Next Article in Journal
Machine Learning Applications in Seismology
Next Article in Special Issue
Quantitative Analysis of Ferrate(VI) and Its Degradation Products in Electrochemically Produced Potassium Ferrate for Waste Water Treatment
Previous Article in Journal
An Adaptive Surrogate-Assisted Particle Swarm Optimization Algorithm Combining Effectively Global and Local Surrogate Models and Its Application
 
 
Font Type:
Arial Georgia Verdana
Font Size:
Aa Aa Aa
Line Spacing:
Column Width:
Background:
Article

Tailoring Zinc Oxide Nanoparticles via Microwave-Assisted Hydrothermal Synthesis for Enhanced Antibacterial Properties

by
Irina Elena Doicin
1,
Manuela Daniela Preda
1,
Ionela Andreea Neacsu
1,2,*,
Vladimir Lucian Ene
1,2,
Alexandra Catalina Birca
1,2,3,
Bogdan Stefan Vasile
2,3 and
Ecaterina Andronescu
1,2,4
1
Department of Science and Engineering of Oxide Materials and Nanomaterials, Faculty of Chemical Engineering and Biotechnologies, National Polytechnic University of Science and Technology of Bucharest, 011061 Bucharest, Romania
2
National Research Center for Micro and Nanomaterials, National Polytechnic University of Science and Technology of Bucharest, 060042 Bucharest, Romania
3
Center for Advanced Research on New Materials, Products and Innovative Processes—CAMPUS Research Institute, National University of Science and Technology Politehnica Bucharest, 060042 Bucharest, Romania
4
Academy of Romanian Scientists, Ilfov No. 3, 050044 Bucharest, Romania
*
Author to whom correspondence should be addressed.
Appl. Sci. 2024, 14(17), 7854; https://doi.org/10.3390/app14177854
Submission received: 30 June 2024 / Revised: 30 August 2024 / Accepted: 2 September 2024 / Published: 4 September 2024

Abstract

In recent years, significant advancements in nanotechnology have facilitated the synthesis of zinc oxide (ZnO) nanoparticles with tailored sizes and shapes, offering versatile applications across various fields, particularly in biomedicine. ZnO’s multifunctional properties, such as semiconductor behavior, luminescence, photocatalytic activity, and antibacterial efficacy, make it highly attractive for biomedical applications. This study focuses on synthesizing ZnO nanoparticles via the microwave-assisted hydrothermal method, varying the precursor concentrations (0.3488 mol/L, 0.1744 mol/L, 0.0872 mol/L, 0.0436 mol/L, and 0.0218 mol/L) and reaction times (15, 30, and 60 min). Characterization techniques, including X-ray diffraction, scanning electron microscopy, transmission electron microscopy, BET surface area analysis, and Fourier transform infrared spectroscopy were employed to assess the structural, morphological, and chemical properties. The predominant morphology is observed to be platelets, which exhibit a polygonal shape with beveled corners and occasionally include short rod-like inserts. The thickness of the platelets varies between 10 nm and 50 nm, increasing with the concentration of Zn2+ in the precursor solution. Preliminary antimicrobial studies indicated that all strains (S. aureus, E. coli, and C. albicans) were sensitive to interaction with ZnO, exhibiting inhibition zone diameters greater than 10 mm, particularly for samples with lower precursor concentrations. Cell viability studies on human osteoblast cells demonstrated good compatibility, affirming the potential biomedical applicability of synthesized ZnO nanoparticles. This research underscores the influence of synthesis parameters on the properties of ZnO nanoparticles, offering insights for optimizing their design for biomedical applications.

