Next Article in Journal
Application of Biotechnology and Chiral Technology Methods in the Production of Ectoine Enantiomers
Previous Article in Journal
Spectrophotometric Determination of Biopolymers in Alabama Benchmark Soils
 
 
Font Type:
Arial Georgia Verdana
Font Size:
Aa Aa Aa
Line Spacing:
Column Width:
Background:
Article

Study of Millimeter-Wave Fuze Echo Characteristics under Rainfall Conditions Using the Monte Carlo Method

School of Mechatronical Engineering, Beijing Institute of Technology, Beijing 100000, China
*
Author to whom correspondence should be addressed.
Appl. Sci. 2024, 14(18), 8352; https://doi.org/10.3390/app14188352
Submission received: 27 July 2024 / Revised: 10 September 2024 / Accepted: 15 September 2024 / Published: 17 September 2024

Abstract

Due to the similarity in wavelength between millimeter-wave (MMW) signals and raindrop diameters, rainfall induces significant attenuation and scattering effects that challenge the detection performance of MMW fuzes in rainy environments. To enhance the adaptability of frequency-modulated MMW fuzes in such conditions, the effects of rain on MMW signal attenuation and scattering are investigated. A mathematical model for the multipath echo signals of the fuze was developed. The Monte Carlo method was employed to simulate echo signals considering multiple scattering, and experimental validations were conducted. The results from simulations and experiments revealed that rainfall increases the bottom noise of the echo signal, with rain backscatter noise predominantly affecting the lower end of the echo signal spectrum. However, rain conditions below torrential levels did not significantly impact the detection of strong reflection targets at the high end of the spectrum. The modeling approach and findings presented offer theoretical support for designing MMW fuzes with improved environmental adaptability.

1. Introduction

A millimeter-wave (MMW) fuze is a device that uses the MMW frequency band for target detection and detonation, and is widely employed in missile, artillery, and other weapon systems owing to its high precision, reliability, and strong resistance to electromagnetic interference [1,2]. Given that MMW fuzes operate in complex and variable climatic conditions, they must demonstrate superior environmental resilience to ensure reliable performance. The wavelength of MMW signals is comparable to the size of aerosol particles such as raindrops, snow, and smoke. Consequently, MMW signals are susceptible to attenuation, scattering, and depolarization effects caused by these particles [3,4]. Among these particles, raindrops with wavelengths closest to MMW signals have the most significant impact on MMW fuze detection [5,6]. Therefore, studying the characteristics of MMW fuze echo signals under rainfall conditions is essential.
To explore the impact of rainfall on the echo signal of MMW detectors, scholars have delved into the impact of factors such as beam width, rainfall intensity, and operating frequency on the performance of MMW detectors in rainy environments, across various application fields including MMW Doppler fuzes, pulse radars, and automotive MMW radars. Yang et al. analyzed the influence of rain clutter on MMW Doppler fuzes and highlighted the need to consider the impact of rain clutter on fuze detection when the radar cross-section area of the target is small or the antenna beam is wide [7,8]. Hasirlioglu and Riener proposed a method for simulating the effects of rainfall environments on automotive radars by stratifying the rain field [9]. Zang et al. examined rain attenuation and backscatter, noting that rainfall reduces the detection range of MMW radars by 45% [10]. Gourova et al. compared wide-beam and narrow-beam radars, emphasizing the superior detectability of narrow-beam radars in rainy conditions [11]. Richard et al. analyzed the influence of the rainfall rate and radar operating frequency on the rain backscatter noise using MMW pulse radar echo data under rainy conditions [12]. Yang et al. developed a model for MMW ground fuze echo signals under rainfall conditions using the single scattering method, and preliminarily analyzed the impact of rainfall, fuze frequency, and detection distance on the characteristics of the echo signal [13].
None of above analyses considered the effects of multiple scattering processes of MMW signals under rainy conditions. To address the issue of multiple scattering of MMW signals in rainy environments, scholars gradually established high-order scattering theory. Kobayashi et al. developed a second-order multiple scattering theory for MMW signals in such conditions [14]. Oguchi and Ihara used an exhaustive method to sample third-order and higher-order scattering paths and investigated the characteristics of backward scattering enhancement effects of MMW signals under rainy conditions [15]. Wu et al. simulated the attenuation and reflection effects of MMW plane-wave signals in rainy environments using the Monte Carlo method. The method theoretically possesses a formidable capability to simulate scattering paths with unlimited numbers of orders. Results suggested that the simulation outcomes from multiple scattering calculations were more consistent with measured data than those from single scattering [16].
However, these studies focused on evaluating attenuation and backward scattering of MMW signals due to rainfall, without considering detection targets, and thus cannot be directly applied to MMW fuze target detection under rainy conditions. To integrate multiple scattering methods with target detection, this study establishes an MMW fuze echo signal model for rainy environments. Given the complexity of multiple signal scattering paths in the echo signal model, the adoption of Monte Carlo methods as a research tool is particularly suitable. The Monte Carlo method, based on probability and statistics, approximates solutions to problems by generating a large number of random or pseudo-random samples. It has been widely applied in various scenarios, such as laser signal propagation in rainy environments [17], underwater environments [18,19], and smoky environments [20,21]. Unlike these scenarios, MMW ground fuzes operate within the MMW frequency band, using radio waves for signal transmission and reception, and feature an ultra-wide beam. When using Monte Carlo method to simulate the echo signals of MMW fuzes under rainy condition, tailored adjustments were made, including (1) transmitting antenna’s Gaussian emission pattern; (2) the target scattering model in MMV band with random sampling; and (3) precise incident angle calculation for accurate receive gain assessment. With these adaptive adjustments, the Monte Carlo method allows for the study of the impact of rainfall on MMW fuze detection and validates the accuracy of the simulation results through experimental verification. This study contributes to accurately assessing the impact of rainfall on the detection performance of MMV fuzes.
The remainder of this paper is structured as follows: Section 2 discusses the attenuation and scattering characteristics of MMW signals under rainfall, establishing the foundation for the subsequent models. Section 3 provides a detailed derivation of the mathematical model for MMW fuze echo signals under rainy conditions. Section 4 outlines the simulation process of the fuze echo signal using the Monte Carlo method and the derived model. Section 5 analyzes the results of the simulations. Section 6 describes the verification of the simulation results through actual measurements. Section 7 concludes this paper with a summary of the findings.

