Local Ecological Knowledge (LEK) Can Guide Decision-Making in Inland Fisheries Management
Abstract
1. Introduction
2. Materials and Methods
2.1. Fisheries in Polyphytos Reservoir
2.2. Questionnaire’s Structure
2.3. Conducting Interviews
2.4. Data Analysis
3. Results
3.1. Demographic Data
3.2. Involvement in Fishing
3.3. Fishers’ Perspectives
3.4. Fishers’ Ecological Knowledge
3.4.1. Species Composition
3.4.2. Length at Maturity
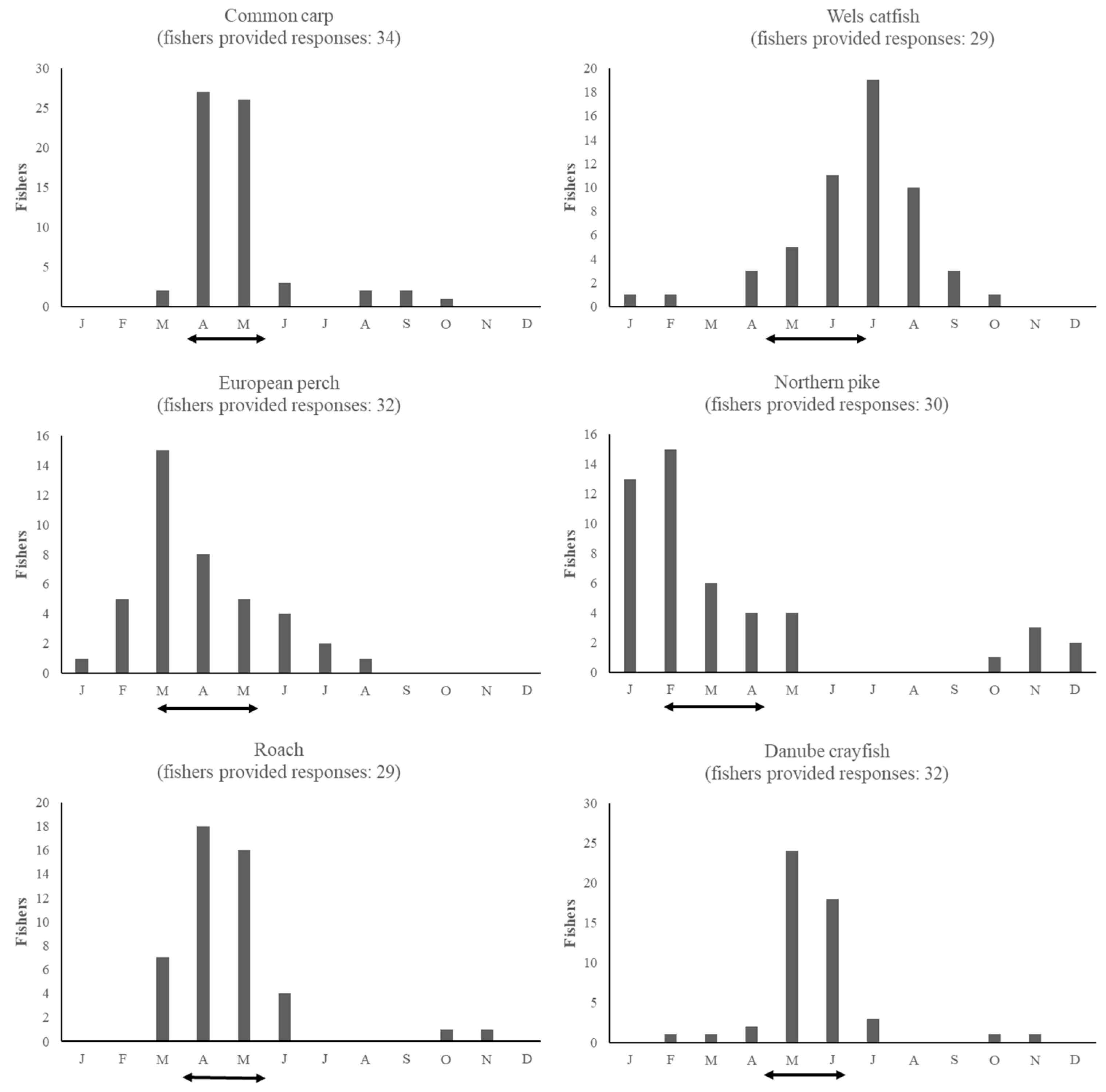
3.4.3. Reproductive Period
3.4.4. Environmental Problems Facing Polyphytos Reservoir
3.5. Fishers’ Managerial Proposals
- Conducting stockings mainly with common carp and crayfish.
