Multi-Objective Optimization of Energy-Efficient Multi-Stage, Multi-Level Assembly Job Shop Scheduling
Abstract
1. Introduction
- (1)
- A mathematical model for the EEMsMlAJSP with the optimization objectives of minimizing the maximum completion time and total energy consumption is established.
- (2)
- An energy-efficient strategy decoding trigger mechanism is designed to simultaneously enhance solution quality and search efficiency.
- (3)
- A dynamic adaptive adjustment strategy for the assimilation operator parameter is implemented based on Q-learning to enhance convergence speed while maintaining population diversity; thus, the exploration and exploitation capabilities of the algorithm are better balanced.
2. Literature Review and Related Work
2.1. Multi-Stage, Multi-Level Assembly Job Shop Scheduling Problem
2.2. Energy-Efficient Strategies in Scheduling Problem
2.3. Imperialist Competitive Algorithm
2.4. Evolutionary Algorithms Integrated with Reinforcement Learning
3. Problem Formulation
3.1. Basic Concepts of Multi-Objective Optimization
3.2. Problem Definition
- In the processing and assembly stages, any machine can only process one operation at a time.
- Once started, processing operations, transportation processes, and assembly operations cannot be interrupted.
- All machines and vehicles are available at time zero.
- The transportation time between machines for consecutive processing (or assembly) operations is not considered.
- Vehicles maintain a constant speed during transportation.
- The initial setup time is included in the release time of the workpiece.
3.3. Mathematical Model
4. Encoding and Decoding Design
4.1. Encoding
| Algorithm 1. Encoding Method |
![]() |
4.2. Decoding Rules
- (1)
- Machine assignment in the processing stage
- (2)
- Job transportation sequence and vehicle allocation in the transportation stage
- (3)
- Product assembly sequence and machine assignment in the assembly stage
4.3. Design of Energy-Efficient Strategy Decoding Trigger Mechanism
5. IICA-QL for EEMsMlAJSP
5.1. Initialization of Empires
5.2. Assimilation Based on Q-Learning Adaptive Adjustment of Operator Parameter
| Algorithm 2. Assimilation based on Q-learning adaptive adjustment of operator parameter |
![]() |
5.2.1. Adaptive Adjustment of UX Operator Parameter Based on Q-Learning
5.2.2. Update Strategy
5.3. Revolution Based on Hyper-Heuristic Variable Neighborhood Search
| Algorithm 3. Revolution based on hyper-heuristic variable neighborhood search |
![]() |
5.3.1. Neighborhood Search (NS) Operations
5.3.2. Two-Dimensional Probability Model
5.4. Joint Imperialist Invasion
| Algorithm 4. Joint imperialist invasion |
![]() |
5.5. Algorithm Description
6. Experimental Results and Discussion
6.1. Performance Metrics
- (1)
- Solution set Coverage (C-metric). This metric measures the dominance relationship between two solution sets and is defined as follows:
- (2)
- Generational Distance (GD).
- (3)
- Hypervolume (HV)
6.2. Parameter Settings
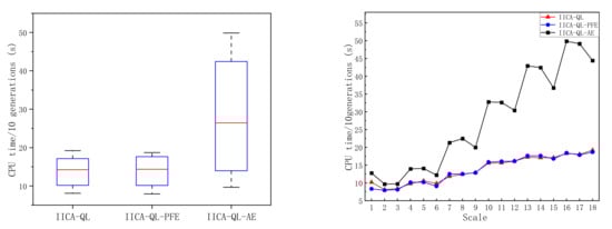
6.3. The Effectiveness of the Adaptive Trigger Mechanism for the Energy-Efficient Strategy
6.4. Effectiveness of Operator Parameter Adaptive Adjustment Based on Q-Learning
6.5. Comparison with Other Algorithms
6.6. Discussion
- (1)
- The energy-efficient decoding trigger mechanism is one of the key innovations of the IICA-QL. This mechanism ensures that, while maintaining high-quality solutions, the search process is significantly accelerated. This approach not only maintains the quality of the solutions but also expedites the convergence process, allowing the algorithm to explore the solution space more efficiently.
