Examining Pipe–Borehole Wall Contact and Pullback Loads for Horizontal Directional Drilling
Abstract
Featured Application
Abstract
1. Introduction
2. Analysis of Pipe–Borehole Wall Contact
2.1. Classical Contact Models
2.1.1. Hertz Model
2.1.2. Persson Model
2.1.3. Liu Model
2.2. HDD Pipe–Borehole Wall Contact Model
2.2.1. Maximum Contact Pressure in HDD
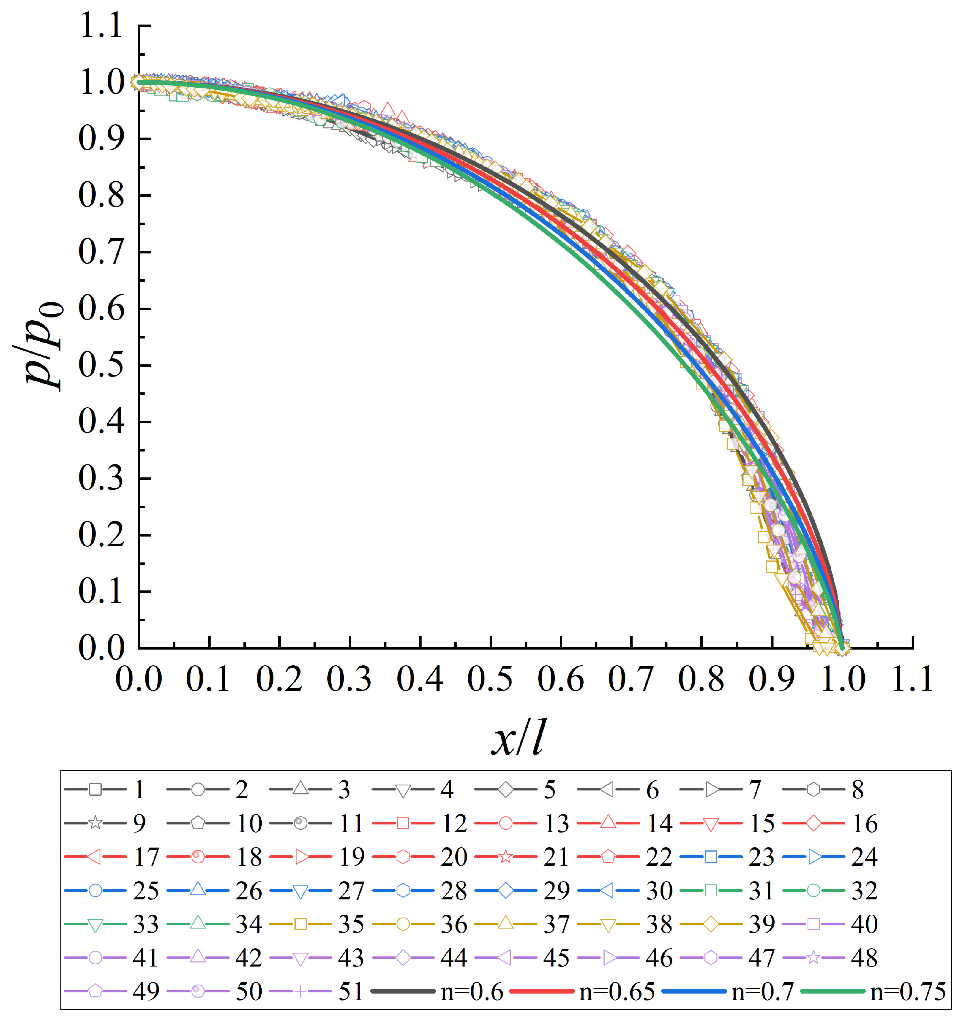
2.2.2. Pressure Distribution Exponent in HDD
2.2.3. External Load–Displacement Relationship
3. Analytical Model for Calculating Pipe Pullback Loads
3.1. Pipe–Borehole Wall Friction Force
3.2. Drilling Fluid Drag Force
3.3. Pipeline Pullback Loads
4. Case Studies
5. Conclusions
Author Contributions
Funding
Institutional Review Board Statement
Informed Consent Statement
Data Availability Statement
Conflicts of Interest
Abbreviations
| Ai (i = 1, 2 … 8) | dimensionless coefficient required to be determined/fitted | 
| Ap | projected area of the pipe–borehole wall contact area | 
| Ar | real contact area | 
| B | function determined by n and gamma function | 
| B0 | function determined by b | 
| b | auxiliary variables, b = tan(ε/2) | 
| C | correction factor related to the eccentricity e and the overcut ratio R2/R1 | 
| c | cohesion | 
| E1 | elastic modulus of the inner cylinder | 
| E2 | elastic modulus of the outer cylinder | 
| E* | equivalent elastic modulus | 
| modified Young’s modulus of the inner cylinder | |
| e | eccentricity | 
| i | number of linear calculation units before calculation point | 
| k | dimensionless coefficient | 
| l | semi-chord length corresponding to the angle ε | 
| N | number of linear calculation units | 
| n | pressure distribution exponent | 
| P | external load per unit length of the pipeline | 
| Pk | external load per unit length of the calculation unit k | 
| p0 | maximum contact pressure accounting for the drilling fluid pressure | 
| pc | contact pressure | 
| q0 | maximum contact pressure without drilling fluid pressure | 
| R | relative curvature of the contact | 
| R1 | radius of the pipe | 
| R2 | radius of the borehole | 
| S | length of the pipeline entering the borehole | 
| S0 | length of the pipeline at the ground | 
| Sk | length of the calculation unit k | 
| Ti | pullback loads for the pipeline to be pulled back to the end of calculation unit i | 
| Tif | drilling fluid drag force | 
| Tig | friction force between the pipeline and the ground or roller | 
| Tis | friction force between the pipeline and the borehole wall | 
| Tiw | pipeline’s weight | 
| Tk−1 | pullback loads for the pipeline to be pulled back to the end of calculation unit k − 1 | 
| Ts | Pipe–borehole wall friction force per unit length of the pipe | 
| u1 | radial displacement of the inner cylinder at the contact point | 
