Introducing Cement-Enhanced Clay-Sand Columns under Footings Placed on Expansive Soils
Abstract
1. Introduction
2. Materials
2.1. Sand
2.2. Expansive Clay
2.3. Cement
| Property | Value | Standard Used |
|---|---|---|
| Specific gravity | 2.66 | ASTM D854 [25] |
| Range of particle size (mm) | 0.1–0.6 | |
| Coefficient of uniformity | 1.737 | ASTM D2487 [26] |
| Coefficient of curvature | 1.078 | ASTM D2487 [26] |
| USCS classification | Poorly graded sand | ASTM D2487 [26] |
| Property | Value | Standard Used |
|---|---|---|
| Liquid limit (%) | 140–150 | ASTM D4318 [27] |
| Plastic limit (%) | 45–50 | ASTM D4318 [27] |
| Plasticity index (%) | 95–100 | ASTM D4318 [27] |
| Specific gravity | 2.76 | ASTM D854 [25] |
| USCS classification | CH | ASTM D2487 [26] |
| Swelling potential (%) | 20–25 | ASTM D4546 [28] |
| Swelling pressure (kN/m2) | 500–600 | ASTM D4546 [28] |
| Chemical Compound | Percentage (%) |
|---|---|
| Na2O | 0.50 |
| MgO | 4.92 |
| Al2O3 | 15.82 |
| SiO2 | 55.86 |
| K2O | 5.22 |
| CaO | 1.74 |
| FeO | 9.39 |
3. Experimental Program
3.1. Sample Preparation of Mixtures
3.2. Curing of the Mixtures
3.3. Oedometer Testing
3.4. Unconfined Compression Test
4. Results and Discussion
4.1. Applications of the Cement-Enhanced Clay–Sand Columns
4.2. The Soil Overburden Pressure
4.3. The Compressibility Characteristics
4.4. The Swelling Potential
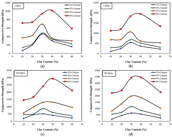
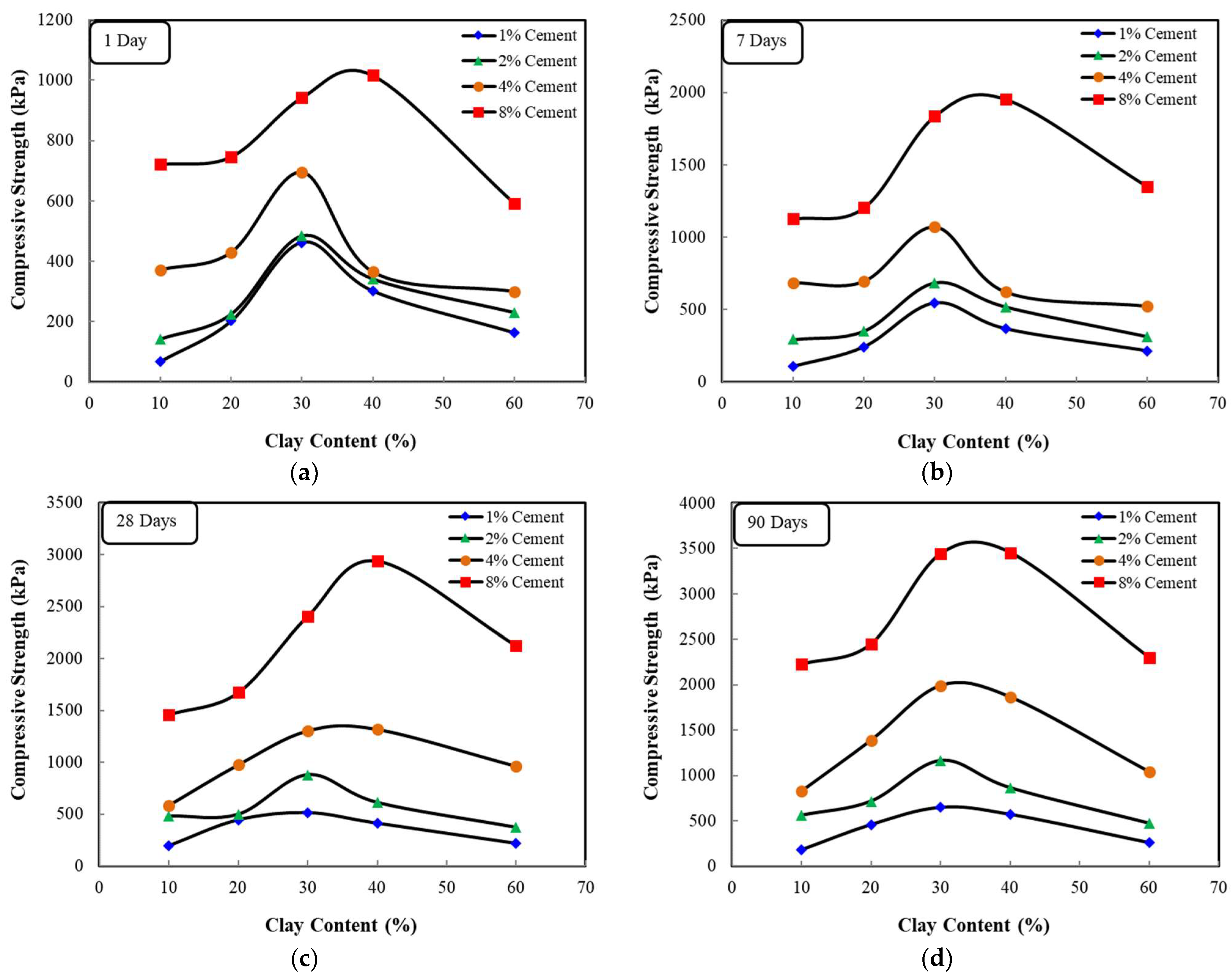
4.5. The Unconfined Compressive Strength
4.5.1. Effect of Clay and Cement Contents
4.5.2. Effect of the Curing Period for Different Clay Contents
5. Conclusions
Author Contributions
Funding
Institutional Review Board Statement
Informed Consent Statement
Data Availability Statement
Acknowledgments
Conflicts of Interest
Nomenclature
| CH | Clay with high plasticity |
| Q | AL-Qatif expansive clay |
| OMC | Optimum moisture content |
| ℽdmax | Maximum dry unit weight |
| Cc | Compression index |
| Cr | Rebound index |
| UCS | Unconfined compressive strength |
| SP | Swelling potential |
References
- Jones, L.D.; Jefferson, I. Expansive soils. In ICE Manual of Geotechnical Engineering. Volume 1, Geotechnical Engineering Principles, Problematic Soils and Site Investigation; ICE Publishing: London, UK, 2012; Volume 1, pp. 413–441. [Google Scholar]
