shroud (ζr ≤ 1.0 and ζa ≤ 0.3) obviously restrains the generation of gear windage power losses. Especially for ζr = 0.2, ζa ≈ 0.3, the windage losses decrease more than 83.3%. It is the same as the previous conclusion by Winfree [38]. In general, the windage losses decrease as the radial or axial clearances reduce. However, in the case of small radial clearance (ζr = 0.2), continuous reduction of axial clearance may become counterproductive. That is going to be particularly important when ζr = 0.2, ζa ≈ 0.3, as the corresponding power losses are much smaller than those of ζr = 0.2, ζa ≈ 0.1 and ζr = 0.2, ζa ≈ 0.2, and about an equal number of the tight shroud configuration of ζr ≈ 0.005, ζa ≈ 0.045, according to Handschuh et al. [30]. This could be due to the strengthening of the axial pump effect when the radial and axial clearances are so narrow that the assembly of the spur gear and tight shroud is analogous to a part of a gear pump, as stated by Zhu et al. [21]. Therefore, from the perspective of the containment of the windage losses, the axial clearance cannot be too small.
3.3. Torque Containment Factor
4. Conclusions
Author Contributions
Funding
Institutional Review Board Statement
Informed Consent Statement
Data Availability Statement
Conflicts of Interest
Nomenclature
| bg | teeth width, mm |
| Ca | axial clearance, mm |
| Cr | radial clearance, mm |
| CT | dimensionless torque factor |
| CT-free | dimensionless torque factor in pure air |
| CT-free” | dimensionless torque factor in pure air when Mach number exceeds 0.3 |
| CT-shroud | dimensionless torque factor in an enclosed case |
| Cζ | torque containment factor |
| Ma | Mach number |
| ng | rotating speed, rpm |
| Pwi | windage losses, W |
| Re * | critical Reynolds number = 3 × 105 |
| Rp | pitch radius, mm |
| VFluid | fluid volume, mm3 |
| VGear | gear volume, mm3 |
| Vr | volume ratio |
| VS | sound speed, m/s |
| xa | tooth form coefficient |
| Z | teeth number |
| γ | gas constant |
| ω | angular velocity, rad/s |
| ρair | air density, kg/m3 |
| ρair” | air density when Mach number exceeds 0.3, kg/m3 |
| ζa | axial clearance factor |
| ζr | radial clearance factor |
References
- Handschuh, R.F.; Kilmain, C.J. Operational Influence on Thermal Behavior of High-Speed Helical Gear Trains; American Helicopter Society: Phoenix, AZ, USA, 9–11 May 2006. [Google Scholar]
- Winfree, D.D. Reducing gear windage losses from high speed gears. In Proceedings of the International Design Engineering Technical Conferences and Computers and Information in Engineering Conference, Baltimore, MD, USA, 10–13 September 2000. [Google Scholar]
- Anderson, N.E.; Loewenthal, S.H. Effect of geometry and operating conditions on spur gear system power loss. J. Mech. Des. 1981, 103, 151–159. [Google Scholar] [CrossRef]
- Townsend, D. Gear Handbook, the Design, Manufacture and Application of Gears; McGraww-Hill: New York, HY, USA, 1992. [Google Scholar]
- Hill, M.J.; Kunz, R.F.; Medvitz, R.B.; Handschuh, R.F.; Long, L.N.; Noack, R.W.; Morris, P.J. CFD Analysis of Gear Windage Losses: Validation and Parametric Aerodynamic Studies. J. Fluids Eng. Trans. ASME 2011, 133, 031103. [Google Scholar] [CrossRef]
- Diab, Y.; Ville, F.; Velex, P.; Changenet, C. Windage losses in high speed gears—Preliminary experimental and theoretical results. J. Mech. Des. 2004, 126, 903–908. [Google Scholar] [CrossRef]
- Zhu, X.; Dai, Y.; Ma, F.Y. Development of a quasi-analytical model to predict the windage power losses of a spiral bevel gear. Tribol. Int. 2020, 146, 106258. [Google Scholar] [CrossRef]
- Seetharaman, S.; Kahraman, A.; Moorhead, M.D.; Petry-Johnson, T.T. Oil Churning Power Losses of a Gear Pair: Experiments and Model Validation. J. Tribol. Trans. ASME 2009, 131, 022202. [Google Scholar] [CrossRef]
- Seetharaman, S.; Kahraman, A. Load-Independent Spin Power Losses of a Spur Gear Pair: Model Formulation. J. Tribol. Trans. ASME 2009, 131, 022201. [Google Scholar] [CrossRef]
- Seetharaman, S.; Kahraman, A. A Windage Power Loss Model for Spur Gear Pairs. Tribol. Trans. 2010, 53, 473–484. [Google Scholar] [CrossRef]
