Effects of Water-Reducing Agents on the Mechanical Properties of Foamed Phosphogypsum
Abstract
1. Introduction
2. Experimental Section
2.1. Materials
2.2. Sample Preparation
2.3. Test Methods
3. Results and Discussion
3.1. Effect of the Water-Reducing Agents on the Mechanical Properties of the Foamed Phosphogypsum Samples
3.2. Effect of the Water-Reducing Agents on the Dry Density of the Foamed Phosphogypsum Samples
3.3. Discussion on the Effect of the Water-Reducing Agents on the Foamed Phosphogypsum Sample
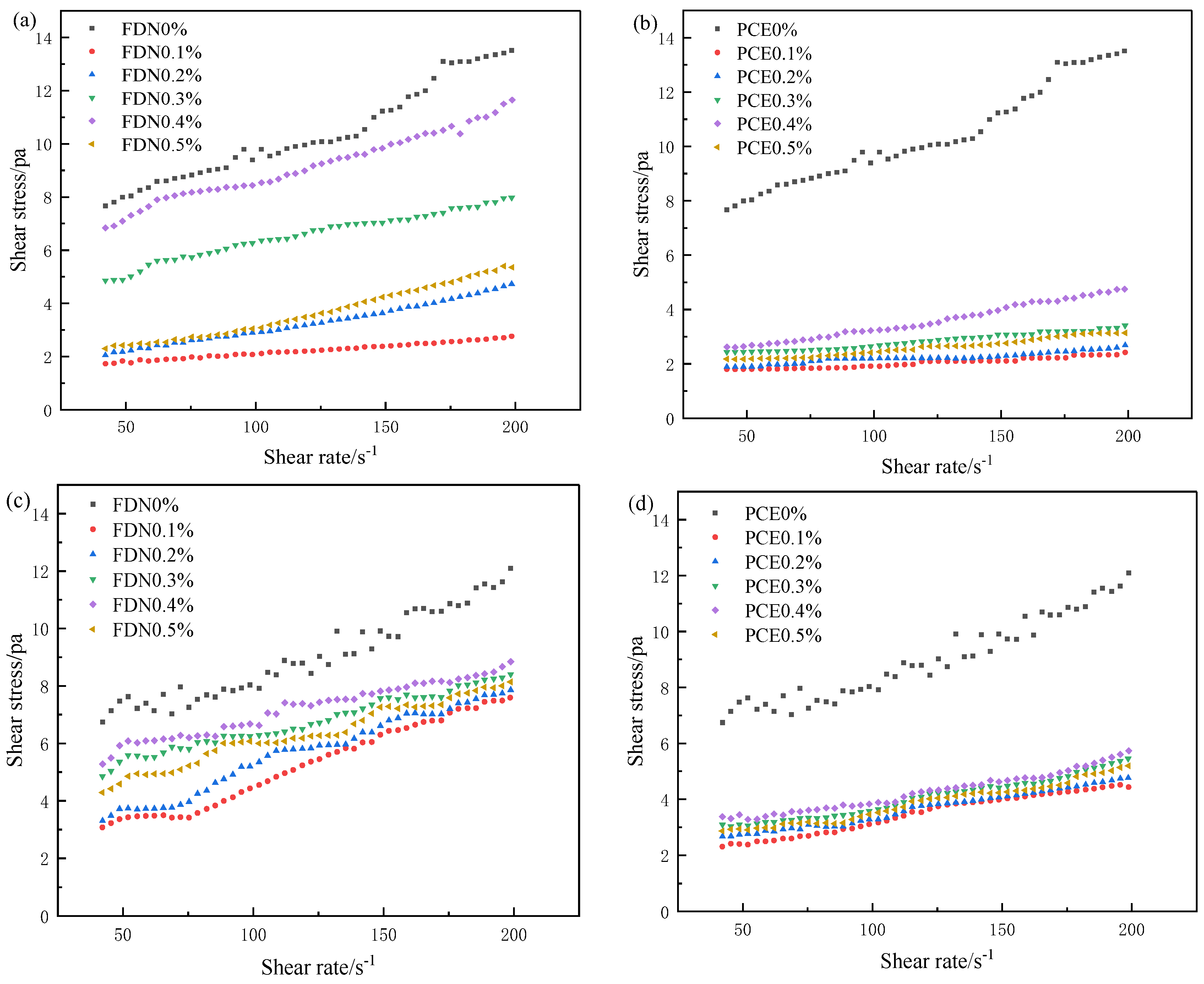
3.3.1. Effect of the Water-Reducing Agents on the Rheological Properties of the Foamed Phosphogypsum Slurries
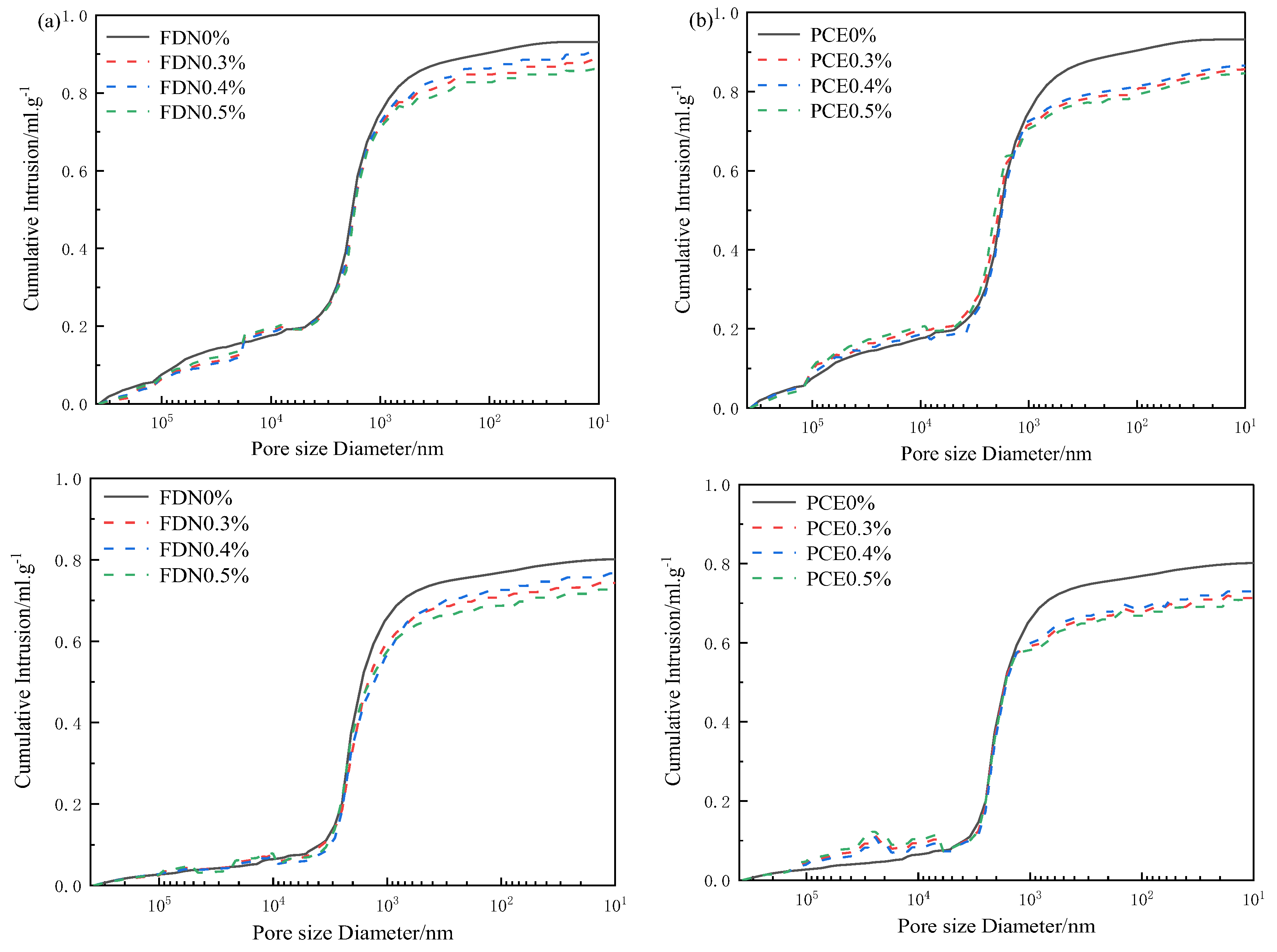
3.3.2. Effect of the Water-Reducing Agents on the Pore Structure Distribution of the Foamed Phosphogypsum Samples
3.4. Discussion
4. Conclusions
Author Contributions
Funding
Data Availability Statement
Acknowledgments
Conflicts of Interest
References
- Awad, S.; Essam, M.; Boukhriss, A.; Kamar, M.; Midani, M. Properties, Purification, and Applications of Phosphogypsum: A Comprehensive Review Towards Circular Economy. Mater. Circ. Econ. 2024, 6, 9. [Google Scholar] [CrossRef]
 - Bellefqih, H.; Bourgier, V.; Bilal, E.; Dumitraş, D.-G.; Marincea, Ş.; Mazouz, H.; Haneklaus, N. Effect of HPO42− and brushite on gypsum reactivity and implications for utilization of phosphogypsum in plaster production. J. Clean. Prod. 2024, 451, 142013. [Google Scholar]
 - Li, W.; Ma, L.; Qiu, S.; Yin, X.; Dai, Q.; Du, W. Sustainable Utilization of Phosphogypsum in Multi-Solid Waste Recycled Aggregates: Environmental Impact and Economic Viability. Sustainability 2024, 16, 1161. [Google Scholar] [CrossRef]
 - Guan, Q.; Wang, Z.; Zhou, F.; Yu, W.; Yin, Z.; Zhang, Z.; Chi, R.; Zhou, J. The Impurity Removal and Comprehensive Utilization of Phosphogypsum: A Review. Materials 2024, 17, 2067. [Google Scholar] [CrossRef] [PubMed]
 - Saadaoui, E.; Ghazel, N.; Ben Romdhane, C.; Massoudi, N. Phosphogypsum: Potential uses and problems–a review. Int. J. Environ. Stud. 2017, 74, 558–567. [Google Scholar] [CrossRef]
 - Rashad, A.M. Phosphogypsum as a construction material. J. Clean. Prod. 2017, 166, 732–743. [Google Scholar] [CrossRef]
