Seismic Design and Ductility Evaluation of Thin-Walled Stiffened Steel Square Box Columns
Abstract
1. Introduction
2. Characteristics of Thin-Walled Stiffened Steel Square Box Columns
3. Finite Element Analysis
3.1. Brief Description of the 2SM Model
3.2. Loading Description
3.3. FE Meshing
4. Numerical Results
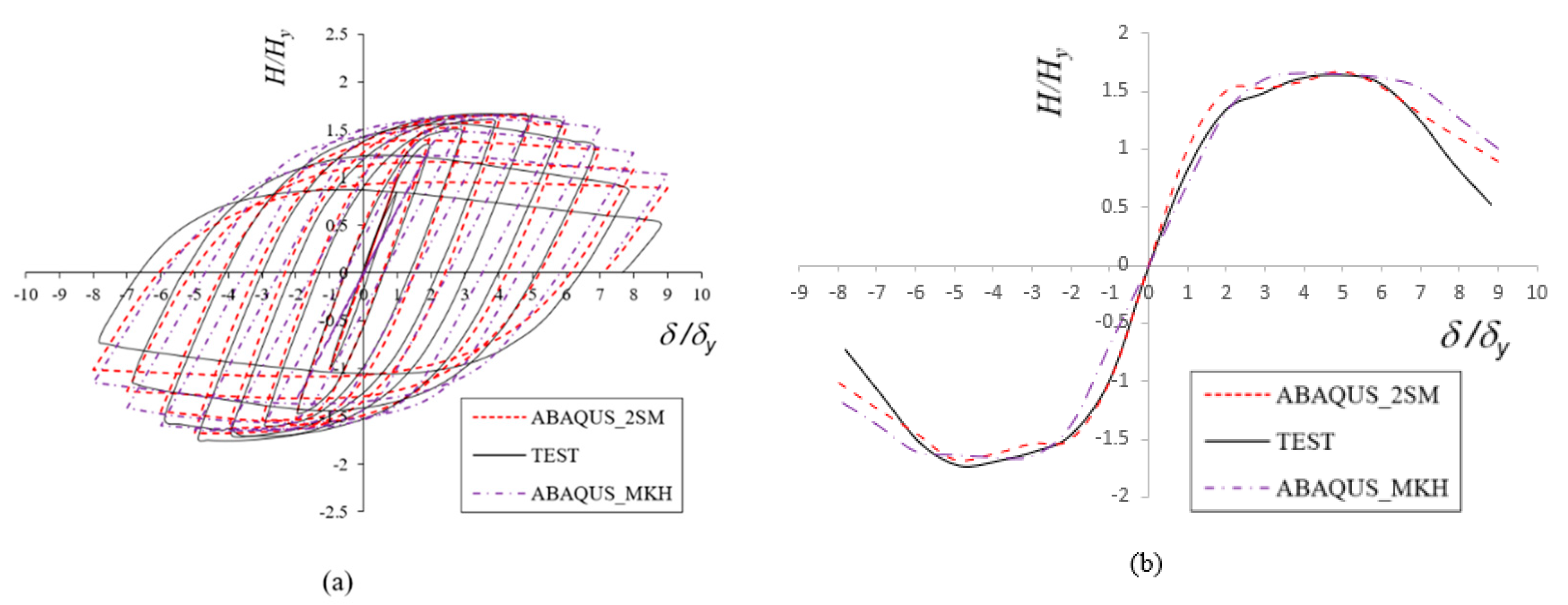
4.1. FE Model Validation for Column TPRC9-9
4.2. Model Validation for Column B1
4.3. Comparison of Material Model Performance
5. Parametric Study
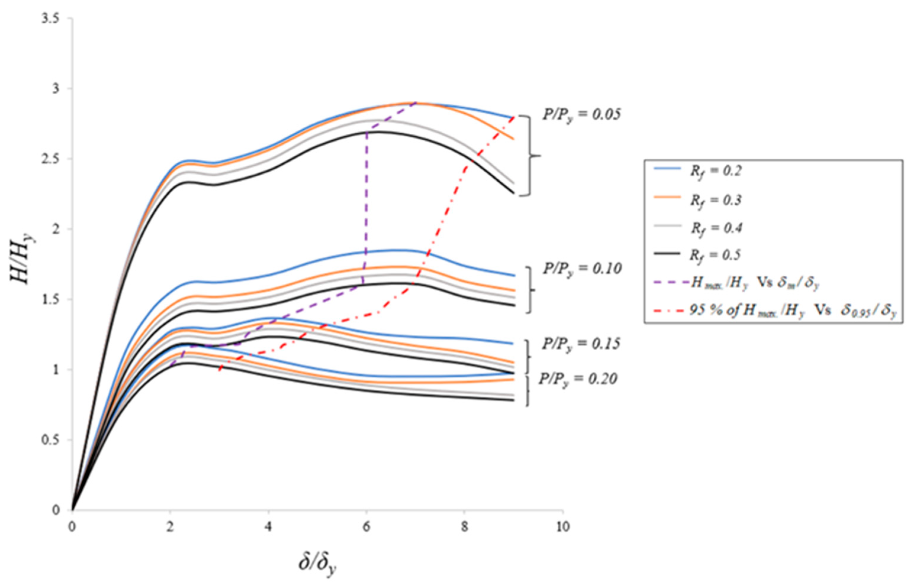
5.1. Effect of Width-to-Thickness Ratio Parameter (Rf)
5.2. Effect of Slenderness Ratio Parameter (λ)
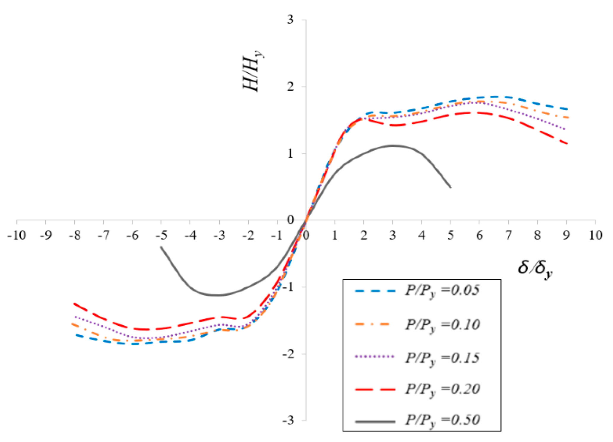
5.3. Effect of P/Py
5.4. Post-Buckling Behavior of the Columns
6. Proposed Design Equations
Application of the Proposed Design Equations
7. Conclusions
Author Contributions
Funding
Institutional Review Board Statement
Informed Consent Statement
Data Availability Statement
Conflicts of Interest
References
- EN 10219-1; Cold-Formed Welded Structural Hollow Sections of Non-Alloy and Fine-Grain Steels. Technical Delivery Requirements; European Committee for Standardization (CEN): Brussels, Belgium, 2006.
- Usami, T. Interim Guidelines and New Technologies for Seismic Design of Steel Structures; Committee on New Technology for Steel Structures, Japanese Society of Civil Engineers: Tokyo, Japan, 1996. (In Japanese) [Google Scholar]
- Nishikawa, K.; Yamamoto, S.; Natori, T.; Terao, K.; Yasunami, H.; Terada, M. Retrofitting for Seismic Upgrading of Steel Bridge Columns. Eng. Struct. 1998, 20, 540–551. [Google Scholar] [CrossRef]
- Kawashima, K.; Hasegawa, K.; MacRae, G.A.; Ikeuchi, T. Ductility of Steel Bridge Piers from Dynamic Loading Tests. In Stability of Steel Structures under Cyclic Loading; Fukumoto, T., Lee, G.C., Eds.; CRC Press: Boca Raton, FL, USA, 1992. [Google Scholar]
- MacRae, G.A.; Kawashima, K. Estimation of the Deformation Capacity of Steel Bridge Piers. In Stability of Steel Structures under Cyclic Loading; Fukumoto, T., Lee, G.C., Eds.; CRC Press: Boca Raton, FL, USA, 1992. [Google Scholar]
- Mamaghani, I.H.P. Cyclic Elastoplastic Behavior of Steel Structures: Theory and Experiments. Ph.D. Dissertation, Nagoya University, Nagoya, Japan, 1996. [Google Scholar]
- Meng, X.; Whitfield, S.; Boudjabeur, S.; Gardner, L. Stability of Hot-finished and Cold-formed Steel Hollow Section Columns: A Comparative Study. Structures 2024, 68, 107192. [Google Scholar] [CrossRef]
- Rondal, J.; Maquoi, R. Stub-Column Strength of Thin-walled Square and Rectangular Hollow Sections. Thin-Walled Struct. 1985, 3, 15–34. [Google Scholar] [CrossRef]
