Abstract
We propose an accurate method for modeling acoustic wave propagation. The spatial derivatives are calculated using Fourier transform to reduce spatial numerical dispersion. The standard staggered grid is adopted to suppress the non-causal ringing artifacts as in the traditional pseudo-spectral method. Moreover, to eliminate time dispersion arising from the discretization of the time derivative, an additional time-dispersion elimination term is introduced. As a result, the present method not only retains the advantages of the conventional pseudo-spectral method such as coarser spatial sampling or higher spatial derivative approximation accuracy, but also achieves higher temporal derivative approximation accuracy due to the adoption of the additional time-dispersion elimination term. Numerical examples demonstrate that the temporal dispersion elimination process can be contaminated by spatial numerical dispersion. Thus, the temporal and spatial numerical dispersions should be handled simultaneously, as proposed in this paper, to achieve accurate acoustic simulation.
1. Introduction
Numerical modeling of seismic wave propagation is one of the fundamental elements of exploration geophysics. Based on different physical assumptions and numerical realizations, many approaches have been proposed as wave equation [1]. For example, the ray tracing method [2], which is based on high-frequency approximation, has the advantage of an ability to isolate specific wave modes. Its main limitation is that wavefield information cannot be fully simulated due to its high-frequency approximation nature. Other kinds of modeling method are typically based on direct discretization and the approximation of wave equations, such as the finite difference method [3,4], the finite element method [5,6], the spectral element method [7,8] or the pseudo-element method [9,10,11]. Presently, the finite difference method remains one of the most popular seismic wave modeling methods for its simple implementation and benefits of computational accuracy and efficiency [11]. However, the finite difference method requires rather dense spatial grid sampling to ensure computational stability and accuracy. The pseudo-spectral method, as discussed in this paper, is an alternative grid-based wavefield modeling method. The pseudo-spectral method uses the Fourier transform to calculate spatial derivatives which can be viewed as a limiting case of higher-order finite difference, with the operator size equaling the grid dimension [12,13]. When compared with the finite difference method, the pseudo-spectral method has the advantage that it permits coarser spatial grid sampling to attain the same accuracy, which reduces the computational memory requirement, especially for 3D seismic wave modeling [9].
Two well-known issues that should be addressed during the implementation of the pseudo-spectrum method are so-called non-causal ringing artifacts and wrap-around boundary artifacts. The non-causal ringing artifacts arise from Nyquist discontinuities in the periodic wavenumber spectrum [10]. These artifacts contaminate wavefields, particularly in the presence of large abrupt changes in the medium. It has been well established that modeling on a staggered grid significantly reduces those artifacts [14,15]. The other issue is the wrap-around boundary artifacts due to the periodicity implied by using the Fourier transform; the wrap-around boundary artifacts can be alleviated by zero padding of the computational domain [16].
However, to perfectly implement the pseudo-spectral method, another less-mentioned problem, which is referred to as unbalanced numerical dispersion [17,18], should be solved. This problem arises from the fact that, although in the pseudo-spectral method the spatial derivative is accurately calculated using Fourier transform, the remaining temporal derivative is computed with the finite difference approach which typically has larger approximation errors than the Fourier transform. [18] proposed using the higher-order temporal finite difference approximation which is more time-consuming than the commonly used second order approximation in the pseudo-spectral method. [19] proposed the forward and inverse time dispersion transform to reduce the temporal dispersion in the non-staggered, grid-based modeling method. In this paper, we firstly combine the forward and inverse time dispersion transform with the staggered grid-based pseudo-spectral method. Our present method not only retains the advantages of the staggered grid-based pseudo-spectral method, such as coarser spatial sampling, higher spatial derivative approximation accuracy, and non-casual ringing artifacts removal, but also achieves higher temporal derivative approximation accuracy due to the adoption of an additional time-dispersion elimination term. Our examples indicate that temporal dispersion elimination process can be contaminated by spatial numerical dispersion. To obtain accurate acoustic simulation results, the temporal and spatial numerical dispersion should be simultaneously handled. Several numerical examples are demonstrated to verify the effectiveness of our method.