- (2)
- IICA-QL achieves a balance between exploration and exploitation by using Q-learning to dynamically adjust operator parameters based on search feedback. This adaptive mechanism helps the algorithm explore new areas while refining high-quality solutions, ensuring efficient convergence, maintaining diversity, and avoiding premature stagnation.
7. Conclusions
Author Contributions
Funding
Institutional Review Board Statement
Informed Consent Statement
Data Availability Statement
Acknowledgments
Conflicts of Interest
References
- He, L.; Chiong, R.; Li, W.; Dhakal, S.; Cao, Y.; Zhang, Y. Multiobjective Optimization of Energy-Efficient JOB-Shop Scheduling with Dynamic Reference Point-Based Fuzzy Relative Entropy. IEEE Trans. Ind. Inform. 2022, 18, 600–610. [Google Scholar] [CrossRef]
- Duan, J. Energy-Efficient Collaborative Scheduling of Heterogeneous Multi-Stage Hybrid Flowshop for Large Metallic Component Manufacturing. J. Clean. Prod. 2022, 375, 134148. [Google Scholar] [CrossRef]
- Zhu, Z.; Zhou, X.; Cao, D.; Li, M. A Shuffled Cellular Evolutionary Grey Wolf Optimizer for Flexible Job Shop Scheduling Problem with Tree-Structure Job Precedence Constraints. Appl. Soft Comput. 2022, 125, 109235. [Google Scholar] [CrossRef]
- Zhao, F.; He, X.; Wang, L. A Two-Stage Cooperative Evolutionary Algorithm with Problem-Specific Knowledge for Energy-Efficient Scheduling of No-Wait Flow-Shop Problem. IEEE Trans. Cybern. 2021, 51, 5291–5303. [Google Scholar] [CrossRef]
- Wang, W.; Tian, G.; Zhang, H.; Li, Z.; Zhang, L. A Hybrid Genetic Algorithm with Multiple Decoding Methods for Energy-Aware Remanufacturing System Scheduling Problem. Robot. Comput.-Integr. Manuf. 2023, 81, 102509. [Google Scholar] [CrossRef]
- Cao, S.; Li, R.; Gong, W.; Lu, C. Inverse Model and Adaptive Neighborhood Search Based Cooperative Optimizer for Energy-Efficient Distributed Flexible Job Shop Scheduling. Swarm Evol. Comput. 2023, 83, 101419. [Google Scholar] [CrossRef]
- Wang, Y.-J.; Li, J.; Wang, G.-G. Fuzzy Correlation Entropy-Based NSGA-II for Energy-Efficient Hybrid Flow-Shop Scheduling Problem. Knowl.-Based Syst. 2023, 277, 110808. [Google Scholar] [CrossRef]
- Li, R.; Gong, W.; Wang, L.; Lu, C.; Zhuang, X. Surprisingly Popular-Based Adaptive Memetic Algorithm for Energy-Efficient Distributed Flexible Job Shop Scheduling. IEEE Trans. Cybern. 2023, 53, 8013–8023. [Google Scholar] [CrossRef]
- Li, Y.; Yang, Z.; Wang, L.; Tang, H.; Sun, L.; Guo, S. A Hybrid Imperialist Competitive Algorithm for Energy-Efficient Flexible Job Shop Scheduling Problem with Variable-Size Sublots. Comput. Ind. Eng. 2022, 172, 108641. [Google Scholar] [CrossRef]
- Lei, D.; Li, J. Distributed Energy-Efficient Assembly Scheduling Problem with Transportation Capacity. Symmetry 2022, 14, 2225. [Google Scholar] [CrossRef]