| u2 | radial displacement of the outer cylinder at the contact point | 
| v | drilling fluid flow velocity | 
| v1 | Poisson’s ratio of the inner cylinder | 
| v2 | Poisson’s ratio of the outer cylinder | 
| w | net weight of the unit length of the pipe | 
| x | distance between the point on the contact surface and the symmetry axis | 
| α | real contact area ratio | 
| α0 | Dundurs’s material parameters | 
| β | angle at which points on the interface depart from the central line | 
| β0 | Dundurs’s material parameters | 
| Γ | gamma function | 
| Δp | maximum contact pressure increment | 
| ΔPfc | pressure difference in the concentric annulus | 
| ΔPf | pressure difference in HDD borehole | 
| ΔPk | external load increment caused by the capstan effect | 
| ΔPsti | external load increment caused by pipeline stiffness | 
| ΔR | radial clearance of the pipe and borehole, ΔR = R2 − R1 | 
| δ | compressive displacement | 
| δk | compressive displacement of the calculation unit k | 
| ε | semi-angle of contact corresponding to the whole contact arc | 
| θ0 | angle between the ground and the horizontal | 
| θk | inclination angle of the calculation unit k | 
| θk−1 | inclination angle of the calculation unit k − 1 | 
| λ | distance between centers of pipe and borehole | 
| μ | dynamic viscosity of drilling fluid | 
| μa | coefficient of friction applicable at the surface before the pipe enters borehole | 
| σ0 | drilling fluid pressure | 
| σa | normal stress | 
| τ0 | yield point | 
| τf | shear strength of the borehole wall | 
| τs | shear (or friction) stress to break the junction (or adhesion) | 
| φ | internal friction angle | 
Appendix A. FEM Simulations


References
- Carpenter, R. HDD market growing, but challenges abound. Undergr. Constr. 2018, 73, 16–25. [Google Scholar]
- Tong, H.; Shao, Y. Mechanical Analysis of DS in Horizontal Directional Drilling. Appl. Sci. 2022, 12, 3145. [Google Scholar] [CrossRef]
- Wang, Z.Y.; Hu, C.M.; Li, L.; Yang, C.; Liang, H. Theoretical Analysis of Drilling Fluid Flow for Maxi-Horizontal Directional Drilling. J. Pipeline Syst. Eng. Pract. 2024, 15, 04024050. [Google Scholar] [CrossRef]
- Ehm, G. The changing pipeline industry. Pipes Pipelines Int. 2016, 20, 20–22. [Google Scholar]
- Polak, M.A. Analysis of polyethylene pipe behaviour in horizontal directional drilling field tests. Can. J. Civ. Eng. 2005, 32, 665–677. [Google Scholar] [CrossRef]
- Yang, C.J.; Zhu, W.D.; Zhang, W.H.; Zhu, X.H.; Ren, G.X. Determination of Pipe Pullback Loads in Horizontal Directional Drilling Using an Advanced Computational Dynamic Model. J. Eng. Mech. 2014, 140, 0401406. [Google Scholar] [CrossRef]
- Cai, L.X.; Xu, G.; Polak, M.A.; Knight, M. Horizontal directional drilling pulling forces prediction methods—A critical review. Tunn. Undergr. Space Technol. 2017, 69, 85–93. [Google Scholar] [CrossRef]