2. Methodology
The system of a coupled first-order velocity-stress acoustic equation without source term in a 2D case has the form
here are and components of acoustic particle velocity, respectively. is acoustic pressure, is density, and is acoustic velocity. is an intermediate variable. Following the standard staggered grid [20], the time-stepping scheme of Equation (1) can be written as
the superscript indicates the integer time step, and are the indices for the forward and backward half time steps based on time step . For the spatial staggered grid discretization, the illustration is shown in Figure 1.
Figure 1.
Spatial staggered grid discretization scheme. and are calculated at grid points staggered in the direction (five-pointed stars), and are evaluated at grid points staggered in the direction (triangles). The remaining variables are evaluated on a regular grid (dots).
Note that the spatial derivatives defined on the spatial staggered grid in Equation (2) should be computed using Fourier transform, together with spatial shift properties of Fourier transform. The staggered grid-based pseudo-spectral scheme of Equation (2) has the form
where symbols and represent forward and inverse Fourier transform, respectively. and are wavenumbers in the and direction. and are spatial discretization intervals in the and directions.
To reduce boundary reflection, the perfectly matched layer (PML) is applied to enclose the computational domain [21]. Note that the wave wrapping around effect can also be largely eliminated by adopting PML [22]. Following [23], the discrete Equation (3) including PML can be written as
here in Equation (4), we split the acoustic pressure field into its and counterparts to implement the PML boundary condition. and are attenuation coefficients along the and directions, and the specific choice of these coefficients has been well investigated and can be found in many published studies such as those by [23] or [24].
Equation (4) is the baseline to develop the proposed method. In Equation (4), although the spatial derivative is accurately calculated using the Fourier transform, the temporal derivative is computed with a finite difference approach which typically has larger approximation errors than the Fourier transform. To eliminate such temporal numerical dispersion, [18] proposed using higher-order temporal finite difference approximation which is more time consuming than the commonly used second order approximation in the pseudo-spectral method. [19] present forward and inverse time dispersion transform to reduce temporal dispersion in the non-staggered grid-based modeling method.
Here we firstly combine the forward and inverse time dispersion transform with the staggered grid-based pseudo-spectral method. Our present method not only retains the advantages of the staggered grid-based pseudo-spectral method such as coarser spatial sampling, higher spatial derivative approximation accuracy, and non-casual ringing artifacts removal, but also achieves higher temporal derivative approximation accuracy due to the adoption of the additional time-dispersion elimination term. Several numerical examples are demonstrated to verify the effectiveness of our method. Starting from the Taylor series approximation of the second order temporal finite difference operator [3],
where represents the acoustic wavefield with time index , here the spatial index of wavefield is omitted for simplicity. For the Fourier transform on the right-hand side of Equation (5), we have
with
here symbol stands for the forward Fourier transform. Reminds that the accurate second order time derivative in the frequency domain can be represented as , then can be the approximation error between the accurate and finite difference approximated temporal derivative. It is also clear that the temporal dispersion factor depends only on the time step and frequency, and is free from the medium parameter or spatial accuracy [25]. Based on factor (7), a transform that removes the undesired temporal dispersion can be defined, and has the form of
here represents the recorded wavefield trace with temporal dispersion errors, and is the recorded wavefield trace with temporal dispersion removal. stands for the inverse Fourier transform. Using a slightly different derivation, [19] proposed an analogous transform of Equation (8), which is referred to as the inverse time dispersion transform (ITDT) to reduce temporal dispersion. They also adopted this transform in a non-staggered grid-based modeling method. Note that to remove the temporal dispersion from the seismic record, an adjoint operator of Equation (8) should be pre-applied on the injection source wavelet for numerical modeling to add temporal dispersion on the seismic record [19]. Here, we firstly combine Equations (4) and (8) to establish a staggered grid-based, temporal dispersion-eliminated, pseudo-spectral method for better performance.