 - Zhou, Y.; He, B. Status quo and suggestions for comprehensive utilization of phosphogypsum in China. Phosphate Fertil. Compd. Fertil. 2023, 38, 11–16. [Google Scholar]
 - Chernysh, Y.; Yakhnenko, O.; Chubur, V.; Roubík, H. Phogypsum recycling: A review of environmental issues, current trends, and prospects. Appl. Sci. 2021, 11, 1575. [Google Scholar] [CrossRef]
 - Yang, Z. Steadily promote the comprehensive utilization of phosphogypsum to help realize the implementation of the “double carbon” strategy. Phosphate Fertil. Compd. Fertil. 2023, 38, 4. [Google Scholar]
 - Zhou, J.; Li, X.; Zhao, Y.; Shu, Z.; Wang, Y.; Zhang, Y.; Shen, X. Preparation of paper-free and fiber-free plasterboard with high strength using phosphogypsum. Constr. Build. Mater. 2020, 243, 118091. [Google Scholar] [CrossRef]
 - Dong, Z.; Zhai, Y.; Ren, Z.; Yan, B. Research Progress on Resource Utilization of Phosphogypsum Building Materials. Inorg. Chem. Ind. 2022, 54, 5–9. [Google Scholar]
 - Jang, M.; Kang, C.-S.; Moon, J.H. Estimation of 222Rn release from the phosphogypsum board used in housing panels. J. Environ. Radioact. 2005, 80, 153–160. [Google Scholar] [CrossRef]
 - Murali, G.; Azab, M. Recent research in utilization of phosphogypsum as building materials. J. Mater. Res. Technol. 2023, 25, 960–987. [Google Scholar] [CrossRef]
 - Prasad, M.N.V. Resource potential of natural and synthetic gypsum waste. In Environmental Materials and Waste; Academic Press: Cambridge, MA, USA, 2016; pp. 307–337. [Google Scholar]
 - Zhao, X.; Xu, G. Research on the application of polycarboxylate superplasticizer in the production of gypsum materials. Chem. Eng. Equip. 2021, 3–4+24. [Google Scholar] [CrossRef]
 - Pundir, A.; Garg, M.; Singh, R. Evaluation of properties of gypsum plaster-superplasticizer blends of improved performance. J. Build. Eng. 2015, 4, 223–230. [Google Scholar] [CrossRef]
 - Cao, W.; Yi, W.; Yin, S.; Peng, J.; Li, J. A novel low-density thermal insulation gypsum reinforced with superplasticizers. Constr. Build. Mater. 2021, 278, 122421. [Google Scholar] [CrossRef]
 - Neuville, M.; Bossis, G.; Persello, J.; Volkova, O.; Boustingorry, P.; Mosquet, M. Rheology of a gypsum suspension in the presence of different superplasticizers. J. Rheol. 2012, 56, 435–451. [Google Scholar] [CrossRef]
