The Effects of Intermittent Hypoxic Training on Anaerobic Performance in Young Men
Abstract
1. Introduction
2. Methods
2.1. Study Design
2.2. Somatic Measurements
2.3. Physical Activity and Diet
2.4. Training
2.5. Supramaximal All-Out Test—Wingate Anaerobic Test
2.6. Participants
2.7. Statistics
3. Results
4. Discussion
The Limitation of the Study
5. Conclusions
Author Contributions
Funding
Institutional Review Board Statement
Informed Consent Statement
Data Availability Statement
Conflicts of Interest
References
- Millet, G.; Bentley, D.J.; Roels, B.; Mc Naughton, L.R.; Mercier, J.; Cameron-Smith, D. Effects of intermittent training on anaerobic performance and MCT transporters in athletes. PLoS ONE 2014, 9, e95092. [Google Scholar] [CrossRef] [PubMed]
- Saunders, P.U.; Garvican-Lewis, L.A.; Chapman, R.F.; Périard, J.D. Special environments: Altitude and heat. Int. J. Sport Nutr. Exerc. Metab. 2019, 29, 210–219. [Google Scholar] [CrossRef] [PubMed]
- Faiss, R.; Girard, O.; Millet, G.P. Advancing hypoxic training in team sports: From intermittent hypoxic training to repeated sprint training in hypoxia. Br. J. Sports Med. 2013, 47 (Suppl. S1), i45–i50. [Google Scholar] [CrossRef] [PubMed]
- Wilber, R.L. Application of altitude/hypoxic training by elite athletes. Med. Sci. Sports Exerc. 2007, 39, 1610–1624. [Google Scholar] [CrossRef] [PubMed]
- Vogt, M.; Puntschart, A.; Geiser, J.; Zuleger, C.; Billeter, R.; Hoppeler, H. Molecular adaptations in human skeletal muscle to endurance training under simulated hypoxic conditions. J. Appl. Physiol. 2001, 91, 173–182. [Google Scholar] [CrossRef] [PubMed]
- Hamlin, M.J.; Marshall, H.C.; Hellemans, J.; Ainslie, P.N.; Anglem, N. Effect of intermittent hypoxic training on 20 km time trial and 30 s anaerobic performance. Scand. J. Med. Sci. Sports 2010, 20, 651–661. [Google Scholar] [CrossRef]
- Gore, C.J.; Hahn, A.G.; Aughey, R.J.; Martin, D.T.; Ashenden, M.J.; Clark, S.A.; Garnham, A.P.; Roberts, A.D.; Slater, G.J.; McKenna, M.J. Live high: Train low increases muscle buffer capacity and submaximal cycling efficiency. Acta Phys. Scand. 2001, 173, 275–286. [Google Scholar] [CrossRef]
- Ambroży, T.; Maciejczyk, M.; Klimek, A.T.; Wiecha, S.; Stanula, A.; Snopkowski, P.; Palka, T.; Jaworski, J.; Ambrozy, D.; Rydzik, L.; et al. The effects of intermittent hypoxic training on anaerobic and aerobic power in boxers. Int. J. Environ. Res. Public Health 2020, 17, 9361. [Google Scholar] [CrossRef]
- Czuba, M.; Wilk, R.; Karpiński, J.; Chalimoniuk, M.; Zajac, A.; Langfort, J. Intermittent hypoxic training improves anaerobic performance in competitive swimmers when implemented into a direct competition mesocycle. PLoS ONE 2017, 12, e0180380. [Google Scholar] [CrossRef]
- Morton, J.P.; Cable, N.T. The effects of intermittent hypoxic training on aerobic and anaerobic performance. Ergonomics 2005, 48, 1535–1546. [Google Scholar] [CrossRef]
- Girard, O.; Brocherie, F.; Goods, P.S.; Millet, G.P. An updated panorama of “living low-training high” altitude/hypoxic methods. Front. Sports Act. Living 2020, 2, 26. [Google Scholar] [CrossRef] [PubMed]
- McLean, B.D.; Gore, C.J.; Kemp, J. Application of ‘live low-train high’for enhancing normoxic exercise performance in team sport athletes. Sports Med. 2014, 44, 1275–1287. [Google Scholar] [CrossRef] [PubMed]
- Dolci, F.; Hart, N.H.; Kilding, A.E.; Chivers, P.; Piggott, B.; Spiteri, T. Physical and energetic demand of soccer: A brief review. Strength Cond. J. 2020, 42, 70–77. [Google Scholar] [CrossRef]
- Franchini, E. Energy system contributions during Olympic combat sports: A narrative review. Metabolites 2023, 13, 297. [Google Scholar] [CrossRef] [PubMed]
- Bertuzzi, R.C.D.M.; Franchini, E.; Kokubun, E.; Kiss, M.A.P.D.M. Energy system contributions in indoor rock climbing. Eur. J. Appl. Physiol. 2007, 101, 293–300. [Google Scholar] [CrossRef]
- Hargreaves, M.; Spriet, L.L. 2020 Skeletal muscle energy metabolism during exercise. Nat. Metab. 2009, 2, 817–828. [Google Scholar] [CrossRef]
- Maciejczyk, M.; Szymura, J.; Wiecek, M.; Szygula, Z.; Kepinska, M.; Ochalek, K.; Pokrywka, A. Effects of eccentric exercise on anaerobic power, starting speed and anaerobic endurance. Kinesiology 2015, 47, 44–50. [Google Scholar]
- Available online: https://sites.google.com/view/ipaq/home (accessed on 18 February 2022).