3. Numerical Examples
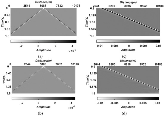
We first verified our method with a homogeneous model. The velocity was set to be 3000 m/s and the density was assumed constant. The spatial grid sampling interval was 12 m in both and directions. The temporal sampling rate was 2 ms. To illustrate that the present method can achieve high modeling accuracy in both temporal and spatial dimensions, a comparison with the finite difference of tenth order spatial accuracy and second order temporal accuracy was conducted. Figure 2 shows the comparison of records using the finite difference method with a 25 Hz domain frequency wavelet. Figure 2a,c are records without temporal dispersion elimination. It is clear that, although a relatively low frequency wavelet was adopted, the temporal dispersion energy which travels faster than a true seismic wavefield signal can be observed. Figure 2b,d are records of the temporal dispersion elimination using Equation (8). When comparing the enlarged display in Figure 2c,d, we can see the temporal dispersion was clearly removed using Equation (8). The result with the staggered grid-based pseudo-spectral method is displayed in Figure 3. Since the domain frequency of the wavelet is relatively low in this case, spatial dispersion energy is almost invisible and the record calculated with the staggered grid-based pseudo-spectral method is similar to the finite difference-based method. The temporal dispersion is distinct in Figure 3c and effectively eliminated with Equation (8), as shown in Figure 3d. Figure 4 demonstrates the comparison of the analytical solution with a selected trace for different records. The selected trace is at a distance of 1188 m. Due to temporal dispersion, there exists a phase error in both selected traces of the finite difference and staggered grid-based pseudo-spectral methods. After elimination of the temporal dispersion using Equation (8), both traces matched very well with the analytical solution. To highlight the difference between the finite difference and staggered grid-based pseudo-spectral methods, we increased the main frequency of the wavelet to 40 Hz and repeated the experiment on the same homogeneous model. Due to the increase in frequency, in records using the finite difference method, both spatial dispersion energy which travels more slowly, and temporal dispersion energy which travels faster than a true seismic wavefield signal, were observed, as shown in Figure 5a,c. As it is shown in Figure 5c,d, the application of the temporal dispersion operator Equation (8) obviously attenuates the temporal dispersion energy. However, the spatial dispersion is left untouched. In comparison, the staggered grid-based pseudo-spectral method produced almost no spatial dispersion energy, as demonstrated in Figure 6a,c. By adopting the temporal dispersion operator Equation (8), records that are free from both spatial and temporal dispersion can be obtained, as displayed in Figure 6b,d. This is the main advantage of our proposed method since it can generate an accurate wavefield record without both spatial and temporal dispersion errors at the same time. Figure 7 demonstrates the comparison of the analytical solution with selected traces for different records in the case of a 40 Hz wavelet. Severe temporal dispersion contamination can be observed in the results from both the finite difference and staggered grid-based pseudo-spectral methods, as shown in Figure 7a,b. After temporal dispersion elimination, the remaining spatial dispersion in the finite difference-based record trace causes a misfit error between the analytical solution and the numerical solution, as listed in Figure 7c. In contrast, the staggered grid-based pseudo-spectral method with temporal dispersion elimination generates a result that matches the analytical solution very well, as shown in Figure 7d. More specifically, when comparing Figure 4c and Figure 7c, it is clear that the calculated record with a higher frequency wavelet contains more spatial dispersion energy, as theoretically predicted. The temporal dispersion elimination process is severely contaminated by spatial numerical dispersion, as shown in Figure 7c, making the calculated record less consistent with the analytical result when comparing with Figure 4c. The comparison between Figure 4c and Figure 7c clearly demonstrates that the temporal and spatial numerical dispersions should be simultaneously handled to achieve accurate acoustic simulation.
Figure 2.
Comparison of records using the finite difference method with a 25 Hz domain frequency wavelet. (a) Record without temporal dispersion elimination. (b) Record with temporal dispersion elimination using Equation (8). (c) and (d) are an enlarged display of (a) and (b), respectively.
Figure 3.
Comparison of records using the staggered grid-based pseudo-spectral method with a 25 Hz domain frequency wavelet. (a) Record without temporal dispersion elimination. (b) Record with temporal dispersion elimination using Equation (8). (c) and (d) are an enlarged display of (a) and (b), respectively.

Figure 4.