- Meng, X.; Gardner, L. Cross-sectional Behaviour of Cold-formed High Strength Steel Circular Hollow Sections. Thin-Walled Struct. 2020, 156, 106822. [Google Scholar] [CrossRef]
- Yang, L.; Yin, F.; Wang, J.; Bilal, A.; Ahmed, A.H.; Lin, M. Local Buckling Resistances of Cold-formed High-Strength Steel SHS and RHS with Varying Corner Radius. Thin-Walled Struct. 2022, 172, 108909. [Google Scholar] [CrossRef]
- Wang, J.; Afshan, S.; Schillo, N.; Theofanous, M.; Feldmann, M.; Gardner, L. Material Properties and Compressive Local Buckling Response of High Strength Steel Square and Rectangular Hollow Sections. Eng. Struct. 2017, 130, 297–315. [Google Scholar] [CrossRef]
- Ma, J.L.; Chan, T.M.; Young, B. Experimental Investigation on Stub-column Behavior of Cold-formed High-Strength Steel Tubular Sections. J. Struct. Eng. 2016, 142, 04015174. [Google Scholar] [CrossRef]
- Wang, J.; Gardner, L. Flexural Buckling of Hot-finished High-strength Steel SHS and RHS Columns. J. Struct. Eng. 2017, 143, 04017028. [Google Scholar] [CrossRef]
- Zhao, O.; Gardner, L.; Young, B. Testing and Numerical Modelling of Austenitic Stainless Steel CHS Beam-Columns. Eng. Struct. 2016, 111, 263–274. [Google Scholar] [CrossRef]
- Goto, Y.; Koyama, R.; Fujll, Y.; Obata, M. Ultimate State of Thin-Walled Stiffened Rectangular Steel Columns under Bi-Directional Seismic Excitations. Doboku Gakkai Ronbunshuu A 2009, 65, 61–80. [Google Scholar] [CrossRef][Green Version]
- Meng, X.; Gardner, L. Flexural Buckling of Normal and High Strength Steel CHS Columns. Structures 2021, 34, 4364–4375. [Google Scholar] [CrossRef]
- Meng, X.; Gardner, L. Behavior and Design of Normal-and High-strength Steel SHS and RHS Columns. J. Struct. Eng. 2020, 146, 04020227. [Google Scholar] [CrossRef]
- Huang, Y.; Young, B. Structural Performance of Cold-formed Lean Duplex Stainless Steel Columns. Thin-Walled Struct. 2014, 83, 59–69. [Google Scholar] [CrossRef]
- Pournara, A.E.; Karamanos, S.A.; Mecozzi, E.; Lucci, A. Structural Resistance of High-strength Steel CHS Members. J. Constr. Steel Res. 2017, 128, 152–165. [Google Scholar] [CrossRef]
- Zhao, O.; Gardner, L.; Young, B. Behaviour and Design of Stainless Steel SHS and RHS Beam-columns. Thin-Walled Struct. 2016, 106, 330–345. [Google Scholar] [CrossRef]
- Poursadrollah, A.; D’Aniello, M.; Landolfo, R. Experimental and Numerical Tests of Cold-formed Square and Rectangular Hollow Columns. Eng. Struct. 2022, 273, 115095. [Google Scholar] [CrossRef]