- Cheng, E.; Polak, M.A. Theoretical model for calculating pulling loads for pipes in horizontal directional drilling. Tunn. Undergr. Space Technol. 2007, 22, 633–643. [Google Scholar] [CrossRef]
- Phillips Driscopipe Company. Technical Expertise Application of Driscopipe in Directional Drilling and River Crossings; Phillips Driscopipe Company: Brownwood, TX, USA, 1993. [Google Scholar]
- Drillpath, T.M. Drillpath Theory and User’s Manual; Infrasoft LLC: Houston, TX, USA, 1996. [Google Scholar]
- ASTM F 1962-20; Standard Guide for the Use of Maxi-Horizontal Directional Drilling for Placement of Polyethylene Pipe or Conduit under Obstacles, Including River Crossings. ASTM: West Conshohocken, PA, USA, 2020.
- GB 50424-2015; Code for Construction of Oil and Gas Pipeline Crossing Project. CNPC: Beijing, China, 2015.
- Polak, M.A.; Lasheen, A. Mechanical modelling for pipes in horizontal directional drilling. Tunn. Undergr. Space Technol. 2001, 16, 47–55. [Google Scholar] [CrossRef]
- Huey, D.P.; Hair, J.D.; McLeod, K.B. Installation loading and stress analysis involvedwith pipelines installed in horizontal directional drilling. In Proceedings of the International No-Dig Conference, New Orleans, LA, USA, 31 March–3 April 1996. [Google Scholar]
- Cai, L.; Polak, M.A. A theoretical solution to predict pulling forces in horizontal directional drilling installations. Tunn. Undergr. Space Technol. 2019, 83, 313–323. [Google Scholar] [CrossRef]
- Deng, S.; Kang, C.; Bayat, A.; Kuru, E.; Osbak, M.; Barr, K.; Trovato, C. Rheological Properties of Clay-Based Drilling Fluids and Evaluation of Their Hole-Cleaning Performances in Horizontal Directional Drilling. J. Pipeline Syst. Eng. 2020, 11, 04020031. [Google Scholar] [CrossRef]
- Faghih, A.; Yi, Y.L.; Bayat, A.; Osbak, M. Fluidic Drag Estimation in Horizontal Directional Drilling Based on Flow Equations. J. Pipeline Syst. Eng. 2015, 6, 04015006. [Google Scholar] [CrossRef]
- Mulvihill, D.M.; Kartal, M.E.; Nowell, D.; Hills, D.A. An elastic–plastic asperity interaction model for sliding friction. Tribol. Int. 2011, 44, 1679–1694. [Google Scholar] [CrossRef]
- Arakawa, K. Effect of time derivative of contact area on dynamic friction. Appl. Phys. Lett. 2014, 104, 241603. [Google Scholar] [CrossRef]
- Jaber, S.B.; Hamilton, A.; Xu, Y.; Kartal, M.E.; Gadegaard, N.; Mulvihill, D.M. Friction of flat and micropatterned interfaces with nanoscale roughness. Tribol. Int. 2021, 153, 106563. [Google Scholar] [CrossRef]
- Liang, X.M.; Xing, Y.Z.; Li, L.T.; Yuan, W.K.; Wang, G.F. An experimental study on the relation between friction force and real contact area. Sci. Rep. 2021, 11, 20366. [Google Scholar] [CrossRef] [PubMed]