- Miura, N.; Yamadera, A.; Hino, T. Consideration on compression properties of m clay based on the pore size distribution measurement. Doboku Gakkai Ronbunshu 1999, 1999, 203–215. [Google Scholar] [CrossRef][Green Version]
- Miura, N.; Horpibulsuk, S.; Nagaraj, T.S. Engineering behavior of cement stabilized clay at high water content. Soils Found. 2001, 41, 33–45. [Google Scholar] [CrossRef]
- Horpibulsuk, S.; Bergado, D.T.; Lorenzo, G.A. Compressibility of cement-admixed clays at high water content. Geotechnique 2004, 54, 151–154. [Google Scholar] [CrossRef]
- Horpibulsk, S.; Rachan, R.; Suddeepong, A.; Chinkulkijniwat, A. Strength development in cement admixed Bangkok clay: Laboratory and field investigations. Soils Found. 2011, 51, 239–251. [Google Scholar] [CrossRef]
- Khemissa, M.; Mahamedi, A. Cement and lime mixture stabilization of an expansive overconsolidated clay. Appl. Clay Sci. 2014, 95, 104–110. [Google Scholar] [CrossRef]
- Goodarzi, A.R.; Akbari, H.R.; Salimi, M. Enhanced stabilization of highly expansive clays by mixing cement and silica fume. Appl. Clay Sci. 2016, 132, 675–684. [Google Scholar] [CrossRef]
- Shafiee, A. Permeability of compacted granule-clay mixtures. Eng. Geol. 2008, 97, 199–208. [Google Scholar] [CrossRef]
- Mitchell, J.K.; Soga, K. Fundamentals of Soil Behavior; John Wiley & Sons: New York, NY, USA, 2005; Volume 3. [Google Scholar]
- Al-Rawas, A.A.; Mohamedzein, Y.E.A.; Al-Shabibi, A.S.; Al-Katheiri, S. Sand–attapulgite clay mixtures as a landfill liner. Geotech. Geol. Eng. 2006, 24, 1365–1383. [Google Scholar] [CrossRef]
- Azam, S. Study on the swelling behaviour of blended clay–sand soils. Geotech. Geol. Eng. 2007, 25, 369–381. [Google Scholar] [CrossRef]
- Obrike, S.E.; Osadebe, C.C.; Omoniyi, S.S. Geotechnical analysis of two Nigerian soils for use as clay liners. Bull. Eng. Geol. Environ. 2009, 68, 417–419. [Google Scholar] [CrossRef]
- Pratibha, P.; Ameta, N.K. Experimental investigation of compaction and hydraulic conductivity characteristics of dune sand–Clay mixture from thar desert. Electron. J. Geotech. Eng. 2013, 18, 2645–2651. [Google Scholar]