 - Zhi, Z.; Ma, B.; Tan, H.; Guo, Y.; Jin, Z.; Yu, H.; Jian, S. Effect of competitive adsorption between polycarboxylate superplasticizer and hydroxypropylmethyl cellulose on rheology of gypsum paste. J. Mater. Civ. Eng. 2018, 30, 04018141. [Google Scholar] [CrossRef]
 - Zhang, M.; Wang, L.; Zhang, X.; Mi, X.; Sun, F.; Fang, Z.; Pei, M. Effect of Polycarboxylate Superplasticizer Modified by Sodium Hypophosphite on the Properties of β-Calcium Sulfate Hemihydrate. J. Mater. Civ. Eng. 2023, 35, 04022362. [Google Scholar] [CrossRef]
 - Capasso, I.; Pappalardo, L.; Romano, R.A.; Iucolano, F. Foamed gypsum for multipurpose applications in building. Constr. Build. Mater. 2021, 307, 124948. [Google Scholar] [CrossRef]
 - Zhao, Y. Optimal Design and Performance of Gypsum Foaming Agent and Foamed Gypsum. Master’s Thesis, East China University of Science and Technology, Shanghai, China, 2018. [Google Scholar]
 - Zhong, Z.; Chen, Y.; Zhao, H.; Kang, X. Effect of Foaming Agent on Physical and Mechanical Properties of Foamed Phosphogypsum. J. Mater. Civ. Eng. 2024, 36, 04023611. [Google Scholar] [CrossRef]
 - Çolak, A. Density and strength characteristics of foamed gypsum. Cem. Concr. Compos. 2000, 22, 193–200. [Google Scholar] [CrossRef]
 - Bazelova, Z.; Pach, L.; Lokaj, J. Effect of surface active substance concentration on the properties of foamed and non-foamed gypsum. Ceramics-Silikáty 2010, 54, 379–385. [Google Scholar]
 - Isern, E.R.; Messing, G.L. Messing. Direct foaming and seeding of highly porous, lightweight gypsum. J. Mater. Res. 2016, 31, 2244–2251. [Google Scholar] [CrossRef]
 - Mortada, N.; Phelipot-Mardelé, A.; Lanos, C. Impact of surfactant type on performances of gypsum foams. In CIGOS 2021, Emerging Technologies and Applications for Green Infrastructure: Proceedings of the 6th International Conference on Geotechnics, Civil Engineering and Structures, Ha Long, Vietnam, 28–29 October 2021; Springer: Singapore, 2022. [Google Scholar]
