Privately Generated Key Pairs for Post Quantum Cryptography in a Distributed Network
Abstract
1. Introduction
- The CA picks a random “challenge” and communicates it to the user.
- The user receives a “response” from this “challenge”, the CRP mechanism, and root of trust.
- The user picks a random number to generate a public/private key pair.
- The user sends back to the CA the public key and a digital signature.
- The CA finally computes independently a “response” from the same “challenge” with the same CRP mechanism and Crypto-Table to verify the digital signature and the validity of the public key without having to ever know the private key.
2. Background Information
Relevant Prior Work
3. Privately Generated Key Pairs for Post-Quantum Cryptography
3.1. Initial Step: Enrollment of Each Terminal Device—Root of Trust
- The Crypto-Tables are generated from the PUFs contained in tokens by a trusted service provider operating like an HSM. The CRPs are carefully measured, the tokens are delivered to the clients, and the Crypto-Tables are transmitted to the CA.
- The clients must visit their bank, which is equipped to generate sets of CRPs from the facial images. The one-wayness of the CRP mechanism is such that the facial images cannot be reconstructed from the CRPs.
- A service provider generates Crypto-Tables from sets of digital images by encrypting them, hashing them, and applying an extended output function (XOF). The CA receives the Crypto-Table while the clients receive the encrypted files.
3.2. Generic Digital Signature Algorithm
- The CA picks a random number to create challenges that are sent over to client devices through a public, i.e., unsecured, network. These challenges act as the instructions for a CRP mechanism in the form of bit streams. For additional security, the transmission of the challenges could be protected by encryption schemes and multi-factor authentication (MFA).
- Client i uses these challenges and feeds this as input for the root of trust. The root of trust can be a hardware token integrated with a PUF, an image, a file containing biometric information about an individual, or a structured file, as described, for example, in Figure 3.
- From the root of trust and the CRP mechanism, client i generates responses (i) and sends the hashed message digest H((i)) to the CA. An example of a hash function is SHA-3.
- The CA produces (i)′ from the CryptoTable that is approximately identical to (i). A search engine such as the RBC can recognize (i) by matching the hashed message digest of (i)′ with H((i)) and variations of (i)′ located at short hamming distances from (i). Clients without a valid root of trust cannot generate a recognizable response (i); thus, the method allows the CA to authenticate client i.
- The client generates a public–private key pair (, ) by using its own random number generator and an agreed-upon asymmetrical algorithm.
- Client i generates a message (M) and performs an agreed-upon concatenation operation with (i) and hashes the result to obtain H((i)).
- Client i creates the signature by signing the message digest with the secret key Sk(i) and using the agreed-upon DSAs: S = Sign(H((i)), (i)).
- Client i sends M, S, and to the CA.
- The CA authenticates client i and verifies the digital signature by using the corrected response (i), and independently computing S′= H((i)). The CA uses S′ and the public key to verify S.
- If the CA successfully verifies client i, the RA publishes the public key .
- As needed, the CA can transmit back S′ to client i to complete a two-way authentication scheme, allowing the client to verify the authenticity of the CA.
3.3. PKI for Lattice-Based Digital Signature Algorithm (LWE)
- A randomly picked seed generates with the extended function SHAKE.
- A second randomly picked data seed generates the vectors and .
- The vector is computed: ←( + .
- Seed and become the public key .
- and become the private key .
- 6.
- Step 1—Signature: Generate a masking vector of polynomials y.
- 7.
- Compute vector A.y and set to be the high-order bits of the coefficients.
- 8.
- Create the challenge c as the hash of the message and .
- 9.
- Compute signature z = y + c..
- 10.
- If any coefficient of z is larger than a threshold, reject and restart at step 1.
- 11.
- If any coefficient of the low-order bits of z − c. is too large, reject and restart at step 1.
- 12.
- Verification: Compute to be the high-order bits of z − c. and accept if c is the hash of the message and .
