A Novel Study on the Functional Capacity of Athletes and Its Influence on Their Fear of Pain and Injuries
Abstract
1. Introduction
2. Materials and Methods
Data Collection and Analytical Instruments
3. Results of Data Training and Discussion
- Compilation of the dataset;
- Preprocessing of the data;
- Implementation of neural network models;
- Evaluation of the model.
3.1. Dataset Acquisition
3.2. Data Preprocessing
3.3. Neural Network Modeling
3.3.1. Accuracy
- TPs (true positives) = 282;
- TNs (True negatives) = 342;
- FPs (False positives) = 16;
- FNs (False negatives) = 20.
3.3.2. Recall
3.3.3. Precision
3.3.4. F1-Score
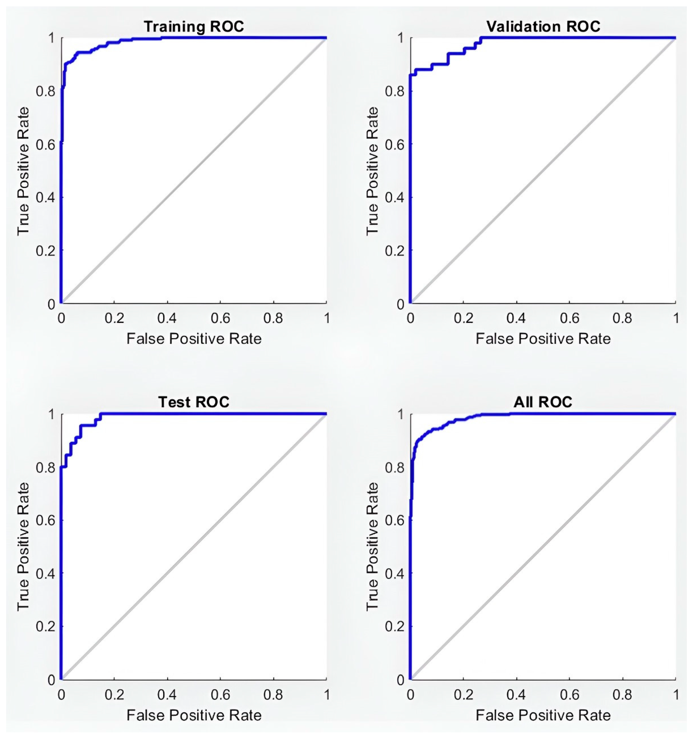
3.4. Receiver Operating Characteristics (ROC) and Area under the Curve (AUC)
3.5. Predictive Factors Analysis
3.6. Interpretation of Coefficients
4. Discussion
4.1. Positive Factors
4.2. Negative Factors
4.3. Neutral or Low Influence Factors
4.4. Clinical and Practical Implications
5. Conclusions
6. Future Work
Author Contributions
Funding
Institutional Review Board Statement
Informed Consent Statement
Data Availability Statement
Acknowledgments
Conflicts of Interest
References
- van Niekerk, M.; Matzkin, E.; Christino, M.A. Psychological Aspects of Return to Sport for the Female Athlete. Arthrosc. Sports Med. Rehabil. 2023, 5, 100738. [Google Scholar] [CrossRef] [PubMed]
- Hidrus, A.B.; Kueh, Y.C.; Arifin, W.N.; Konter, E.; Kuan, G. Sports Courage in Malaysian Silat Athletes: Confirmatory Factor Analysis of the Malay Language Version. Int. J. Environ. Res. Public Health 2020, 17, 1736. [Google Scholar] [CrossRef] [PubMed]
- Sutcliffe, J.H.; Greenberger, P.A. Identifying Psychological Difficulties in College Athletes. J. Allergy Clin. Immunol. Pract. 2020, 8, 2216–2219. [Google Scholar] [CrossRef]
- Sun, J.; Fan, X.; Li, H. How Do High-Performance Work Systems Affect Work Fatigue: The Mediating Effect of Job Responsibility and Role Overload. PLoS ONE 2022, 17, e0269452. [Google Scholar] [CrossRef]
- Huang, J. Identification of Sports Athletes Psychological Stress Based on K-Means Optimized Hierarchical Clustering. Comput. Intell. Neurosci. 2022, 2022, 55797. [Google Scholar] [CrossRef] [PubMed]
- Neil, R.; Hanton, S.; Mellalieu, S.D.; Fletcher, D. Competition Stress and Emotions in Sport Performers: The Role of Further Appraisals. Psychol. Sport Exerc. 2011, 12, 460–470. [Google Scholar] [CrossRef]
- Fessi, M.S.; Moalla, W. Postmatch Perceived Exertion, Feeling, and Wellness in Professional Soccer Players. Int. J. Sports Physiol. Perform. 2018, 13, 631–637. [Google Scholar] [CrossRef] [PubMed]
- Calhoun, J.W.; Herring, K.M.; Iadevito, T.L. Systemic Issues Involved in Working with Professional Sports Teams. Clin. Sports Med. 2005, 24, 929–942. [Google Scholar] [CrossRef] [PubMed]
