The Dynamic Failure Behaviour of High-Pressure Zones during Medium-Scale Ice Indentation Tests
Abstract
Featured Application
Abstract
1. Introduction
2. Experimental Setup
2.1. Structural Frame
2.2. Indentation System
2.3. Indentation and Data Acquisition System
2.4. Ice Sample Preparation
3. Test Method
4. Results and Discussion
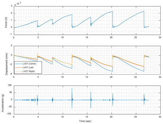
4.1. Observations during the Tests
4.2. Effect of Temperature
4.3. Effect of Indentation Speed
4.4. Effect of Indenter Size
4.5. Effect of Structural Compliance
5. Concluding Remarks
Author Contributions
Funding
Data Availability Statement
Acknowledgments
Conflicts of Interest
References
- API Recommended Practice 2N—Planning, Designing and Constructing Structures and Pipelines for Arctic Conditions; American Petroleum Institute: Washington, DC, USA, 1995.
- Määttänen, M. On Conditions for the Rise of Self-Excited Ice-Induced Autonomous Oscillations in Slender Marine Pile Structures; Winter Navigation Research Board: Helsinki, Finland; Norrköping, Sweden, 1978. [Google Scholar]
- Nordlund, O.P.; Kärnä, T.; Järvinen, E. Measurements of Ice-Induced Vibrations of Channel Markers. In Proceedings of the 9th IAHR International Symposium on Ice, Sapporo, Japan, 23–27 August 1988; International Association for Hydraulic Research: Sapporo, Japan; Volume 1, pp. 537–548. [Google Scholar]
- Xu, J.; Bernt, J.L. Dynamic Response of a Jacket Platform Subjected to Ice Loads. In Proceedings of the 6th International Conference on Port and Ocean Engineering under Arctic Conditions (POAC’81), Quebec, QC, Canada, 27–31 July 1981; Volume 1, pp. 502–516. [Google Scholar]
- Jefferies, M.; Wright, W. Dynamic Response of “Molikpaq” to Ice Structure Interaction. In Proceedings of the International Offshore Mechanics and Arctic Engineering Symposium, Houston, TX, USA, 7 February 1988; Volume 4, pp. 201–220. [Google Scholar]
- Frederking, R.; Sudom, D. Maximum Ice Force on the Molikpaq during the April 12, 1986 Event. Cold Reg. Sci. Technol. 2006, 46, 147–166. [Google Scholar] [CrossRef]
- Wright, B.; Timco, G. A Review of Ice Forces and Failure Modes on the Molikpaq. In Proceedings of the 12th IAHR International Symposium on Ice, Trondheim, Norway, 23–26 August 1994; International Association for Hydraulic Research: Trondheim, Norway; Volume 2, pp. 816–825. [Google Scholar]
- Timco, G.; Wright, B. Multi-Year Ice Loads on the Molikpaq: May 12, 1986 Event. In Proceedings of the 18th International Conference on Port and Ocean Engineering under Arctic Conditions (POAC’05), Postdam, NY, USA, 26–30 June 2005; Volume 1, pp. 453–462. [Google Scholar]
- Hirayama, K.; Schwarz, J.; Wu, H. Model Technique for the Investigation of Ice Forces on Structures. In Proceedings of the 2nd International Conference on Port and Ocean Engineering under Arctic Conditions (POAC’73), Reykjavik, Iceland, 27–30 August 1973; Volume 1, pp. 332–344. [Google Scholar]
- Croasdale, K.R.; Morgenstern, N.R.; Nuttall, J.B. Indentation Tests to Investigate Ice Pressures on Vertical Piers. J. Glaciol. 1977, 19, 301–312. [Google Scholar] [CrossRef]
- Michel, B.; Blanchet, D. Indentation of an S2 Floating Ice Sheet in the Brittle Range. Ann. Glaciol. 1983, 4, 180–187. [Google Scholar] [CrossRef]
- Timco, G. Indentation and Penetration of Edge-Loaded Freshwater Ice Sheets in the Brittle Range. J. Offshore Mech. Arct. Eng. 1987, 109, 287–294. [Google Scholar] [CrossRef]
- Kärnä, T.; Muhonen, A. Preliminary Results from Ice Indentation Tests Using Flexible and Rigid Indentors. In Proceedings of the 10th IAHR Symposium on Ice; International Association for Hydraulic Research: Espoo, Finland; Volume 3, pp. 261–275.