- With RNG#1, the CA picks a random number to create challenges Ch-CT, which are sent over to the client devices through a public, i.e., unsecured, network. These challenges act as the instructions for the CRP mechanism in the form of bit streams. For additional security, the transmission of the challenges could be protected by encryption schemes and multi-factor authentication (MFA).
- Client i uses these challenges and feeds this as input for the root of trust. The root of trust can be a hardware token integrated with a PUF, an image, a file containing biometric information about an individual, or a structured file.
- From the root of trust and the CRP mechanism, client i generates responses of seed ai and sends the hashed message digest H() to the CA. An example of a hash function is SHA-3.
- The CA will produce from the CryptoTable that is approximately identical to . A search engine such as the RBC can recognize by matching the hashed message digest of with H() and variations of located at short hamming distances from . Clients without a valid root of trust cannot generate a recognizable response ai; thus, the method allows the CA to authenticate client i.
- Client i generates the secret key : (; by using its own random number generator.
- Client i computes = ( + and generates a message M and its hash H(M).
- Client i signs the message M using the secret key and produces the signature S = Sign(H(M), ).
- Client i sends , S, and M to the CA for verification.
- The CA authenticates client i by reconstructing the full public key {i, } and verifying the signature.
- If the CA successfully verifies client “i”, the RA publishes the public key .
- Message M is valid.
- Public key is valid.
- The CA knows that client “i” generated the same matrix Ai from the root of trust.