- Vega, A.; Cabello, R.; Megías-Robles, A.; Gómez-Leal, R.; Fernández-Berrocal, P. Emotional Intelligence and Aggressive Behaviors in Adolescents: A Systematic Review and Meta-Analysis. Trauma Violence Abus. 2021, 23, 1173–1183. [Google Scholar] [CrossRef]
- Tucker, L.W.; Parks, J.B. Effects of Gender and Sport Type on Intercollegiate Athletes’ Perceptions of the Legitimacy of Aggressive Behaviors in Sport. Sociol. Sport J. 2001, 18, 403–413. [Google Scholar] [CrossRef]
- Bovolon, L.; Mallia, L.; De Maria, A.; Bertollo, M.; Berchicci, M. Modulatory Role of Sport Factors on Amateur and Competitive Athletes’ Aggressive and Antisocial Behaviors. Heliyon 2024, 10, e23321. [Google Scholar] [CrossRef] [PubMed]
- Bordeleau, M.; Vincenot, M.; Lefevre, S.; Duport, A.; Seggio, L.; Breton, T.; Lelard, T.; Serra, E.; Roussel, N.; Das Neves, J.F.; et al. Treatments for Kinesiophobia in People with Chronic Pain: A Scoping Review. Front. Behav. Neurosci. 2022, 16, 933483. [Google Scholar] [CrossRef] [PubMed]
- Watanabe, K.; Koshino, Y.; Kawahara, D.; Akimoto, M.; Mishina, M.; Nakagawa, K.; Ishida, T.; Kasahara, S.; Samukawa, M.; Tohyama, H. Kinesiophobia, Self-Reported Ankle Function, and Sex Are Associated with Perceived Ankle Instability in College Club Sports Athletes with Chronic Ankle Instability. Phys. Ther. Sport 2023, 61, 45–50. [Google Scholar] [CrossRef] [PubMed]
- Alshahrani, M.S.; Reddy, R.S. Relationship between Kinesiophobia and Ankle Joint Position Sense and Postural Control in Individuals with Chronic Ankle Instability—A Cross-Sectional Study. Int. J. Environ. Res. Public Health 2022, 19, 2792. [Google Scholar] [CrossRef] [PubMed]
- Alaminos-Torres, A.; Martínez-Álvarez, J.R.; Martínez-Lorca, M.; López-Ejeda, N.; Marrodán Serrano, M.D. Fatigue, Work Overload, and Sleepiness in a Sample of Spanish Commercial Airline Pilots. Behav. Sci. 2023, 13, 300. [Google Scholar] [CrossRef] [PubMed]
- Dupuis, F.; Cherif, A.; Batcho, C.; Massé-Alarie, H.; Roy, J.S. The Tampa Scale of Kinesiophobia: A Systematic Review of Its Psychometric Properties in People with Musculoskeletal Pain. Clin. J. Pain 2023, 39, 236–247. [Google Scholar] [CrossRef] [PubMed]
- French, D.J.; France, C.R.; Vigneau, F.; French, J.A.; Evans, R.T. Fear of Movement/(Re)Injury in Chronic Pain: A Psychometric Assessment of the Original English Version of the Tampa Scale for Kinesiophobia (TSK). Pain 2007, 127, 42–51. [Google Scholar] [CrossRef] [PubMed]
- Roelofs, J.; Goubert, L.; Peters, M.L.; Vlaeyen, J.W.S.; Crombez, G. The Tampa Scale for Kinesiophobia: Further Examination of Psychometric Properties in Patients with Chronic Low Back Pain and Fibromyalgia. Eur. J. Pain 2004, 8, 495–502. [Google Scholar] [CrossRef] [PubMed]