- Zhang, F.K.; Liu, J.H.; Ding, X.Y.; Wang, R.L. Experimental and finite element analyses of contact behaviors between non-transparent rough surfaces. J. Mech. Phys. Solids 2019, 126, 87–100. [Google Scholar] [CrossRef]
- Krick, B.A.; Vail, J.R.; Persson, B.N.J.; Sawyer, W.G. Optical in situ micro tribometer for analysis of real contact area for contact mechanics, adhesion, and sliding experiments. Tribol. Lett. 2012, 45, 185–194. [Google Scholar] [CrossRef]
- Li, L.T.; Liang, X.M.; Xing, Y.Z.; Yan, D.; Wang, G.F. Measurement of real contact area for rough metal surfaces and the distinction of contribution from elasticity and plasticity. J. Tribol. 2021, 143, 07150. [Google Scholar] [CrossRef]
- Leu, D.K. Evaluation of friction coefficient using indentation model of Brinell hardness test for sheet metal forming. J. Mech. Sci. Technol. 2011, 25, 1509–1517. [Google Scholar] [CrossRef]
- Hertz, H. On the contact of elastic solids. Reine Angew. Math. 1882, 92, 156–171. [Google Scholar] [CrossRef]
- Popov, V. Contact Mechanics and Friction, 2nd ed.; Springer: Berlin/Heidelberg, Germany, 2017. [Google Scholar]
- Persson, A. On the Stress Distribution of Cylindrical Elastic Bodies in Contact; Chalmers University of Technology: Goteborg, Sweden, 1964. [Google Scholar]
- Ciavarella, M.; Decuzzi, P. The state of stress induced by the plane frictionless cylindrical contact. I. The case of elastic similarity. Int. J. Solids Struct. 2001, 38, 4507–4523. [Google Scholar] [CrossRef]
- Ciavarella, M.; Decuzzi, P. The state of stress induced by the plane frictionless cylindrical contact. II. The general case (elastic dissimilarity). Int. J. Solids Struct. 2001, 38, 4525–4533. [Google Scholar] [CrossRef]
- Liu, C.S.; Zhang, K.; Yang, R. The FEM analysis and approximate model for cylindrical joints with clearances. Mech. Mach. Theory 2007, 42, 183–197. [Google Scholar] [CrossRef]
- Pérez-González, A.; Fenollosa-Esteve, C.; Sancho-Bru, J.L.; Sánchez-Marín, F.T.; Vergara, M.; Rodríguez-Cervantes, P.J. A modified elastic foundation contact model for application in 3D models of the prosthetic knee. Med. Eng. Phys. 2008, 30, 387–398. [Google Scholar] [CrossRef]
- Johnson, K.L. Contact Mechanics, 2nd ed.; Cambridge University Press: London, UK, 1992. [Google Scholar]
- Hu, J.Q.; Gao, F.H.; Liu, X.M.; Wei, Y.G. An elasto-plastic contact model for conformal contacts between cylinders. Proc. Inst. Mech. Eng. Part J-J. Eng. Tribol. 2020, 234, 1837–1845. [Google Scholar] [CrossRef]
- Wriggers, P. Computational Contact Mechanics; Springer: Berlin/Heidelberg, Germany, 2012. [Google Scholar]
- Aigner, L.G.; Gerstmayr, J.; Pechstein, A.S. A two-dimensional homogenized model for a pile of thin elastic sheets with frictional contact. Acta Mech. 2011, 218, 31–43. [Google Scholar] [CrossRef]