- Biernat, E.; Stupnicki, R.; Lebiedziński, B.; Janczewska, L. Assessment of physical activity by applying IPAQ questionnaire. Phys. Educ. Sport 2008, 52, 83–89. [Google Scholar] [CrossRef]
- Mistura, L.; Comendador Azcarraga, F.J.; D’Addezio, L.; Martone, D.; Turrini, A. An Italian case study for assessing nutrient intake through nutrition-related mobile apps. Nutrients 2021, 13, 3073. [Google Scholar] [CrossRef]
- Bhambhani, Y.; Singh, M. Ventilatory thresholds during a graded exercise test. Respiration 1985, 47, 120–128. [Google Scholar] [CrossRef]
- Binder, R.K.; Wonisch, M.; Corra, U.; Cohen-Solal, A.; Vanhees, L.; Saner, H.; Schmid, J. Methodological approach to the first and second lactate threshold in incremental cardiopulmonary exercise testing. Eur. J. Cardiovasc. Prev. Rehabil. 2008, 15, 726–734. [Google Scholar] [CrossRef] [PubMed]
- Inbar, O.; Bar-Or, O.; Skinner, J.S. The Wingate Anaerobic Test; Human Kinetics: Champaign, IL, USA, 1996. [Google Scholar]
- Coleman, S.; Hale, T.; Hamley, E. A comparison of power outputs with rolling and stationary starts in the Wingate anaerobic test. J. Sports Sci. 1985, 3, 207–208. [Google Scholar]
- Hofman, N.; Orie, J.; Hoozemans, M.J.M.; Foster, C.; deKoning, J.J. Wingate test is a strong predictor of 1500m performance in elite speed skaters. Int. J. Sports Physiol. Perform. 2017, 12, 1288–1292. [Google Scholar] [CrossRef] [PubMed]
- Cohen, J. Statistical Power Analysis for the Behavioral Sciences; Routledge Academic: New York, NY, USA, 1988. [Google Scholar]