1. Introduction

Within the past few years, there have been significant advances in nanotechnology, with various developed methodologies that are being used to synthesize nanoparticles of specific sizes and shapes that serve specific purposes in extremely varied application domains [1]. Considering the development of nanomaterials, metal oxide nanoparticles have shown great promise for use in the biomedical field, particularly for antibacterial, anticancer drug, gene, cell imaging, and bio-sensing applications [2]. One of the most widely studied metal oxides is zinc oxide. This compound is among the most versatile, favorable, and multi-functional inorganic compounds, showing wide application in numerous fields [3,4]. Zinc oxide nanostructures, available in various forms such as quantum dots, wires, rods, tubes, spheres, belts, and flowers, exhibit a wide range of properties, including semiconductor characteristics with a large band gap, luminescence, photoconductivity, antibacterial activity, high reflectivity in the visible spectrum, strong ultraviolet absorption, catalytic activity, and amphoteric properties.
The antimicrobial properties of zinc oxide have been studied at both micro- and nanoscale levels. As the particle size decreases, the electrical, optical, and chemical properties of zinc oxide change, enabling new applications [5]. Zinc oxide nanoparticles demonstrate enhanced antimicrobial properties, particularly at the nanoscale, where they interact with bacterial surfaces and/or cores, leading to various bactericidal mechanisms [6]. Compared to other nanoparticles used to inhibit microorganism growth, zinc oxide offers significant advantages due to its superior photocatalytic efficiency, biocompatibility (better than that of titanium dioxide), and improved selectivity, durability, and heat resistance. These attributes make zinc oxide effective against a broad spectrum of microorganisms, including Staphylococcus aureus, Escherichia coli, and Candida albicans [7].
The antibacterial activity of ZnO depends on both intrinsic and extrinsic factors. Intrinsic factors include size, morphology, specific surface area, crystallinity, and nanoparticle concentration. External factors include the chemical balance of the solution (concentration, pH, chemical composition, temperature) [5]. The intrinsic factors can be controlled by varying the synthesis conditions and thus the antibacterial properties. Various methods for synthesizing zinc oxide nanoparticles are documented in the literature and can be categorized into three main types: chemical, biological, and physical methods. Chemical synthesis can be further divided into liquid-phase and gas-phase synthesis. Liquid-phase synthesis methods include precipitation [8], coprecipitation [9], solgel processing [10], water–oil microemulsions [11], hydrothermal synthesis [12], and solvothermal [13], sonochemical [14], and polyol synthesis [15].
Among the various synthesis methods reported for ZnO, the hydrothermal method does not require the use of organic solvents (possibly toxic in contact with living tissue) or additional processing of the product, which makes it a simple and environmentally friendly technique. Synthesis occurs in an autoclave, where the mixture of raw materials is gradually heated to the desired temperature and left for several days. As a result of heating followed by cooling, nucleation centers are initially formed once the ZnO concentration reaches supersaturation because of the dehydration of Zn(OH)4−2, from which crystals then grow [16]. This process has numerous advantages, including low working temperatures and the ability to obtain various morphologies and crystal dimensions. However, its main disadvantage is the prolonged time required for the completion of chemical reactions [17,18]. This limitation led to the development of a series of new unconventional, hybrid hydrothermal synthesis methods, among which is the hydrothermal method in a microwave field. Compared to conventional methods (hydrothermal, solvothermal), this method has several advantages, including rapid heating to the crystallization temperature, acceleration of chemical reactions, and increased crystallinity [19]. Moreover, it is a simple and efficient method both energetically and financially. Compared to conventional conduction-based heating, when using a microwave, heat is generated in the whole volume of the sample [20]. In this case, the entire system is heated simultaneously by the vibration at an extremely rapid frequency, at the gigahertz level, of each water molecule (or any other polar molecule). This fact allows a higher reaction rate, and, in some cases, the reaction yield is much higher than in the case of traditional heating (standard hydrothermal method) [21]. Previous experimental studies have shown that microwave-assisted synthesis can be easily controlled by precisely setting the temperature, pressure, and reaction time and can enhance reaction rates by 10–100 times compared to conventional heating methods [22,23]. Particularly for ZnO nanoparticles, our group focused on the synthesis with microwave-assisted hydrothermal versus polyol methods, using different synthesis parameters and Zn2+ precursors. It was observed that the synthesis approach impacts the subsequent biological effects of ZnO nanoparticles due to the different morphologies and sizes of the powders. Hence, spherical morphology was observed using the polyol method, while flower-type morphologies were formed via the microwave-assisted hydrothermal method [24].
Over time, numerous studies have reported the influence of precursor concentration, the molar ratio of Zn2+ precursors and reducing agents and microwave-assisted hydrothermal parameters (e.g., irradiation power, time and temperature) on the nanostructural, optical properties and morphology of ZnO. Among the most common chemical precursors used were zinc acetate, zinc nitrate, zinc sulfate, sodium hydroxide, ammonia water, and hexamethylenetetramine (HMTA) [21]. Even though zinc chloride is convenient in this case because the Cl ions resulting from the reaction do not exhibit significant toxicity at low concentrations, it should be emphasized that ZnCl2 stands out as a troublesome reactant, primarily due to the potential occurrence of a stable by-product or impurity known as simonkolleite (Zn5(OH)8Cl2·H2O) during the synthesis of ZnO, hence the reduced number of related publications [25,26].
The main objective of this study is to investigate the intrinsic factors influencing the antibacterial activity of ZnO nanoparticles, with a specific focus on particle size, and to provide insights into how these factors can be controlled through varying synthesis conditions. The findings aim to contribute to the development of ZnO nanoparticles with optimized properties for antimicrobial applications. Zinc oxide nanoparticles were synthesized with a microwave-assisted hydrothermal method, with the controlled variation of two parameters, the concentration of the Zn2+ precursor and the reaction time, using zinc chloride and sodium hydroxide as starting materials. Various characterization techniques were employed to determine the mineral composition, crystallinity, particle size, morphology, and specific surface area of the obtained powders while correlating the findings with their antimicrobial properties.