- Hu, Y.; Zhang, L.; Zhang, Z.; Li, Z.; Tang, Q. Matheuristic and Learning-Oriented Multi-Objective Artificial Bee Colony Algorithm for Energy-Aware Flexible Assembly Job Shop Scheduling Problem. Eng. Appl. Artif. Intell. 2024, 133, 108634. [Google Scholar] [CrossRef]
- Wang, J.; Tang, H.; Lei, D. A Q-Learning Artificial Bee Colony for Distributed Assembly Flow Shop Scheduling with Factory Eligibility, Transportation Capacity and Setup Time. Eng. Appl. Artif. Intell. 2023, 123, 106230. [Google Scholar] [CrossRef]
- Wang, J.; Lei, D.; Cai, J. An Adaptive Artificial Bee Colony with Reinforcement Learning for Distributed Three-Stage Assembly Scheduling with Maintenance. Appl. Soft Comput. 2022, 117, 108371. [Google Scholar] [CrossRef]
- Cheng, L.; Tang, Q.; Liu, S.; Zhang, L. Mathematical Model and Augmented Simulated Annealing Algorithm for Mixed-Model Assembly Job Shop Scheduling Problem with Batch Transfer. Knowl.-Based Syst. 2023, 279, 110968. [Google Scholar] [CrossRef]
- Cheng, L.; Tang, Q.; Zhang, L. Production Costs and Total Completion Time Minimization for Three-Stage Mixed-Model Assembly Job Shop Scheduling with Lot Streaming and Batch Transfer. Eng. Appl. Artif. Intell. 2024, 130, 107729. [Google Scholar] [CrossRef]
- Chen, J.; Wang, L.; Peng, Z. A Collaborative Optimization Algorithm for Energy-Efficient Multi-Objective Distributed No-Idle Flow-Shop Scheduling. Swarm Evol. Comput. 2019, 50, 100557. [Google Scholar] [CrossRef]
- Fontes, D.B.M.M.; Homayouni, S.M.; Fernandes, J.C. Energy-Efficient Job Shop Scheduling Problem with Transport Resources Considering Speed Adjustable Resources. Int. J. Prod. Res. 2022, 62, 867–890. [Google Scholar] [CrossRef]
- Gong, G.; Chiong, R.; Deng, Q.; Gong, X.; Lin, W.; Han, W.; Zhang, L. A Two-Stage Memetic Algorithm for Energy-Efficient Flexible Job Shop Scheduling by Means of Decreasing the Total Number of Machine Restarts. Swarm Evol. Comput. 2022, 75, 101131. [Google Scholar] [CrossRef]
- Wang, J.-J.; Wang, L. A Cooperative Memetic Algorithm with Learning-Based Agent for Energy-Aware Distributed Hybrid Flow-Shop Scheduling. IEEE Trans. Evol. Comput. 2022, 26, 461–475. [Google Scholar] [CrossRef]
- Meng, L.; Zhang, C.; Zhang, B.; Gao, K.; Ren, Y.; Sang, H. MILP Modeling and Optimization of Multi-Objective Flexible Job Shop Scheduling Problem with Controllable Processing Times. Swarm Evol. Comput. 2023, 82, 101374. [Google Scholar] [CrossRef]
- Li, M.; Lei, D. An Imperialist Competitive Algorithm with Feedback for Energy-Efficient Flexible Job Shop Scheduling with Transportation and Sequence-Dependent Setup Times. Eng. Appl. Artif. Intell. 2021, 103, 104307. [Google Scholar] [CrossRef]
- Lei, D.; Li, M.; Wang, L. A Two-Phase Meta-Heuristic for Multiobjective Flexible Job Shop Scheduling Problem with Total Energy Consumption Threshold. IEEE Trans. Cybern. 2019, 49, 1097–1109. [Google Scholar] [CrossRef] [PubMed]