- Yuan, H.X.; Wang, Y.Q.; Gardner, L.; Shi, Y.J. Local-overall Interactive Buckling of Welded Stainless-Steel Box Section Compression Members. Eng. Struct. 2014, 67, 62–76. [Google Scholar] [CrossRef]
- Yang, L.; Shi, G.; Zhao, M.; Zhou, W. Research on interactive buckling behavior of welded steel box-section columns. Thin-Walled Struct. 2017, 115, 34–47. [Google Scholar] [CrossRef]
- Schillo, N.; Feldmann, M. Interaction of local and global buckling of box sections made of high strength steel. Thin-Walled Struct. 2018, 128, 126–140. [Google Scholar] [CrossRef]
- Fukumoto, Y. Cyclic Performance Assessment of Stiffened Box Columns with Thickness Tapered Plates. In Proceedings of the 2004 Annual Stability Conference, SSRC, Long Beach, CA, USA, 24–27 March 2004; SSRC 2004 Beedle Award Paper. pp. 1–18. [Google Scholar]
- Key, P.W.; Hasan, S.W.; Hancock, G.J. Column Behavior of Cold-formed Hollow Sections. J. Struct. Eng. 1988, 114, 390–407. [Google Scholar] [CrossRef]
- Zhou, F.; Huang, L.; Li, H.T. Cold-Formed Stainless Steel SHS, and RHS Columns Subjected to Local-flexural Interactive Buckling. J. Constr. Steel Res. 2022, 188, 106999. [Google Scholar] [CrossRef]
- Yin, F.; Wang, J.; Yang, L.; Kang, N.; Elliott, F. Testing and Design of Cold-formed High Strength Steel Square Hollow Section Columns. J. Constr. Steel Res. 2024, 213, 108394. [Google Scholar] [CrossRef]
- Zhang, X.Z.; Liu, S.; Zhao, M.S.; Chiew, S.P. Comparative Experimental Study of Hot-formed, Hot-finished, and Cold-formed Rectangular Hollow Sections. Case Stud. Struct. Eng. 2016, 6, 115–129. [Google Scholar] [CrossRef]
- Japanese Road Association (JRA). Specification for Highway Bridges; Part V; Japanese Road Association (JRA): Tokyo, Japan, 1996. (In Japanese) [Google Scholar]
- Mamaghani, I.H.P. Seismic Design and Ductility Evaluation of Thin-Walled Steel Bridge Piers of Box Sections. Transp. Res. Rec. J. Transp. Res. Board 2008, 2050, 137–142. [Google Scholar] [CrossRef]
- Bruneau, M. Performance of steel bridges during the 1995 Hyogoken–Nanbu (Kobe, Japan) Earthquake—A North American Perspective. Eng. Struct. 1998, 20, 1063–1078. [Google Scholar] [CrossRef]
- Gao, S.B.; Ge, H.B. Numerical Simulation of Hollow and Concrete-filled Steel Columns. Adv. Steel Constr. 2007, 3, 668–678. [Google Scholar]
- Li, H.; Gao, X.; Liu, Y.; Luo, Y. Seismic Performance of New-type Box Steel Bridge Piers with Embedded Energy-Dissipating Shell Plates under Tri-directional Seismic Coupling Action. Int. J. Steel Struct. 2017, 17, 105–125. [Google Scholar] [CrossRef]