Comparison of analytical solution (solid blue line) with selected trace (red dashed line) for different records with a 25 Hz domain frequency wavelet. (a) Comparison with the record trace using the finite difference (FD) method without temporal dispersion elimination. (b) Comparison with the record trace using the staggered grid-based pseudo-spectral (PS) method without temporal dispersion elimination. (c) Comparison with the record trace using the finite difference method with temporal dispersion elimination. (d) Comparison with the record trace using the staggered grid-based pseudo-spectral method with temporal dispersion elimination.
Figure 5.
Comparison of records using the finite difference method with a 40 Hz domain frequency wavelet. (a) Record without temporal dispersion elimination. (b) Record with temporal dispersion elimination using Equation (8). (c) and (d) are an enlarged display of (a) and (b), respectively.
Figure 6.
Comparison of records using the staggered grid-based pseudo-spectral method with a 40 Hz domain frequency wavelet. (a) Record without temporal dispersion elimination. (b) Record with temporal dispersion elimination using Equation (8). (c) and (d) are an enlarged display of (a) and (b), respectively.
Figure 7.
Comparison of the analytical solution (solid blue line) with selected trace (red dashed line) for different records with a 40 Hz domain frequency wavelet. (a) Comparison with the record trace using the finite difference (FD) method without temporal dispersion elimination. (b) Comparison with the record trace using the staggered grid-based pseudo-spectral (PS) method without temporal dispersion elimination. (c) Comparison with record trace using the finite difference method with temporal dispersion elimination. (d) Comparison with record trace using the staggered grid-based pseudo-spectral method with temporal dispersion elimination.
To verify that our method can be applied to complex media, the Marmousi synthetic model was used, as shown in Figure 8. Figure 9 shows a comparison of records using the finite difference method with a 40 Hz domain frequency wavelet. The spatial grid sampling interval was 12 m in both the and directions. The temporal sampling rate was 1 ms. Figure 9a,c are records without temporal dispersion elimination. Figure 9b,d are records with temporal dispersion elimination using Equation (8). Figure 10 is results using the staggered grid-based pseudo-spectral method. At first glance, the spatial dispersion reduction using the staggered grid-based pseudo-spectral method can be seen when comparing Figure 9 and Figure 10. To conduct a detailed investigation into temporal dispersion elimination, comparisons of reference solutions with selected traces for different records in the Marmousi model were implemented, as shown in Figure 11. The reference solution was obtained with the staggered grid-based pseudo-spectral method with a times smaller temporal sampling rate than in Figure 9 and Figure 10 to minimize the temporal dispersion. The strong spatial numerical dispersion energy obviously affected the effectiveness of the temporal dispersion elimination operator (8), as demonstrated in Figure 11a, as there exist both spatial and temporal dispersion residuals when compared with the reference solution. As a comparison, since almost no spatial numerical dispersion exists in the record using the staggered grid-based pseudo-spectral method, the temporal dispersion elimination operator (8) almost fully removed the temporal dispersion, resulting in a record trace free from both spatial and temporal numerical dispersions, which fits very well with the reference solution as listed in Figure 11b. The numerical results from the Marmousi model clearly show that the temporal dispersion elimination process can be easily contaminated by spatial numerical dispersion in complex wavefields. To obtain an accurate acoustic simulation result, the temporal and spatial numerical dispersions should be simultaneously handled, as proposed in our example. For the complex Marmousi model, we ran the wavefield simulation for 3057 temporal discretization steps, with both the conventional finite difference and proposed methods, and the computational times were 117.36 s and 145.71 s, respectively. The computational cost with our present method increased only by approximately twenty percent. This comparison implies that the proposed method is able to produce higher simulation accuracy with tolerable computational cost.
Figure 8.
Marmousi model: (a) velocity model, (b) density model.
Figure 9.
Comparison of the Marmousi model records using the finite difference method with a 40 Hz domain frequency wavelet. (a) Record without temporal dispersion elimination. (b) Record with temporal dispersion elimination using Equation (8). (c) and (d) are an enlarged display of (a) and (b), respectively.
Figure 10.