2. Attenuation and Scattering Characteristics of MMW Signals under Rainfall Conditions

Attenuation refers to the loss of energy when MMW signals are absorbed by raindrops as they pass through a rain field. In contrast, scattering involves the deflection of MMW signal propagation paths by raindrops, leading to the dispersion and spread of energy in various directions. The effects of rainfall on MMW scattering and attenuation depend on factors such as rainfall intensity, raindrop shape, raindrop size, and the operating frequency of the fuze. Raindrops are typically ellipsoidal or oblate spheroidal in shape but are often modeled as spherical in engineering applications. This simplification is used because the spherical model is less complex, and its simulation results are relatively close to those of ellipsoidal raindrops [22]. The raindrop size distribution, which describes the number of raindrops of various sizes, is commonly represented by the Marshall–Palmer distribution [23]. The expression for this distribution is as follows:
N ( I , D ) = 8000 e x p ( 4.1 I 0.21 D ) ,
where N ( I , D ) is the number of raindrops per cubic meter, I is the rainfall intensity, and D is the raindrop diameter. In rainy environments, MMW signals undergo refraction, reflection, and absorption by raindrops, leading to signal attenuation and scattering. When the signal frequency exceeds 10 GHz, Mie scattering theory should be used to study the attenuation and backscatter characteristics of raindrop particles [24]. The calculation methods for the attenuation cross-section and scattering cross-section of raindrops based on Mie scattering theory [25] are as follows:
σ t ( λ , D ) = 2 π k 2 n = 1 ( 2 n + 1 ) R e ( a n + b n ) ;
σ b ( λ , D ) = π k 2 n = 1 ( 2 n + 1 ) ( 1 ) n ( a n b n ) 2 ,
where k = 2 π / λ is the wave number, R e ( · ) represents the real part of a number, and a n and b n are Mie coefficients, with the empirical upper value of n referenced in [25]. The MMW attenuation coefficient, which reflects the attenuation capacity of signals under rainy conditions, is given by [26]:
γ t = 4.343 10 6 0 N ( I , D ) σ t ( λ , D ) d D .
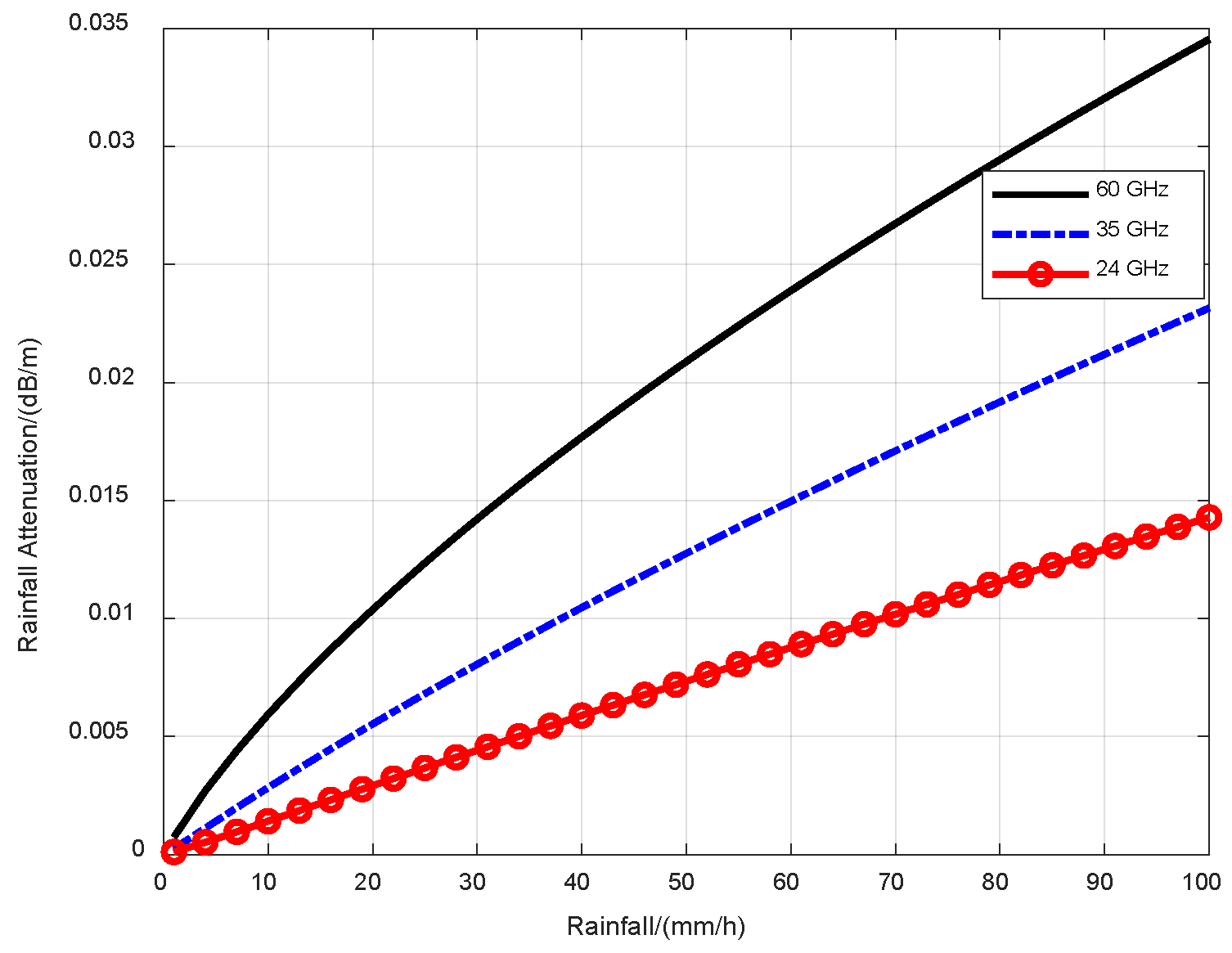
Figure 1 shows the variation of the attenuation coefficient with rainfall intensity, indicating that the MMW attenuation coefficient increases with both frequency and rainfall intensity. The detection range of MMW proximity fuzes is typically within 20 m, therefore, the calculated rainfall attenuation at a detection distance of 20 m is presented in Table 1. The three commonly used operating frequencies for MMW fuzes are 24, 35, and 60 GHz, while 16, 50, and 100 mm/h correspond to heavy rain, torrential rain, and torrential rainstorm, respectively.
In addition, raindrop particles cause scattering effects on MMW signal transmission, leading to the uneven distribution of energy in various directions after scattering. The scattering-phase function describes the spatial distribution of energy following MMW signal scattering by raindrops [25]. Its expression is as follows:
P ( θ ) = λ 2 2 π Q s S 1 ( θ ) 2 + S 2 ( θ ) 2 ,
where S 1 ( θ ) and S 2 ( θ ) are the vertical and parallel components of the complex amplitude function, respectively, and Q s is the raindrop scattering coefficient.
Figure 2 shows the scattering-phase function values for three different raindrop sizes at an operating frequency of 35 GHz. When the raindrop diameter is small, the scattering-phase function exhibits two peaks at 0 rad and π rad, with both peaks having approximately the same magnitude. This indicates that the scattering energy is concentrated in forward and backward directions. Conversely, for larger raindrop diameters, the amplitude at 0 rad is significantly higher than at other angles, suggesting that the scattering energy of MMW signals from large raindrops is primarily concentrated in forward scattering, with only a small portion scattered backward.