 - Feng, J.; Chen, H.; Zhou, M.; Wang, X.; Yang, Q.; Wang, L.; Song, C. Discussion on the compatibility of gypsum board admixtures. In Proceedings of the China Building Materials Federation Gypsum Building Materials Branch (Preparation) Annual Meeting and the Fourth National Gypsum Technology Exchange Conference and Exhibition Proceedings, Wuhan, China, 19 April 2009; Gypsum Building Materials Branch of China Building Materials Federation (in preparation), Editorial Department of Gypsum Building Materials: Beijing, China; Technology Center of Beijing New Group Building Materials Co., Ltd.: Beijing, China, 2009. [Google Scholar]
 - Xing, T.; Qu, S.; Wu, J. Main factors influencing the batching process of gypsum board. New Build. Mater. 2021, 48, 109–112. [Google Scholar]
 - Shen, R. Interaction of admixtures in the production of gypsum board on paper. Juye 2014, 7, 59–63. [Google Scholar]
 - Zeng, Z.; Zhao, Z.; Quan, S.; Wu, J.; Liang, Y.; Luan, Y. Study on Compatibility between Superplasticizer and Phosphor Building Gypsum-Based Cementitious Material. Non-Met. Mines 2017, 40, 32–35. [Google Scholar]
 - Gao, F.; Zhao, Z.; Quan, S.; Zhang, W.; Yao, Y.; Luan, Y. Different Water Reducing Agents on the Properties of beta Type Building Phosphogypsum. Bull. Chin. Ceram. Soc. 2017, 36, 960–964+978. [Google Scholar]
 - Zhang, Y.; Dai, S.; Ma, B.; Sun, Z.; Li, Y. Study on the regulation of slurry rheology in EPS-phosphogypsum composite system. Bull. Chin. Ceram. 2020, 39, 206–212+218. [Google Scholar]
 - Wang, J. Preparation and Basic Properties of Foamed Phosphogypsum Lightweight Materials; Harbin Institute of Technology: Harbin, China, 2016. [Google Scholar]
 - Zheng, J.; Wang, Z.; Liu, Y. GB/T 9776—2008 Revision Instructions for Building Gypsum. New Build. Mater. 2009, 36, 13–16. [Google Scholar]
 












| Sample | Chemical Composition (wt.%) | ||||||||||||
|---|---|---|---|---|---|---|---|---|---|---|---|---|---|
| Na2O | MgO | Al2O3 | SiO2 | P2O5 | SO3 | K2O | CaO | TiO2 | Fe2O3 | SrO | F | Others | |
| A | 0.12 | 0.22 | 0.2 | 6.77 | 1.09 | 49.8 | 0.34 | 39.6 | 0.16 | 0.51 | 0.17 | 0.01 | 1.01 | 
| B | 0.37 | 0.12 | 0.77 | 5.65 | 1.2 | 48.9 | 0.21 | 40.3 | 0.14 | 0.42 | 0.1 | 0.7 | 1.12 | 
| Sample | d (0.1; μm) | d (0.5; μm) | d (0.9; μm) | Specific Surface Area (m2/kg) | 
|---|---|---|---|---|
| A | 2.648 | 19.284 | 39.997 | 963 | 