2. Materials and Methods

2.1. Sample Preparation

The raw materials used in the synthesis process—zinc chloride (ZnCl2, purity > 98%, M = 136.30 g/mol) and sodium hydroxide pellets (NaOH, purity > 98%, M = 40 g/mol)—were purchased from Sigma Aldrich (Saint Louis, MO, USA) and Honeywell (Charlotte, NC, USA). Double-distilled water was produced in the laboratory. To obtain ZnO nanostructures, the chemical reaction took place in an alkaline environment, starting from a zinc precursor recommended for biomedical applications of the final product. Nine ZnO syntheses were performed by controlling two parameters: the concentration of Zn2+ precursor and the reaction time (Table 1). Morphological results after the first synthesis showed smaller particle dimensions associated with lower values of reaction time. Hence, only the 15 min reaction time was used in subsequent experimental models. The initial concentrations of Zn2+ were 0.3488 mol/L, 0.1744 mol/L, 0.0872 mol/L, 0.0436 mol/L, and 0.0218 mol/L. To these solutions, different volumes of NaOH solutions were added dropwise, under magnetic stirring, to have a molar ratio of Zn2+: NaOH of 1:5. The resulting reaction mixtures were transferred to Teflon containers and maintained for 15, 30, and 60 min at 100 °C at a pressure of 20 bars inside the autoclave. Figure 1 schematically presents the ZnO microwave-assisted hydrothermal synthesis, using the synthWAVE equipment (Milestone, Sorisole, Bergamo, Italy) [27]. The operating principle was previously reported by Burdusel et al. [23].
After completing the synthesis programs, the samples were allowed to cool inside the equipment. The resulting precipitates were separated by centrifugation, washed with distilled water until reaching a neutral pH, and then dried in an oven at 60 °C overnight.