- Kamiński, M. Design sensitivity analysis for the homogenized elasticity tensor of a polymer filled with rubber particles. Int. J. Solids Struct. 2014, 51, 612–621. [Google Scholar] [CrossRef]
- Fang, X.; Yao, J.; Yin, X.; Chen, X.; Zhang, C. Physics-of-failure models of erosion wear in electrohydraulic servovalve, and erosion wear life prediction method. Mechatronics 2013, 23, 1202–1214. [Google Scholar] [CrossRef]
- Fang, X.; Zhang, C.H.; Chen, X.; Wang, Y.S.; Tan, Y.Y. A new universal approximate model for conformal contact and non-conformal contact of spherical surfaces. Acta Mech. 2015, 226, 1657–1672. [Google Scholar] [CrossRef]
- Bowden, F.P.; Tabor, D. The area of contact between stationary and between moving surfaces. Proc. R. Soc. A Math. Phys. Eng. Sci. 1939, 169, 391–413. [Google Scholar]
- Maegawa, S.; Itoigawa, F.; Nakamura, T. Effect of normal load on friction coefficient for sliding contact between rough rubber surface and rigid smooth plane. Tribol. Int. 2015, 92, 335–343. [Google Scholar] [CrossRef]
- Bourgoyne, A.T.; Millheim, K.; Chenevert, M.; Young, F.S. Applied Drilling Engineering; Society of Petroleum Engineers (SPE): Richardson, TX, USA, 1991. [Google Scholar]
- Haciislamoglu, M.; Langlinais, J. Non-Newtonian flow in eccentric annuli. J. Energy Resour. Technol. 1990, 112, 163–169. [Google Scholar] [CrossRef]
- Chehab, A.G. Time Dependent Response of Pulled-in-Place HDPE Pipes; Queen’s University: Kingston, ON, Canada, 2008. [Google Scholar]
- Baumert, M.E. Experimental Investigation of Pulling Loads and Mud Pressures during Horizontal Directional Drilling Installations; The University of Western Ontario: London, ON, Canada, 2004. [Google Scholar]
- Allouche, E.N.; Baumert, M.E. A total borehole monitoring system for pulled in place trenchless methods. In Proceedings of the International No-Dig Conference, Las Vegas, NV, USA, 31 March–2 April 2003. [Google Scholar]
- Makinde, F.A.; Adejumo, A.D.; Ako, C.T.; Efeovbokhan, V.E. Modelling the Effects of Temperature and Aging Time on the Rheological Properties of Drilling Fluids. Pet. Coal 2011, 53, 167–182. [Google Scholar]
- Ali, S.M. The Effect of High Temperature and Aging on Water-Base Drilling Fluids; King Fahd University of Petroleum & Minerals: Dhahran, Saudi Arabia, 1990. [Google Scholar]
- Santoyo, E.; Santoyo-Gutierrez, S.; García, A.; Espinosa, G.; Moya, S.L. Rheological property measurement of drilling fluids used in geothermal wells. Appl. Therm. Eng. 2001, 21, 283–302. [Google Scholar] [CrossRef]












| Test No. | E1 /MPa | E2 /MPa | v1 | v2 | R1 /mm | R2 /mm | Overcut Ratio | 1/2P /N·mm−1 | Drilling Fluid Pressure /MPa | 
|---|---|---|---|---|---|---|---|---|---|
| 1–7 | 750 | 10–70 (with an interval of 10) | 0.3 | 0.3 | 600 | 900 | 1.5 | 2.11 | 0.1 | 
| 8–11 | 2.1 × 105 | 10, 30, 50, 70 | 0.3 | 0.3 | 600 | 900 | 1.5 | 2.19 | 0.1 | 