- Li, M.; Lei, D.; Cai, J. Two-Level Imperialist Competitive Algorithm for Energy-Efficient Hybrid Flow Shop Scheduling Problem with Relative Importance of Objectives. Swarm Evol. Comput. 2019, 49, 34–43. [Google Scholar] [CrossRef]
- Zhou, R.; Lei, D.; Zhou, X. Multi-Objective Energy-Efficient Interval Scheduling in Hybrid Flow Shop Using Imperialist Competitive Algorithm. IEEE Access 2019, 7, 85029–85041. [Google Scholar] [CrossRef]
- Chen, Y.; Zhong, J.; Mumtaz, J.; Zhou, S.; Zhu, L. An Improved Spider Monkey Optimization Algorithm for Multi-Objective Planning and Scheduling Problems of PCB Assembly Line. Expert Syst. Appl. 2023, 229, 120600. [Google Scholar] [CrossRef]
- Chen, R.; Yang, B.; Li, S.; Wang, S. A Self-Learning Genetic Algorithm Based on Reinforcement Learning for Flexible Job-Shop Scheduling Problem. Comput. Ind. Eng. 2020, 149, 106778. [Google Scholar] [CrossRef]
- Li, R.; Gong, W.; Lu, C.; Wang, L. A Learning-Based Memetic Algorithm for Energy-Efficient Flexible Job-Shop Scheduling with Type-2 Fuzzy Processing Time. IEEE Trans. Evol. Comput. 2023, 27, 610–620. [Google Scholar] [CrossRef]
- Pan, Z.; Wang, L.; Wang, J.; Yu, Y. Distributed Energy-Efficient Flexible Manufacturing with Assembly and Transportation: A Knowledge-Based Bi-Hierarchical Optimization Approach. IEEE Trans. Autom. Sci. Eng. 2024. [Google Scholar] [CrossRef]
- Zou, P.; Rajora, M.; Liang, S.Y. A New Algorithm Based on Evolutionary Computation for Hierarchically Coupled Constraint Optimization: Methodology and Application to Assembly Job-Shop Scheduling. J. Sched. 2018, 21, 545–563. [Google Scholar] [CrossRef]
- Zhu, Z.; Zhou, X. An Efficient Evolutionary Grey Wolf Optimizer for Multi-Objective Flexible Job Shop Scheduling Problem with Hierarchical Job Precedence Constraints. Comput. Ind. Eng. 2020, 140, 106280. [Google Scholar] [CrossRef]
- Li, J.; Han, Y.; Gao, K.; Xiao, X.; Duan, P. Bi-Population Balancing Multi-Objective Algorithm for Fuzzy Flexible Job Shop with Energy and Transportation. IEEE Trans. Autom. Sci. Eng. 2023, 21, 4686–4702. [Google Scholar] [CrossRef]
- Ming, M.; Trivedi, A.; Wang, R.; Srinivasan, D.; Zhang, T. A Dual-Population-Based Evolutionary Algorithm for Constrained Multiobjective Optimization. IEEE Trans. Evol. Comput. 2021, 25, 739–753. [Google Scholar] [CrossRef]
- Cheng, L.; Tang, Q.; Zhang, L.; Meng, K. Mathematical Model and Enhanced Cooperative Co-Evolutionary Algorithm for Scheduling Energy-Efficient Manufacturing Cell. J. Clean. Prod. 2021, 326, 129248. [Google Scholar] [CrossRef]
- Wang, J.; Wang, L.; Xiu, X. A Cooperative Memetic Algorithm for Energy-Aware Distributed Welding Shop Scheduling Problem. Eng. Appl. Artif. Intell. 2023, 120, 105877. [Google Scholar] [CrossRef]
- Ren, W.; Wen, J.; Yan, Y.; Hu, Y.; Guan, Y.; Li, J. Multi-Objective Optimisation for Energy-Aware Flexible Job-Shop Scheduling Problem with Assembly Operations. Int. J. Prod. Res. 2021, 59, 7216–7231. [Google Scholar] [CrossRef]