- Shaker, A.; Dafalla, M.; Al-Shamrani, M. Effect of Cement on Compressibility and Swell of Sand-Expansive Clay Mixtures. Geomate J. 2020, 19, 100–106. [Google Scholar] [CrossRef]
- Chen, Y.; Zhou, Y.; Kong, G.; Chen, L.; Chen, G. Settlement and stress analysis of soil–cement column-reinforced foundation under an in situ stabilized layer. Int. J. Geomech. 2021, 21, 6021032. [Google Scholar] [CrossRef]
- Wang, J.; Xie, J.; Wu, Y.; Wang, C.; Liang, F. An investigation of the effect of utilizing solidified soil as scour protection for offshore wind turbine foundations via a simplified scour resistance test. J. Mar. Sci. Eng. 2022, 10, 1317. [Google Scholar] [CrossRef]
- Wang, C.; Wu, Q.; Zhang, H.; Liang, F. Effect of scour remediation by solidified soil on lateral response of monopile supporting offshore wind turbines using numerical model. Appl. Ocean Res. 2024, 150, 104143. [Google Scholar] [CrossRef]
- Ahmad, R. Engineering Properties and Mineralogical Composition of Expansive Clays in Al-Qatif Area (KSA). Master’s Thesis, King Fahd University of Petroleum and Minerals, Dhahran, Saudi Arabia, 1988. [Google Scholar]
- Abduljauwad, S.N. Characteristics and chemical treatment of expansive clay in Al-Qatif, Saudi Arabia. Eng. Geol. 1991, 31, 143–158. [Google Scholar] [CrossRef]
- Al-Shayea, N.A. The combined effect of clay and moisture content on the behavior of remolded unsaturated soils. Eng. Geol. 2001, 62, 319–342. [Google Scholar] [CrossRef]
- Azam, S. Influence of mineralogy on swelling and consolidation of soils in eastern Saudi Arabia. Can. Geotech. J. 2003, 40, 964–975. [Google Scholar] [CrossRef]
- Elkady, T.Y.; Shaker, A.A.; Dhowain, A.W. Shear strengths and volume changes of sand–attapulgite clay mixtures. Bull. Eng. Geol. Environ. 2015, 74, 595–609. [Google Scholar] [CrossRef]
- Shaker, A.A.; Elkady, T.Y. Hydraulic performance of sand–clay mixtures: Soil fabric perspective. Géotech. Lett. 2015, 5, 198–204. [Google Scholar] [CrossRef]
- Dafalla, M.A. The Compressibility and Swell of Mixtures for Sand-Clay Liners. Adv. Mater. Sci. Eng. 2017, 2017, 3181794. [Google Scholar] [CrossRef]
- ASTM:D 854; Standard Test Methods for Specific Gravity of Soil Solids by Water Pycnometer. ASTM International: West Conshohocken, PA, USA, 2000; pp. 1–7.