3. MMW Fuze Echo Signal Model under Rainfall Conditions

A triangular wave frequency modulation method is used in MMW frequency-modulated fuzes. The frequency-rising segment of the frequency-modulated signal can be expressed as follows:
S t t = A t c o s 2 π f s t t + β t 2 , t > 0 ,
where A t is the amplitude of the transmitted signal, f s t is the initial modulation frequency, β = Δ F / T is twice the modulation slope, Δ F is the modulation bandwidth, and T is the modulation period.
Figure 3 illustrates the detection diagram of the MMW fuze in a rainfall environment. For this study, the effects of ground surface water and water adhering to the radome on the MMW signals are temporarily excluded, and raindrops are assumed to be independent of each other. The simulation assumes an open field for the detection environment, ignoring other obstacles to simplify the analysis and focus on the interaction between the target object and the detection system. Under rainy conditions, the received signals from the MMW fuze at any given moment can be categorized into three types: (1) signals reflected solely by the target surface; (2) signals after single or multiple scattering by raindrops; and (3) signals after multiple scattering by both raindrops and the target.
In this case, the power of the MMW fuze echo signal can be expressed as follows:
P r   =   P r t   +   P r a   +   P r a t .
where P r t , P r a , and P r a t represent the power values of the three types of echo signals mentioned above.
For the first type of echo signal, assuming the target is a solid material with a rough surface, the MMW signal undergoes scattering and reflection effects on the target surface. According to the directive model [27,28], the direction of the strongest scattered power aligns with the reflection direction, while other scattered power is concentrated around this direction. The energy distribution in different directions is given below:
P s = P z F ( φ ) = P z 1 + c o s φ 2 α ,
where P z denotes the maximum scattered power of the target surface, φ is the angle between the scattering direction and the reflection direction in the directive model, and α is the scattering factor, describing the distribution of scattered power. Adjustments are made to the directional scattering function to account for the reflected signal. The modified expression for the directional scattering function is as follows:
F ( φ ) = 1 + c o s φ 2 α , φ 0 1 + P s z + P z , φ = 0 ,
where P s z denotes the total scattered energy. Therefore, the power of the first type of echo signal can be expressed:
P r t = i = 1 M P t G 2 λ 2 4 π 3 R 4 P z i F ( φ i ) e 2 γ t R ,
where M is the total number of ground surface target divisions.
For the second type of echo signal, the power of the single scattering rain clutter can be expressed using the distributed scatterer:
P r a s = i = 1 N P t G 2 λ 2 σ b i 4 π 3 R b i 4 e 2 γ t R b i ,
where N is the total number of raindrops in the field of view of the fuze, σ b i is the raindrop backward scattering cross-section area, and γ t is the rain attenuation coefficient derived from Equations (3) and (4). For the signal returning to the MMW fuze after multiple scatterings by raindrops, the received power at the first contact point between the MMW signal and the raindrop can be calculated based on the Friis transmission formula:
P r a m 1 = P t G σ t 1 4 π R m 1 2 e γ t R m 1 ,
where σ t 1 is the raindrop attenuation cross-section area calculated with Equation (2). After the MMW signal is scattered from the i 1 -th raindrop to the i -th raindrop, the received power at the i -th raindrop is as follows:
P r a m i = σ t i 4 π R m i 2 e γ t R m i σ s ( i 1 ) P ( θ i 1 ) σ t ( i 1 ) P r a m ( i 1 ) ,
where σ s ( i 1 ) is the scattering cross-section area of the ( i 1 ) -th raindrop, P ( θ i 1 ) denotes the probability corresponding to the scattering-phase function during the scattering process from the ( i 1 ) -th raindrop to the i -th raindrop computed from Equation (5), and θ i 1 is the scattering angle. The power of the MMW signal returning to the receiving antenna after undergoing n scatterings by raindrops is expressed as below:
P r a m ( n + 1 ) = G λ 2 ( 4 π ) 3 R m ( n + 1 ) 2 e γ t R m ( n + 1 ) σ s n P ( θ n ) σ t n P r a m n .
Therefore, the power of the MMW signal received by the fuze after undergoing n scatterings by raindrops is as follows:
P r a m ( n + 1 ) = P t G 2 λ 2 i = 1 n σ s i P ( θ i ) 4 π 3 i = 1 n + 1 R m i 2 e γ t R m i .
Then, the second type of echo signal can be expressed as follows:
P r a = i = 1 N P t G 2 λ 2 σ b i 4 π 3 R b i 4 e 2 γ t R b i + n = 2 1 f ( n ) P t G 2 λ 2 i = 1 n σ s i P ( θ i ) 4 π 3 i = 1 n + 1 R m i 2 e γ t R m i   ,
where f ( n ) is the total number of scattering paths for n scatterings. Thus, the backward scattering cross-section area corresponds to the backward scattering portion of the raindrop scattering cross-section area, that is, σ b = σ s P ( θ 1 ) . The second type of echo signal can be simplified:
P r a = n = 1 1 f ( n ) P t G 2 λ 2 i = 1 n σ s i P ( θ i ) 4 π 3 i = 1 n + 1 R m i 2 e γ t R m i .
For the third type of echo signal, where the MMW signal is scattered by both the target and the raindrops, the power scattered by raindrops is given in the expression for the second type of echo signal. The interaction between the signal and the target surface is modeled using the directive model. Thus, the scattered power of the MMW signal when it is scattered from the transmitting antenna or the raindrop for the n -th time to the target surface can be expressed as follows:
P t q = 1 ( 4 π ) 2 R q 2 P z q F ( φ q ) e γ t R q P i q .
After the MMW signal undergoes p scatterings with the target surface and n scatterings with raindrops, the received power of the MMW fuze is as below:
P r a t p , n = 1 g ( n , p ) P t G 2 λ 2 i = 1 n σ s i P ( θ i ) 4 π 3 i = 1 n + 1 R m i 2 e γ t R m i q = 1 p P z q F ( φ q ) ( 4 π ) 2 R q 2 e γ t R q ,
where g ( n , p ) represents the total number of scattering paths. Therefore, the third type of echo signal is given as follows:
P r a t = n = 1 p = 1 1 g ( n , p ) P t G 2 λ 2 i = 1 n σ s i P ( θ i ) 4 π 3 i = 1 n + 1 R m i 2 e γ t R m i q = 1 p P z q F ( φ q ) ( 4 π ) 2 R q 2 e γ t R q .
In summary, the power of the MMW fuze echo signal can be expressed as below:
P r = i = 1 M P t G 2 λ 2 4 π 3 R 4 P z i F φ i e 2 γ t R + n = 1 1 f ( n ) P t G 2 λ 2 i = 1 n σ s i P ( θ i ) 4 π 3 i = 1 n + 1 R m i 2 e γ t R m i + n = 1 p = 1 1 g ( n , p ) P t G 2 λ 2 i = 1 n σ s i P ( θ i ) 4 π 3 i = 1 n + 1 R m i 2 e γ t R m i q = 1 p P z q F ( φ q ) ( 4 π ) 2 R q 2 e γ t R q .
The echo signal of the MMW fuze in the frequency up-chirp segment can be expressed as follows:
S r ( t ) = P r t cos 2 π ( f s t ( t τ t ) + β ( t τ t ) 2 ) + P r a cos 2 π ( f s t ( t τ a ) + β ( t τ a ) 2 ) + P r a t cos 2 π ( f s t ( t τ a t ) + β ( t τ a t ) 2 ) ,
where τ t , τ a , and τ a t correspond to the echo delays of the target, raindrop scattering, and mixed-target raindrop scattering signals, respectively. The echo signal of the MMW fuze in the frequency down-chirp segment is similar and will not be repeated here. Therefore, the beat signal after low-pass filtering can be expressed as below:
S b ( t ) = P r t cos 2 π ( 2 β τ t t + φ t ) + P r a cos 2 π ( 2 β τ a t + φ a ) + P r a t cos 2 π ( 2 β τ a t t + φ a t ) .
The target distance can be calculated from the frequency of the beat signal as follows:
R = c τ t / 2 = T c / ( 4 Δ F ) · 2 β τ t .