| Notations | Descriptions |
|---|---|
| Indices | |
| Index of products, | |
| Index of jobs, | |
| Index of processing operations, | |
| Index of assembly operations, | |
| Index of processing machines, | |
| Index of transportation vehicles, | |
| Index of transportation vehicle load transportation, | |
| Index of assembly machines, | |
| Parameters | |
| Set of processing machines, | |
| Set of transportation vehicles, | |
| Set of assembly machine, | |
| Set of products, | |
| Number of products | |
| Number of jobs | |
| Number of processing operations | |
| Number of assembly operations | |
| Number of processing machines | |
| Number of transportation vehicles | |
| Number of assembly machines | |
| Number of operations on processing machine m and assembly machine k | |
| Number of load transportations by vehicle t | |
| Maximum load capacity of vehicle | |
| Job indexed by j, set of all jobs belonging to | |
| i-th processing operation of , set of all operations of | |
| a-th assembly operation and set of assembly operations of | |
| Set of machines available for processing operation | |
| Unit power consumption of processing machine m and assembly machine k in working mode | |
| Unit power consumption of processing machine m and assembly machine k in standby mode | |
| Unit power consumption of processing machine m in setup mode | |
| Unit power consumption of transportation vehicle t | |
| Distance between processing shop and assembly shop | |
| Speed of transportation vehicles when unloaded and speed of transportation vehicle t during w-th load transportation | |
| Processing time of operation and | |
| Setup time of operation and | |
| Idle time between operation and excluding setup time | |
| Idle time between operation and | |
| Release time of job | |
| Decision variables | |
| Sequence of operations on processing machine m | |
| Sequence of operations on assembly machine k | |
| Sequence of operations on processing stage, transportation stage, and assembly stage | |
| Start time and completion time of operation | |
| Release energy consumption, setup energy consumption, processing energy consumption, and idle energy consumption in processing stage | |
| Assembly energy consumption and idle energy consumption in assembly stage | |
| Energy consumption in processing stage, transportation stage, and assembly stage | |
| Maximum completion time of schedule | |
| TEC | Total energy consumption |
| Parameter | Notation | Factor Level | ||
|---|---|---|---|---|
| 1 | 2 | 3 | ||
| Ps | population size | 50 | 100 | 150 |
| Nim | number of imperialists | 3 | 5 | 7 |
| Pa | assimilation probability | 0.7 | 0.8 | 0.9 |
| Pr | revolutionary probability | 0.1 | 0.2 | 0.3 |
| α | learning rate | 0.1 | 0.2 | 0.3 |
| γ | discount factor | 0.7 | 0.8 | 0.9 |