- ASTM:D 2487; Standard Practice for Classification of Soils for Engineering Purposes (Unified Soil Classification System). ASTM International: West Conshohocken, PA, USA, 2000; pp. 249–260.
- ASTM:D 4318; Standard Test Methods for Liquid Limit, Plastic Limit, and Plasticity Index of Soils. ASTM International: West Conshohocken, PA, USA, 2000; pp. 1–14.
- ASTM:D 4546; Standard Test Methods for One-Dimensional Swell or Settlement Potential of Cohesive. ASTM International: West Conshohocken, PA, USA, 2003; Volume 3, pp. 1–9.
- ASTM: D 698; Standard Test Methods for Laboratory Compaction Characteristics of Soil Using Standard Effort (12, 400 ft-lbf/ft 3 (600 kN-m/m3)). ASTM International: West Conshohocken, PA, USA, 2003; Volume 3, pp. 1–11.
- ASTM:D 5102; Standard Test Method for Uncon ned Compressive Strength of Compacted Soil-Lime Mixtures. ASTM International: West Conshohocken, PA, USA, 2004; Volume 4, pp. 1–6.
- ASTM:D 2166; Standard Test Method for Unconfined Compressive Strength of Cohesive Soil. ASTM International: West Conshohocken, PA, USA, 2013; Volume 4, pp. 1–7.
- A Rashid, A.S.; Bunawan, A.R.; Mat Said, K.N. The deep mixing method: Bearing capacity studies. Geotech. Geol. Eng. 2017, 35, 1271–1298. [Google Scholar] [CrossRef]
- Alhamdi, M.K.; Albusoda, B.S. A Review on Deep mixing method for soil improvement. In Proceedings of the IOP Conference Series: Materials Science and Engineering, Andhra Pradesh, India, 7–8 May 2021; IOP Publishing: Bristol, UK, 2021; Volume 1105, p. 12110. [Google Scholar]
- Abas, H.A.; Alluqmani, A.E.; Yousif, I. Assessing deep soil mixing for excavation support in Sabkha soils: A numerical study. J. Umm Al Qura Univ. Eng. Archit. 2024, 15, 1–13. [Google Scholar] [CrossRef]
- Al-Qaisi, M.S.; Al-Waily, M.J.M. Experimental Study of Soft Clay Soil Improvement by Deep Mixing Method. Math. Model. Eng. Probl. 2022, 9, 224–232. [Google Scholar] [CrossRef]
- Puppala, A.J.; Pedarla, A. Innovative ground improvement techniques for expansive soils. Innov. Infrastruct. Solut. 2017, 2, 1–15. [Google Scholar] [CrossRef]
- Herzog, A.; Mitchell, J.K. Reactions accompanying stabilization of clay with cement. Highw. Res. Rec. 1963, 36, 146–171. [Google Scholar]
- Xiao, H.W.; Lee, F.H. Curing time effect on behavior of cement treated marine clay. Int. J. Mar. Environ. Sci. 2008, 2, 144–151. [Google Scholar]
- Kim, D.; Nam, B.H.; Youn, H. Effect of clay content on the shear strength of clay–sand mixture. Int. J. Geo Eng. 2018, 9, 19. [Google Scholar] [CrossRef]
- Miftah, A.; Garoushi, A.H.B.; Bilsel, H. Effects of fine content on undrained shear response of sand–clay mixture. Int. J. Geosynth. Gr. Eng. 2020, 6, 10. [Google Scholar] [CrossRef]
- Dafalla, M.A. Effects of clay and moisture content on direct shear tests for clay-sand mixtures. Adv. Mater. Sci. Eng. 2013, 2013, 562726. [Google Scholar] [CrossRef]