4. Simulation of MMW Fuze Echo Signals Using the Monte Carlo Method

When simulating the MMW fuze echo signal model described in Section 3 using the Monte Carlo method, not all emitted particles are ultimately received by the fuze. These unreceived particles act as the free-space loss component in the fuze echo signal model. Consequently, during the Monte Carlo simulation, only the energy loss and changes in scattering direction that occur after particles collide with raindrops and the target surface need to be considered. The number of particles emitted at any given moment during the Monte Carlo simulation is determined based on the power of the frequency-modulated signal of the MMW fuze. In this study, the transmission power of the frequency-modulated fuze is assumed to be sufficiently high to meet its design requirements and performance standards. The following text details the Monte Carlo simulation process for each particle.

4.1. Particle Emission Settings

The initial position, direction, and energy of the particle are determined. The initial position is the location of the transmitting antenna, defined as the origin of the coordinate system. The initial energy is W 0 = 1 . The initial emission direction is shown in Figure 4a.
In Figure 4a, the initial emission direction of the particle is O A and its projections on the X O Y and Y O Z planes are O B and O C , respectively. The angles between the two projections and the Z axes are α and β . If the MMW transceiver antenna pattern is assumed to satisfy a Gaussian distribution with a 3 dB beam width of θ 3 d B , then angles α and β can be expressed as follows:
α = ς 1 θ 3 d B β = ς 2 θ 3 d B ,
where ς 1 and ς 2 are random numbers that satisfy a Gaussian distribution with a mean of 0 and a variance of 1. Then, the initial emission direction O A can be expressed as below:
u x , 0 = tan α / t a n 2 α + t a n 2 β + 1 u y , 0 = tan β / t a n 2 α + t a n 2 β + 1 u z , 0 = 1 / t a n 2 α + t a n 2 β + 1 .

4.2. Particle Motion Settings

The next position of the particle is determined based on the sampled distance between two consecutive collisions of the particle. According to Mie theory, the attenuation of MMW signal transmission [29] can be calculated using the following formula:
10 l o g 10 ( P r / P t ) = γ t L .
If P r / P t is assumed to be a random number uniformly distributed in 0 ,   1 , then the random free path of the particle during the m th transmission under rain conditions can be expressed as follows:
L m = 10 l o g 10 ( ξ ) / γ t .
The position of the m th collision point ( x m , y m , z m ) of the particle can be determined by the current particle position ( x m 1 , y m 1 , z m 1 ) and the transmission direction ( μ x , m 1 , μ y , m 1 , μ z , m 1 ) . Its expression as below:
x m = x m 1 + μ x , m 1 L m y m = y m 1 + μ y , m 1 L m z m = z m 1 + μ z , m 1 L m .

4.3. Particle Collision Settings

Here, the scattering direction and energy after particle collision are determined. Based on the position of the m th collision of the particle, whether the particle collides with the target is determined. If the particle reaches the target surface, it is considered to have collided with the target surface. If it does not reach the target surface, it is considered to have collided with a raindrop.
When a particle collides with the target, the scattering direction after the collision is determined by random sampling from the directive model. The scattering direction is illustrated in Figure 4b, where X O Y denotes the target plane, D O is the incident direction of the particle, O A is the actual scattering direction, O A is the specular reflection direction, and φ is the angle between O A and O A . Additionally, O B , O C , O B , and O C are the projections of O A and O A onto the X O Z and Y O Z planes, respectively; the angles between these four projection vectors and the Z axis are α , β , α , and β , respectively. Based on uniform random sampling from the probability distribution function of the directive model, two projections of angle φ are determined, represented by φ n 1 and φ n 2 . Then, angles α and β are calculated as follows:
α = φ n 1 + α β = φ n 2 + β .
Therefore, the scattering direction of the particle after colliding with the target is as below:
u x , m = tan α / t a n 2 α + t a n 2 β + 1 u y , m = tan β / t a n 2 α + t a n 2 β + 1 u z , m = 1 / t a n 2 α + t a n 2 β + 1 .
After the collision, the energy of the particle is W m = η t W m 1 , where η t is the target reflection coefficient, which is in the range 0 ,   1 . For simplicity, η t is set to 1, assuming the target acts as a strong reflector.
When a particle collides with a raindrop, the scattering direction is shown in Figure 4c, where O A is the scattering direction, θ is the elevation angle between O A and the Z axis, and ϕ is the azimuth angle between the projection of O A within the X O Y plane and the X axis. The elevation angle θ n 1 is determined by random sampling based on the probability distribution function of the Mie scattering phase function. Meanwhile, the azimuth angle is determined by applying uniform random sampling. The expressions for the scattered elevation angle and azimuth angle are as follows:
θ = θ n 1 ϕ = 2 π ξ 2 .
Then, the scattering direction of the particle after colliding with the raindrop is presented below:
μ x , m = s i n θ 1 μ z , m 1 2 ( μ x , m 1 μ z , m 1 cos ϕ μ y , m 1 sin ϕ ) + μ x , m 1 cos θ μ y , m = s i n θ 1 μ z , m 1 2 ( μ y , m 1 μ z , m 1 cos ϕ μ x , m 1 sin ϕ ) + μ y , m 1 cos θ μ z , m = sin θ cos ϕ 1 μ z , m 1 2 + μ z , m 1 cos θ   .
After the particle collides with the raindrop, its energy becomes W m = η s W m 1 , where η s = σ s / σ t is the attenuation coefficient of the raindrop.