| ε | greed factor | 0.3 | 0.6 | 0.9 |
| Level | Ps | Nim | Pa | Pr | α | γ | ε |
|---|---|---|---|---|---|---|---|
| 1 | 0.7855 | 0.7943 | 0.7786 | 0.7912 | 0.7868 | 0.7844 | 0.7851 |
| 2 | 0.7986 | 0.7814 | 0.7923 | 0.7838 | 0.7926 | 0.7856 | 0.7974 |
| 3 | 0.7786 | 0.7869 | 0.7917 | 0.7877 | 0.7832 | 0.7926 | 0.7801 |
| Delta | 0.0200 | 0.0130 | 0.0138 | 0.0074 | 0.0094 | 0.0083 | 0.0174 |
| Rank | 1 | 4 | 3 | 7 | 5 | 6 | 2 |
| O/J/A_M/T/K | C-Metric | GD | HV | |||||||
|---|---|---|---|---|---|---|---|---|---|---|
| C(A,B) | C(B,A) | C(A,C) | C(C,A) | A | B | C | A | B | C | |
| 25/13/22_2/2/2 | 0.3839 | 0.0400 | 0.2750 | 0.1600 | 0.0020 | 0.1062 | 0.0373 | 0.5436 | 0.5218 | 0.6807 |
| 25/13/22_3/2/2 | 0.6563 | 0.1050 | 0.2900 | 0.1409 | 0.0339 | 0.1394 | 0.0548 | 0.6450 | 0.5321 | 0.6181 |
| 25/13/22_3/3/3 | 0.4100 | 0.2100 | 0.3000 | 0.2000 | 0.0717 | 0.1468 | 0.1030 | 0.6490 | 0.5082 | 0.5965 |
| 44/23/39_2/2/2 | 0.5657 | 0.1820 | 0.3150 | 0.3000 | 0.0574 | 0.1509 | 0.0588 | 0.5470 | 0.3884 | 0.6212 |
| 44/23/39_3/2/2 | 0.4458 | 0.1650 | 0.3700 | 0.3450 | 0.0731 | 0.2145 | 0.1015 | 0.7129 | 0.3520 | 0.6705 |
| 44/23/39_3/3/3 | 0.5582 | 0.1350 | 0.3400 | 0.3133 | 0.1082 | 0.2129 | 0.0442 | 0.7045 | 0.3352 | 0.7143 |
| 82/42/71_2/2/2 | 0.4906 | 0.3996 | 0.5576 | 0.2904 | 0.1522 | 0.1231 | 0.1915 | 0.6359 | 0.5231 | 0.5631 |
| 82/42/71_3/2/2 | 0.7106 | 0.0514 | 0.4873 | 0.2845 | 0.0939 | 0.2222 | 0.0962 | 0.7420 | 0.4404 | 0.6939 |
| 82/42/71_3/3/3 | 0.4310 | 0.0681 | 0.2775 | 0.5630 | 0.1586 | 0.1963 | 0.0408 | 0.6667 | 0.2430 | 0.7947 |
| 135/70/120_3/3/3 | 0.4000 | 0.1630 | 0.5083 | 0.2593 | 0.0631 | 0.1542 | 0.0957 | 0.6700 | 0.3284 | 0.5469 |
| 135/70/120_4/3/3 | 0.2657 | 0.3518 | 0.4769 | 0.3038 | 0.1423 | 0.0738 | 0.1619 | 0.7283 | 0.6271 | 0.6485 |
| 135/70/120_4/3/4 | 0.3667 | 0.1672 | 0.5594 | 0.3510 | 0.0932 | 0.1349 | 0.1270 | 0.7616 | 0.4698 | 0.6264 |
| 173/88/151_3/3/3 | 0.6350 | 0.0258 | 0.7278 | 0.1113 | 0.0119 | 0.1721 | 0.1469 | 0.7686 | 0.1946 | 0.4786 |
| 173/88/151_4/3/3 | 0.6333 | 0.1595 | 0.8169 | 0.1060 | 0.0669 | 0.0912 | 0.2302 | 0.7864 | 0.4832 | 0.4958 |
| 173/88/151_4/3/4 | 0.3667 | 0.1445 | 0.7105 | 0.1496 | 0.0328 | 0.0415 | 0.1221 | 0.8258 | 0.5409 | 0.6232 |
| 202/104/175_3/3/3 | 0.4300 | 0.1385 | 0.3846 | 0.3389 | 0.0611 | 0.1018 | 0.0579 | 0.7153 | 0.2788 | 0.5539 |
| 202/104/175_4/3/3 | 0.4333 | 0.1494 | 0.8427 | 0.1018 | 0.0283 | 0.0734 | 0.1721 | 0.7675 | 0.4303 | 0.5742 |
| 202/104/175_4/3/4 | 0.4500 | 0.1076 | 0.6800 | 0.1413 | 0.0248 | 0.1309 | 0.0936 | 0.7295 | 0.2392 | 0.5453 |
| Mean | 0.4796 | 0.1535 | 0.4955 | 0.2478 | 0.0709 | 0.1381 | 0.1075 | 0.7000 | 0.4131 | 0.6137 |
| O/J/A_M/T/K | CPU Time/10 Generations (s) | ||
|---|---|---|---|
| IICA-QL | IICA-QL-PFE | IICA-QL-AE | |
| 25/13/22_2/2/2 | 10.1695 | 8.3333 | 12.7660 |
| 25/13/22_3/2/2 | 8.1006 | 7.9235 | 9.6667 |