- Maciejczyk, M.; Palka, T.; Wiecek, M.; Szymura, J.; Kusmierczyk, J.; Bawelski, M.; Masel, S.; Szygula, Z. Effects of intermittent hypoxic training on aerobic capacity and second ventilatory threshold in untrained men. Appl. Sci. 2023, 13, 9954. [Google Scholar] [CrossRef]
- Barfield, J.P.; Sells, P.D.; Rowe, D.A.; Hannigan-Downs, K. Practice effect of the Wingate anaerobic test. J. Strength Cond. Res. 2002, 16, 472–473. [Google Scholar] [PubMed]
- Beneke, R.; Pollmann, C.H.; Bleif, I.; Leithäuser, R.; Hütler, M. How anaerobic is the Wingate Anaerobic Test for humans? Eur. J. Appl. Physiol. 2002, 87, 388–392. [Google Scholar] [PubMed]
- Hoppeler, H.; Vogt, M. Muscle tissue adaptations to hypoxia. J. Exp. Biol. 2001, 204 Pt 18, 3133–3139. [Google Scholar] [CrossRef] [PubMed]
- Desplanches, D.; Hoppeler, H.; Linossier, M.T.; Denis, C.; Claassen, H.; Dormois, D.; Lacour, J.R.; Geyssant, A. Effects of training in normoxia and normobaric hypoxia on human muscle ultrastructure. Pflugers Arch. 1993, 425, 263–267. [Google Scholar] [CrossRef]
- Terrados, N.; Melichna, J.; Sylvén, C.; Jansson, E.; Kaijser, L. Effects of training at simulated altitude on performance and muscle metabolic capacity in competitive road cyclists. Eur. J. Appl. Physiol. Occup. Physiol. 1988, 57, 203–209. [Google Scholar] [CrossRef]
- Roels, B.; Thomas, C.; Bentley, D.J.; Mercier, J.; Hayot, M.; Millet, G. Effects of intermittent hypoxic training on amino and fatty acid oxidative combustion in human permeabilized muscle fibers. J. Appl. Physiol. 2007, 102, 79–86. [Google Scholar] [CrossRef]
