Speed Control for PMSM with Fast-Terminal Super-Twisting Sliding Mode Controller via Extended State Disturbance Observer
Abstract
1. Introduction
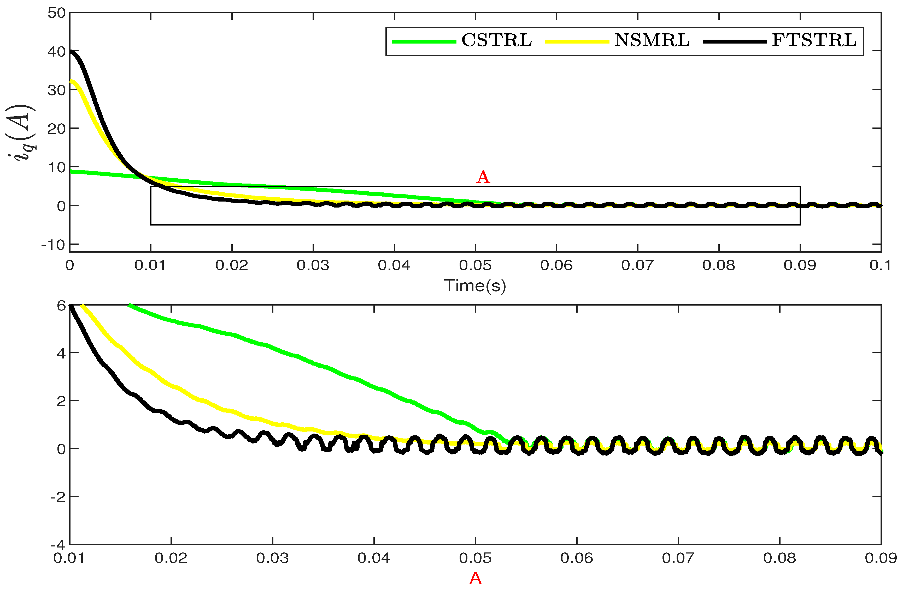
- An FTSTRL is built to shorten the reaching time from the initial value to the sliding surface to enhance the robustness of sliding mode control.
- In terms of anti-interference, the FTSTSMC demonstrates strong anti-interference capabilities due to the application of the FTSTRL.
- There was coordination between the ESDO and the FTSTSMC to achieve feedforward compensation.
- This was validated by comparing the FTSTRL with the CSTRL and NSMRL, using metrics like integrated square error (ISE), integrated time square error (ITSE), integrated absolute error (IAE), and integrated time absolute error (ITAE) for detailed comparative and quantitative analyses.
2. PMSM Modeling
- Stator core saturation is ignored, assuming the magnetic circuit is linear and inductance parameters remain constant.
- Core eddy current and hysteresis losses are neglected.
- The electrical conductivity of the rotor’s permanent magnet material is assumed to be zero.
- There are no damper windings on the rotor.
- The currents in the stator are three-phase balanced sine waves.
- and represent the voltages along the d-axis and q-axis, respectively.
- R denotes the stator resistance.
- and indicate the currents along the d-axis and q-axis, respectively.
- and signify the inductances along the d-axis and q-axis, respectively.
- p is the number of pole pairs.
- is the motor’s mechanical angular velocity.
- is the flux linkage of the permanent magnet.
3. Controller Design
3.1. Traditional Super-Twisting Reaching Law
- Selecting an appropriate sliding surface.
- Designing the control law to ensure that the system trajectory converges to the sliding surface under the influence of the control law.