| 25/13/22_3/3/3 | 8.3721 | 8.1081 | 9.7297 |
| 44/23/39_2/2/2 | 9.7696 | 10.1435 | 13.9474 |
| 44/23/39_3/2/2 | 10.5785 | 10.1992 | 14.0659 |
| 44/23/39_3/3/3 | 9.8452 | 9.0857 | 12.1839 |
| 82/42/71_2/2/2 | 11.8182 | 12.5000 | 21.3115 |
| 82/42/71_3/2/2 | 12.4211 | 12.5199 | 22.4762 |
| 82/42/71_3/3/3 | 12.8855 | 12.8571 | 19.9659 |
| 135/70/120_3/3/3 | 15.5887 | 15.8373 | 32.7723 |
| 135/70/120_4/3/3 | 15.6354 | 16.0340 | 32.6225 |
| 135/70/120_4/3/4 | 16.1133 | 16.1133 | 30.3883 |
| 173/88/151_3/3/3 | 17.2385 | 17.6320 | 42.9167 |
| 173/88/151_4/3/3 | 17.0788 | 17.6345 | 42.4398 |
| 173/88/151_4/3/4 | 17.1053 | 16.7922 | 36.7059 |
| 202/104/175_3/3/3 | 18.2660 | 18.4342 | 49.8577 |
| 202/104/175_4/3/3 | 18.0452 | 17.8635 | 49.1385 |
| 202/104/175_4/3/4 | 19.1857 | 18.6786 | 44.3970 |
| Mean | 13.7898 | 13.7050 | 27.6306 |
| O/J/A_M/T/K | C-Metric | GD | HV | |||
|---|---|---|---|---|---|---|
| IICA-QL(A) | IICA-nQL (B) | IICA-QL | IICA-nQL | IICA-QL | IICA-nQL | |
| C(A,B) | C(B,A) | |||||
| 25/13/22_2/2/2 | 0.3206 | 0.3050 | 0.0471 | 0.0585 | 0.6789 | 0.6848 |
| 25/13/22_3/2/2 | 0.3767 | 0.2617 | 0.0540 | 0.0669 | 0.6966 | 0.6940 |
| 25/13/22_3/3/3 | 0.3937 | 0.2950 | 0.0861 | 0.1289 | 0.7014 | 0.6438 |
| 44/23/39_2/2/2 | 0.3283 | 0.3679 | 0.0627 | 0.0633 | 0.7132 | 0.6424 |
| 44/23/39_3/2/2 | 0.3922 | 0.3344 | 0.0373 | 0.1339 | 0.7103 | 0.6975 |
| 44/23/39_3/3/3 | 0.5367 | 0.3250 | 0.0622 | 0.1823 | 0.7490 | 0.6484 |
| 82/42/71_2/2/2 | 0.5235 | 0.2410 | 0.0253 | 0.1227 | 0.7581 | 0.6368 |
| 82/42/71_3/2/2 | 0.4920 | 0.3293 | 0.0297 | 0.0703 | 0.7999 | 0.7471 |
| 82/42/71_3/3/3 | 0.4343 | 0.3915 | 0.0928 | 0.1081 | 0.7274 | 0.7228 |
| 135/70/120_3/3/3 | 0.6492 | 0.3096 | 0.0351 | 0.0767 | 0.7898 | 0.7387 |
| 135/70/120_4/3/3 | 0.5101 | 0.3000 | 0.0383 | 0.0632 | 0.7579 | 0.7362 |
| 135/70/120_4/3/4 | 0.5018 | 0.4549 | 0.0406 | 0.0647 | 0.7681 | 0.7496 |
| 173/88/151_3/3/3 | 0.5481 | 0.3214 | 0.0431 | 0.0605 | 0.7361 | 0.7087 |
| 173/88/151_4/3/3 | 0.6261 | 0.3101 | 0.0342 | 0.1021 | 0.7803 | 0.7031 |
| 173/88/151_4/3/4 | 0.4405 | 0.4014 | 0.0472 | 0.1128 | 0.8402 | 0.7989 |
| 202/104/175_3/3/3 | 0.5780 | 0.2200 | 0.0200 | 0.1030 | 0.7784 | 0.6613 |
| 202/104/175_4/3/3 | 0.6417 | 0.2254 | 0.0232 | 0.1256 | 0.8142 | 0.6995 |
| 202/104/175_4/3/4 | 0.6208 | 0.3661 | 0.0353 | 0.0846 | 0.8250 | 0.7784 |
| Mean | 0.4952 | 0.3200 | 0.0452 | 0.0960 | 0.7569 | 0.7051 |
| O/J/A_M/T/K | GD | HV | ||||||
|---|---|---|---|---|---|---|---|---|
| IICA-QL | BPBMO | PSO-GA | KBOA | IICA-QL | BPBMO | PSO-GA | BOA | |
| 25/13/22_2/2/2 | 0.0028 | 0.2698 | 0.3198 | 0.2026 | 0.7888 | 0.4022 | 0.3688 | 0.5433 |
| 25/13/22_3/2/2 | 0.0174 | 0.1952 | 0.3166 | 0.2087 | 0.8628 | 0.5660 | 0.4059 | 0.5858 |
| 25/13/22_3/3/3 | 0.0021 | 0.4099 | 0.3654 | 0.2204 | 0.8997 | 0.3544 | 0.3958 | 0.5970 |
| 44/23/39_2/2/2 | 0.0034 | 0.3417 | 0.3449 | 0.2514 | 0.8786 | 0.3625 | 0.3508 | 0.4630 |