- Toffoli, S.; Roegiers, A.; Feron, O.; Van Steenbrugge, M.; Ninane, N.; Raes, M.; Michiels, C. Intermittent hypoxia is an angiogenic inducer for endothelial cells: Role of HIF-1. Angiogenesis 2009, 12, 47–67. [Google Scholar] [CrossRef] [PubMed]
- Sandiford, S.D.; Green, H.J.; Duhamel, T.A.; Perco, J.G.; Schertzer, J.D.; Ouyang, J. Inactivation of human muscle Na+-K+-ATPase in vitro during prolonged exercise is increased with hypoxia. J. Appl. Physiol. 2004, 96, 1767–1775. [Google Scholar] [CrossRef] [PubMed]
- Vogt, M.; Hoppeler, H. Is hypoxia training good for muscles and exercise performance? Prog. Cardiovasc. Dis. 2010, 52, 525–533. [Google Scholar] [CrossRef]
- Kuno, S.Y.; Inaki, M.; Tanaka, K.; Itai, Y.; Asano, K. Muscle energetics in short-term training during hypoxia in elite combination skiers. Eur. J. Appl. Physiol. Occup. Physiol. 1994, 69, 301–304. [Google Scholar] [CrossRef] [PubMed]
- Holliss, B.A.; Fulford, J.; Vanhatalo, A.; Pedlar, C.R.; Jones, A.M. Influence of intermittent hypoxic training on muscle energetics and exercise tolerance. J. Appl. Physiol. 2013, 114, 11–19. [Google Scholar] [CrossRef] [PubMed]
- Casey, D.P.; Joyner, M.J. Compensatory vasodilatation during hypoxic exercise: Mechanisms responsible for matching oxygen supply to demand. J. Physiol. 2012, 590, 6321–6326. [Google Scholar] [CrossRef]