| 12–22 | 750 | 10 | 0.3 | 0.3 | 600 | 360–510 (with an interval of 15) | 1.2–1.7 (with an interval of 0.05) | 2.11 | 0.1 | 
| 23–26 | 750 | 10 | 0.25, 0.3, 0.35, 0.4 | 0.3 | 600 | 900 | 1.5 | 2.11 | 0.1 | 
| 27–30 | 750 | 10 | 0.3 | 0.25, 0.3, 0.35, 0.4 | 600 | 900 | 1.5 | 2.11 | 0.1 | 
| 31 | 750 | 10 | 0.3 | 0.3 | 220 | 330 | 1.5 | 0.99 | 0.1 | 
| 32 | 750 | 10 | 0.3 | 0.3 | 260 | 390 | 1.5 | 1.50 | 0.1 | 
| 33 | 750 | 10 | 0.3 | 0.3 | 300 | 450 | 1.5 | 2.11 | 0.1 | 
| 34 | 750 | 10 | 0.3 | 0.3 | 340 | 510 | 1.5 | 2.82 | 0.1 | 
| 35–39 | 750 | 10 | 0.3 | 0.3 | 600 | 900 | 1.5 | 1.40–3.00 (with an interval of 0.4) | 0.1 | 
| 40–51 | 750 | 10 | 0.3 | 0.3 | 600 | 900 | 1.5 | 2.11 | 0.1–1.2 (with an interval of 0.1) | 
| 52 | 750 | 10 | 0.3 | 0.3 | 600 | 900 | 1.5 | 2.11 | 0 | 
| Ai | Values | Confidence Interval | 
|---|---|---|
| A0/MPa | −3.85 × 10−3 | [−4.87 × 10−3, −2.84 × 10−3] | 
| A1/1 | −1.01 × 10−4 | [−1.10 × 10−4, −9.19 × 10−5] | 
| A2/MPa−1 | 7.60 × 10−7 | [6.38 × 10−7, 8.81 × 10−7] | 
| A3/N·mm−3 | 6.21 × 10−6 | [5.21 × 10−6, 7.22 × 10−6] | 
| A4/N·mm−4 | −1.15 × 10−9 | [−1.56 × 10−9, −7.49 × 10−10] | 
| A5/1 | 1.52 × 10−2 | [1.48 × 10−2, 1.55 × 10−2] | 
| A6/MPa−1 | −2.11 × 10−3 | [−2.40 × 10−3, −1.82 × 10−3] | 
| A7/mm−1 | 6.59 × 10−4 | [2.89 × 10−4, 1.03 × 10−3] | 
| A8/N−1 | −2.20 × 10−5 | [−6.29 × 10−5, 1.90 × 10−5] | 
| Disclaimer/Publisher’s Note: The statements, opinions and data contained in all publications are solely those of the individual author(s) and contributor(s) and not of MDPI and/or the editor(s). MDPI and/or the editor(s) disclaim responsibility for any injury to people or property resulting from any ideas, methods, instructions or products referred to in the content. | 
© 2024 by the authors. Licensee MDPI, Basel, Switzerland. This article is an open access article distributed under the terms and conditions of the Creative Commons Attribution (CC BY) license (https://creativecommons.org/licenses/by/4.0/).
Share and Cite
Wang, Z.; Hu, C. Examining Pipe–Borehole Wall Contact and Pullback Loads for Horizontal Directional Drilling. Appl. Sci. 2024, 14, 8841. https://doi.org/10.3390/app14198841
Wang Z, Hu C. Examining Pipe–Borehole Wall Contact and Pullback Loads for Horizontal Directional Drilling. Applied Sciences. 2024; 14(19):8841. https://doi.org/10.3390/app14198841
Chicago/Turabian StyleWang, Zhiyu, and Changming Hu. 2024. "Examining Pipe–Borehole Wall Contact and Pullback Loads for Horizontal Directional Drilling" Applied Sciences 14, no. 19: 8841. https://doi.org/10.3390/app14198841
APA StyleWang, Z., & Hu, C. (2024). Examining Pipe–Borehole Wall Contact and Pullback Loads for Horizontal Directional Drilling. Applied Sciences, 14(19), 8841. https://doi.org/10.3390/app14198841
 
        


 
       