- Imposing an absolute prohibition on fishing in the lake during the common carp reproduction period. In this context, they propose initiating the prohibition earlier than usual after monitoring the water temperature.
- Conducting inspections to ensure compliance with fishing regulations.
- Staffing the fisheries department of the region with an ichthyologist, or ideally, establishing a management body.
- Updating the registry of fishers to indicate who fishes regularly.
- Providing training for fishers to make them aware of the importance of resource protection.
- Creating infrastructure to facilitate fishing (shore roads, fish ramps, mooring sites), as well as promoting the tourism development of the area (viewing points, kiosks, wooden floating docks).
- Establishing maximum allowable catch limits per professional fisher to prevent overfishing.
- Providing compensation to professional fishers due to the economic loss they incurred from suspending crayfish fishing.
4. Discussion
4.1. Demographic Data
4.2. Fishing Involvement
4.3. Fisher’s Perspectives
4.4. Fishers’ Ecological Knowledge
Author Contributions
Funding
Institutional Review Board Statement
Informed Consent Statement
Data Availability Statement
Acknowledgments
Conflicts of Interest
References
- Hind, E.J. Knowledge research: A challenge to established fisheries science. ICES J. Mar. Sci. 2015, 72, 341–358. [Google Scholar] [CrossRef]
- Delaney, A.E.; McLay, H.A.; Van Densen, W.L. Influences of discourse on decision-making in EU fisheries management: The case of North Sea cod (Gadus morhua). ICES J. Mar. Sci. 2007, 64, 804–810. [Google Scholar] [CrossRef]
- Johannes, R.E.; Freeman, M.M.; Hamilton, R.J. Ignore fishers’ knowledge and miss the boat. Fish Fish. 2000, 1, 257–271. [Google Scholar] [CrossRef]
- Silvano, R.A.M.; Begossi, A. What can be learned from Fishers? An integrated survey of Fishers’ local ecological knowledge and bluefish (Pomatomus saltatrix) biology on the Brazilian coast. Hydrobiologia 2010, 637, 3–18. [Google Scholar] [CrossRef]
- Silvano, R.A.M.; Begossi, A. Fishermen’s local ecological knowledge on southeastern Brazilian coastal fishes: Contributions to research, conservation, and management. Neotrop. Ichthyol. 2012, 10, 133–147. [Google Scholar] [CrossRef]
- Gaspare, L.; Bryceson, I.; Kulindwa, K. Complementarity of fishers’ traditional ecological knowledge and conventional science: Contributions to the management of groupers (Epinephelinae) fisheries around Mafia Island, Tanzania. Ocean Coast. Manag. 2015, 114, 88–101. [Google Scholar] [CrossRef]
- Nunes, M.U.S.; Hallwass, G.; Silvano, R.A.M. Fishers’ local ecological knowledge indicate migration patterns of tropical freshwater fish in an Amazonian river. Hydrobiologia 2019, 833, 197–215. [Google Scholar] [CrossRef]
- Vilalta-Navas, A.; Beas-Luna, R.; Zetina-Rejón, M.J.; López-Ibarra, G.A.; Malpica-Cruz, L.; Lorda, J.; Zepeda-Dominguez, J.A.; Kluger, L.C. Coupling scientific and local ecological knowledge network models for temperate coastal ecosystems. ICES J. Mar. Sci. 2023, 80, 185–196. [Google Scholar] [CrossRef]
- Ainsworth, C.H. Quantifying species abundance trends in the Northern Gulf of California using local ecological knowledge. Mar. Coast. Fish. 2011, 3, 190–218. [Google Scholar] [CrossRef]