- Cleland, S.M.; Murias, J.M.; Kowalchuk, J.M.; Paterson, D.H. Effects of prior heavy-intensity exercise on oxygen uptake and muscle deoxygenation kinetics of a subsequent heavy-intensity cycling and knee-extension exercise. Appl. Physiol. Nutr. Metab. 2012, 37, 138–148. [Google Scholar] [CrossRef]
- Haseler, L.J.; Hogan, M.C.; Richardson, R.S. Skeletal muscle phosphocreatine recovery in exercise-trained humans is dependent on O2 availability. J. Appl. Physiol. 1999, 86, 2013–2018. [Google Scholar] [CrossRef]
- Juel, C.; Halestrap, A.P. Lactate transport in skeletal muscle—Role and regulation of the monocarboxylate transporter. J. Physiol. 1999, 517 Pt 3, 633–642. [Google Scholar] [CrossRef]
- Millet, G.P.; Girard, O.; Beard, A.; Brocherie, F. Repeated sprint training in hypoxia–an innovative method. Dtsch. Z. Sportmed. 2019, 5, 115–122. [Google Scholar] [CrossRef]




| Variable | Group | Pre | Post | Effect: Group | Effect: Time | Interaction |
|---|---|---|---|---|---|---|
| F | F | F | ||||
| p | p | p | ||||
| ηp2 | ηp2 | ηp2 | ||||
| Age (yrs) | ctrl | 22.9 ± 2.9 | - | - | - | - |
| NT | 20.5 ± 1.0 | - | ||||
| IHT | 21.5 ± 1.5 | - | ||||
| BH (cm) | ctrl | 178.9 ± 5.9 | - | - | - | - |
| NT | 179.7 ± 5.6 | - | ||||
| IHT | 182.0 ± 5.5 | - | ||||
| BM (kg) | ctrl | 75.8 ± 11.5 | 75.9 ± 11.7 | 0.55 | 0.07 | 0.71 |
| NT | 76.7 ± 8.3 | 76.9 ± 8.2 | 0.58 | 0.80 | 0.49 | |
| IHT | 79.6 ± 10.4 | 79.2 ± 9.6 | 0.02 | 0.01 | 0.03 | |
| FM (kg) | ctrl | 14.3 ± 5.4 | 14.0 ± 5.2 | 0.07 | 3.20 | 2.44 |
| NT | 13.7 ± 3.9 | 13.8 ± 4.4 | 0.92 | 0.08 | 0.1 | |
| IHT | 14.1 ± 4.5 | 13.0 ± 4.1 | 0.003 | 0.06 | 0.09 | |