- Heath, M.R. Editorial Commentary: Supporting Patients Psychologically and Reducing Kinesiophobia May Improve Anterior Cruciate Ligament Reconstruction Outcomes. Arthrosc. J. Arthrosc. Relat. Surg. 2023, 39, 2056–2057. [Google Scholar] [CrossRef] [PubMed]
- Reinking, S.; Seehusen, C.N.; Walker, G.A.; Wilson, J.C.; Howell, D.R. Transitory Kinesiophobia after Sport-Related Concussion and Its Correlation with Reaction Time. J. Sci. Med. Sport 2022, 25, 20–24. [Google Scholar] [CrossRef]
- McLean, S.A.; Clauw, D.J.; Abelson, J.L.; Liberzon, I. The Development of Persistent Pain and Psychological Morbidity after Motor Vehicle Collision: Integrating the Potential Role of Stress Response Systems into a Biopsychosocial Model. Psychosom. Med. 2005, 67, 783–790. [Google Scholar] [CrossRef] [PubMed]
- Staiano, W.; Bonet, L.R.S.; Romagnoli, M.; Ring, C. Mental Fatigue Impairs Repeated Sprint and Jump Performance in Team Sport Athletes. J. Sci. Med. Sport 2024, 27, 105–112. [Google Scholar] [CrossRef] [PubMed]
- Font, M.M. Clinical Applications of Nuclear Medicine in the Diagnosis and Evaluation of Musculoskeletal Sports Injuries. Rev. Española Med. Nucl. Imagen Mol. (Engl. Ed.) 2020, 39, 112–134. [Google Scholar] [CrossRef]
- Silva, A.; Pinto Pinheiro, L.S.; Silva, S.; Andrade, H.; Pereira, A.G.; Rodrigues da Silva, F.; Guerreiro, R.; Barreto, B.; Resende, R.; Túlio de Mello, M. Sleep in Paralympic Athletes and Its Relationship with Injuries and Illnesses. Phys. Ther. Sport 2022, 56, 24–31. [Google Scholar] [CrossRef] [PubMed]
- Levitt, D.E.; Luk, H.Y.; Vingren, J.L. Alcohol, Resistance Exercise, and MTOR Pathway Signaling: An Evidence-Based Narrative Review. Biomolecules 2022, 13, 2. [Google Scholar] [CrossRef]
- Salvador, E.M.E.S.; Franco, K.F.M.; Miyamoto, G.C.; Franco, Y.R.d.S.; Cabral, C.M.N. Analysis of the Measurement Properties of the Brazilian-Portuguese Version of the Tampa Scale for Kinesiophobia-11 in Patients with Fibromyalgia. Braz. J. Phys. Ther. 2021, 25, 168–174. [Google Scholar] [CrossRef] [PubMed]
- van Iersel, T.P.; Larsen van Gastel, M.; Versantvoort, A.; Hekman, K.M.C.; Sierevelt, I.N.; Broekman, B.F.P.; van den Bekerom, M.P.J.; den Arend, M.C.; Boon, F.; Versluis, E.J.; et al. The Modified Tampa-Scale of Kinesiophobia for Anterior Shoulder Instability. Arthrosc. Sports Med. Rehabil. 2023, 5, 100768. [Google Scholar] [CrossRef] [PubMed]
- Juegos Olímpicos de Tokio: Atletas UVM de México|Blog UVM. Available online: https://blog.uvm.mx/juegos-olimpicos-de-tokio-conoce-a-los-atletas-que-representan-a-mexico-y-estudian-en-uvm (accessed on 22 February 2024).
- Lo Que nos Enseñan los Deportistas del Salón de la Fama UVM|Blog UVM. Available online: https://blog.uvm.mx/lo-que-nos-ensenan-nuestros-deportistas-del-salon-de-la-fama (accessed on 22 February 2024).