- Bender, M.G.; Floeter, S.R.; Hanazaki, N. Do traditional fishers recognize reef fish species declines? Shifting environmental baselines in Eastern Brazil. Fish. Manag. Ecol. 2013, 20, 58–67. [Google Scholar] [CrossRef]
- Mclean, E.L.; Forrester, G.E. Comparing fishers’ and scientific estimates of size at maturity and maximum body size as indicators for overfishing. Ecol. Appl. 2018, 28, 668–680. [Google Scholar] [CrossRef] [PubMed]
- Bezerra, I.M.; Hostim-Silva, M.; Teixeira, J.L.S.; Hackradt, C.W.; Félix-Hackradt, F.C.; Schiavetti, A. Spatial and temporal patterns of spawning aggregations of fish from the Epinephelidae and Lutjanidae families: An analysis by the local ecological knowledge of fishermen in the Tropical Southwestern Atlantic. Fish. Res. 2021, 239, 105937. [Google Scholar] [CrossRef]
- Thornton, T.F.; Scheer, A.M. Collaborative engagement of local and traditional knowledge and science in marine environments: A review. Ecol. Soc. 2012, 17, 8. [Google Scholar] [CrossRef]
- Löki, V.; Nagy, J.; Neményi, Z.; Hagyó, A.; Nagy, A.; Vitál, Z.; Mozsár, A.; Lukács, B.A. Exploring ecological knowledge in recreational fishing for conservation purposes: A literature review. Glob. Ecol. Conserv. 2023, 48, e02697. [Google Scholar] [CrossRef]
- Liao, C.P.; Huang, H.W.; Lu, H.J. Fishermen’s perceptions of coastal fisheries management regulations: Key factors to rebuilding coastal fishery resources in Taiwan. Ocean. Coast. Manag. 2019, 172, 1–13. [Google Scholar] [CrossRef]
- Arlinghaus, R.; Mehner, T.; Cowx, I.G. Reconciling traditional inland fisheries management and sustainability in industrialized countries, with emphasis on Europe. Fish Fish. 2002, 3, 261–316. [Google Scholar] [CrossRef]
- Brooks, K. Sustainable development: Social outcomes of structural adjustments in a South Australian fishery. Mar. Policy 2010, 34, 671–678. [Google Scholar] [CrossRef]
- Moutopoulos, D.K.; Petriki, O.; Ramfos, A.; Stoumboudi, M.T.; Stergiou, K.I.; Bobori, D.C. Portraying fisheries and ecological status of a Mediterranean lake. Acta Ichthyol. Piscat. 2020, 50, 71–83. [Google Scholar] [CrossRef]
- Perdikaris, C.; Konstantinidis, E.; Georgiadis, C.; Kouba, A. Freshwater crayfish distribution update and maps for Greece: Combining literature and citizen-science data. Knowl. Manag. Aquat. Ecosyst. 2017, 418, 51. [Google Scholar] [CrossRef]
- Mesnil, B.; Shepherd, J.G. A hybrid age- and length-structured model for assessing regulatory measures in multiple species, multiple-fleet fisheries. ICES J. Mar. Sci. 1990, 47, 115–132. [Google Scholar] [CrossRef]
- Tzanatos, E.; Dimitriou, E.; Katselis, G.; Georgiadis, M.; Koutsikopoulos, C. Composition, temporal dynamics and regional characteristics of small-scale fisheries in Greece. Fish. Res. 2005, 73, 147–158. [Google Scholar] [CrossRef]
- Froese, R.; Pauly, D. FishBase. World Wide Web Electronic Publication. 2023. Available online: www.fishbase.org (accessed on 25 August 2023).
- Palomares, M.L.D.; Pauly, D. SeaLifeBase. World Wide Web Electronic Publication. 2023. Available online: www.sealifebase.org (accessed on 30 August 2023).