2.2. Sample Characterization

To be able to characterize the obtained materials, the powders were first ground. The first analysis performed was X-ray diffraction (XRD). The purpose of this analysis was to determine the crystal structure and the component phases. Also, the width and shape of the diffraction maxima give us information about the size of the crystallites. X-ray diffraction analysis was performed using the PANalytical Empyrean equipment (Malvern PANalytical in Bruno, The Netherlands) in BraggBrentano geometry equipped with an X-ray tube with Cu anode (λCuKα = 1.541874 Å) with in-line focusing, programmable divergent slit on the incident side, and anti-slot-programmable spreader mounted on a PIXcel3D detector on the diffracted side. X-ray diffractograms were recorded in the 10–80° angle range.
The morphological and elemental composition investigation of the samples was performed using the Quanta Inspect F50 scanning electron microscope (Thermo Fisher, Eindhoven, The Netherlands) equipped with a field emission gun (FEG) with a resolution of 1.2 nm and coupled with an energy-dispersive X-ray spectrometer (EDX) with MnKα resolution of 133 eV.
Bright-field transmission electron microscopy (TEM), high-resolution TEM (HRTEM), and selected area electron diffraction (SAED) images were taken using G2 F30 S-TWIN HRTEM equipment purchased from the FEI (Hillsboro, OR, USA), equipped with STEM with HAADF detector, EDX, EELS, energy filter, and GIF operated at 300 kV. The sample preparation was performed as follows: a small amount of sample was added to water in an Eppendorf tube and sonicated for 15 min. Then, 10 µL of the dispersed sample was placed on a 400 mesh Cu-covered carbon grid and left to dry until analysis. This technique provides qualitative information regarding surface morphology and particle size.
The volumetric nitrogen adsorption (Brunauer–Emmett–Teller; BET) analysis was conducted using a Gemini V2 model 2380 (Micromeritics Instruments Corporation, Norcross, GA, USA) surface area and pore size analyzer. This analysis aimed to determine the specific surface area (SSA) and pore volume of the powders. Adsorption isotherms were recorded by measuring the amount of gas adsorbed at different relative pressures and a constant temperature (77 K) with pressure ranging from 780 to 7.8 mmHg. Conversely, desorption isotherms were obtained by quantifying the amount of gas released as the pressure was decreased. The powders were pre-treated under a vacuum for 24 h.
The true density of the ceramic powders, defined as the ratio between the mass of the dried sample and its actual measured volume, was determined using Pycnomatic ATC equipment (Thermo Fisher Scientific, Waltham, MA, USA), with helium as the testing gas of analytical purity. Measurements were conducted in triplicate, and the standard deviation was provided for each sample. Data are represented as mean ± standard deviation (S.D.). Graphs and statistical analysis were performed using MS Excel software for Microsoft 365 (Version 2404). Data comparisons were made using a one-way analysis of variance (ANOVA), followed by a two-tailed t-test. Probability (p) values < 0.05 were considered statistically significant. In statistical analysis, the p-value is a measure used to determine the significance of the results obtained from a statistical test. Specifically, it helps assess whether the observed data is consistent with a null hypothesis, which typically states that there is no effect or no difference, and any observed effect is due to random chance [28].