- The CA knows that client “i” computed a valid private key from its own random number generator that was also used to compute the vector = .
3.4. Implementation with Multifactor Authentication
- All responses corresponding to a state of “0” of are erased.
- All responses corresponding to a state of “1” of are kept, forming SBR.
- SBR is encrypted with a symmetrical algorithm, e.g., AES, using seed as a key.
- The cipher text SBR’ is transmitted to the CA.
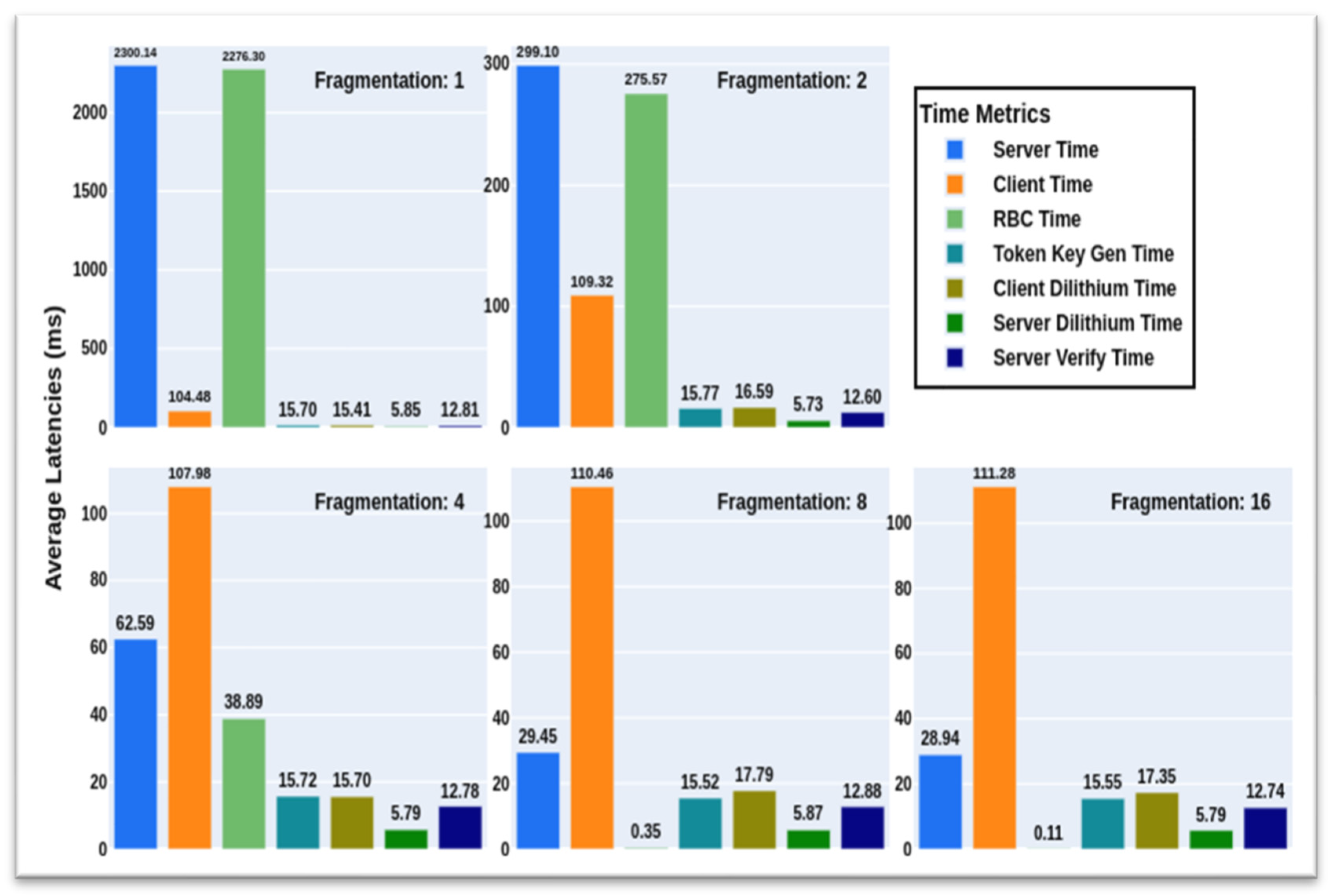
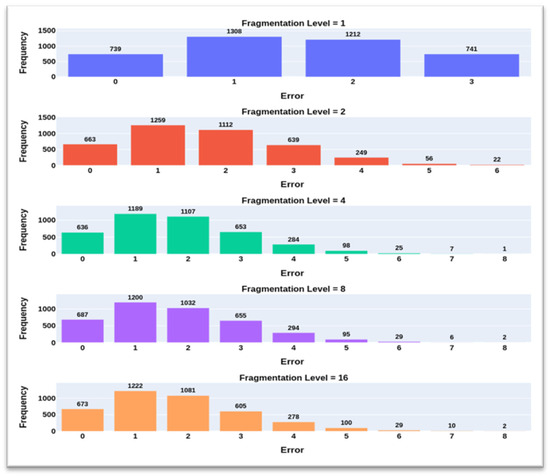
4. Experimental Validation
4.1. Biometry as a Multi-Factor with Johnson Lindenstrauss
- Begin with a vector v created from biometric measurements that have been mapped to the n-dimensional space.
- Randomly generate M seeds ,…, .
- Map these seeds to M and distinguish k by n close-to-orthogonal matrices . Call these “challenges”.
- Compute M distinct responses = .v These are k-dimensional vectors.
- This collection (, ), i = 1, …, M is the lookup table.
- Receive a photo from the user (along with proof of liveness, etc. …)
- Take measurements and create an n-dimensional vector
- For each k between 1 and , pick the challenge matrix and compute =
- Compare with from the lookup table.
- If the distance between vectors is below a threshold, then place a 1 in position and continue.
- If the distance is above the threshold output: INVALID USER.
- When all k responses have been compared and matched the vector with 1’s in the positions , the validation as the secret key corresponding to the user is complete.
4.2. Security and Reliability
5. Discussion and Future Work
- Standard Credit Cards and SIM Cards: During the personalization process, a Crypto-Table can be seamlessly integrated into the non-volatile memory of the credit card. This approach requires no additional changes to the hardware infrastructure; however, an update to the embedded software is necessary.