| 44/23/39_3/2/2 | 0.0017 | 0.4248 | 0.5155 | 0.3644 | 0.9560 | 0.4654 | 0.3790 | 0.5477 |
| 44/23/39_3/3/3 | 0 | 0.4992 | 0.3343 | 0.1943 | 0.9531 | 0.3060 | 0.3785 | 0.6688 |
| 82/42/71_2/2/2 | 0.0013 | 0.2599 | 0.4022 | 0.2959 | 0.8988 | 0.5376 | 0.3174 | 0.4242 |
| 82/42/71_3/2/2 | 0.0127 | 0.1507 | 0.3259 | 0.1707 | 0.8421 | 0.4690 | 0.3655 | 0.4644 |
| 82/42/71_3/3/3 | 0.0075 | 0.3547 | 0.3316 | 0.0941 | 0.7589 | 0.3434 | 0.3313 | 0.4765 |
| 135/70/120_3/3/3 | 0.0003 | 0.0777 | 0.3235 | 0.2528 | 0.7709 | 0.3298 | 0.2637 | 0.4445 |
| 135/70/120_4/3/3 | 0.0005 | 0.3859 | 0.4102 | 0.4588 | 0.9723 | 0.4449 | 0.3878 | 0.3356 |
| 135/70/120_4/3/4 | 0.0010 | 0.2352 | 0.4640 | 0.2639 | 0.9323 | 0.6075 | 0.3326 | 0.2695 |
| 173/88/151_3/3/3 | 0.0031 | 0.1326 | 0.2997 | 0.2859 | 0.8063 | 0.3339 | 0.3163 | 0.4845 |
| 173/88/151_4/3/3 | 0 | 0.0733 | 0.2559 | 0.1525 | 0.7225 | 0.3928 | 0.3541 | 0.4779 |
| 173/88/151_4/3/4 | 0.0117 | 0.0677 | 0.3560 | 0.2144 | 0.7672 | 0.6232 | 0.3032 | 0.3667 |
| 202/104/175_3/3/3 | 0 | 0.0676 | 0.2872 | 0.2337 | 0.8153 | 0.3370 | 0.2904 | 0.4662 |
| 202/104/175_4/3/3 | 0.0049 | 0.0878 | 0.2991 | 0.1570 | 0.7052 | 0.3648 | 0.2861 | 0.4667 |
| 202/104/175_4/3/4 | 0.0217 | 0.0575 | 0.3204 | 0.2630 | 0.7515 | 0.6474 | 0.3274 | 0.4378 |
| Mean | 0.0051 | 0.2273 | 0.3485 | 0.2380 | 0.8379 | 0.4382 | 0.3419 | 0.4733 |
Disclaimer/Publisher’s Note: The statements, opinions and data contained in all publications are solely those of the individual author(s) and contributor(s) and not of MDPI and/or the editor(s). MDPI and/or the editor(s) disclaim responsibility for any injury to people or property resulting from any ideas, methods, instructions or products referred to in the content. |
© 2024 by the authors. Licensee MDPI, Basel, Switzerland. This article is an open access article distributed under the terms and conditions of the Creative Commons Attribution (CC BY) license (https://creativecommons.org/licenses/by/4.0/).
Share and Cite
Dong, Y.; Liao, W.; Xu, G. Multi-Objective Optimization of Energy-Efficient Multi-Stage, Multi-Level Assembly Job Shop Scheduling. Appl. Sci. 2024, 14, 8712. https://doi.org/10.3390/app14198712
Dong Y, Liao W, Xu G. Multi-Objective Optimization of Energy-Efficient Multi-Stage, Multi-Level Assembly Job Shop Scheduling. Applied Sciences. 2024; 14(19):8712. https://doi.org/10.3390/app14198712
Chicago/Turabian StyleDong, Yingqian, Weizhi Liao, and Guodong Xu. 2024. "Multi-Objective Optimization of Energy-Efficient Multi-Stage, Multi-Level Assembly Job Shop Scheduling" Applied Sciences 14, no. 19: 8712. https://doi.org/10.3390/app14198712
APA StyleDong, Y., Liao, W., & Xu, G. (2024). Multi-Objective Optimization of Energy-Efficient Multi-Stage, Multi-Level Assembly Job Shop Scheduling. Applied Sciences, 14(19), 8712. https://doi.org/10.3390/app14198712