Optical studies using Fourier transform infrared spectroscopy (FTIR) were conducted with a Nicolet iS50 FT-IR spectrometer (Thermo Fisher Scientific, Waltham, MA, USA), equipped with a deuterated triglycine sulfate (DTGS) detector, known for its high sensitivity. The FTIR analysis covered the spectral range from 1000 cm−1 to 100 cm−1, which is crucial for identifying the Zn-O stretching vibrations typically observed in this range. The resolution of the measurements was set at 4 cm−1, ensuring detailed and accurate spectral data.
Preliminary studies for the antimicrobial analysis of the efficiency of ZnO powders on the most common postoperative infections with Gram-positive, Gram-negative, and fungal microorganisms were carried out through a qualitative analysis, using an adapted diffusion method. The adapted diffusion method consisted of distributing the chemical compound in “spots” on the Muller–Hinton medium. The seeding of the plates was carried out in the first stage. The plates were incubated at a temperature of 37 °C for 24 h, after which they were left to rest at room temperature. DMSO (Dimethyl sulfoxide) was used as a standard and was tested comparatively. The bactericidal effect of ZnO was demonstrated by the appearance of an inhibition zone.
The Gram-positive bacterial strain used in the preliminary tests was Staphylococcus aureus 0364, while the Gram-negative bacterial strain was Escherichia coli ATCC 25922. Candida albicans ATCC 10231 was used as a representative of fungal microorganisms.
Primary human osteoblast cells, used to assess the interaction of proliferation, viability, and cytotoxicity with ZnO nanoparticles, were obtained from the upper part of a patient’s femur. These purchased osteoblast cells were cultured in Dulbecco Modified Eagle’s medium (DMEM), supplemented with 10% fetal bovine serum, DMEM sodium pyruvate, 2% glutamine, and an antibiotic mixture. The cells were incubated at 37 °C in a 5% CO2 atmosphere. Additionally, phosphate-buffered saline (PBS) was used during the process. After 7–10 days of incubation under the specified conditions, the osteoblast cells reached a suitable state for division. Confluent cultures were treated with trypsin for 2–3 min and then centrifuged at 1500 rpm for 10 min. The cells were resuspended in a minimal volume of DMEM, counted using a Burker–Turk chamber, and evenly distributed on sterile supports that have been pre-treated with polylysine. Following this, the cells were treated with 0.05% trypsin and placed in 35/35 mm Petri dishes. The osteoblast cells were seeded at a density of 105 cells/mL in the Petri dishes and incubated with ZnO powders for 24 h. Cell viability was determined with the MTT reduction assay (3-(4,5-dimethylthiazol-2-yl)-2,5-diphenyltetrazolium). The cells were incubated in a 5% CO2 atmosphere at 37 °C for 4 h with MTT at a concentration of 0.1 mg/mL. The number of viable cells was directly proportional to the production of formazan. Isopropanol was added to dissolve the insoluble purple formazan into a colored solution and absorbance was measured at a wavelength of 595 nm using a TECAN spectrophotometer.