- Enhanced Credit Cards and SIM Cards: For modified cards, the microcontroller can be equipped with a Physical Unclonable Function (PUF), for instance, SRAM- or RRAM-based PUF technology. During personalization, the Crypto-Table is generated from the PUF and transmitted to the Certificate Authority (CA), where it is integrated into the non-volatile memory of the card.
- Cryptocurrencies and Tokenless Blockchains: An effective implementation option for the protocol is to generate Crypto-Tables from encrypted files. In this model, the trusted party transmits the Crypto-Table directly to clients instead of distributing key pairs. That is how the user will not require any HSM or token for key generation.
- On-Demand Utilization: We propose utilizing both tokens and biometric authentication, alongside the Key Encapsulation Mechanism (KEM) protocol, to enhance security and user experience. This can be directly implemented in secure retailing, online transactions, authentications of users utilizing template-less biometry, verifications of users, and so on.
- Use of Johnson–Lindenstrauss protocol as the CRP mechanism for biometry. Such a method has the potential to enhance the one-wayness of the mechanism and entropy.
- Formulation of Design of Experiment (DOE) for testing purposes to enhance the performance of the overall protocol.
- Optimization of the correcting schemes to recover the same responses from the Crypto-Tables and roots of trust.
- Development of real-case applications with commercial partners.
6. Conclusions
Author Contributions
Funding
Institutional Review Board Statement
Informed Consent Statement
Data Availability Statement
Conflicts of Interest
References
- Ding, J.; Chen, M.-S.; Petzoldt, A.; Schmidt, D.; Yang, B.-Y. Rainbow; NIST PQC project round 2, documentation. In Proceedings of the 2nd NIST Standardization Conference for Post-Quantum Cryptosystems, Santa Barbara, CA, USA, 22 September 2019. [Google Scholar]
- NIST Status Report of Phase 3 of PQC Program, NISTIR.8309. Available online: https://www.nist.gov/publications/status-report-second-round-nist-post-quantum-cryptography-standardization-process (accessed on 22 July 2020).
- Ducas, L.; Kiltz, E.; Lepoint, T.; Lyubashevsky, V.; Schwabe, P.; Seiler, G.; Stehlé, D. CRYSTALS-Dilithium Algorithm Specifications and Supporting Documentation. Part of the Round 3 Submission Package to NIST. Available online: https://pq-crystals.org/dilithium (accessed on 19 February 2021).
- Fouque, P.-A.; Hoffstein, J.; Kirchner, P.; Lyubashevsky, V.; Pornin, T.; Prest, T.; Ricosset, T.; Seiler, G.; Whyte, W.; Zhang, Z. Falcon: Fast-Fourier Lattice-Based Compact Signatures over NTRU; NIST PQC Project Round 2, Documentation. Available online: https://falcon-sign.info/falcon.pdf (accessed on 1 October 2020).
- Peikert, C.; Pepin, Z. Algebraically Structured LWE Revisited; Springer: Berlin/Heidelberg, Germany, 2019; pp. 1–23. [Google Scholar]
- IEEE Standard 1363.1-2008; Specification for Public Key Cryptographic Techniques Based on Hard Problems over Lattices. IEEE: Piscataway, NJ, USA, 2009.
- Regev, O. New lattice-based cryptographic constructions. J. ACM 2004, 51, 899–942. [Google Scholar] [CrossRef]
- Casanova, A.; Faugere, J.-C.; Macario-Rat, G.; Patarin, J.; Perret, L.; Ryckeghem, J. GeMSS: A Great Multivariate Short Signature; NIST PQC Project Round 2, Documentation. Available online: https://csrc.nist.gov/Projects/post-quantum-cryptography/round-2-submissions (accessed on 3 January 2017).