- Gao, S.B.; Usami, T.; Ge, H.B. Ductility Evaluation of Steel Bridge Piers with Pipe Sections. J. Eng. Mech. 1998, 124, 260–267. [Google Scholar] [CrossRef]
- Chiew, S.P.; Lee, S.L.; Shanmugam, N.E. Experimental Study of Thin-walled Steel Box Columns. J. Struct. Eng. 1987, 113, 2208–2220. [Google Scholar] [CrossRef]
- Dewolf, J.T.; Pekoz, T.; Winter, G. Local and Overall Buckling of Cold-formed Members. J. Struct. Eng. 1974, 100, 2017–2036. [Google Scholar] [CrossRef]
- Kitada, T.; Nakai, H.; Matsumura, M.; Kagayama, T. Experimental Study on Seismic Retrofitting Method of Stiffened Plates in Existing Steel Bridge Piers under Cyclic Loading. J. Struct. Eng. 2000, 46, 127–134. (In Japanese) [Google Scholar]
- Al-Kaseasbeh, Q.; Mamaghani, I.H.P. Buckling Strength and Ductility Evaluation of Thin-Walled Steel Tubular Columns with Uniform and Graded Thickness under Cyclic Loading. J. Bridge Eng. 2019, 24, 04018105. [Google Scholar] [CrossRef]
- Mamaghani, I.H.P.; Njiru, M. Buckling Strength of Cold-Formed Stiffened Thin-Walled Steel Box Bridge Piers under Cyclic Loading. Ce/Papers 2023, 6, 1291–1294. [Google Scholar] [CrossRef]
- Mamaghani, I.H.P.; Njiru, M. Strength and Ductility Evaluation of Thin-walled Steel Tubular Bridge Piers under Cyclic Loading. In Proceedings of the International Structural Engineering and Construction, Chicago, IL, USA, 14–18 August 2023; Volume 10. [Google Scholar] [CrossRef]
- Fukumoto, Y. Structural Stability Design—Steel and Composite Structures; Pergamon Press: Oxford, UK, 1997. [Google Scholar]
- Fukumoto, Y.; Uenoya, M.; Nakamura, M.; Saya, H. Cyclic Performance of Stiffened Square Box Columns with Thickness Tapered Plates. Steel Struct. 2003, 3, 107–115. [Google Scholar]
- Zheng, Y.; Usami, T.; Ge, H. Ductility of Thin-Walled Steel Box Stub-Columns. J. Struct. Eng. 2000, 126, 1304–1311. [Google Scholar] [CrossRef]
- Tran, K.L.; Douthe, C.; Sab, K.; Dallot, J.; Davaine, L. Buckling of Stiffened Curved Panels under Uniform Axial Compression. J. Constr. Steel Res. 2014, 103, 140–147. [Google Scholar] [CrossRef]
- Usami, T.; Gao, S.; Ge, H. Elastoplastic Analysis of Steel Members and Frames Subjected to Cyclic Loading. Eng. Struct. 2000, 22, 135–145. [Google Scholar] [CrossRef]
- Lyu, F.; Goto, Y.; Kawanishi, N.; Xu, Y. Three-dimensional Numerical Model for Seismic Analysis of Bridge Systems with Multiple Thin-Walled Partially Concrete-Filled Steel Tubular Columns. J. Struct. Eng. 2020, 146, 04019164. [Google Scholar] [CrossRef]
- Ucak, A.; Tsopelas, P. Accurate Modeling of the Cyclic Response of Structural Components Constructed of Steel with Yield Plateau. Eng. Struct. 2012, 35, 272–280. [Google Scholar] [CrossRef]