| B | 3.776 | 31.191 | 128.867 | 660 | 
| Sample | Standard Thickness (%) | Initial Setting Time (min) | Final Setting Time (min) | Two-Hour Flexural Strength (MPa) | Absolute Flexural Strength (MPa) | Two-Hour Compressive Strength (MPa) | Absolute Compressive Flexural Strength (MPa) | 
|---|---|---|---|---|---|---|---|
| A | 0.76 | 3.20 | 6.20 | 2.7 | 4.2 | 4.8 | 11.8 | 
| B | 0.76 | 3.15 | 5.20 | 2.5 | 3.3 | 4.3 | 9.0 | 
| Type | W/C Ratio | Fluidity (mm) | 
|---|---|---|
| A | 0.760 | 180 | 
| A-0.1%FDN | 0.690 | 178 | 
| A-0.1%PCE | 0.720 | 178 | 
| A-0.2%FDN | 0.680 | 178 | 
| A-0.2%PCE | 0.700 | 180 | 
| A-0.3%FDN | 0.670 | 180 | 
| A-0.3%PCE | 0.690 | 178 | 
| A-0.4%FDN | 0.660 | 178 | 
| A-0.4%PCE | 0.680 | 178 | 
| A-0.5%FDN | 0.675 | 180 | 
| A-0.5%PCE | 0.695 | 180 | 
| B | 0.760 | 180 | 
| B-0.1%FDN | 0.700 | 178 | 
| B-0.1%PCE | 0.720 | 178 | 
| B-0.2%FDN | 0.670 | 178 | 
| B-0.2%PCE | 0.700 | 180 | 
| B-0.3%FDN | 0.650 | 180 | 
| B-0.3%PCE | 0.690 | 178 | 
| B-0.4%FDN | 0.640 | 178 | 
| B-0.4%PCE | 0.680 | 178 | 
| B-0.5%FDN | 0.660 | 180 | 
| B-0.5%PCE | 0.695 | 180 | 
| Sample | Dosage of Water Reducer (%)  | Two-Hour Flexural Strength (MPa) | Absolute Flexural Strength (MPa) | Two-Hour Compressive Strength (MPa) | Absolute Compressive Flexural Strength (MPa) | 
|---|---|---|---|---|---|
| Phosphogypsum A doped with FDN | 0.1 | 0.9 | 1.88 | 1.42 | 2.95 | 
| Phosphogypsum A doped with PCE | 0.1 | 0.89 | 1.73 | 1.36 | 2.90 | 
| Phosphogypsum A doped with FDN | 0.2 | 0.92 | 1.89 | 1.43 | 3.00 | 
| Phosphogypsum A doped with PCE | 0.2 | 0.9 | 1.82 | 1.38 | 2.95 | 
| Phosphogypsum A doped with FDN | 0.3 | 0.96 | 1.94 | 1.49 | 3.15 | 
| Phosphogypsum A doped with PCE | 0.3 | 0.92 | 1.88 | 1.44 | 3.05 | 
| Phosphogypsum A doped with FDN | 0.4 | 0.98 | 1.96 | 1.52 | 3.25 | 
| Phosphogypsum A doped with PCE | 0.4 | 0.94 | 1.92 | 1.47 | 3.15 | 
| Phosphogypsum A doped with FDN | 0.5 | 0.94 | 1.92 | 1.46 | 3.10 | 
| Phosphogypsum A doped with PCE | 0.5 | 0.91 | 1.85 | 1.41 | 3.00 | 
| Sample | Dosage of Water Reducer (%)  | Two-Hour Flexural Strength (MPa) | Absolute Flexural Strength (MPa) | Two-Hour Compressive Strength (MPa) | Absolute Compressive Flexural Strength (MPa) | 