- Novel, E.; Elizabeth Duarte Ayala, R.; Pérez Granados, D.; Alberto González Gutiérrez, C.; Alberto Ortega Ruíz, M.; Rojas Espinosa, N.; Canto Heredia, E. Novel Study for the Early Identification of Injury Risks in Athletes Using Machine Learning Techniques. Appl. Sci. 2024, 14, 570. [Google Scholar] [CrossRef]
- Patel, D.; Hazan, H.; Saunders, D.J.; Siegelmann, H.T.; Kozma, R. Improved Robustness of Reinforcement Learning Policies upon Conversion to Spiking Neuronal Network Platforms Applied to Atari Breakout Game. Neural Netw. 2019, 120, 108–115. [Google Scholar] [CrossRef]
- Macpherson, T.; Churchland, A.; Sejnowski, T.; DiCarlo, J.; Kamitani, Y.; Takahashi, H.; Hikida, T. Natural and Artificial Intelligence: A Brief Introduction to the Interplay between AI and Neuroscience Research. Neural Netw. 2021, 144, 603–613. [Google Scholar] [CrossRef]
- Tavanaei, A.; Ghodrati, M.; Kheradpisheh, S.R.; Masquelier, T.; Maida, A. Deep Learning in Spiking Neural Networks. Neural Netw. 2019, 111, 47–63. [Google Scholar] [CrossRef] [PubMed]
- Calderón-Díaz, M.; Aguirre, R.S.; Vásconez, J.P.; Yáñez, R.; Roby, M.; Querales, M.; Salas, R. Explainable Machine Learning Techniques to Predict Muscle Injuries in Professional Soccer Players through Biomechanical Analysis. Sensors 2023, 24, 119. [Google Scholar] [CrossRef] [PubMed]
- Rossi, A.; Pappalardo, L.; Cintia, P. A Narrative Review for a Machine Learning Application in Sports: An Example Based on Injury Forecasting in Soccer. Sports 2021, 10, 5. [Google Scholar] [CrossRef] [PubMed]
- Moustakidis, S.; Siouras, A.; Vassis, K.; Misiris, I.; Papageorgiou, E.; Tsaopoulos, D. Prediction of Injuries in CrossFit Training: A Machine Learning Perspective. Algorithms 2022, 15, 77. [Google Scholar] [CrossRef]
- Ferrer-Peña, R.; Gil-Martínez, A.; Pardo-Montero, J.; Jiménez-Penick, V.; Gallego-Izquierdo, T.; La Touche, R. Adaptation and Validation of the Spanish Version of the Graded Chronic Pain Scale. Reumatol. Clínica (Engl. Ed.) 2016, 12, 130–138. [Google Scholar] [CrossRef]





| Variable | Value | Type |
|---|---|---|
| Age | A numeric value representing the athlete’s age | Numeric |
| Male | A categorical variable indicating the athlete’s gender | Categorical |
| Female | A categorical variable indicating the athlete’s gender | Categorical |
| Injury | A categorical variable indicating if the athlete has suffered previous injuries | Categorical |
| Deceleration injury | A categorical variable indicating if the injury was caused by deceleration | Categorical |
| Overuse injury | A categorical variable indicating if the injury was caused by overuse | Categorical |
| Training hours | A numeric value representing the number of training hours | Numeric |
| Training days | A numeric value indicating the weekly training frequency | Numeric |
| Overexertion | A categorical variable indicating if the athlete experiences overexertion | Categorical |
| Previous injuries | A categorical variable indicating if the athlete has suffered previous injuries | Categorical |
| Corrective treatment | A categorical variable indicating if the athlete has received corrective treatment | Categorical |
| Preventive treatment | A categorical variable indicating if the athlete has received preventive treatment | Categorical |
| Sports with injuries | A categorical variable indicating if the athlete continues to practice sports despite injuries | Categorical |
| Non-compliance | A categorical variable indicating if the athlete does not follow medical recommendations | Categorical |
| Stress injury relationship | A categorical variable indicating if stress is related to the injury | Categorical |
| Self-esteem injury relationship | A categorical variable indicating if self-esteem is related to the injury | Categorical |
| Fear of injury | A categorical variable indicating fear of injury | Categorical |
| Fear of pain | A categorical variable indicating fear of feeling pain | Categorical |