3. Results

The diffractograms made for the synthesized powders can be seen in Figure 2. They show well-defined diffraction maxima, with high intensities, proving a high degree of crystallinity. In all diffractograms, zinc oxide is present as a single phase, with no diffraction interference being detected corresponding to other minor phases which could have resulted from the reaction (e.g., zinc hydroxide, hydrated zinc oxychloride, etc.). Thus, the chemical compound ZnO (zincite mineral) was identified and crystallized in a hexagonal form, according to the PDF4 + file [00-036-1451]. The highest intensities were recorded for all samples for diffraction interferences located at 2θ values of 31.7°, 34.4°, and 36.2° and correspond to the diffraction planes with Miller indices (100), (002), and (101) of the oxide of zinc crystallized in the hexagonal system. An increase in the intensity of all diffraction maxima is observed with the modification of the reaction time from 15 min to 60 min. This trend applies especially to the higher Zn2+ concentrations samples. Noticeable differences can be seen between samples also when comparing them by the Zn2+ precursor concentration. Hence, the intensity of the peaks (and thus the crystallinity of the samples) registered for S1_15 and S2_15 powders is 20 times higher than those of lower-concentration samples (S3_15, S4_15, S5_15). This can be attributed to differences in crystallite size (smaller crystallite sizes might result in broader and less intense peaks), agglomeration of particles, a wider particle size distribution, or sample density (a denser sample might absorb more X-rays, reducing the intensity of the diffracted peaks). It can thus be stated that in the case of ZnO powders, for obtaining materials with a high degree of crystallinity, it is recommended to use high precursor concentrations and as long a hydrothermal reaction time in the microwave field as possible.
Figure 3, Figure 4 and Figure 5 show the scanning electron microscopy (SEM) images for the ZnO powders. It can be seen that the predominant morphology is the platelet, a polygon with a beveled-corner shape and in some places with inserts of short rods. The length varies from 10 nm to over 400 nm, increasing with the increase in reaction time and decreasing with the decrease in precursor concentration. The thickness of the platelets is variable, between 10 and 40 nm, depending on both the concentration of Zn2+ in the precursor solution and synthesis time. Beginning with the Zn2⁺ concentration of 0.0872 mol/L, associated with the S3_15 ZnO sample, and even more pronounced at the two lower concentrations, the formation of smaller, elongated, or rounded nanoparticles is observed. In this case, the “thickness” refers to the smallest dimension of the particle and is higher (up to 60 nm) than the measurement performed on the platelets. Due to their small size, in the case of all samples to be analyzed, a marked tendency of agglomeration is observed at low magnification values. The EDX results are consistent with the XRD, confirming the presence only of the characteristic ZnO, which denotes the complete elimination of the precursors and the absence of impurities. In terms of the elemental composition, no significant differences were observed between samples.
Figure 6 and Figure 7 display transmission electron microscopy images in bright field (a,b) and high resolution (c), along with selected area electron diffraction (SAED) patterns (d) for the powders synthesized after 15 min, labeled as S1_15 and S2_15. The results reveal the presence of polycrystalline materials with a high degree of crystallinity, consistent with the structural features identified in the X-ray diffraction patterns. The SAED patterns confirm the hexagonal structure of ZnO, with Miller indices corresponding to the prominent diffraction planes [1 0 0], [0 0 2], [1 0 1]. Morphologically, the formations exhibit platy and rod-like appearances, with thicknesses up to 60 nm. These structures predominantly form agglomerates due to the large specific surface area associated with their nanometric size.
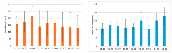