- McEliece, R.J. A Public-Key Cryptosystem Based on Algebraic Coding Theory; California Institute of Technology: Pasadena, CA, USA, 1978; pp. 114–116. [Google Scholar]
- Biswas, B.; Sendrier, N. McEliece Cryptosystem Implementation: Theory and Practice. In Post-Quantum Cryptography; PQCrypto, Lecture Notes in Computer Science; Buchmann, J., Ding, J., Eds.; Springer: Berlin/Heidelberg, Germany, 2008; Volume 5299. [Google Scholar]
- Buchmann, J.A.; Karatsiolis, E.; Wiesmaier, A. Introduction to Public Key Infrastructures; Springer: Berlin/Heidelberg, Germany, 2013. [Google Scholar]
- Mallik, A. Man-in-the-Middle-Attack: Understanding in Simple Words. Cyberspace J. Pendidik. Teknol. Inf. 2019, 2, 109. [Google Scholar] [CrossRef]
- Cambou, B.; Ghanaimiandoab, D.; Gowanlock, M.; Lee, K.; Nelson, S.; Philabaum, C.; Stenberg, A.; Wright, J.; Yildiz, B. PUF-Based Key Generation for Lattice and Code Cryptography. 2024. Available online: https://nau.edu/research/innovations/available-technologies/cybersecurity/puf-based-key-generation-for-lattice-and-code-cryptography/ (accessed on 1 September 2024).
- Maletsky, K.D.; Seymour, M.J.; Garner, B.P. Generating Keys Using Secure Hardware. 2015. Available online: https://patents.google.com/patent/US9118467B2/en?inventor=Maletsky&oq=Maletsky+ (accessed on 3 September 2024).
- Barthelemy, S.; Thieblemont, J. Method for Two Step Digital Signature. U.S. Patent No. 8,589,693, 22 October 2008. [Google Scholar]
- Popp, N. Token Provisioning 2004. Available online: https://patents.google.com/patent/US8015599B2/en?q=(Token+Provisioning)&inventor=popp&oq=Token+Provisioning++popp (accessed on 3 September 2024).
- Merrill, T.A. Methods and Systems for Digital Authentication Using Digitally Signed Images. U.S. Patent No. 8,122,255, 22 January 2007. [Google Scholar]
- Nix, J.A. Public Key Exchange with Authenicated ECDHE and Security against Quantum Computers. U.S. Patent No. 11,777,719, 3 October 2023. [Google Scholar]
- Ekberg, J.-E.; Kostiainen, K.; Laitinen, P.; Aarni, V.; Sainio, M.; Knorring, N.V.; Kolesnikov, D.; Lahtiranta, A. Method and Apparatus for Authenticating a Mobile Device. U.S. Patent No. 8,621,203, 31 December 2013. [Google Scholar]
- Hwang, J.-J. User Authentication Based on Asymmetric Cryptography Utilizing RSA with Personalized Secret. U.S. Patent 7,958,362, 11 October 2005. [Google Scholar]
- Maximov, A.; Hell, M.; Smeets, B.B. Methods of Proving Validity and Determining Validity, Electronic Device, Server and Computer Programs. U.S. Patent No. 10,511,440, 20 February 2015. [Google Scholar]
- Gentry, C.B. Certificate-Based Encryption and Public Key Infrastructure. 2002. Available online: https://patents.google.com/patent/US8074073B2/en?q=(Gentry+certificate)&oq=Gentry+certificate (accessed on 29 August 2024).