4.4. Particle Reception Settings

Finally, whether the fuze receives the particle must be determined. If the coordinates of the particle returning to the detection plane are assumed to be ( x 0 , y 0 , 0 ) , then the particle coordinates should satisfy the following conditions when the particle enters the receiving antenna:
( x 0 d t r ) 2 + y 0 2 < r r 2 ,
where d t r represents the transceiver spacing, and r r is the radius of the receiving antenna. When the particle returns to the fuze, the received energy is W m = η r W m 1 , where the gain coefficient of the receiving antenna η r is calculated as follows:
η r = e x p ( l n 2 ( 2 ϕ r / θ 3 d B ) 2 ) ,
where ϕ r is the elevation angle when the particle returns to the receiving antenna. At this point, the simulation process of the transmission of one particle in a rainy environment is complete. This process is repeated until all particles have completed their transmission. The energy and transmission distances of all received particles are compiled to obtain the MMW fuze echo signal under rainy conditions.

5. Characteristics of MMW Fuze Echo Signal under Rainfall Conditions

To present the low-frequency noise in the echo signal spectrum more intuitively and make it closer to the actual detection situation, a fixed delay time characterized by the signal propagation delay in the MMW fuze hardware system is added during the simulation process. Based on the expression of the beat signal, the simulation parameters are set as shown in Table 2.
The time domain and frequency domain diagrams of the echo beat signal at a target distance of 9 m without rain are shown in Figure 5. In the frequency spectrum, there is only one prominent peak with a frequency of 7.60 MHz, representing the target echo signal. Therefore, the target distance is as follows:
R = ( T c / 4 Δ F ) · 2 β τ t c τ 0 / 2 = 9.05   m
indicating that the Monte Carlo simulation model produces accurate simulation results.
The beat signal spectrum under a rainfall rate of 16 mm/h and operating frequency of 35 GHz with distances of 6, 9, and 12 m is simulated, as shown in Figure 6a–c. The beat signal spectrum under a rainfall rate of 50 mm/h and operating frequency of 35 GHz with distances of 6, 9, and 12 m is simulated, as shown in Figure 6d–f. The beat signal spectrum under a rainfall rate of 50 mm/h and operating frequency of 60 GHz with distances of 6, 9, and 12 m is simulated, as shown in Figure 6g–i.
Two distinct peaks are observed in all spectra. The lower-frequency peak corresponds to the rain backscatter noise, whereas the higher-frequency peak represents the target signal. Figure 7a displays the amplitudes of the target echo signal, which decrease significantly with increasing distance. Due to the minimal attenuation of MMW signals and the concentration of scattered signals at the lower end of the spectrum, neither frequency nor rainfall significantly affects the amplitude of the target echo signal. Notably, the change in the radar cross-section area of the target due to different fuze operating frequencies are not considered in this simulation. Consequently, the amplitude of the target echo signal remains constant across different frequencies in the simulation results. The visibility of the target signal in the spectrum, as shown in Figure 6,indicates that the MMW fuze can effectively detect close-range targets with strong reflections even under rainy conditions.
The rain backscatter noise corresponds to a constant frequency, and its amplitude is shown in Figure 7b. The rain backscatter noise increases with the increase in rainfall intensity and frequency. However, the amplitude of the rain backscatter noise is essentially the same under three different rainfall and operating frequency conditions.
Additionally, the bottom noise on the echo signal spectrum in Figure 6 increases significantly with increasing rainfall and frequency, caused by the multiple scattering of MMW signals by raindrops in rainy environments. The signal-to-noise ratio (SNR) is defined as the ratio of the target signal amplitude to the maximum value of the bottom noise. When the target distance is 9 m, the SNR corresponding to the three combinations of rainfall and frequency are 19.9, 12.8, and 6.0 dB, respectively. Meanwhile, under a rainfall rate of 50 mm/h and an operating frequency of 60 GHz, the bottom noise in the beat signal spectrum diagram for a distance of 12 m is close to the target signal amplitude, indicating that with increasing rainfall rate and frequency, the detection of slightly distant targets will be affected by the rain-induced bottom noise.
The beat signal spectrum at a distance of 9 m, with a rainfall rate of 50 mm/h and an operating frequency of 60 GHz, is simulated for 3 dB beam widths of 120°, 60°, and 30°, as shown in Figure 8a–c. The amplitude of the target signal significantly increases as the 3 dB beam width decreases. This increase reflects a higher concentration of transmitted energy due to beam focusing, which enhances target detection performance. Additionally, backscattering noise gradually decreases with a reduction in the 3 dB beam width, thereby reducing interference from the rain signal. This effect is attributed to the corresponding decrease in the number of raindrops within the field of view. Comparison of performance across the three different beam widths shows that the bottom noise remains relatively stable, with no significant fluctuations. This stability strongly indicates that within the beam width range of 30–120°, the bottom noise of the echo signal under rainy conditions is not directly related to the 3 dB beam width.

6. Experiment

6.1. Experimental Steps

To verify the simulation results of the MMW fuze echo signal based on the Monte Carlo method, three detectors were tested in a real rainfall environment. The parameters of these detectors are listed in Table 3. The antennas of the three detectors were designed with a circular shape using microstrip antenna technology, with their gain characteristics closely approximating a Gaussian distribution.
During the experiment, the MMW fuze operating in frequencies of 35 and 60 GHz was placed outside the window on the second floor of the experimental building by hand to detect the outer plane of another experimental building. At this time, the outer plane of the second experimental building served as the surface target, which was closer to the detection scene during the ground detection process of the fuze flight. The distance between the two experimental buildings was measured to be ~13.15 m by using a laser rangefinder, with an open space in the middle. The detection scene is shown in Figure 9a.
In high-frequency detectors, the issue of signal leakage between the transmitting and receiving antennas is significant. To avoid this problem, an analog high-pass filter is incorporated into the hardware systems of the 35 and 60 GHz detectors to eliminate low-frequency leakage signals. However, this also filters out the low-frequency rain backscatter noise. To experimentally prove the existence of low-frequency rain backscatter noise, a 24 GHz detector without an analog high-pass filter was used to test a wall target 6 m away. The detection scenario is shown in Figure 9b.