| FAT (%) | ctrl | 18.3 ± 5.3 | 18.0 ± 5.0 | 0.35 | 3.27 | 2.25 |
| NT | 17.6 ± 3.9 | 17.7 ± 4.4 | 0.70 | 0.08 | 0.11 | |
| IHT | 17.4 ± 3.9 | 16.3 ± 3.8 | 0.01 | 0.06 | 0.09 | |
| LBM (kg) | ctrl | 61.5 ± 7.3 | 61.9 ± 7.7 | 1.45 | 2.49 | 0.55 |
| NT | 63.1 ± 6.0 | 63.1 ± 6.1 | 0.24 | 0.12 | 0.57 | |
| IHT | 65.6 ± 7.5 | 66.1 ± 7.9 | 0.05 | 0.05 | 0.02 | |
| BMI (kg/m2) | ctrl | 23.6 ± 2.9 | 23.7 ± 2.9 | 0.04 | 0.12 | 0.55 |
| NT | 23.7 ± 2.2 | 23.8 ± 2.2 | 0.95 | 0.72 | 0.57 | |
| IHT | 24.0 ± 2.3 | 23.9 ± 2.1 | 0.001 | 0.002 | 0.02 |
| Variable | Group | Pre | Post | Effect: Group | Effect: Time | Interaction | Post hoc Pre vs. Post p | Pre vs. Post ES |
|---|---|---|---|---|---|---|---|---|
| F | F | F | ||||||
| p | p | p | ||||||
| ηp2 | ηp2 | ηp2 | ||||||
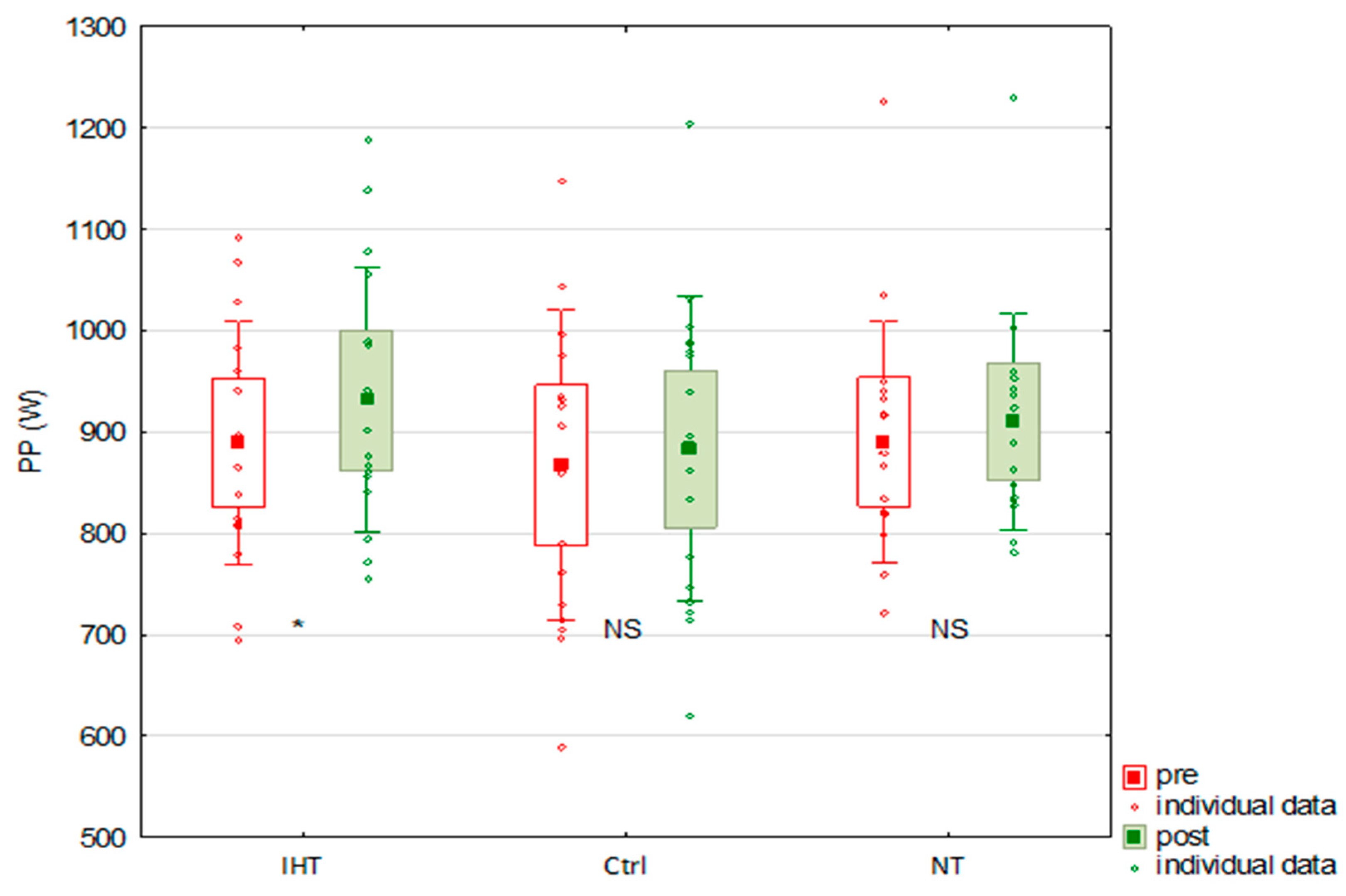
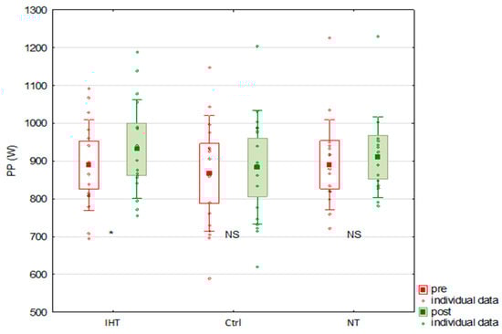
| PP (W) | ctrl | 867.4 ± 153.2 | 882.9 ± 150.4 | 0.32 | 32.68 | 3.29 | 0.34 | - |
| NT | 889.9 ± 119.5 | 909.9 ± 107.4 | 0.872 | <0.001 | 0.04 | 0.14 | - | |
| IHT | 889.3 ± 120.1 | 934.4 ± 130.2 | 0.01 | 0.41 | 0.13 | <0.001 | 0.34 | |
| PP (W/kg) | ctrl | 11.44 ± 1.02 | 11.64 ± 1.00 | 0.34 | 25.57 | 2.81 | 0.51 | - |
| NT | 11.62 ± 1.00 | 11.88 ± 1.18 | 0.72 | <0.001 | 0.07 | 0.26 | - | |
| IHT | 11.19 ± 0.92 | 11.77 ± 0.86 | 0.01 | 0.35 | 0.10 | <0.001 | 0.65 | |
| TTR-PP (s) | ctrl | 5.79 ± 1.25 | 5.24 ± 0.82 | 2.60 | 13.08 | 0.37 | 0.10 | - |
| NT | 6.12 ± 1.28 | 5.82 ± 1.42 | 0.08 | <0.001 | 0.69 | 0.72 | - | |
| IHT | 5.42 ± 0.74 | 4.94 ± 0.61 | 0.10 | 0.22 | 0.01 | 0.23 | - | |