| Fear of increasing pain | A categorical variable indicating fear of increasing pain | Categorical |
| Fear of continuing sports with pain | A categorical variable indicating fear of continuing sports despite pain | Categorical |
| Fear of continuing training | A categorical variable indicating fear of continuing training despite pain | Categorical |
| Healthy nutrition | A categorical variable indicating if the athlete follows a healthy diet | Categorical |
| Nutritional supervision | A categorical variable indicating if the athlete receives nutritional supervision | Categorical |
| Warm-up | A categorical variable indicating if the athlete performs a warm-up before training | Categorical |
| Restful sleep | A categorical variable indicating if the athlete enjoys restful sleep | Categorical |
| Isotonic beverages | A categorical variable indicating if the athlete consumes isotonic beverages | Categorical |
| Alcoholic beverages | A categorical variable indicating if the athlete consumes alcoholic beverages | Categorical |
| Variable | Value | Type |
|---|---|---|
| Outcome | A binary variable that indicates whether the athlete has experienced kinesiophobia | Binary |
| Model | Accuracy |
|---|---|
| Neural network | 94.5% |
| Linear SVM | 85.3% |
| SVM Kernel | 88.3% |
| Variable | Estimate |
|---|---|
| Age | 0.0026624 |
| Male | −6.7294 |
| Female | −6.6456 |
| Injury | 0.94664 |
| Deceleration injury | −0.65269 |
| Overuse injury | −0.43516 |
| Training hours | 0.13735 |
| Training days | 0.080512 |
| Overexertion | 0.29543 |
| Previous injuries | 0.030372 |
| Corrective treatment | −0.69206 |
| Preventive treatment | 0.29251 |
| Sports with injuries | −0.6451 |
| Non-compliance | 0.8022 |
| Stress injury relationship | −0.4922 |
| Self-esteem injury relationship | −0.26815 |
| Fear of injury | 3.5997 |
| Fear of pain | 2.9435 |
| Fear of increasing pain | 3.2231 |
| Fear of continuing sports with pain | 3.8572 |
| Fear of continuing training | 3.5259 |
| Healthy nutrition | −0.69991 |
| Nutritional supervision | −0.088618 |
| Warm-up | −0.57456 |
| Restful sleep | −0.37854 |
| Isotonic beverages | 0.010769 |
| Alcoholic beverages | 0.18236 |
Disclaimer/Publisher’s Note: The statements, opinions and data contained in all publications are solely those of the individual author(s) and contributor(s) and not of MDPI and/or the editor(s). MDPI and/or the editor(s) disclaim responsibility for any injury to people or property resulting from any ideas, methods, instructions or products referred to in the content. |
© 2024 by the authors. Licensee MDPI, Basel, Switzerland. This article is an open access article distributed under the terms and conditions of the Creative Commons Attribution (CC BY) license (https://creativecommons.org/licenses/by/4.0/).
Share and Cite
Ayala, R.E.D.; Pérez-Granados, D.; Ruiz, M.A.O.; Gutiérrez, C.A.G.; Espinosa, N.R.; Gutiérrez, D.G. A Novel Study on the Functional Capacity of Athletes and Its Influence on Their Fear of Pain and Injuries. Appl. Sci. 2024, 14, 8062. https://doi.org/10.3390/app14178062
Ayala RED, Pérez-Granados D, Ruiz MAO, Gutiérrez CAG, Espinosa NR, Gutiérrez DG. A Novel Study on the Functional Capacity of Athletes and Its Influence on Their Fear of Pain and Injuries. Applied Sciences. 2024; 14(17):8062. https://doi.org/10.3390/app14178062
Chicago/Turabian StyleAyala, Rocío Elizabeth Duarte, David Pérez-Granados, Mauricio Alberto Ortega Ruiz, Carlos Alberto González Gutiérrez, Natalia Rojas Espinosa, and David Guadarrama Gutiérrez. 2024. "A Novel Study on the Functional Capacity of Athletes and Its Influence on Their Fear of Pain and Injuries" Applied Sciences 14, no. 17: 8062. https://doi.org/10.3390/app14178062
APA StyleAyala, R. E. D., Pérez-Granados, D., Ruiz, M. A. O., Gutiérrez, C. A. G., Espinosa, N. R., & Gutiérrez, D. G. (2024). A Novel Study on the Functional Capacity of Athletes and Its Influence on Their Fear of Pain and Injuries. Applied Sciences, 14(17), 8062. https://doi.org/10.3390/app14178062