- Massini, D.; Fondelli, T.; Andreini, A.; Facchini, B.; Tarchi, L.; Leonardi, F. Experimental and Numerical Investigation on Windage Power Losses in High Speed Gears. J. Eng. Gas Turbines Power 2018, 140, 082508. [Google Scholar] [CrossRef]
- Ruzek, M.; Ville, F.; Velex, P.; Boni, J.B.; Marchesse, Y. On windage losses in high-speed pinion-gear pairs. Mech. Mach. Theory 2019, 132, 123–132. [Google Scholar] [CrossRef]
- Ruzek, M.; Marchesse, Y.; Ville, F.; Velex, P. Windage power loss reductions in high-speed gear pairs. Forsch. Ingenieurwesen 2019, 83, 387–392. [Google Scholar] [CrossRef]
- Dai, Y.; Xu, L.J.; Zhu, X.; Ouyang, B. Application of an unstructured overset method for predicting the gear windage power losses. Eng. Appl. Comput. Fluid 2021, 15, 130–141. [Google Scholar] [CrossRef]
- Pallas, S.; Marchesse, Y.; Changenet, C.; Ville, F.; Velex, P. A windage power loss model based on CFD study about the volumetric flow rate expelled by spur gears. Mech. Ind. 2012, 13, 317–323. [Google Scholar] [CrossRef]
- Pallas, S.; Marchesse, Y.; Changenet, C.; Ville, F.; Velex, P. Application and validation of a simplified numerical approach for the estimation of windage power losses in spur gears. Comput. Fluids 2013, 84, 39–45. [Google Scholar] [CrossRef]
- Marchesse, Y.; Changenet, C.; Ville, F.; Velex, P. Investigations on CFD Simulations for Predicting Windage Power Losses in Spur Gears. J. Mech. Des. 2011, 133, 024501. [Google Scholar] [CrossRef]
- Voeltzel, N.; Marchesse, Y.; Changenet, C.; Ville, F.; Velex, P. On the influence of helix angle and face width on gear windage losses. Proc. Inst. Mech. Eng. Part C J. Mech. Eng. Sci. 2016, 230, 1101–1112. [Google Scholar] [CrossRef]
- Al-Shibl, K.; Simmons, K.; Eastwick, C.N. Modelling windage power loss from an enclosed spur gear. Proc. Inst. Mech. Eng. Part A J. Power Energy 2007, 221, 331–341. [Google Scholar] [CrossRef]
- Ruzek, M.; Brun, R.; Marchesse, Y.; Ville, F.; Velex, P. On the reduction of windage power losses in gears by the modification of tooth geometry. Forsch. Ingenieurwesen 2023, 87, 1029–1036. [Google Scholar] [CrossRef]
- Zhu, X.; Bian, J.N.; Dai, Y. A quasi-analytical prediction method for gear load-independent power losses for shroud approaching. Eng. Sci. Technol. 2023, 48, 101562. [Google Scholar] [CrossRef]
- Li, L.L.; Wang, S.M. Research on the calculation method of windage power loss of aviation spiral bevel gear and experiment verification. Proc. Inst. Mech. Eng. Part E J. Process Mech. Eng. 2023. [Google Scholar] [CrossRef]
- Li, L.L.; Wang, S.M.; Liu, L.L. An Analysis Model for Predicting Windage Power Loss of Aviation Spiral Bevel Gears Under Optimal Injection Jet Layout. Tribol. Trans. 2023, 66, 1057–1077. [Google Scholar] [CrossRef]
- Fondelli, T.; Andreini, A.; Facchini, B. Numerical Investigation on Windage Losses of High-Speed Gears in Enclosed Configuration. AIAA J. 2018, 56, 1910–1921. [Google Scholar] [CrossRef]
- Zhang, Y.Z.; Hou, X.Y.; Zhang, H.; Zhao, J. Numerical Simulation on Windage Power Loss of High-Speed Spur Gear with Baffles. Machines 2022, 10, 416. [Google Scholar] [CrossRef]
- Li, L.L.; Wang, S.M.; Zou, H.R.; Cao, P.T. Windage Loss Characteristics of Aviation Spiral Bevel Gear and Windage Reduction Mechanism of Shroud. Machines 2022, 10, 390. [Google Scholar] [CrossRef]
- Zhang, Y.Z.; Li, L.L.; Zhao, Z.Q. Optimal Design of Computational Fluid Dynamics: Numerical Calculation and Simulation Analysis of Windage Power Losses in the Aviation. Processes 2021, 9, 1999. [Google Scholar] [CrossRef]
- Li, L.L.; Wang, S.M.; Zhang, X.Y.; Li, Z.B.; Li, F.; Zou, H.R. Numerical Calculation Analysis and Characteristic Research on Windage Loss of Oil-Jet Lubricated Aviation Gear Pair. Int. J. Aerosp. Eng. 2022, 2022, 7499587. [Google Scholar] [CrossRef]
- Li, L.L.; Wang, S.M. Experimental Study and Numerical Analysis on Windage Power Loss Characteristics of Aviation Spiral Bevel Gear with Oil Injection Lubrication. Stroj. Vestn. J. Mech. Eng. 2023, 69, 235–247. [Google Scholar] [CrossRef]