| MP (W) | ctrl | 661.9 ± 96.9 | 664.1 ± 99.2 | 1.11 | 0.20 | 0.14 | - | - |
| NT | 684.2 ± 73.9 | 589.1 ± 86.2 | 0.33 | 0.65 | 0.86 | - | - | |
| IHT | 711.3 ± 104.7 | 710.2 ± 94.7 | 0.04 | 0.004 | 0.006 | - | - | |
| MP (W/kg) | ctrl | 8.77 ± 0.77 | 8.78 ± 0.74 | 0.36 | 0.42 | 0.03 | - | - |
| NT | 8.95 ± 0.72 | 9.00 ± 1.01 | 0.69 | 0.52 | 0.97 | - | - | |
| IHT | 8.93 ± 0.69 | 8.98 ± 0.67 | 0.01 | 0.008 | 0.001 | - | - | |
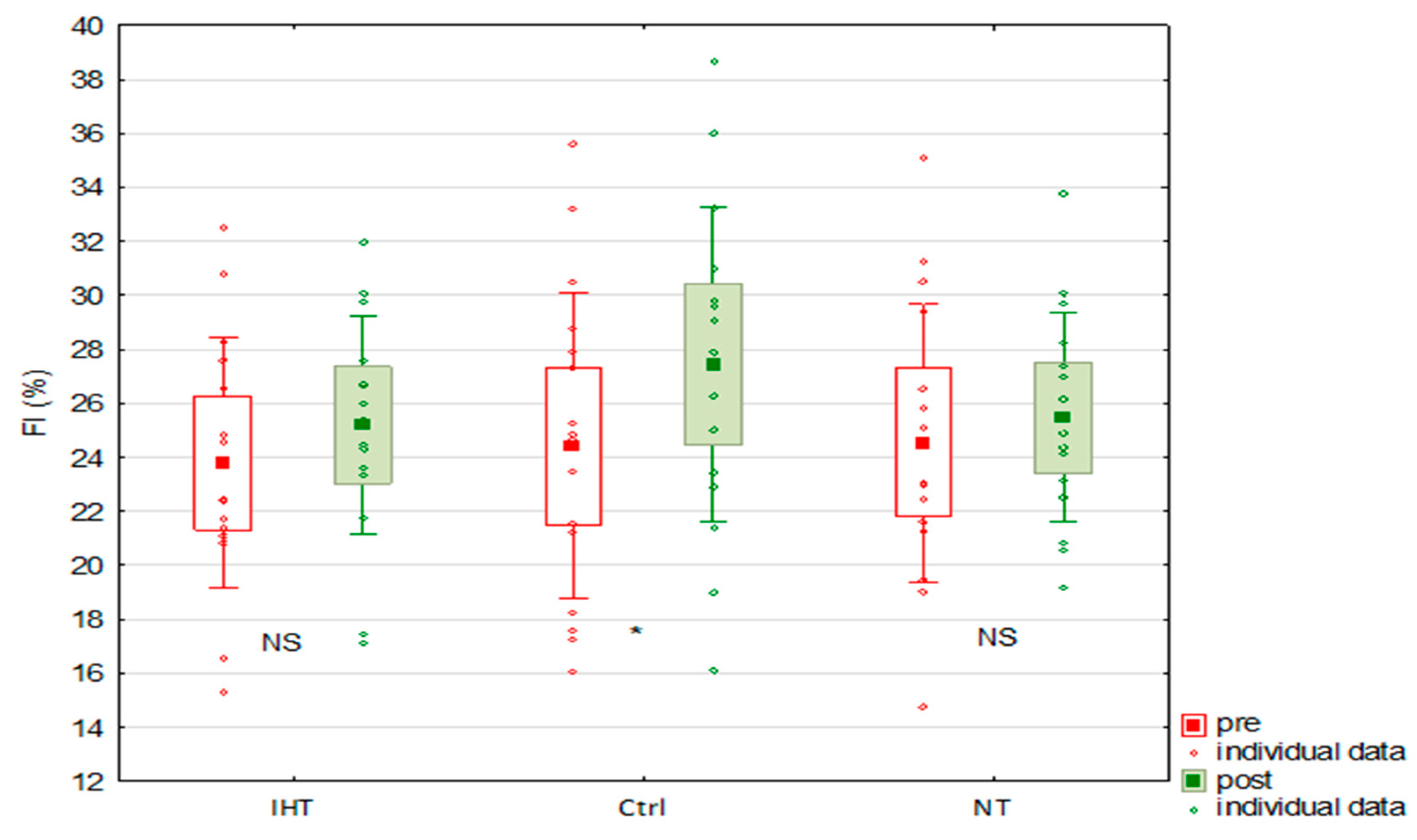
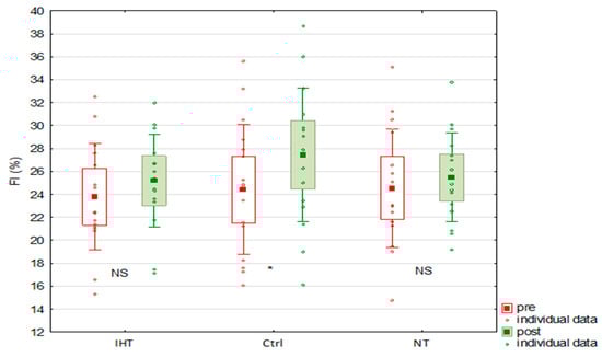
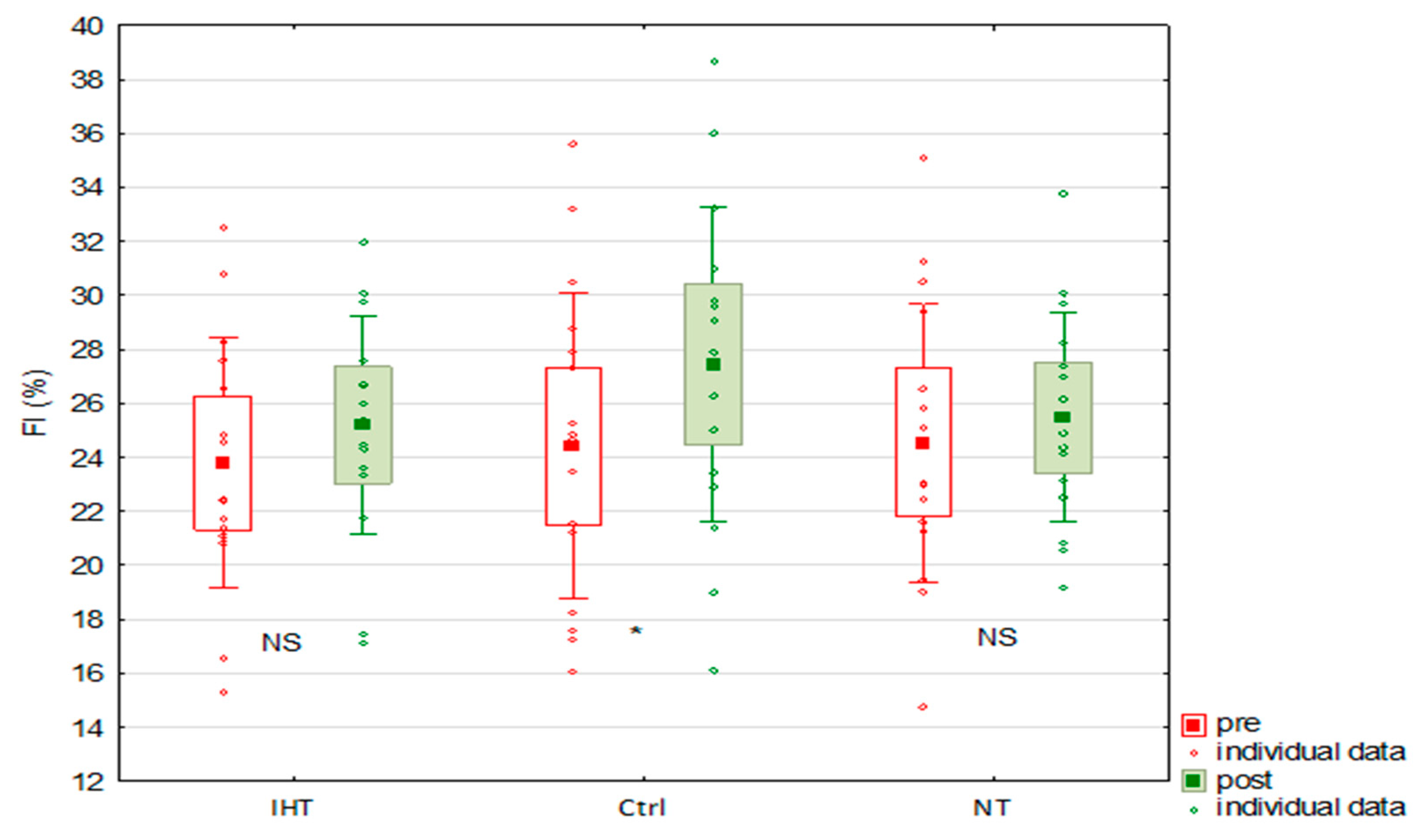
| FI (%) | ctrl | 24.4 ± 5.65 | 27.4 ± 5.82 | 0.43 | 9.22 | 1.19 | 0.04 | 0.52 |
| NT | 24.5 ± 5.16 | 25.4 ± 3.87 | 0.65 | 0.003 | 0.31 | 0.94 | - | |
| IHT | 23.8 ± 4.63 | 25.2 ± 4.06 | 0.02 | 0.16 | 0.05 | 0.74 | - | |
| PD (W/s) | ctrl | 16.65 ± 4.39 | 18.35 ± 4.64 | 1.13 | 11.8 | 0.12 | 0.25 | - |
| NT | 16.63 ± 4.00 | 17.88 ± 1.92 | 0.87 | 0.001 | 0.88 | 0.61 | - | |
| IHT | 16.03 ± 2.92 | 17.78 ± 3.51 | 0.05 | 0.20 | 0.005 | 0.25 | - | |
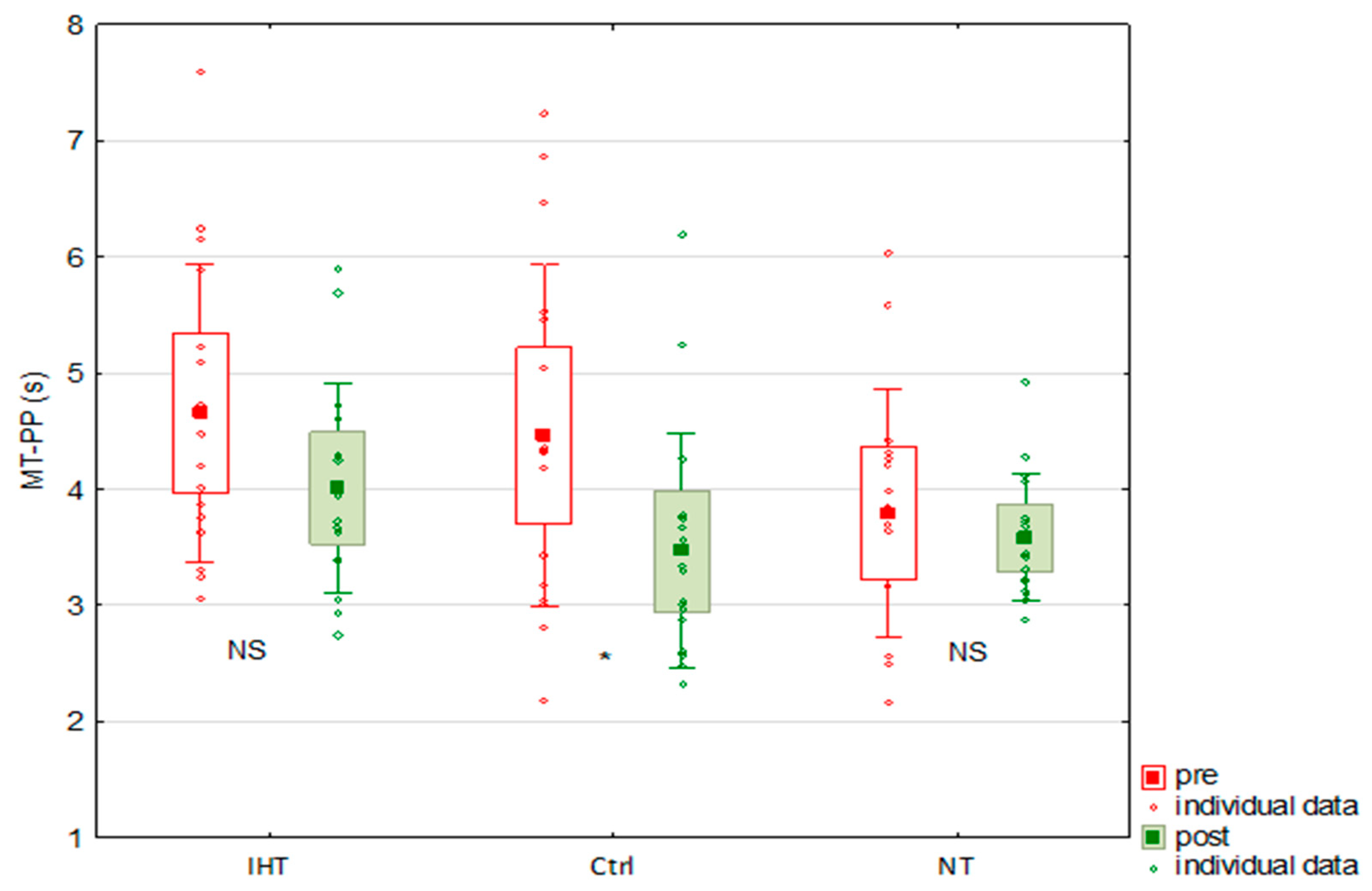
| MT-PP (s) | ctrl | 4.46 ± 1.47 | 3.46 ± 1.01 | 2.00 | 13.12 | 1.78 | 0.01 | 0.81 |
| NT | 3.79 ± 1.07 | 3.58 ± 0.54 | 0.14 | <0.001 | 0.17 | 0.97 | - | |
| IHT | 4.65 ± 1.28 | 4.01 ± 0.90 | 0.08 | 0.22 | 0.07 | 0.27 | - | |
| TW (kJ) | ctrl | 19.85 ± 2.90 | 19.92 ± 2.97 | 1.11 | 0.20 | 0.14 | - | - |
| NT | 20.52 ± 2.21 | 20.67 ± 2.58 | 0.33 | 0.65 | 0.87 | - | - | |
| IHT | 21.33 ± 3.14 | 21.30 ± 2.84 | 0.04 | 0.004 | 0.006 | - | - |