Comparison of the Marmousi model records using the staggered grid-based pseudo-spectral method with a 40 Hz domain frequency wavelet. (a) Record without temporal dispersion elimination. (b) Record with temporal dispersion elimination using Equation (8). (c) and (d) are an enlarged display of (a) and (b), respectively.
Figure 11.
Comparison of the reference solution (solid red line) with a selected trace without temporal dispersion elimination (solid blue line) and a trace with temporal dispersion elimination (dashed black line). (a) Comparison with record trace using the finite difference (FD) method. (b) Comparison with record trace using the staggered grid-based pseudo-spectral (PS) method.
To illustrate the effectiveness of our proposed method for seismic imaging, reverse time migration (RTM) with different numerical modeling methods was implemented, as shown in Figure 12. To reduce computational cost, only a partial model, as in Figure 8, was imaged. The calculation parameter for RTM remained unchanged, as in the numerical simulation examples of Figure 9 and Figure 10. Figure 12a,b are imaging results using the finite difference method without and with temporal dispersion elimination, respectively. Figure 13a,b are partial enlarged displays for Figure 12a,b. Similar to the numerical simulation examples of Figure 9, the RTM stack image profile based on the finite difference method with a 40 Hz wavelet contains strong artifacts due to the spatial numerical dispersion, as demonstrated in Figure 12 and Figure 13. In addition, due to the spatial numerical dispersion, the effectiveness of the temporal dispersion elimination process using operator (8) decreased and became almost invisible when comparing Figure 13a,b. Figure 12c,d are imaging results using the staggered grid-based pseudo-spectral method without and with temporal dispersion elimination, respectively. In comparison with the finite difference-based method, as displayed in Figure 12a,b, the imaging artifacts mainly produced by spatial numerical dispersion are significantly reduced in both image profiles with and without temporal dispersion elimination, as illustrated in Figure 12c,d. The reduction in spatial numerical dispersion with the staggered grid-based pseudo-spectral method also highlights the contribution of the temporal dispersion elimination process using operator (8) when comparing Figure 13c,d. The temporal dispersion elimination reduces wavelet oscillation and enhances the coherence of the seismic event in the deep target geological region, as marked by the red arrows. The imaging comparisons clearly demonstrate that the temporal and spatial numerical dispersions should be simultaneously handled to achieve accurate acoustic simulation and imaging results, otherwise, the temporal dispersion elimination process could be contaminated by spatial numerical dispersion energy.
Figure 12.
Comparison of reverse time migration imaging results with different numerical modeling methods, the main frequency was set at 40 Hz. (a) Imaging result using the finite difference (FD) method without temporal dispersion elimination. (b) Imaging result using the finite difference (FD) method with temporal dispersion elimination. (c) Imaging result with the staggered grid-based pseudo-spectral (PS) method without temporal dispersion elimination. (d) Imaging result with the staggered grid-based pseudo-spectral (PS) method with temporal dispersion elimination.

Figure 13.
Enlarged display of imaging results of Figure 12. (a) Imaging result using the finite difference (FD) method without temporal dispersion elimination. (b) Imaging result using the finite difference (FD) method with temporal dispersion elimination. (c) Imaging result with the staggered grid-based pseudo-spectral (PS) method without temporal dispersion elimination. (d) Imaging result with the staggered grid-based pseudo-spectral (PS) method with temporal dispersion elimination. The red arrows highlight areas where improved image quality was achieved with temporal dispersion elimination.
4. Conclusions
In this paper, we proposed an accurate method for modeling acoustic wave propagation. The present method was established by combining the staggered grid-based pseudo-spectral method with an additional temporal dispersion elimination operator. The proposed method produced seismic records free from both temporal and spatial numerical dispersion. Our results suggest that the temporal dispersion elimination process can be easily contaminated by spatial numerical dispersion in complex wavefields. To obtain accurate acoustic simulation results, the temporal and spatial numerical dispersions should be simultaneously handled, as proposed in this paper. The proposed method is able to accurately simulate acoustic wave propagation with relatively larger spatial and temporal discretization steps when compared with the conventional finite difference method. Numerical examples clearly demonstrate that, with typical simulation parameters in geophysical applications, as discussed in this paper, the proposed method yields a more accurate solution than the finite difference method.