|---|---|---|---|---|---|
| Phosphogypsum B doped with FDN | 0.1 | 0.73 | 1.16 | 1.1 | 2.13 | 
| Phosphogypsum B doped with PCE | 0.1 | 0.69 | 1.05 | 1.08 | 1.84 | 
| Phosphogypsum B doped with FDN | 0.2 | 0.74 | 1.17 | 1.15 | 2.16 | 
| Phosphogypsum B doped with PCE | 0.2 | 0.70 | 1.1 | 1.10 | 2.06 | 
| Phosphogypsum B doped with FDN | 0.3 | 0.8 | 1.29 | 1.23 | 2.33 | 
| Phosphogypsum B doped with PCE | 0.3 | 0.72 | 1.21 | 1.14 | 2.14 | 
| Phosphogypsum B doped with FDN | 0.4 | 0.82 | 1.48 | 1.28 | 2.60 | 
| Phosphogypsum B doped with PCE | 0.4 | 0.73 | 1.25 | 1.16 | 2.20 | 
| Phosphogypsum B doped with FDN | 0.5 | 0.77 | 1.23 | 1.19 | 2.22 | 
| Phosphogypsum B doped with PCE | 0.5 | 0.71 | 1.16 | 1.12 | 2.10 | 
Disclaimer/Publisher’s Note: The statements, opinions and data contained in all publications are solely those of the individual author(s) and contributor(s) and not of MDPI and/or the editor(s). MDPI and/or the editor(s) disclaim responsibility for any injury to people or property resulting from any ideas, methods, instructions or products referred to in the content.  | 
© 2024 by the authors. Licensee MDPI, Basel, Switzerland. This article is an open access article distributed under the terms and conditions of the Creative Commons Attribution (CC BY) license (https://creativecommons.org/licenses/by/4.0/).
Share and Cite
Yu, J.; Wang, H.; Wu, F.; Yu, H.; Guo, J. Effects of Water-Reducing Agents on the Mechanical Properties of Foamed Phosphogypsum. Appl. Sci. 2024, 14, 8147. https://doi.org/10.3390/app14188147
Yu J, Wang H, Wu F, Yu H, Guo J. Effects of Water-Reducing Agents on the Mechanical Properties of Foamed Phosphogypsum. Applied Sciences. 2024; 14(18):8147. https://doi.org/10.3390/app14188147
Chicago/Turabian StyleYu, Jian, Hongxia Wang, Fade Wu, Haiyan Yu, and Junhua Guo. 2024. "Effects of Water-Reducing Agents on the Mechanical Properties of Foamed Phosphogypsum" Applied Sciences 14, no. 18: 8147. https://doi.org/10.3390/app14188147
APA StyleYu, J., Wang, H., Wu, F., Yu, H., & Guo, J. (2024). Effects of Water-Reducing Agents on the Mechanical Properties of Foamed Phosphogypsum. Applied Sciences, 14(18), 8147. https://doi.org/10.3390/app14188147
        