- Nigel Priestley, M.J.; Kowalsky, M.J.; Calvi, G.M. Displacement-Based Seismic Design of Bridges. In Bridge Engineering Handbook, 2nd ed.; Chen, W.F., Duan, L., Eds.; CRC Press: Boca Raton, FL, USA, 2014; pp. 217–252. [Google Scholar] [CrossRef]
- Njiru, M.; Mamaghani, I.H.P. Inelastic Behavior of Thin-walled Circular Steel Tubular Columns under Pushover and Cyclic Loading. In Proceedings of the 7th International Conference on Civil, Structural and Transportation Engineering, Niagara Falls, ON, Canada, 5–7 June 2022. [Google Scholar] [CrossRef]
- Chatzopoulou, G.; Karamanos, S.A. Numerical Implementation of a Bounding-surface Model for Simulating the Cyclic Inelastic Response of Metal Piping Components. Finite Elem. Anal. Des. 2021, 185, 103493. [Google Scholar] [CrossRef]
- Smith, M. ABAQUS/Standard User’s Manual, Version 6.9; Dassault Systèmes: Providence, RI, USA, 2009; Available online: https://www.3ds.com/products-services/simulia/products/abaqus/ (accessed on 20 August 2024).
- Zienkiewicz, O.C. The Finite Element Method, 3rd ed.; McGraw-Hill: New York, NY, USA, 1977. [Google Scholar]
- Kassimali, A.; Prashant, A. Structural Analysis, 4th ed.; SI ed./Prepared by Amit Prashant; Cengage Learning: Stamford, CT, USA, 2011. [Google Scholar]
- Wang, W.; Zhang, C.; Li, Z.; Gan, X. A Study on the Application of Two Different Material Constitutive Models Used in the FE Simulation of the Cyclic Plastic Behavior of a Steel Beam-Column T-Stub Connection. Adv. Civ. Eng. 2021, 2021, 8868015. [Google Scholar] [CrossRef]
- Kim, D.K.; Dargush, G.F.; Shin, S.W.; Hu, J.W. A Two-surface Plasticity Model for the Simulation of Uniaxial Ratchetting Response. J. Mech. Sci. Technol. 2012, 26, 145–152. [Google Scholar] [CrossRef]
- Shen, C.; Tanaka, Y.; Mizuno, E.; Usami, T. A two-surface Model for Steels with Yield Plateau. Struct. Eng. 1992, 8, 179s–188s. [Google Scholar] [CrossRef]
- Shen, C.; Mamaghani, I.H.P.; Mizuno, E.; Usami, T. Cyclic Behavior of Structural Steels, II: Theory. J. Eng. Mech. 1995, 121, 1165–1172. [Google Scholar] [CrossRef]
- Banno, S.; Mamaghani, I.H.P.; Usami, T.; Mizuno, E. Cyclic Elastoplastic Large Deflection Analysis of Thin Steel Plates. J. Eng. Mech. 1998, 124, 363–370. [Google Scholar] [CrossRef]














| Column | h (mm) | d (mm) | E (MPa) | v | (MPa) | P/Py | ||
|---|---|---|---|---|---|---|---|---|
| TPRC9-9 | 2141 | 449 | 204,000 | 0.26 | 266.0 | 0.30 | 0.29 | 0.150 |
| B1 | 3403 | 900 | 206,000 | 0.30 | 378.6 | 0.56 | 0.26 | 0.122 |