Author Contributions
Conceptualization, H.Z. and Y.Z.; Methodology, Y.Z. and Y.W.; Software, H.M.; Validation, Q.Z.; Formal analysis, Y.Z.; Investigation, Y.Z.; Writing— original draft, Y.Z. and H.Z.; Writing—review & editing, H.M. and Y.W.; Visualization, Y.Z.; Supervision, H.Z.; Project administration, B.J.; Funding acquisition, Y.Z. All authors have read and agreed to the published version of the manuscript.
Funding
This research is supported by CNPC Prospective Research Project “Design technology and software development of ultra-high density compressed sensing observation system” (2024ZG4401) and “Tracking Evaluation of Oil and Gas Exploration Effect” (2023YQX405).
Institutional Review Board Statement
Not applicable.
Informed Consent Statement
Not applicable.
Data Availability Statement
The raw data supporting the conclusions of this article will be made available by the authors on request.
Conflicts of Interest
Author Huahui Zeng, Yanxiang Wang, Huijie Meng, Qigang Zhou and Baozhong Jin was employed by the Research Institute of Petroleum Exploration & Development-Northwest (NWGI), PetroChina. The remaining authors declare that the research was conducted in the absence of any commercial or financial relationships that could be construed as a potential conflict of interest.
References
- Carcione, J.M. Wave fields in real media, wave propagation in anisotropic, an elastic, porous and electromagnetic media, handbook of geophysical exploration: Seismic exploration. In Handbook of Geophysical Exploration: Seismic Exploration; Elsevier: Amsterdam, The Netherlands, 2007; p. 38. [Google Scholar]
- Červený, V.; Pretlová, V. Computation of ray amplitudes of seismic body waves in vertically inhomogeneous media. Stud. Geophys. Et Geod. 1977, 21, 248–255. [Google Scholar] [CrossRef]
- Dablain, M.A. The application of high-order differencing to the scalar wave Equation. Geophysics 1986, 51, 54–66. [Google Scholar] [CrossRef]
- Moczo, P.; Kristek, J.; Galis, M.; Pazak, P.; Balazovjech, M. The finite-difference and finite-element modeling of seismic wave propagation and earthquake motion. Acta Phys. Slovaca. Rev. Tutorials 2007, 57, 177–406. [Google Scholar] [CrossRef]
- De Basabe, J.D.; Sen, M.K. New developments in the finite-element method for seismic modeling. Lead. Edge 2009, 28, 562–567. [Google Scholar] [CrossRef]
- Sotelo, E.; Favino, M.; Gibson, R.L., Jr. Application of the generalized finite-element method to the acoustic wave simulation in exploration seismology. Geophysics 2021, 86, T61–T74. [Google Scholar] [CrossRef]
- Komatitsch, D.; Tromp, J. Introduction to the spectral element method for three-dimensional seismic wave propagation. Geophys. J. Int. 1999, 139, 806–822. [Google Scholar] [CrossRef]
- Komatitsch, D.; Tromp, J. Spectral-element simulations of global seismic wave propagation—I. Validation. Geophys. J. Int. 2002, 149, 390–412. [Google Scholar] [CrossRef]
- Fornberg, B. The pseudospectral method; comparisons with finite-differences for the elastic wave Equation. Geophysics 1987, 52, 483–501. [Google Scholar] [CrossRef]
- Kosloff, D.D.; Baysal, E. Forward modeling by a Fourier method. Geophysics 1982, 47, 1402–1412. [Google Scholar] [CrossRef]
- Virieux, J.; Calandra, H.; Plessix, R.É. A review of the spectral, pseudo-spectral, finite-difference and finite-element modelling techniques for geophysical imaging. Geophys. Prospect. 2011, 59, 794–813. [Google Scholar] [CrossRef]