3.2. Fast-Terminal Super-Twisting Reaching Law
3.3. Design of the Sliding Mode Controller for the Speed Loop via the FTSTRL
4. Disturbance Estimation with Extended State Disturbance Observer
4.1. Design of Extended State Disturbance Observer
4.2. Stability Analysis via Extended State Disturbance Observer
5. Simulation
6. Conclusions
Author Contributions
Funding
Institutional Review Board Statement
Informed Consent Statement
Data Availability Statement
Conflicts of Interest
References
- Skowron, M.; Orlowska-Kowalska, T.; Kowalski, C.T. Detection of permanent magnet damage of PMSM drive based on direct analysis of the stator phase currents using convolutional neural network. IEEE Trans. Ind. Electron. 2022, 69, 13665–13675. [Google Scholar] [CrossRef]
- Wang, X.; Ren, S.; Xiao, D.; Meng, X.; Fang, G.; Wang, Z. Fault-Tolerant Control of Open-Circuit Faults in Standard PMSM Drives Considering Torque Ripple and Copper Loss. IEEE Trans. Transp. Electrif. 2024, 10, 4239–4251. [Google Scholar] [CrossRef]
- Chen, Q.; Li, Y.; Hong, Y.; Shi, H. Prescribed-Time Robust Repetitive Learning Control for PMSM Servo Systems. IEEE Trans. Ind. Electron. 2024, 71, 14753–14763. [Google Scholar] [CrossRef]
- Kiselev, A.; Catuogno, G.R.; Kuznietsov, A.; Leidhold, R. Finite-Control-Set MPC for Open-Phase Fault-Tolerant Control of PM Synchronous Motor Drives. IEEE Trans. Ind. Electron. 2020, 67, 4444–4452. [Google Scholar] [CrossRef]
- Nguyen, H.V.; Suleimenov, K.; Nguyen, B.H.; Vo-Duy, T.; Ta, M.C.; Duc Do, T. Dynamical Delay Unification of Disturbance Observation Techniques for PMSM Drives Control. IEEE/ASME Trans. Mechatron. 2022, 27, 5560–5571. [Google Scholar] [CrossRef]
- Wu, X.; Huang, S.; Liu, K.; Lu, K.; Hu, Y.; Pan, W.; Peng, X. Enhanced Position Sensorless Control Using Bilinear Recursive Least Squares Adaptive Filter for Interior Permanent Magnet Synchronous Motor. IEEE Trans. Power Electron. 2020, 35, 681–698. [Google Scholar] [CrossRef]
- Zhang, X.; Sun, L.; Zhao, K.; Sun, L. Nonlinear speed control for PMSM system using sliding-mode control and disturbance compensation techniques. IEEE Trans. Power Electron. 2012, 28, 1358–1365. [Google Scholar] [CrossRef]
- Liu, C.; Luo, G.; Chen, Z.; Tu, W. Measurement delay compensated LADRC based current controller design for PMSM drives with a simple parameter tuning method. ISA Trans. 2020, 101, 482–492. [Google Scholar] [CrossRef]
- Tian, M.; Wang, B.; Yu, Y.; Dong, Q.; Xu, D. Discrete-Time Repetitive Control-Based ADRC for Current Loop Disturbances Suppression of PMSM Drives. IEEE Trans. Ind. Inform. 2022, 18, 3138–3149. [Google Scholar] [CrossRef]
- Niu, F.; Chen, X.; Huang, S.; Huang, X.; Wu, L.; Li, K.; Fang, Y. Model predictive current control with adaptive-adjusting timescales for PMSMs. CES Trans. Electr. Mach. Syst. 2021, 5, 108–117. [Google Scholar] [CrossRef]
- Chen, Y.; Wang, X.; Xiao, D.; Ma, D.; Yang, X.; Wang, Z. Model predictive control of five-level open-end winding PMSM drives. IEEE Trans. Transp. Electr. 2024; in press. [Google Scholar] [CrossRef]
- You, S.; Gil, J.; Kim, W. Adaptive Neural Network Control Using Nonlinear Information Gain for Permanent Magnet Synchronous Motors. IEEE Trans. Cybern. 2023, 53, 1392–1404. [Google Scholar] [CrossRef] [PubMed]