| Column Name | Axial Load | Rf | λ | tf (mm) | Height (mm) |
|---|---|---|---|---|---|
| T-20-29-0.00 | 0.00 | 0.20 | 0.29 | 14.39 | 2269 |
| T-30-29-0.00 | 0.00 | 0.30 | 0.29 | 9.00 | |
| T-40-29-0.00 | 0.00 | 0.40 | 0.29 | 7.20 | |
| T-50-29-0.00 | 0.00 | 0.50 | 0.29 | 6.00 | |
| T-20-29-0.05 | 0.05 | 0.20 | 0.29 | 14.39 | |
| T-30-29-0.05 | 0.05 | 0.30 | 0.29 | 9.00 | |
| T-40-29-0.05 | 0.05 | 0.40 | 0.29 | 7.20 | |
| T-50-29-0.05 | 0.05 | 0.50 | 0.29 | 6.00 | |
| T-20-29-0.10 | 0.10 | 0.20 | 0.29 | 14.39 | |
| T-30-29-0.10 | 0.10 | 0.30 | 0.29 | 9.00 | |
| T-40-29-0.10 | 0.10 | 0.40 | 0.29 | 7.20 | |
| T-50-29-0.10 | 0.10 | 0.50 | 0.29 | 6.00 | |
| T-20-29-0.15 | 0.15 | 0.20 | 0.29 | 14.39 | |
| T-30-29-0.15 | 0.15 | 0.30 | 0.29 | 9.00 | |
| T-40-29-0.15 | 0.15 | 0.40 | 0.29 | 7.20 | |
| T-50-29-0.15 | 0.15 | 0.50 | 0.29 | 6.00 | |
| T-20-29-0.20 | 0.20 | 0.20 | 0.29 | 14.39 | |
| T-30-29-0.20 | 0.20 | 0.30 | 0.29 | 9.00 | |
| T-40-29-0.20 | 0.20 | 0.40 | 0.29 | 7.20 | |
| T-50-29-0.20 | 0.20 | 0.50 | 0.29 | 6.00 | |
| T-30-29-0.00 | 0.00 | 0.30 | 0.20 | 9.00 | 1565 |
| T-30-29-0.00 | 0.00 | 0.30 | 0.29 | 9.00 | 2269 |
| T-30-29-0.00 | 0.00 | 0.30 | 0.50 | 9.00 | 3912 |
| T-30-29-0.05 | 0.05 | 0.30 | 0.20 | 9.00 | 1565 |
| T-30-29-0.05 | 0.05 | 0.30 | 0.29 | 9.00 | 2269 |
| T-30-29-0.05 | 0.05 | 0.30 | 0.40 | 9.00 | 3130 |
| T-30-29-0.05 | 0.05 | 0.30 | 0.50 | 9.00 | 3912 |
| T-30-29-0.10 | 0.10 | 0.30 | 0.20 | 9.00 | 1565 |
| T-30-29-0.10 | 0.10 | 0.30 | 0.29 | 9.00 | 2269 |
| T-30-29-0.10 | 0.10 | 0.30 | 0.40 | 9.00 | 3130 |
| T-30-29-0.10 | 0.10 | 0.30 | 0.50 | 9.00 | 3912 |
| T-30-29-0.15 | 0.15 | 0.30 | 0.20 | 9.00 | 1565 |
| T-30-29-0.15 | 0.15 | 0.30 | 0.29 | 9.00 | 2269 |
| T-30-29-0.15 | 0.15 | 0.30 | 0.40 | 9.00 | 3130 |
| T-30-29-0.15 | 0.15 | 0.30 | 0.50 | 9.00 | 3912 |
| T-30-29-0.20 | 0.20 | 0.30 | 0.20 | 9.00 | 1565 |
| T-30-29-0.20 | 0.20 | 0.30 | 0.29 | 9.00 | 2269 |
| T-30-29-0.20 | 0.20 | 0.30 | 0.40 | 9.00 | 3130 |
| T-30-29-0.20 | 0.20 | 0.30 | 0.50 | 9.00 | 3912 |
| Column | P/Py | tf (mm) | Rf | λ | (1 + P/Py). Rfλ | Rfλ | Hm/Hy | δm/δy | H0.95/Hy | δ0.95/δy |
|---|---|---|---|---|---|---|---|---|---|---|
| T-20-29-0.00 | 0.00 | 14.39 | 0.20 | 0.29 | 0.058 | 0.058 | 3.00 | 8.00 | 2.85 | 9.00 |
| T-30-29-0.00 | 0.00 | 9.00 | 0.30 | 0.29 | 0.087 | 0.087 | 2.00 | 8.00 | 1.90 | 8.00 |
| T-40-29-0.00 | 0.00 | 7.20 | 0.40 | 0.29 | 0.116 | 0.116 | 1.48 | 5.00 | 1.41 | 6.00 |
| T-50-29-0.00 | 0.00 | 6.00 | 0.50 | 0.29 | 0.145 | 0.145 | 1.23 | 4.00 | 1.17 | 4.00 |
| T-20-29-0.05 | 0.05 | 14.39 | 0.20 | 0.29 | 0.061 | 0.058 | 2.89 | 7.00 | 2.75 | 8.97 |