Disclaimer/Publisher’s Note: The statements, opinions and data contained in all publications are solely those of the individual author(s) and contributor(s) and not of MDPI and/or the editor(s). MDPI and/or the editor(s) disclaim responsibility for any injury to people or property resulting from any ideas, methods, instructions or products referred to in the content. |
© 2024 by the authors. Licensee MDPI, Basel, Switzerland. This article is an open access article distributed under the terms and conditions of the Creative Commons Attribution (CC BY) license (https://creativecommons.org/licenses/by/4.0/).
Share and Cite
Maciejczyk, M.; Palka, T.; Wiecek, M.; Masel, S.; Szygula, Z. The Effects of Intermittent Hypoxic Training on Anaerobic Performance in Young Men. Appl. Sci. 2024, 14, 676. https://doi.org/10.3390/app14020676
Maciejczyk M, Palka T, Wiecek M, Masel S, Szygula Z. The Effects of Intermittent Hypoxic Training on Anaerobic Performance in Young Men. Applied Sciences. 2024; 14(2):676. https://doi.org/10.3390/app14020676
Chicago/Turabian StyleMaciejczyk, Marcin, Tomasz Palka, Magdalena Wiecek, Sebastian Masel, and Zbigniew Szygula. 2024. "The Effects of Intermittent Hypoxic Training on Anaerobic Performance in Young Men" Applied Sciences 14, no. 2: 676. https://doi.org/10.3390/app14020676
APA StyleMaciejczyk, M., Palka, T., Wiecek, M., Masel, S., & Szygula, Z. (2024). The Effects of Intermittent Hypoxic Training on Anaerobic Performance in Young Men. Applied Sciences, 14(2), 676. https://doi.org/10.3390/app14020676