- Sodhi, D. Ice-Structure Interaction with Segmented Indentors. In Proceedings of the 11th IAHR International Symposium on Ice, Banff, AB, Canada, 15–19 June 1992; International Association for Hydraulic Research: Edmonton, AB, Canada; Volume 2, pp. 909–929. [Google Scholar]
- Sodhi, D. Crushing Failure during Ice-Structure Interaction. Fract. Ice 2001, 68, 1889–1921. [Google Scholar] [CrossRef]
- Tuhkuri, J. Experimental Observations of the Brittle Failure Process of Ice and Ice-Structure Contact. Cold Reg. Sci. Technol. 1995, 23, 265–278. [Google Scholar] [CrossRef]
- Sodhi, D.S.; Takeuchi, T.; Nakazawa, N.; Akagawa, S.; Saeki, H. Medium-Scale Indentation Tests on Sea Ice at Various Speeds. Cold Reg. Sci. Technol. 1998, 28, 161–182. [Google Scholar] [CrossRef]
- Meglis, I.L.; Melanson, P.M.; Jordaan, I.J. Microstructural Change in Ice: II. Creep Behavior under Triaxial Stress Conditions. J. Glaciol. 1999, 45, 438–448. [Google Scholar] [CrossRef]
- Melanson, P.M.; Meglis, I.L.; Jordaan, I.J.; Stone, B.M. Microstructural Change in Ice: I. Constant-Deformation-Rate Tests under Triaxial Stress Conditions. J. Glaciol. 1999, 45, 417–437. [Google Scholar] [CrossRef]
- Barrette, P.; Pond, J.; Jordaan, I. Ice Damage and Layer Formation in Small-Scale Indentation Experiments. In Proceedings of the 16th IAHR International Symposium on Ice, Dunedin, New Zealand, 2–6 December 2002; International Association for Hydraulic Research: Madrid, Spain, 2002; Volume 3, pp. 246–253. [Google Scholar]
- Frederking, R.; Jordaan, I.J.; McCallum, J.S. Field Tests of Ice Indentation at Medium Scale: Hobson’s Choice Ice Island 1989. In Proceedings of the 10th IAHR International Symposium on Ice, Espoo, Finland, 20–23 August 1990; International Association for Hydraulic Research: Madrid, Spain, 1990; Volume 2, pp. 931–944. [Google Scholar]
- Jordaan, I.J. Mechanics of Ice-Structure Interaction. Fract. Ice 2001, 68, 1923–1960. [Google Scholar] [CrossRef]
- Browne, T.; Taylor, R.; Jordaan, I.; Gürtner, A. Small-Scale Ice Indentation Tests with Variable Structural Compliance. Cold Reg. Sci. Technol. 2013, 88, 2–9. [Google Scholar] [CrossRef]
- O’Rourke, B.J.; Jordaan, I.J.; Taylor, R.S.; Gürtner, A. Experimental Investigation of Oscillation of Loads in Ice High-Pressure Zones, Part 1: Single Indentor System. Cold Reg. Sci. Technol. 2016, 124, 25–39. [Google Scholar] [CrossRef]
- Gagnon, R.; Mølgaard, J. Evidence for Pressure Melting and Heat Generation by Viscous Flow of Liquid in Indentation and Impact Experiments on Ice. Ann. Glaciol. 1991, 15, 254–260. [Google Scholar] [CrossRef]
- Hossain, R.; Taylor, R.; Moro, L. An Assessment of Sensitivity of the Self-Excited Modelling Approach for Simulating Dynamic Ice-Structure Interactions to Changes in Temperature and Scale Effects. Ocean Eng. 2018, 165, 410–425. [Google Scholar] [CrossRef]
- Bjerkås, M.; Lonoy, C.; Gurtner, A. Ice- Induced Vibrations and Effects of Ice Temperature. Int. J. Offshore Polar Eng. 2013, 23, 9–14. [Google Scholar]
- Sanderson, T.J.O. Ice Mechanics: Risks to Offshore Structures; Graham & Trotman: London, UK; Boston, MA, USA, 1988; ISBN 978-0-86010-785-9. [Google Scholar]
- Masterson, D.M.; Frederking, R.M.W.; Wright, B.; Kärnä, T.; Maddock, W.P. A Revised Ice Pressure-Area Curve. In Proceedings of the 19th International Conference on Port and Ocean Engineering under Arctic Conditions (POAC’07), Dalian, China, 27–30 June 2007; Dalian University of Technology Press: Dalian, China, 2007; Volume 1, pp. 305–314. [Google Scholar]
- Matlock, H.; Dawkins, W.P.; Panak, J.J. A Model for the Prediction of Ice-Structure Interaction. In Proceedings of the Annual Offshore Technology Conference, Dallas, TX, USA, 18–21 May 1969; pp. 687–693. [Google Scholar]
- Kärnä, T.; Kamesaki, K.; Tsukuda, H. A Numerical Model for Dynamic Ice–Structure Interaction. Comput. Struct. 1999, 72, 645–658. [Google Scholar] [CrossRef]