- Dafalla, M.; Shaker, A.; Elkady, T.; Almajed, A.; Al-Shamrani, M. Shear strength characteristics of a sand clay liner. Sci. Rep. 2020, 10, 18226. [Google Scholar] [CrossRef] [PubMed]
- Boutouba, K.; Benessalah, I.; Arab, A.; Henni, A.D. Shear strength enhancement of cemented reinforced sand: Role of cement content on the macro-mechanical behavior. Stud. Geotech. Mech. 2019, 41, 200–211. [Google Scholar] [CrossRef]
- Nguyen, T.T.; Nguyen, M.D.; Nguyen, T.; Phan, T.C. Interface shear strength behavior of cement-treated soil under consolidated drained conditions. Buildings 2023, 13, 1626. [Google Scholar] [CrossRef]
- Bayoumy, M.; El Sawwaf, M.; Nasr, A.; Elsawwaf, A. Strength characteristics of clayey sand stabilized using polypropylene fiber or Portland cement. Transp. Infrastruct. Geotechnol. 2024, 11, 1249–1271. [Google Scholar] [CrossRef]
- Almajed, A.; Dafalla, M.; Shaker, A.A. The Combined Effect of Calcium Chloride and Cement on Expansive Soil Materials. Appl. Sci. 2023, 13, 4811. [Google Scholar] [CrossRef]
- Thamer, B.M.; Shaker, A.A.; Hameed, M.M.A.; Al-Enizi, A.M. Highly selective and reusable nanoadsorbent based on expansive clay-incorporated polymeric nanofibers for cationic dye adsorption in single and binary systems. J. Water Process Eng. 2023, 54, 103918. [Google Scholar] [CrossRef]

















| Clay Content (%) | OMC (%) | ℽdmax (kN/m3) |
|---|---|---|
| 10 | 11 | 17.85 |
| 20 | 13 | 18.15 |
| 30 | 13.5 | 18.03 |
| 40 | 19 | 19 |
| 60 | 25 | 25 |
Disclaimer/Publisher’s Note: The statements, opinions and data contained in all publications are solely those of the individual author(s) and contributor(s) and not of MDPI and/or the editor(s). MDPI and/or the editor(s) disclaim responsibility for any injury to people or property resulting from any ideas, methods, instructions or products referred to in the content. |
© 2024 by the authors. Licensee MDPI, Basel, Switzerland. This article is an open access article distributed under the terms and conditions of the Creative Commons Attribution (CC BY) license (https://creativecommons.org/licenses/by/4.0/).
Share and Cite
Shaker, A.A.; Dafalla, M. Introducing Cement-Enhanced Clay-Sand Columns under Footings Placed on Expansive Soils. Appl. Sci. 2024, 14, 8152. https://doi.org/10.3390/app14188152
Shaker AA, Dafalla M. Introducing Cement-Enhanced Clay-Sand Columns under Footings Placed on Expansive Soils. Applied Sciences. 2024; 14(18):8152. https://doi.org/10.3390/app14188152
Chicago/Turabian StyleShaker, Abdullah A., and Muawia Dafalla. 2024. "Introducing Cement-Enhanced Clay-Sand Columns under Footings Placed on Expansive Soils" Applied Sciences 14, no. 18: 8152. https://doi.org/10.3390/app14188152
APA StyleShaker, A. A., & Dafalla, M. (2024). Introducing Cement-Enhanced Clay-Sand Columns under Footings Placed on Expansive Soils. Applied Sciences, 14(18), 8152. https://doi.org/10.3390/app14188152