- Kumar, N.; Kale, K.D.; Singh, R.R.; Bhaskaran, R. Unlocking Potential: Harnessing k-Wave for Ultrasonic Non-Destructive Evaluation. In Proceedings of the 2024 IEEE South Asian Ultrasonics Symposium (SAUS), Gandhinagar, India, 27–29 March 2024; IEEE: Piscataway, NJ, USA, 2004; pp. 1–4. [Google Scholar]
- Treeby, B.E.; Wise, E.S.; Kuklis, F.; Jaros, J.; Cox, B.T. Nonlinear ultrasound simulation in an axisymmetric coordinate system using a k-space pseudospectral method. J. Acoust. Soc. Am. 2020, 148, 2288–2300. [Google Scholar] [CrossRef] [PubMed]
- Corrêa, G.J.; Spiegelman, M.; Carbotte, S.; Mutter, J.C. Centered and staggered Fourier derivatives and Hilbert transforms. Geophysics 2002, 67, 1558–1563. [Google Scholar] [CrossRef]
- Özdenvar, T.; McMechan, G.A. Causes and reduction of numerical artefacts in pseudo-spectral wavefield extrapolation. Geophys. J. Int. 1996, 126, 819–828. [Google Scholar] [CrossRef]
- Treeby, B.E.; Budisky, J.; Wise, E.S.; Jaros, J.; Cox, B.T. Rapid calculation of acoustic fields from arbitrary continuous-wave sources. J. Acoust. Soc. Am. 2018, 143, 529–537. [Google Scholar] [CrossRef]
- Aubry, J.F.; Bates, O.; Boehm, C.; Butts Pauly, K.; Christensen, D.; Cueto, C.; Gélat, P.; Guasch, L.; Jaros, J.; Jing, Y.; et al. Benchmark problems for transcranial ultrasound simulation: Intercomparison of compressional wave models. J. Acoust. Soc. Am. 2022, 152, 1003–1019. [Google Scholar] [CrossRef]
- Bale, R.A. Staggered grids for 3D pseudospectral modeling in anisotropic elastic media. Calg. CREWES Res. Rep. 2002, 14, 1–14. [Google Scholar]
- Wang, M.; Xu, S. Finite-difference time dispersion transforms for wave propagation. Geophysics 2015, 80, WD19–WD25. [Google Scholar] [CrossRef]
- Virieux, J. P-SV wave propagation in heterogeneous media: Velocity-stress finite-difference method. Geophysics 1986, 51, 889–901. [Google Scholar] [CrossRef]
- Berenger, J.P. A perfectly matched layer for the absorption of electromagnetic waves. J. Comput. Phys. 1994, 114, 185–200. [Google Scholar] [CrossRef]
- Yuan, X.; Borup, D.; Wiskin, J.W.; Berggren, M.; Eidens, R.; Johnson, S.A. Formulation and validation of Berenger’s PML absorbing boundary for the FDTD simulation of acoustic scattering. IEEE Trans. Ultrason. Ferroelectr. Freq. Control 1997, 44, 816–822. [Google Scholar] [CrossRef]
- Tabei, M.; Mast, T.D.; Waag, R.C. A k-space method for coupled first-order acoustic propagation equations. J. Acoust. Soc. Am. 2002, 111, 53–63. [Google Scholar] [CrossRef] [PubMed]
- Giroux, B. Performance of convolutional perfectly matched layers for pseudospectral time domain poroviscoelastic schemes. Comput. Geosci. 2012, 45, 149–160. [Google Scholar] [CrossRef]
- Li, Y.E.; Wong, M.; Clapp, R. Equivalent accuracy at a fraction of the cost: Overcoming temporal dispersion. Geophysics 2016, 81, T189–T196. [Google Scholar] [CrossRef][Green Version]
Disclaimer/Publisher’s Note: The statements, opinions and data contained in all publications are solely those of the individual author(s) and contributor(s) and not of MDPI and/or the editor(s). MDPI and/or the editor(s) disclaim responsibility for any injury to people or property resulting from any ideas, methods, instructions or products referred to in the content. |
© 2024 by the authors. Licensee MDPI, Basel, Switzerland. This article is an open access article distributed under the terms and conditions of the Creative Commons Attribution (CC BY) license (https://creativecommons.org/licenses/by/4.0/).