- Hendrikse, H.; Metrikine, A. Interpretation and Prediction of Ice Induced Vibrations Based on Contact Area Variation. Int. J. Solids Struct. 2015, 75–76, 336–348. [Google Scholar] [CrossRef]
- Taylor, R.S.; Richard, M.; Hossain, R. A Probabilistic High-Pressure Zone Model for Local and Global Loads During Ice-Structure Interactions. J. Offshore Mech. Arct. Eng. 2019, 141, 051604. [Google Scholar] [CrossRef]
- Hossain, R.; Taylor, R.; Moro, L. A Probabilistic High-Pressure Zone Model of Dynamic Ice Structure Interactions and Associated Ice-Induced Vibrations. In Proceedings of the International Conference on Offshore Mechanics and Arctic Engineering—OMAE, Virtual, 16–17 February 2021; Volume 7. [Google Scholar]















| Diameter (mm) | Radius of Curvature (mm) | Indenter Height (mm) | Nominal Surface Area (m2) |
|---|---|---|---|
| 50 | 64 | 90 | 1.96 × 10−3 |
| 100 | 127 | 90 | 7.85 × 10−3 |
| 150 | 192 | 90 | 17.6 × 10−3 |
| Test ID | Indenter Diameter (cm) | Ice Temperature (°C) | Beam Stiffness (N/m) | Ram Speed (mm/s) |
| T1_5_16_C1_2.5 | 5 | −16.5 | C1 (2.67 × 107) | 2.5 |
| T1_5_19_C1_2.5 | 5 | −19.5 | C1 (2.67 × 107) | 2.5 |
| T1_5_7_C1_2.5 | 5 | −7 | C1 (2.67 × 107) | 2.5 |
| T1_5_4_C1_2.5 | 5 | −4 | C1 (2.67 × 107) | 2.5 |
| T1_5_15_C2_2.5 | 5 | −15 | C2 (9.61 × 107) | 2.5 |
| T1_5_3_C2_2.5 | 5 | −3 | C2 (9.61 × 107) | 2.5 |
| T1_5_7_C2_2.5 | 5 | −7 | C2 (9.61 × 107) | 2.5 |
| T1_5_16_C3_2.5 | 5 | −16 | C3 (4.64 × 108) | 2.5 |
| T1_5_7_C3_2.5 | 5 | −7.5 | C3 (4.64 × 108) | 2.5 |
| T1_5_3_C2_16 | 5 | −3 | C2 (9.61 × 107) | 16 |
| T1_5_9_C2_16 | 5 | −9 | C2 (9.61 × 107) | 16 |
| T1_10_18_C1_2.5 | 10 | −18 | C1 (2.67 × 107) | 2.5 |
| T1_10_1_C1_2.5 | 10 | −1 | C1 (2.67 × 107) | 2.5 |
| T1_10_7_C1_2.5 | 10 | −7 | C1 (2.67 × 107) | 2.5 |
| T1_10_17_C2_2.5 | 10 | −17.5 | C2 (9.61 × 107) | 2.5 |
| T1_10_6_C2_2.5 | 10 | −6 | C2 (9.61 × 107) | 2.5 |
| T1_10_2_C2_2.5 | 10 | −2 | C2 (9.61 × 107) | 2.5 |
| T1_10_15_C3_2.5 | 10 | −15 | C3 (4.64 × 108) | 2.5 |
| T1_10_6_C3_2.5 | 10 | −6 | C3 (4.64 × 108) | 2.5 |
| T1_10_5_C2_16 | 10 | −5 | C2 (9.61 × 107) | 16 |
| T1_10_11_C2_16 | 10 | −11 | C2 (9.61 × 107) | 16 |
| T1_15_18_C1_2.5 | 15 | −18.5 | C1 (2.67 × 107) | 2.5 |
| T1_15_6_C1_2.5 | 15 | −6 | C1 (2.67 × 107) | 2.5 |
| T1_15_6_C2_2.5 | 15 | −6 | C2 (9.61 × 107) | 2.5 |
| T1_15_8_C2_16 | 15 | −8 | C2 (9.61 × 107) | 16 |
Disclaimer/Publisher’s Note: The statements, opinions and data contained in all publications are solely those of the individual author(s) and contributor(s) and not of MDPI and/or the editor(s). MDPI and/or the editor(s) disclaim responsibility for any injury to people or property resulting from any ideas, methods, instructions or products referred to in the content. |
© 2024 by the authors. Licensee MDPI, Basel, Switzerland. This article is an open access article distributed under the terms and conditions of the Creative Commons Attribution (CC BY) license (https://creativecommons.org/licenses/by/4.0/).
Share and Cite
Hossain, R.; Taylor, R. The Dynamic Failure Behaviour of High-Pressure Zones during Medium-Scale Ice Indentation Tests. Appl. Sci. 2024, 14, 849. https://doi.org/10.3390/app14020849
Hossain R, Taylor R. The Dynamic Failure Behaviour of High-Pressure Zones during Medium-Scale Ice Indentation Tests. Applied Sciences. 2024; 14(2):849. https://doi.org/10.3390/app14020849
Chicago/Turabian StyleHossain, Ridwan, and Rocky Taylor. 2024. "The Dynamic Failure Behaviour of High-Pressure Zones during Medium-Scale Ice Indentation Tests" Applied Sciences 14, no. 2: 849. https://doi.org/10.3390/app14020849
APA StyleHossain, R., & Taylor, R. (2024). The Dynamic Failure Behaviour of High-Pressure Zones during Medium-Scale Ice Indentation Tests. Applied Sciences, 14(2), 849. https://doi.org/10.3390/app14020849