- Gantman, A.; Rose, G.G.; Noerenberg, J.W., II; Hawkes, P.M. Small Public-Key Based Digital Signatures for Authentication. Patent No. US11/817,146, 25 February 2005. [Google Scholar]
- Herder, C.; Yu, M.-D.; Koushanfar, F.; Devadas, S. Physical Unclonable Functions and Applications: A Tutorial. Proc. IEEE 2014, 102, 1126–1141. [Google Scholar] [CrossRef]
- Schrijen, G.-J.; van der Leest, V. Comparative Analysis of SRAM Memories Used as PUF Primitives. In Proceedings of the 2012 Design, Automation & Test in Europe Conference & Exhibition (DATE), Dresden, Germany, 12–16 March 2012. [Google Scholar]
- Liu, R.; Wu, H.; Pang, Y.; Qian, H.; Yu, S. A Highly Reliable and Tamper-Resistant RRAM PUF: Design and Experimental Validation. In Proceedings of the 2016 IEEE International Symposium on Hardware Oriented Security and Trust (HOST), McLean, VA, USA, 3–5 May 2016; Volume 100, pp. 13–18. [Google Scholar]
- Aguilar Rios, M.; Alam, M.; Cambou, B. MRAM Devices to Design Ternary Addressable Physically Unclonable Functions. Electronics 2023, 12, 3308. [Google Scholar] [CrossRef]
- Garrett, M.L. Experimental Performance Analysis of Physically Unclonable Session Key Protocol for Zero-Trust Environments. Master’s Thesis, Northern Arizona University, Flagstaff, AZ, USA, 2022. [Google Scholar]
- Cambou, B.; Telesca, D. Ternary Computing to Strengthen Cybersecurity. In Advances in Intelligent Systems and Computing; Springer International Publishing: Cham, Switzerland, 2018; pp. 898–919. [Google Scholar]
- Castle Shield Holdings, LLC. Available online: https://castle-shield.com/ (accessed on 29 August 2024).
- Castle Shield Holdings, LLC. Announces a Research Development Partnership with Northern Arizona University. Available online: https://castle-shield.com/castle-shield-holdings-llc-announces-a-research-development-partnership-with-northern-arizona-university/ (accessed on 29 August 2024).
- Cambou, B.; Mohammadi, M.; Philabaum, C.; Booher, D. Statistical Analysis to Optimize the Generation of Cryptographic Keys from Physical Unclonable Functions. In Advances in Intelligent Systems and Computing; Springer International Publishing: Cham, Switzerland, 2020; pp. 302–321. [Google Scholar]
- Johnson, W.B.; Lindenstrauss, J. Extensions of Lipschitz Mappings into a Hilbert Space. Contemp. Math. 1984, 189–206. [Google Scholar] [CrossRef]
- Hinrichs, A.; Vybíral, J. Johnson-Lindenstrauss Lemma for Circulant Matrices. Random Struct. Algorithms 2011, 39, 391–398. [Google Scholar] [CrossRef]











Disclaimer/Publisher’s Note: The statements, opinions and data contained in all publications are solely those of the individual author(s) and contributor(s) and not of MDPI and/or the editor(s). MDPI and/or the editor(s) disclaim responsibility for any injury to people or property resulting from any ideas, methods, instructions or products referred to in the content. |
© 2024 by the authors. Licensee MDPI, Basel, Switzerland. This article is an open access article distributed under the terms and conditions of the Creative Commons Attribution (CC BY) license (https://creativecommons.org/licenses/by/4.0/).
Share and Cite
Alam, M.; Hoffstein, J.; Cambou, B. Privately Generated Key Pairs for Post Quantum Cryptography in a Distributed Network. Appl. Sci. 2024, 14, 8863. https://doi.org/10.3390/app14198863
Alam M, Hoffstein J, Cambou B. Privately Generated Key Pairs for Post Quantum Cryptography in a Distributed Network. Applied Sciences. 2024; 14(19):8863. https://doi.org/10.3390/app14198863
Chicago/Turabian StyleAlam, Mahafujul, Jeffrey Hoffstein, and Bertrand Cambou. 2024. "Privately Generated Key Pairs for Post Quantum Cryptography in a Distributed Network" Applied Sciences 14, no. 19: 8863. https://doi.org/10.3390/app14198863
APA StyleAlam, M., Hoffstein, J., & Cambou, B. (2024). Privately Generated Key Pairs for Post Quantum Cryptography in a Distributed Network. Applied Sciences, 14(19), 8863. https://doi.org/10.3390/app14198863