| T-30-29-0.05 | 0.05 | 9.00 | 0.30 | 0.29 | 0.091 | 0.087 | 1.84 | 7.00 | 1.75 | 7.94 |
| T-40-29-0.05 | 0.05 | 7.20 | 0.40 | 0.29 | 0.122 | 0.116 | 1.40 | 4.00 | 1.33 | 6.00 |
| T-50-29-0.05 | 0.05 | 6.00 | 0.50 | 0.29 | 0.152 | 0.145 | 1.16 | 3.00 | 1.10 | 4.00 |
| T-20-29-0.10 | 0.10 | 14.39 | 0.20 | 0.29 | 0.064 | 0.058 | 2.89 | 7.00 | 2.75 | 8.44 |
| T-30-29-0.10 | 0.10 | 9.00 | 0.30 | 0.29 | 0.096 | 0.087 | 1.81 | 6.00 | 1.72 | 7.34 |
| T-40-29-0.10 | 0.10 | 7.20 | 0.40 | 0.29 | 0.128 | 0.116 | 1.37 | 4.00 | 1.30 | 5.61 |
| T-50-29-0.10 | 0.10 | 6.00 | 0.50 | 0.29 | 0.160 | 0.145 | 1.10 | 3.00 | 1.04 | 3.82 |
| T-20-29-0.15 | 0.15 | 14.39 | 0.20 | 0.29 | 0.067 | 0.058 | 2.770 | 6.00 | 2.632 | 7.775 |
| T-30-29-0.15 | 0.15 | 9.00 | 0.30 | 0.29 | 0.100 | 0.087 | 1.756 | 6.00 | 1.668 | 6.870 |
| T-40-29-0.15 | 0.15 | 7.20 | 0.40 | 0.29 | 0.133 | 0.116 | 1.329 | 4.00 | 1.263 | 5.444 |
| T-50-29-0.15 | 0.15 | 6.00 | 0.50 | 0.29 | 0.167 | 0.145 | 1.067 | 3.00 | 1.014 | 3.800 |
| T-20-29-0.20 | 0.20 | 14.39 | 0.20 | 0.29 | 0.070 | 0.058 | 2.570 | 6.00 | 2.442 | 7.500 |
| T-30-29-0.20 | 0.20 | 9.00 | 0.30 | 0.29 | 0.104 | 0.087 | 1.620 | 6.00 | 1.539 | 6.600 |
| T-40-29-0.20 | 0.20 | 7.20 | 0.40 | 0.29 | 0.139 | 0.116 | 1.270 | 3.00 | 1.207 | 5.000 |
| T-50-29-0.20 | 0.20 | 6.00 | 0.50 | 0.29 | 0.174 | 0.145 | 0.960 | 2.00 | 0.912 | 3.500 |
| T-30-29-0.00 | 0.00 | 9.00 | 0.30 | 0.20 | 0.060 | 0.060 | 2.500 | 3.00 | 2.375 | 4.260 |
| T-30-29-0.00 | 0.00 | 9.00 | 0.30 | 0.29 | 0.087 | 0.087 | 2.000 | 8.00 | 1.900 | 8.000 |
| T-30-29-0.00 | 0.00 | 9.00 | 0.30 | 0.40 | 0.120 | 0.120 | 1.175 | 6.00 | 1.116 | 8.148 |
| T-30-29-0.00 | 0.00 | 9.00 | 0.30 | 0.50 | 0.150 | 0.150 | 0.920 | 6.00 | 0.874 | 8.800 |
| T-30-29-0.05 | 0.05 | 9.00 | 0.30 | 0.20 | 0.063 | 0.060 | 2.450 | 3.00 | 2.328 | 3.940 |
| T-30-29-0.05 | 0.05 | 9.00 | 0.30 | 0.29 | 0.091 | 0.087 | 1.844 | 7.00 | 1.752 | 7.944 |
| T-30-29-0.05 | 0.05 | 9.00 | 0.30 | 0.40 | 0.126 | 0.120 | 1.130 | 5.00 | 1.074 | 5.800 |
| T-30-29-0.05 | 0.05 | 9.00 | 0.30 | 0.50 | 0.158 | 0.150 | 0.900 | 6.00 | 0.855 | 8.000 |
| T-30-29-0.10 | 0.10 | 9.00 | 0.30 | 0.20 | 0.066 | 0.060 | 2.400 | 3.00 | 2.280 | 3.420 |
| T-30-29-0.10 | 0.10 | 9.00 | 0.30 | 0.29 | 0.096 | 0.087 | 1.805 | 6.60 | 1.715 | 7.342 |
| T-30-29-0.10 | 0.10 | 9.00 | 0.30 | 0.40 | 0.132 | 0.120 | 1.090 | 4.00 | 1.036 | 6.300 |
| T-30-29-0.10 | 0.10 | 9.00 | 0.30 | 0.50 | 0.165 | 0.150 | 0.870 | 5.00 | 0.827 | 8.000 |
| T-30-29-0.15 | 0.15 | 9.00 | 0.30 | 0.20 | 0.069 | 0.060 | 2.350 | 2.00 | 2.233 | 3.280 |