6.2. Experimental Data Analysis

The 24 GHz detector was tested both without rain and with torrential rain, and the test results of the beat signal spectrum are shown in Figure 10a. For comparison with the test results, a simulation of the beat signal spectrum at 6 m of the 24 GHz detector under torrential rain conditions was conducted, and the result is presented in Figure 10b. Similarly, there is rain backscatter noise at the low end of the simulated beat signal spectrum of the 24 GHz detector.
In Figure 10a, the target echo signal and the rain backscatter noise signal are marked with dashed boxes and solid boxes, respectively. A low peak bulge exists at the low end of the four signal spectra, which is the rain backscatter noise. However, no such peak is observed in the low-frequency part of the signal spectrum without rain. This is consistent with the simulation conclusion that there is rain backscatter noise at the low end of the MMW fuze beat signal spectrum under rainy conditions.
The 35 and 60 GHz MMW fuzes were tested both without rain and with torrential rain, and the test results of the beat signal spectra are shown in Figure 11a,b. Three sets of test results with torrential rain and two sets without rain are presented. The target echo signals are marked with dashed boxes. Other high-peak signals in the spectrum correspond to the leakage noise of the hardware system.
In the test results shown in Figure 11, the highest peak in the spectrum within the range of 10–15 m corresponds to the target at 13.5 m. By identifying this peak, the target distance can be accurately determined. This finding aligns with the simulation results, which indicate that the MMW fuze can reliably measure the distance to nearby strong reflection targets even under heavy and torrential rain conditions. Furthermore, no significant difference exist between the echo signals recorded during torrential rain and those observed in dry conditions. To quantify the similarity of target signals in the echo spectra under rainy and rainless conditions, the Pearson correlation coefficient was calculated [30]. The correlation coefficient between spectra obtained without rain and with torrential rain at 10–15 m for the 35 and 60 GHz fuzes ranges from 0.58 to 0.84 and from 0.72 to 0.78, respectively. This wide variation is influenced by factors such as temperature differences between the rainy and dry environments, changes in the wet state of the target object, and increased background noise due to rainfall. Despite this variability, correlation coefficients remain 0.5–0.8, indicating that the frequency spectra of the echo signals under both conditions exhibit a moderate correlation level of overall similarity [31].
As the power of the bottom noise caused by rainfall is very low, it fails to meet the detection sensitivity requirements of the three fuzes; thus, the test results mentioned above cannot describe the changes in the power of the bottom noise. Therefore, the test data reported in [8] are used for comparison, with the bottom noise test result shown in Figure 12a. Additionally, the noise signals within the spectrum range of 2–4 MHz in the simulation results are extracted to calculate the noise power, where the noise power without rain is set as 0 dB. Based on this, the noise power values under different frequencies and rainfall conditions in the Monte Carlo simulation are presented in Figure 12b.
As shown in Figure 12a, the increase in bottom noise due to rainfall reaches 2–7 dB when the target distance is between 10 and 30 m. Figure 12b depicts that the bottom noise of the beat signal gradually increases with increasing rainfall and operating frequency. At a rainfall rate of 50 mm/h and an operating frequency of 60 GHz, the increase in bottom noise reaches up to 25 dB. The bottom noise in the spectrum is caused by multiple scattering of MMW signals in the rain field. The greater the rainfall, the more raindrops per unit volume, resulting in a more pronounced multipath effect. Owing to the beam width of the fuze in the simulation being 120°, which is significantly wider than the beam width of the MMW detector used in Reference [8], the increase in bottom noise in the simulation is greater than the test result in Reference [8]. The simulation results and actual test results of the bottom noise are compared to verify the simulation conclusion: rainfall will increase the bottom noise of the MMW fuze echo signal under rainy conditions.

7. Conclusions

MMW signals experience attenuation and scattering due to raindrops in rainy environments. While extensive research has focused on single scattering and attenuation effects, there has been limited investigation into the impact of multiple scattering on MMW fuze echo signals. This study establishes a mathematical model for MMW fuze echo signals considering multiple scattering processes under rainfall conditions and simulates these signals using the Monte Carlo method. In addressing the unique aspects of MMW fuzes during the Monte Carlo simulation, random sampling techniques are employed to model target scattering in the MMW frequency band. Additionally, the Gaussian distribution characteristics of the transmit antenna gain are accurately reproduced using Gaussian sampling methods. At the receiving antenna, the gain of the captured signal is evaluated through precise calculations of the reception angle.
This study examines and analyzes the spectrum of the echo signal under various operating frequencies and rainfall conditions. The simulation results and experimental result reveal that rain backscatter noise primarily affects the lower end of the echo signal spectrum, potentially leading to misjudgments in detecting nearby targets. Rainfall increase in the bottom noise of the echo signal, which can interfere with identifying echo signals from more distant or weakly reflected targets. However, the correlation coefficient between the spectra obtained without rain and with torrential rain at 10–15 m for MMV fuzes ranges from 0.58 to 0.84, which indicates that rainfall does not significantly impact the detection and identification of strongly reflected targets at the high end of the spectrum. These findings, confirms the feasibility of the Monte Carlo simulation method for MMW fuze echo signals under rainy conditions. The modeling approach and experimental results presented in this paper offer valuable technical support for enhancing the environmental adaptability of MMW fuzes and exploring methods to resist natural environmental interference.

Author Contributions

Conceptualization, Z.H.; methodology, B.Y.; validation, Z.G.; formal analysis, Z.G.; resources, Z.H.; data curation, K.W.; writing—original draft preparation, B.Y.; writing—review and editing, K.W.; visualization, Z.G.; supervision, Z.H.; funding acquisition, Z.H. All authors have read and agreed to the published version of the manuscript.

Funding

This research received no external funding.

Institutional Review Board Statement

Not applicable.

Informed Consent Statement

Not applicable.

Data Availability Statement

The original contributions presented in this study are included in the article; further inquiries can be directed to the corresponding author.

Conflicts of Interest

The authors declare no conflicts of interest.