- Petriki, O.; Moutopoulos, D.K.; Tsagarakis, K.; Tsionki, I.; Papantoniou, G.; Mantzouni, I.; Barbieri, R.; Stoumboudi, M.T. Assessing the Fisheries and Ecosystem Structure of the Largest Greek Lake (Lake Trichonis). Water 2021, 13, 3329. [Google Scholar] [CrossRef]
- Tzanatos, E.; Dimitriou, E.; Papaharisis, L.; Roussi, A.; Somarakis, S.; Koutsikopoulos, C. Principal socio-economic characteristics of the Greek small-scale coastal fishermen. Ocean Coast. Manag. 2006, 49, 511–527. [Google Scholar] [CrossRef]
- Menzies, C.R. Fishing, families, and the survival of artisanal boat-ownership in the bigouden region of France. Marit. Stud. 2003, 2, 73–90. [Google Scholar]
- Cowx, I.G. Characterisation of inland fisheries in Europe. Fish. Manag. Ecol. 2015, 22, 78–87. [Google Scholar] [CrossRef]
- Anthopoulou, T.; Kaberis, N.; Petrou, M. Aspects and experiences of crisis in rural Greece. Narratives of rural resilience. J. Rural Stud. 2017, 52, 1–11. [Google Scholar] [CrossRef]
- Duggan, G.L.; Rogerson, J.J.; Green, L.J.; Jarre, A. Opening dialogue and fostering collaboration: Different ways of knowing in fisheries research. S. Afr. J. Sci. 2014, 110, 1–9. [Google Scholar] [CrossRef][Green Version]
- Stephenson, R.L.; Paul, S.; Pastoors, M.A.; Kraan, M.; Holm, P.; Wiber, M.; Mackinson, S.; Dankel, D.J.; Brooks, K.; Benson, A. Integrating fishers’ knowledge research in science and management. ICES J. Mar. Sci. 2016, 73, 1459–1465. [Google Scholar] [CrossRef]
- Kamberi, E.; Beqiri, K.; Luli, K.; Bakiu, R. Tracking Changes in Fish Diversity in the South-Eastern Adriatic Sea (Albania) Based on Local Ecological Knowledge. Croat. J. Fish. 2022, 80, 17–25. [Google Scholar] [CrossRef]
- Ribeiro, A.R.; Damasio, L.M.; Silvano, R.A. Fishers’ ecological knowledge to support conservation of reef fish (groupers) in the tropical Atlantic. Ocean Coast. Manag. 2021, 204, 105543. [Google Scholar] [CrossRef]
- de Souza Junior, O.G.; Nunes, J.L.G.; Silvano, R.A.M. Biology, ecology and behavior of the acoupa weakfish Cynoscion acoupa (Lacepède, 1801) according to the local knowledge of fishermen in the northern coast of Brazil. Mar. Policy 2020, 115, 103870. [Google Scholar] [CrossRef]
- Nunes, M.U.S.; Cardoso, O.R.; Soeth, M.; Silvano, R.A.M.; Fávaro, L.F. Fishers’ ecological knowledge on the reproduction of fish and shrimp in a subtropical coastal ecosystem. Hydrobiologia 2021, 848, 929–942. [Google Scholar] [CrossRef]
- Drew, J.A.; Henne, A.P. Conservation biology and traditional ecological knowledge: Integrating academic disciplines for better conservation practice. Ecol. Soc. 2006, 11, 34. [Google Scholar] [CrossRef]
- Kottelat, M.; Freyhof, J. Handbook of European Freshwater Fishes; Publications Kottelat: Cornol, Switzerland, 2007. [Google Scholar]
- Yazici, R.; Yilmaz, M.; Yazicioǧlu, O. Reproduction Properties of Wels Catfish (Silurus glanis L., 1758) Inhabiting Sıddıklı Reservoir. J. Limnol. Freshw. Fish. Res. 2018, 4, 112–117. [Google Scholar] [CrossRef]
- Alp, A.; Kara, C.; Büyükçapar, H.M. Reproductive biology in a native European catfish, Silurus glanis L., 1758, population in Menzelet Reservoir. Turk. J. Vet. Anim. Sci. 2004, 28, 613–622. [Google Scholar]








| Demographic Parameter | Categories | n | Percentage (%) |
|---|---|---|---|
| Gender | Male | 32 | 86.5 |
| Female | 5 | 13.5 | |
| Age group (years) | 19–40 | 14 | 37.8 |
| 41–65 | 20 | 54.1 | |
| >65 | 3 | 8.1 | |
| Born area | Broader Kozani’s area | 35 | 94.6 |
| Other | 2 | 5.4 | |