| T-30-29-0.15 | 0.15 | 9.00 | 0.30 | 0.29 | 0.100 | 0.087 | 1.756 | 6.00 | 1.668 | 6.870 |
| T-30-29-0.15 | 0.15 | 9.00 | 0.30 | 0.40 | 0.138 | 0.120 | 1.080 | 4.00 | 1.026 | 5.630 |
| T-30-29-0.15 | 0.15 | 9.00 | 0.30 | 0.50 | 0.173 | 0.150 | 0.830 | 5.00 | 0.789 | 7.160 |
| T-30-29-0.20 | 0.20 | 9.00 | 0.30 | 0.20 | 0.072 | 0.060 | 2.260 | 2.00 | 2.147 | 3.150 |
| T-30-29-0.20 | 0.20 | 9.00 | 0.30 | 0.29 | 0.104 | 0.087 | 1.620 | 6.00 | 1.539 | 6.600 |
| T-30-29-0.20 | 0.20 | 9.00 | 0.30 | 0.40 | 0.144 | 0.120 | 1.040 | 4.00 | 0.988 | 5.267 |
| T-30-29-0.20 | 0.20 | 9.00 | 0.30 | 0.50 | 0.180 | 0.150 | 0.800 | 4.00 | 0.760 | 6.000 |
| Column | P/Py | Rf | λ | t (mm) | H (mm) | Hm/Hy | δm/δy | δ0.95/δy | |
|---|---|---|---|---|---|---|---|---|---|
| 1 | Proposed Equation | 0.15 | 0.35 | 0.25 | 8.220 | 1956 | 1.690 | 5.550 | 6.567 |
| FE Analysis | 1.745 | 5.500 | 7.000 | ||||||
| Accuracy (%) | 97.00 | 100.00 | 94.00 | ||||||
| 2 | Proposed Equation | 0.18 | 0.3 | 0.3 | 9.590 | 2348 | 1.600 | 5.411 | 6.296 |
| FE Analysis | 1.750 | 5.200 | 6.100 | ||||||
| Accuracy (%) | 92.00 | 96.10 | 97.00 | ||||||
Disclaimer/Publisher’s Note: The statements, opinions and data contained in all publications are solely those of the individual author(s) and contributor(s) and not of MDPI and/or the editor(s). MDPI and/or the editor(s) disclaim responsibility for any injury to people or property resulting from any ideas, methods, instructions or products referred to in the content. |
© 2024 by the authors. Licensee MDPI, Basel, Switzerland. This article is an open access article distributed under the terms and conditions of the Creative Commons Attribution (CC BY) license (https://creativecommons.org/licenses/by/4.0/).
Share and Cite
Njiru, M.; Mamaghani, I.H.P. Seismic Design and Ductility Evaluation of Thin-Walled Stiffened Steel Square Box Columns. Appl. Sci. 2024, 14, 8554. https://doi.org/10.3390/app14188554
Njiru M, Mamaghani IHP. Seismic Design and Ductility Evaluation of Thin-Walled Stiffened Steel Square Box Columns. Applied Sciences. 2024; 14(18):8554. https://doi.org/10.3390/app14188554
Chicago/Turabian StyleNjiru, Mwaura, and Iraj H. P. Mamaghani. 2024. "Seismic Design and Ductility Evaluation of Thin-Walled Stiffened Steel Square Box Columns" Applied Sciences 14, no. 18: 8554. https://doi.org/10.3390/app14188554
APA StyleNjiru, M., & Mamaghani, I. H. P. (2024). Seismic Design and Ductility Evaluation of Thin-Walled Stiffened Steel Square Box Columns. Applied Sciences, 14(18), 8554. https://doi.org/10.3390/app14188554