References

  1. Cui, Z.Z.; Song, S.H.; Xu, L.X. Principle of Proximity Fuze; Beijing Institute of Technology Press: Beijing, China, 2009. [Google Scholar]
  2. Chen, S.; Liu, M.; Lu, F.; Xing, M. A Target Identification Method for the Millimeter Wave Seeker via Correlation Matching and Beam Pointing. Sensors 2019, 19, 2530. [Google Scholar] [CrossRef] [PubMed]
  3. Shamsan, Z.A. Rainfall and Diffraction Modeling for Millimeter-Wave Wireless Fixed Systems. IEEE Access 2020, 8, 212961–212978. [Google Scholar] [CrossRef]
  4. Budalal, A.A.H.; Islam, M.R.; Abdullah, K.; Rahman, T.A. Modification of Distance Factor in Rain Attenuation Prediction for Short-Range Millimeter-Wave Links. IEEE Antennas Wirel. Propag. Lett. 2020, 19, 1027–1031. [Google Scholar] [CrossRef]
  5. Varotsos, G.K.; Aidinis, K.; Nistazakis, H.E. Average BER Performance Estimation of Relayed THz Links with Losses, Molecular Attenuation, Adverse Weather Conditions, Turbulence and Generalized Pointing Errors. Photonics 2022, 9, 671. [Google Scholar] [CrossRef]
  6. Han, C.; Duan, S. Impact of Atmospheric Parameters on the Propagated Signal Power of Millimeter-Wave Bands Based on Real Measurement Data. IEEE Access 2019, 7, 113626–113641. [Google Scholar] [CrossRef]
  7. Yang, R.; Ma, H.; Li, L.; Zhu, C. Research on the influence of rainfall on millimeter wave Doppler fuze. In Proceedings of the 2011 Second International Conference on Mechanic Automation and Control Engineering, Hohhot, China, 15–17 July 2011; pp. 1577–1580. [Google Scholar]
  8. Yang, R.; Li, L.; Zhong, P.; Liu, K. Influence of Rain Doppler Frequency on MMW Doppler Fuze. In Proceedings of the 9th International Symposium on Antennas, Propagation and EM Theory, Guangzhou, China, 29 November–2 December 2010; pp. 521–524. [Google Scholar]
  9. Hasirlioglu, S.; Riener, A. A General Approach for Simulating Rain Effects on Sensor Data in Real and Virtual Environments. IEEE Trans. Intell. Veh. 2020, 5, 426–438. [Google Scholar] [CrossRef]
  10. Zang, S.; Ding, M.; Smith, D.; Tyler, P.; Rakotoarivelo, T.; Kaafar, M.A. The Impact of Adverse Weather Conditions on Autonomous Vehicles: How Rain, Snow, Fog, and Hail Affect the Performance of a Self-Driving Car. IEEE Veh. Technol. Mag. 2019, 14, 103–111. [Google Scholar] [CrossRef]
  11. Gourova, R.; Krasnov, O.; Yarovoy, A. Analysis of rain clutter detections in commercial 77 GHz automotive radar. In Proceedings of the 2017 European Radar Conference (EURAD), Nuremberg, Germany, 11–13 October 2017; pp. 25–28. [Google Scholar]
  12. Richard, V.W.; Kammerer, J.E.; Wallace, H.B. Rain backscatter measurements at millimeter wavelengths. IEEE Trans. Geosci. Remote Sens. 1988, 26, 244–252. [Google Scholar] [CrossRef]
  13. Yang, B.; Wu, K.; Guo, Z.; Huang, Z. Analysis of rain effects on millimeter wave fuze ground-echo characteristics. J. Phys. Conf. Ser. 2023, 2478, 122064. [Google Scholar] [CrossRef]
  14. Kobayashi, S.; Tanelli, S.; Im, E. Second-order multiple-scattering theory associated with backscattering enhancement for a millimeter wavelength weather radar with a finite beam width. Radio Sci. 2005, 40, 1–16. [Google Scholar] [CrossRef]
  15. Oguchi, T.; Ihara, T. Computer simulation of enhanced backscattering from randomly distributed spherical scatterers at 30 GHz and comparison with measurement. Radio Sci. 2006, 41, 1–10. [Google Scholar] [CrossRef]
  16. Wu, Z.; Yan, Y.; Chen, L. Monte Carlo simulation for millimeter wave propagation and scattering in rain medium. Int. J. Infrared Milli. Waves 1992, 13, 981–994. [Google Scholar]
  17. Grabner, M.; Kvicera, V. Multiple scattering in rain and fog on free-space optical links. J. Light. Technol. 2013, 32, 513–520. [Google Scholar] [CrossRef]
  18. Zhu, Y.; Nie, H.; Liu, Q.; Yang, Y.; Zhang, J. Research on the use of an ocean turbulence bubble simulation model to analyze wireless optical transmission characteristics. Electronics 2024, 13, 2626. [Google Scholar] [CrossRef]
  19. Wu, S.; Li, Y.; Wang, J.; Zhou, H.; Tang, C.; Guan, Y.; Guo, F.; Li, X. Numerical MCRT simulation and inter-symbol interference analysis of laser multipath transmission in airborne air-to-air channels. Photonics 2024, 11, 280. [Google Scholar] [CrossRef]
  20. Zhang, W.; Li, Y.; Huang, Z. Research on the characteristics of fog backscattering signals for frequency modulated continuous wave laser fuze. Optik 2016, 127, 9046–9055. [Google Scholar] [CrossRef]
  21. Liu, B.; Song, C.; Duan, Y. The characteristics simulation of FMCW laser backscattering signals. Opt. Rev. 2018, 25, 197–204. [Google Scholar] [CrossRef]
  22. Oguchi, T. Electromagnetic wave propagation and scattering in rain and other hydrometeors. Proc. IEEE 1983, 71, 1029–1078. [Google Scholar] [CrossRef]
  23. Marshall, J.S.; Palmer, W. The distribution of raindrops with size. J. Meteorol. 1948, 5, 165–166. [Google Scholar] [CrossRef]
  24. Ishimaru, A. Wave Propagation and Scattering in Random Media; Academic Press: Cambridge, MA, USA, 1997. [Google Scholar]
  25. Wiscombe, W.J. Improved Mie scattering algorithms. Appl. Opt. 1980, 19, 1505–1509. [Google Scholar] [CrossRef]
  26. Huang, J.; Cao, Y.; Raimundo, X.; Cheema, A.; Salous, S. Rain statistics investigation and rain attenuation modeling for millimeter wave short-range fixed links. IEEE Access 2019, 7, 156110–156120. [Google Scholar] [CrossRef]
  27. Degli Esposti, V.; Fuschini, F.; Vitucci, E.; Graziani, D. Measurement and Modelling of Scattering from Building Walls. 2005. Available online: https://citeseerx.ist.psu.edu/document?repid=rep1&type=pdf&doi=700ed00cad0cf1d3863c0a8ec14fbdd3bcac6a25 (accessed on 20 April 2024).
  28. Tian, H.; Liao, X.; Wang, Y.; Shao, Y.; Zhou, J.; Hu, T.; Zhang, J. Effect Level Based Parameterization Method for Diffuse Scattering Models at Millimeter-Wave Frequencies. IEEE Access 2019, 7, 93286–93293. [Google Scholar] [CrossRef]
  29. Hasirlioglu, S.; Riener, A. Introduction to rain and fog attenuation on automotive surround sensors. In Proceedings of the 2017 IEEE 20th International Conference on Intelligent Transportation Systems (ITSC), Yokohama, Japan, 16–19 October 2017; pp. 1–7. [Google Scholar]
  30. Cohen, J. Statistical power analysis for the behavioral science. Technometrics 1988, 31, 499–500. [Google Scholar]
  31. Jia, J.P.; He, X.Q.; Jin, Y.J. Statistics; Renmin University of China: Beijing, China, 2018. [Google Scholar]
Figure 1. Attenuation coefficient.
Figure 1. Attenuation coefficient.
Applsci 14 08352 g001
Figure 2. Rainfall scattering-phase function.
Figure 2. Rainfall scattering-phase function.
Applsci 14 08352 g002
Figure 3. Detection of MMW fuze under rainfall conditions, where the dots represent raindrops with different sizes, and the arrows indicate the propagation direction of MMW signals.
Figure 3. Detection of MMW fuze under rainfall conditions, where the dots represent raindrops with different sizes, and the arrows indicate the propagation direction of MMW signals.
Applsci 14 08352 g003
Figure 4. Coordinate system of (a) particle launch, (b) target scattering, and (c) raindrop scattering. The letter A represents the actual scattering direction of the particles, B and C represent the projections of the actual scattering direction on the XOY and YOZ planes, respectively. The green arrow, red arrow, and the blue arrow represent the actual direction of particle incidence, the actual scattering direction and its projections of the particles, the specular reflection direction and its projections.
Figure 4. Coordinate system of (a) particle launch, (b) target scattering, and (c) raindrop scattering. The letter A represents the actual scattering direction of the particles, B and C represent the projections of the actual scattering direction on the XOY and YOZ planes, respectively. The green arrow, red arrow, and the blue arrow represent the actual direction of particle incidence, the actual scattering direction and its projections of the particles, the specular reflection direction and its projections.
Applsci 14 08352 g004
Figure 5. Beat signal diagram at 9 m without rain: (a) time domain; (b) frequency domain.
Figure 5. Beat signal diagram at 9 m without rain: (a) time domain; (b) frequency domain.
Applsci 14 08352 g005
Figure 6. Beat signal spectrum at rainfall of 16 mm/h and operating frequency of 35 GHz: (a) 6 m, (b) 9 m, and (c) 12 m. The beat signal spectrum at rainfall of 50 mm/h and operating frequency of 35 GHz: (d) 6 m, (e) 9 m, and (f) 12 m. The beat signal spectrum at rainfall of 50 mm/h and operating frequency of 60 GHz: (g) 6 m, (h) 9 m, and (i) 12 m.
Figure 6. Beat signal spectrum at rainfall of 16 mm/h and operating frequency of 35 GHz: (a) 6 m, (b) 9 m, and (c) 12 m. The beat signal spectrum at rainfall of 50 mm/h and operating frequency of 35 GHz: (d) 6 m, (e) 9 m, and (f) 12 m. The beat signal spectrum at rainfall of 50 mm/h and operating frequency of 60 GHz: (g) 6 m, (h) 9 m, and (i) 12 m.
Applsci 14 08352 g006
Figure 7. Amplitude of (a) the target signal; (b) rain backscatter noise.
Figure 7. Amplitude of (a) the target signal; (b) rain backscatter noise.
Applsci 14 08352 g007
Figure 8. Beat signal spectrum at distance of 9 m, rainfall rate of 50 mm/h, and operating frequency of 60 GHz for 3 dB beam widths of (a) 120°, (b) 60°, and (c) 30°.
Figure 8. Beat signal spectrum at distance of 9 m, rainfall rate of 50 mm/h, and operating frequency of 60 GHz for 3 dB beam widths of (a) 120°, (b) 60°, and (c) 30°.
Applsci 14 08352 g008
Figure 9. Detection scenarios: (a) 35 GHz and 60 GHz; (b) 24 GHz. The arrows in the figure connect the actual detection scene and the virtual schematic scene.
Figure 9. Detection scenarios: (a) 35 GHz and 60 GHz; (b) 24 GHz. The arrows in the figure connect the actual detection scene and the virtual schematic scene.
Applsci 14 08352 g009
Figure 10. 24 GHz detector: (a) test results; (b) simulation result.
Figure 10. 24 GHz detector: (a) test results; (b) simulation result.
Applsci 14 08352 g010
Figure 11. Test results without rain and with torrential rain: (a) 35 GHz; (b) 60 GHz.
Figure 11. Test results without rain and with torrential rain: (a) 35 GHz; (b) 60 GHz.
Applsci 14 08352 g011
Figure 12. Bottom noise test result (a) in [8]; (b) simulation.
Figure 12. Bottom noise test result (a) in [8]; (b) simulation.
Applsci 14 08352 g012
Table 1. Rainfall attenuation at a detection distance of 20 m.
Table 1. Rainfall attenuation at a detection distance of 20 m.
Operating Frequency16 mm/h50 mm/h100 mm/h
24 GHz0.09 dB0.29 dB0.57 dB
35 GHz0.18 dB0.51 dB0.93 dB
60 GHz0.35 dB0.84 dB1.38 dB
Table 2. MMW fuze simulation parameters.
Table 2. MMW fuze simulation parameters.
ParametersValues
Modulation bandwidth F 150 MHz
Modulation period T2.5 µs
Operating frequency f c 24, 35, 60 GHz
Beam width θ 3 d B 120°
Fixed hardware signal delay τ 0 3 ns
Temperature25 °C
Rainfall amount16, 50 mm/h
Target scattering factor α 48
Table 3. Parameters of three detectors.
Table 3. Parameters of three detectors.
Parameters24 GHz35 GHz60 GHz
Modulation bandwidth250 MHz150 MHz150 MHz
Horizontal 3 dB beam width78°120°120°
Vertical 3 dB beam width23°120°120°
Farthest range10 m20 m20 m
Disclaimer/Publisher’s Note: The statements, opinions and data contained in all publications are solely those of the individual author(s) and contributor(s) and not of MDPI and/or the editor(s). MDPI and/or the editor(s) disclaim responsibility for any injury to people or property resulting from any ideas, methods, instructions or products referred to in the content.