- Pang, S.; Zhang, Y.; Huangfu, Y.; Li, X.; Tan, B.; Li, P.; Tian, C.; Quan, S. A Virtual MPC-Based Artificial Neural Network Controller for PMSM Drives in Aircraft Electric Propulsion System. IEEE Trans. Ind. Appl. 2024, 60, 3603–3612. [Google Scholar] [CrossRef]
- Zhang, D.; Hu, J.; Cheng, J.; Wu, Z.G.; Yan, H. A Novel Disturbance Observer Based Fixed-Time Sliding Mode Control for Robotic Manipulators with Global Fast Convergence. IEEE/CAA J. Autom. Sin. 2024, 11, 661–672. [Google Scholar] [CrossRef]
- Feng, J.; Wang, W.; Zeng, H.B. Integral Sliding Mode Control for a Class of Nonlinear Multi-Agent Systems with Multiple Time-Varying Delays. IEEE Access 2024, 12, 10512–10520. [Google Scholar] [CrossRef]
- Zwerger, T.; Mercorelli, P. Optimal control strategies for PMSM with a decoupling super twisting SMC and inductance estimation in the presence of saturation. J. Frankl. Inst. 2024, 361, 106934. [Google Scholar] [CrossRef]
- Junejo, A.K.; Xu, W.; Mu, C.; Ismail, M.M.; Liu, Y. Adaptive speed control of PMSM drive system based a new sliding-mode reaching law. IEEE Trans. Power Electron. 2020, 35, 12110–12121. [Google Scholar] [CrossRef]
- Xu, W.; Junejo, A.K.; Liu, Y.; Islam, M.R. Improved continuous fast terminal sliding mode control with extended state observer for speed regulation of PMSM drive system. IEEE Trans. Veh. Technol. 2019, 68, 10465–10476. [Google Scholar] [CrossRef]
- Wang, Y.; Feng, Y.; Zhang, X.; Liang, J.; Cheng, X. New reaching law control for permanent magnet synchronous motor with extended disturbance observer. IEEE Access 2019, 7, 186296–186307. [Google Scholar] [CrossRef]
- Zhang, D.; Zhang, H.; Li, X.; Zhao, H.; Zhang, Y.; Wang, S.; Ahmad, T.; Liu, T.; Shuang, F.; Wu, T. A PMSM control system for electric vehicle using improved exponential reaching law and proportional resonance theory. IEEE Trans. Veh. Technol. 2023, 72, 8566–8578. [Google Scholar] [CrossRef]
- Zhang, Z.; Yang, X.; Wang, W.; Chen, K.; Cheung, N.C.; Pan, J. Enhanced Sliding Mode Control for PMSM Speed Drive Systems Using a Novel Adaptive Sliding Mode Reaching Law Based on Exponential Function. IEEE Trans. Ind. Electron. 2024, 71, 11978–11988. [Google Scholar] [CrossRef]
- Wang, H.; Shi, L.; Man, Z.; Zheng, J.; Li, S.; Yu, M.; Jiang, C.; Kong, H.; Cao, Z. Continuous fast nonsingular terminal sliding mode control of automotive electronic throttle systems using finite-time exact observer. IEEE Trans. Ind. Electron. 2018, 65, 7160–7172. [Google Scholar] [CrossRef]
- Nguyen, T.H.; Nguyen, T.T.; Nguyen, V.Q.; Le, K.M.; Tran, H.N.; Jeon, J.W. An adaptive sliding-mode controller with a modified reduced-order proportional integral observer for speed regulation of a permanent magnet synchronous motor. IEEE Trans. Ind. Electron. 2021, 69, 7181–7191. [Google Scholar] [CrossRef]
- Wang, Y.; Feng, Y.; Zhang, X.; Liang, J. A New Reaching Law for Antidisturbance Sliding-Mode Control of PMSM Speed Regulation System. IEEE Trans. Power Electron. 2020, 35, 4117–4126. [Google Scholar] [CrossRef]
- Zhao, K.; Jia, N.; She, J.; Dai, W.; Zhou, R.; Liu, W.; Li, X. Robust model-free super-twisting sliding-mode control method based on extended sliding-mode disturbance observer for PMSM drive system. Control Eng. Pract. 2023, 139, 105657. [Google Scholar] [CrossRef]