The distributions of pore sizes and specific surface areas (SSAs) were estimated using the Brunauer–Emmett–Teller (BET) method and are presented in Table 2. The specific surface area is defined as the grain surface-to-volume or mass ratio and depends on the particle size and shape, generally increasing with decreasing particle size for spherical or cubical particles. Correlating the BET results from Table 2 with the size distribution mean values obtained after measuring 100 particles/platelets/rods in SEM images (presented in Figure 8), it is observed that a reduced reaction time leads to the smallest particles (in length). This consequently leads to a larger specific surface area of these ZnO powders (S1_15, S2_15, S3_15, S4_15, S5_15) and a potentially enhanced antimicrobial effect. When discussing the effect of the precursor concentration on the particle size and specific surface area, a strictly monotonic trend cannot be determined among these five samples. This might be attributed to the change in morphology observed when decreasing the Zn2+ concentration, from mostly platelets and rod-like to rounded nanoparticles, with a higher tendency to agglomerate. However, the smallest SSA was registered for the S1_60 sample, associated with the longest reaction time and highest precursor concentration. These changes in shape, agglomeration, and the complexity of the pore structure can also determine the diverse values obtained for the pore size.
The true density (the ratio between the dried sample’s mass and the real measured volume) of the ZnO powders is shown in Figure 9. Different letters (a, b, c) were used to mark statistically significant differences between samples. For all variables with the same letter, the difference between the means is not statistically significant. If two variables have different letters, they are significantly different [29]. It is observed that the ZnO particle density increases with the decrease in Zn2+ precursor concentration, with the highest value recorded for the S5_15 sample. A possible explanation might reside in the high frequency of small nanoparticles (below 50 nm in length) observed for this sample in particular (see size distribution graph in Figure 5) since the density is predicted to increase with decreasing size for nanoparticles [30]. When using a high concentration of precursor (S1_15, S2_15), the found values are similar to the theoretical density of ZnO, which is 5.606 g/mL.
The FTIR spectra recorded for the analyzed powders are comparatively presented in Figure 10. These spectra show a well-defined absorption band, characteristic of the Zn-O bond stretching vibration at wavenumbers lower than 1000 cm−1 [31]. A slight shift towards higher wavenumbers and a broadening of this band can be observed with the increase in reaction time for both Zn2+ concentrations varied during the synthesis (Figure 10a,b). Thus, for a short reaction time (15 min, corresponding to S1_15 and S2_12 samples), the absorption maximum is recorded around 317 cm−1, then shifting to wavenumbers of approximately 357 cm−1 for the samples S1_30 and S2_30, respectively, of 369 cm−1 for the samples S1_60 and S2_60. Moreover, with the increase in Zn2+ concentration, a significant increase in the absorbance of the band specific to the Zn-O bond stretching vibration is observed (Figure 10c). These phenomena may be due to morphological and dimensional changes that occur with the modification of synthesis parameters, as well as additional stress that may occur in the hexagonal structure with the increase in the degree of crystallinity, the FTIR results being consistent with previous analyses.
The results regarding the antimicrobial activity of all ZnO powders are presented in Figure 11. Different letters (a, b, c) were used to mark statistically significant differences between samples. For all variables with the same letter, the difference between the means is not statistically significant. If two variables have different letters, it means that they are significantly different [29]. Preliminary studies showed that all strains were sensitive to interaction with ZnO, with inhibition zone diameters above 10 mm, especially for the samples with smaller precursor concentrations. Overall, enhanced antimicrobial activity was registered for the S. aureus Gram-positive bacteria compared with E. coli or C. albicans. An important role seems to be played in this case by the reaction time variation in the ZnO synthesis, registering statistically significant differences between samples with 15, 30, or 60 min reaction time (higher reaction time is associated with decreased inhibition zone diameter). This behavior tends to be less visible when decreasing the Zn2+ precursor concentration, with no statistically significant differences between S3_15, S4_15, and S5_15.
Incubation of cells in the presence of all ZnO powders showed good viability compared to the control (100%). The results of the study are summarized in Figure 12. It can be observed that both Zn precursor concentration and reaction time influence the cell viability of ZnO nanoparticles. Thus, increasing the synthesis time leads to an increase in cell viability, while increasing the Zn2+ concentration leads to a decrease in cell viability. In all cases, values above 85% of viable cells compared with the Control were registered, and therefore the obtained materials cannot be considered cytotoxic.