| Father involved with fishing | Yes | 166 | 43.2 |
| No | 21 | 56.8 | |
| Educational level | Primary school | 9 | 24.3 |
| Middle school | 7 | 18.9 | |
| High school | 9 | 24.3 | |
| Technical school | 9 | 24.3 | |
| Higher education institution or college | 3 | 8.1 | |
| Marital situation | Singles | 8 | 21.6 |
| Married | 25 | 67.6 | |
| Divorced | 4 | 10.8 | |
| Main occupation | Fishing | 13 | 35.1 |
| Other | 24 | 64.9 | |
| Income | 0–6000 € | 5 | 16.1 |
| 6000–12,000 € | 13 | 41.9 | |
| 12,000–20,000 € | 7 | 22. 6 | |
| >20,000 € | 6 | 19.4 |
| Season | Catches ± SD (Kg) | ||||||
|---|---|---|---|---|---|---|---|
| Wels Catfish | Common Carp | European Perch | Prussian Carp | Roach | Northern Pike | Total | |
| Spring | 409 ± 510.3 | 3563 ± 4434.9 | 406 ± 687.1 | 2188 ± 4456.3 | 18 ± 55.8 | 429 ± 606.1 | 7014 ± 9021.7 |
| Summer | 566 ± 722.8 | 922 ± 1354.7 | 1937 ± 4579.9 | 240 ± 327.3 | 89 ± 142.0 | 3754 ± 6032.5 | |
| Autumn | 369 ± 514.7 | 1522 ± 1533.3 | 1011 ± 1071.2 | 1395 ± 2626.0 | 668 ± 871.7 | 4965 ± 5092.4 | |
| Winter | 185 ± 478.3 | 1541 ± 2034.9 | 754 ± 1061.9 | 1830 ± 2688.4 | 263 ± 653.4 | 1096 ± 1569.2 | 5669 ± 6169.5 |
| Total | 21,402 ± 22,203.3 | ||||||
| Parameter | Species | |||||
|---|---|---|---|---|---|---|
| Wels Catfish | Common Carp | European Perch | Roach | Northern Pike | Danube Crayfish | |
| Lm PR | 60.0 ± 17.32 | 32.5 ± 5.00 | 12.6 ± 2.07 | 11.7 ± 3.03 | 30.0 | 6.8 ± 2.28 |
| Wm PR | 2.07 ± 1.417 | 0.97 ± 0.358 | 0.18 ± 0.083 | 0.15 ± 0.080 | 1.35 ± 0.629 | 0.03 ± 0.013 |
| Lm literature | 87.5 (86–108) | 34.8 (25 ± 36) | 16.3 (11 ± 23.4) | 14.0 (8–?) | 39.9 (25–63) | 9 (7–?) |
| Parameter | Year of Entering the Employment | Total Catches/year | Fisher Age | LEK |
|---|---|---|---|---|
| Year of entering the employment | 1.000 | −0.371 * | −0.561 ** | −0.159 |
| Total catches/year | 1.000 | −0.052 | 0.538 ** | |
| Fisher age | 1.000 | 0.116 | ||
| LEK | 1.000 |
Disclaimer/Publisher’s Note: The statements, opinions and data contained in all publications are solely those of the individual author(s) and contributor(s) and not of MDPI and/or the editor(s). MDPI and/or the editor(s) disclaim responsibility for any injury to people or property resulting from any ideas, methods, instructions or products referred to in the content. |
© 2024 by the authors. Licensee MDPI, Basel, Switzerland. This article is an open access article distributed under the terms and conditions of the Creative Commons Attribution (CC BY) license (https://creativecommons.org/licenses/by/4.0/).
Share and Cite
Petriki, O.; Kouletsos, A.; Ntislidou, C.; Bobori, D.C. Local Ecological Knowledge (LEK) Can Guide Decision-Making in Inland Fisheries Management. Appl. Sci. 2024, 14, 8819. https://doi.org/10.3390/app14198819
Petriki O, Kouletsos A, Ntislidou C, Bobori DC. Local Ecological Knowledge (LEK) Can Guide Decision-Making in Inland Fisheries Management. Applied Sciences. 2024; 14(19):8819. https://doi.org/10.3390/app14198819
Chicago/Turabian StylePetriki, Olga, Athanasios Kouletsos, Chrysoula Ntislidou, and Dimitra C. Bobori. 2024. "Local Ecological Knowledge (LEK) Can Guide Decision-Making in Inland Fisheries Management" Applied Sciences 14, no. 19: 8819. https://doi.org/10.3390/app14198819
APA StylePetriki, O., Kouletsos, A., Ntislidou, C., & Bobori, D. C. (2024). Local Ecological Knowledge (LEK) Can Guide Decision-Making in Inland Fisheries Management. Applied Sciences, 14(19), 8819. https://doi.org/10.3390/app14198819