- Fu, B.; Che, W.; Wang, Q.; Liu, Y.; Yu, H. Improved sliding-mode control for a class of disturbed systems based on a disturbance observer. J. Frankl. Inst. 2024, 361, 106699. [Google Scholar] [CrossRef]
- Huang, H.; Yu, C.; Sun, Z.; Zhang, Y.; Zhao, Z. Sliding mode control strategy based on disturbance observer for permanent magnet in-wheel motor. Sci. Rep. 2024, 14, 16151. [Google Scholar] [CrossRef]
- Levant, A. Sliding order and sliding accuracy in sliding mode control. Int. J. Control 1993, 58, 1247–1263. [Google Scholar] [CrossRef]
- Feng, Y.; Yu, X.; Han, F. On nonsingular terminal sliding-mode control of nonlinear systems. Automatica 2013, 49, 1715–1722. [Google Scholar] [CrossRef]
- Gao, Z. Active disturbance rejection control: A paradigm shift in feedback control system design. In Proceedings of the American Control Conference, Minneapolis, MN, USA, 14–16 June 2006; IEEE: Piscataway, NJ, USA, 2006; p. 7. [Google Scholar]
- Hu, M.; Ahn, H.; Chung, Y.; You, K. Speed regulation for PMSM with super-twisting sliding-mode controller via disturbance observer. Mathematics 2023, 11, 1618. [Google Scholar] [CrossRef]










| Parameters | Value | Unit |
|---|---|---|
| Resistance | 2.875 | |
| Inductance | 8.5 | |
| Flux linkage | 0.175 | |
| Inertia J | 0.0003 | |
| Damping coefficient | 0.0008 | |
| Pole pairs | 4 | |
| Switching frequency | 20,000 |
| Parameters | Value |
|---|---|
| 15 | |
| 9 | |
| 0.0005 |
| Reaching Laws | Value |
|---|---|
| CSTRL | |
| NSMRL | |
| FTSTRL |
Disclaimer/Publisher’s Note: The statements, opinions and data contained in all publications are solely those of the individual author(s) and contributor(s) and not of MDPI and/or the editor(s). MDPI and/or the editor(s) disclaim responsibility for any injury to people or property resulting from any ideas, methods, instructions or products referred to in the content. |
© 2024 by the authors. Licensee MDPI, Basel, Switzerland. This article is an open access article distributed under the terms and conditions of the Creative Commons Attribution (CC BY) license (https://creativecommons.org/licenses/by/4.0/).
Share and Cite
Wang, H.; Zhang, G.; Liu, X. Speed Control for PMSM with Fast-Terminal Super-Twisting Sliding Mode Controller via Extended State Disturbance Observer. Appl. Sci. 2024, 14, 8126. https://doi.org/10.3390/app14188126
Wang H, Zhang G, Liu X. Speed Control for PMSM with Fast-Terminal Super-Twisting Sliding Mode Controller via Extended State Disturbance Observer. Applied Sciences. 2024; 14(18):8126. https://doi.org/10.3390/app14188126
Chicago/Turabian StyleWang, Hengqiang, Guangming Zhang, and Xiaojun Liu. 2024. "Speed Control for PMSM with Fast-Terminal Super-Twisting Sliding Mode Controller via Extended State Disturbance Observer" Applied Sciences 14, no. 18: 8126. https://doi.org/10.3390/app14188126
APA StyleWang, H., Zhang, G., & Liu, X. (2024). Speed Control for PMSM with Fast-Terminal Super-Twisting Sliding Mode Controller via Extended State Disturbance Observer. Applied Sciences, 14(18), 8126. https://doi.org/10.3390/app14188126