Share and Cite

MDPI and ACS Style

Yang, B.; Guo, Z.; Wu, K.; Huang, Z. Study of Millimeter-Wave Fuze Echo Characteristics under Rainfall Conditions Using the Monte Carlo Method. Appl. Sci. 2024, 14, 8352. https://doi.org/10.3390/app14188352

AMA Style

Yang B, Guo Z, Wu K, Huang Z. Study of Millimeter-Wave Fuze Echo Characteristics under Rainfall Conditions Using the Monte Carlo Method. Applied Sciences. 2024; 14(18):8352. https://doi.org/10.3390/app14188352

Chicago/Turabian Style

Yang, Bing, Zhe Guo, Kaiwei Wu, and Zhonghua Huang. 2024. "Study of Millimeter-Wave Fuze Echo Characteristics under Rainfall Conditions Using the Monte Carlo Method" Applied Sciences 14, no. 18: 8352. https://doi.org/10.3390/app14188352

APA Style

Yang, B., Guo, Z., Wu, K., & Huang, Z. (2024). Study of Millimeter-Wave Fuze Echo Characteristics under Rainfall Conditions Using the Monte Carlo Method. Applied Sciences, 14(18), 8352. https://doi.org/10.3390/app14188352

Note that from the first issue of 2016, this journal uses article numbers instead of page numbers. See further details here.

Article Metrics

Back to TopTop