- Handschuh, R.F.; Hurrell, M.J. Initial experiments of high-speed drive system windage losses. In Proceedings of the International Conference on Gears, Garching, Germany, 4–6 October 2010. [Google Scholar]
- Marchesse, Y.; Ruzek, M.; Ville, F.; Velex, P. On windage power loss reduction achieved by flanges. Forsch. Ingenieurwesen 2022, 86, 389–394. [Google Scholar] [CrossRef]
- Wei, K.; Lu, F.X.; Bao, H.Y.; Zhu, R.P. Mechanism and reduction of windage power losses for high speed herringbone gear. Proc. Inst. Mech. Eng. Part C J. Mech. Eng. Sci. 2023, 237, 2014–2029. [Google Scholar] [CrossRef]
- Atencio, B.N.; Yao, H.D.; Chernoray, V. Experiments and Lattice-Boltzmann Simulation of Flow in a Vertically Aligned Gearbox. J. Tribol. 2023, 145, 114103. [Google Scholar] [CrossRef]
- Gong, R.; Gong, Q.; Che, H.J.; Zhang, Z.G. Numerical Investigation on Churning Loss Torque and Oil Distribution of Reducer Based on Lattice Boltzmann Method. Tribol. Trans. 2021, 64, 968–979. [Google Scholar] [CrossRef]
- Li, Q.H.; Xu, P.; Li, L.; Xu, W.X.; Tan, D.P. Investigation on the Lubrication Heat Transfer Mechanism of the Multilevel Gearbox by the Lattice Boltzmann Method. Processes 2024, 12, 381. [Google Scholar] [CrossRef]
- Ambrose, S.; Morvan, H.; Simmons, K. Investigation of oil jet impingement on a rotating gear using lattice boltzman method (LBM). In Proceedings of the ASME Turbo Expo 2018: Turbomachinery Technical Conference and Exposition, Oslo, Norway, 11–15 June 2018. [Google Scholar]
- Hu, X.Z.; Li, P.F.; Quan, C.; Wang, J.N. CFD investigation on oil injection lubrication of meshing spur gears via lattice Boltzmann method. Lubricants 2022, 10, 184. [Google Scholar] [CrossRef]
- Winfree, D.D. Reducing gear windage losses from high speed gears and applying these principles to actual running hardware. In Proceedings of the ASME 2013 International Design Engineering Technical Conferences and Computers and Information in Engineering Conference, Portland, OR, USA, 4–7 August 2013. [Google Scholar]













| Parameter | Value |
|---|---|
| Number of teeth | 52 (-) |
| Module | 6.35 (mm) |
| Gear width | 28.4 (mm) |
| Pitch radius | 165.1 (mm) |
| Pressure angle | 25 (°) |
| Tooth profile | Standard |
| Group | Global Resolution (mm) | Local Refined Resolution (mm) | Total Number of Lattice Nodes (-) | Wall Clock Time (min) | Numerical Windage Losses (W) |
|---|---|---|---|---|---|
| 1 | 5 | 2.5 | 639,504 | 310 | 443 |
| 2 | 6 | 3 | 370,080 | 196 | 475 |
| 3 | 7 | 3.5 | 235,456 | 154 | 425 |
Disclaimer/Publisher’s Note: The statements, opinions and data contained in all publications are solely those of the individual author(s) and contributor(s) and not of MDPI and/or the editor(s). MDPI and/or the editor(s) disclaim responsibility for any injury to people or property resulting from any ideas, methods, instructions or products referred to in the content. |
© 2024 by the authors. Licensee MDPI, Basel, Switzerland. This article is an open access article distributed under the terms and conditions of the Creative Commons Attribution (CC BY) license (https://creativecommons.org/licenses/by/4.0/).
Share and Cite
Dai, Y.; Yang, C.; Zhu, X. Investigations of the Windage Losses of a High-Speed Shrouded Gear via the Lattice Boltzmann Method. Appl. Sci. 2024, 14, 9174. https://doi.org/10.3390/app14209174
Dai Y, Yang C, Zhu X. Investigations of the Windage Losses of a High-Speed Shrouded Gear via the Lattice Boltzmann Method. Applied Sciences. 2024; 14(20):9174. https://doi.org/10.3390/app14209174
Chicago/Turabian StyleDai, Yu, Caihua Yang, and Xiang Zhu. 2024. "Investigations of the Windage Losses of a High-Speed Shrouded Gear via the Lattice Boltzmann Method" Applied Sciences 14, no. 20: 9174. https://doi.org/10.3390/app14209174
APA StyleDai, Y., Yang, C., & Zhu, X. (2024). Investigations of the Windage Losses of a High-Speed Shrouded Gear via the Lattice Boltzmann Method. Applied Sciences, 14(20), 9174. https://doi.org/10.3390/app14209174