4. Discussion

This study aims to elucidate the intrinsic factors influencing the antibacterial activity of zinc oxide (ZnO) nanoparticles synthesized via microwave-assisted hydrothermal methods, specifically focusing on the impact of particle size, precursor concentration, and reaction time. The design of the experiments was based on the hypothesis that the smaller the size of ZnO particles, the larger the specific surface area, the higher the number of surface atoms, the higher the absorption rate, and the stronger the adsorption capacity. Therefore, it is easier to reach the surface of the bacteria, causing damage to the cell membrane and large molecules in the cell. Moreover, small-sized ZnO nanoparticles produce more reactive oxygen species, increasing the endochemic effect of bacterial cells and causing their deterioration [6,32].
Studies with similar aims are found in the literature, most of them recently published. However, they are following different synthesis routes or chemical precursors, especially the solgel route, with fewer synthesis parameters to control. Mendes et al. reported the solgel synthesis of spherical, flower, and sheet morphology ZnO, starting from zinc nitrate and zinc acetate, and concluded that specific surface area and particle core defects are crucial parameters that significantly influence the antimicrobial effectiveness of ZnO nanoparticles [33]. Da Silva et al. focused on the synthesis of ZnO NPs smaller than 10 nm and concluded that the smaller nanoparticles obtained had bactericidal properties against S. aureus and E. coli [32]. Tseng et al. tackled the synthesis of ZnO starting from zinc chloride (0.5 mol/L) and using the same method as proposed in our study (microwave-assisted hydrothermal synthesis, with 5 min reaction time) [34]. Their results were promising, obtaining nano-scale pure ZnO particles, but a variation in precursor concentration and reaction time was not performed. Barreto et al. extended the study by including zinc nitrate and zinc acetate along with zinc chloride as starting salts at an even larger precursor concentration (1.6 mol/L) and varied the reaction time (5, 10, and 20 min) [35]. Their recommendation was to use Zn(NO3)2 as the precursor and concluded that increasing the microwave irradiation time results in more well-defined structures and a system with more uniform particle size and morphology distribution due to the extended time available for growth along the c-axis. However, a direct connection between these synthesis parameters and the antibacterial activity of the obtained ZnO was not made.
Starting from the limitations of the previous literature studies, our work investigated the direct role of two synthesis parameters (Zn2+ precursor concentration and microwave-assisted hydrothermal reaction time) in controlling the particle size and morphology of ZnO and enhancing their antibacterial properties. It was important for our findings to include longer reaction times than presented before (e.g., 30 min, 60 min) and smaller zinc chloride concentrations (starting from 0.3488 mol/L and followed by a serial dilution down to 0.0218 mol/L).
Based on the presented results, all syntheses were successful in obtaining ZnO (zincite) as the sole mineral phase, with increased crystallinity when high precursor concentrations and long reaction times were applied. There is also a change in morphology and particle size due to the synthesis parameters’ variance. Hence, if the predominant morphology of platelets, and in some regions with inserts of short rods, is associated with high Zn2+ concentrations, one can observe the formation of smaller, elongated, or rounded nanoparticles when decreasing the concentration. Our results indicate that an increased reaction time leads to larger size ZnO platelets and rods, with mean lengths varying from 157 nm (after 15 min reaction time) to 217 nm (after 60 min reaction time) for the highest precursor concentration (0.3488 mol/L). This trend of increasing the length with the increase in synthesis time was also observed for the second concentration (0.1744 mol/L) when a mean length of 140 nm was associated with the S2_15 sample and 165–166 nm for the other two (S2_30 and S2_60). For the latter, an increase in the platelet thickness, rather than in length (30 nm mean thickness for S2_60), was registered. Similar findings are presented in the literature but are limited to a 20 min reaction time [36]. When examining the effect of precursor concentration on particle size, it is evident that for the samples synthesized over 15 min, the trend is consistently decreasing, with the smallest particle lengths observed for S5_15.
These results are in good agreement with the BET-specific surface area values, where a reduced reaction time (associated with a decrease in particle length) leads to larger specific surface areas for S1_15, S2_15, S3_15, S4_15, and S5_15 ZnO powders. The smallest SSA values were registered for S1_30 (14.8443 ± 0.0467 m2/g) and S1_60 (14.6759 ± 0.1356 m2/g), which have the biggest mean lengths. When discussing the effect of precursor concentration on the specific surface area, a strictly monotonic trend cannot be established. This inconsistency may be due to the change in morphology observed with decreasing Zn2⁺ concentration, shifting from predominantly platelets and rod-like structures to rounded nanoparticles, which exhibit a higher tendency to agglomerate.
Even though Gram-negative bacteria are considered easier to penetrate by external factors such as nanoparticles due to their thinner bacterial cell wall, our findings show that the Gram-positive S. aureus strain was more sensitive to the antimicrobial action of ZnO than E. coli or C. albicans. In this case, reaction time variation plays an important role, showing statistically significant differences between samples, with longer reaction times associated with decreased inhibition zone diameters. This effect becomes less pronounced with lower Zn2⁺ precursor concentrations, as there are no statistically significant differences between the S3_15, S4_15, and S5_15 samples. These findings align with previous research conducted by Babayevska et al. [36] and d’Aqua et al. [37] which also observed a similar trend in sensitivity. A potential explanation provided by Tayel and co-workers suggests that the peptidoglycan layer surrounding Gram-positive bacteria can facilitate the penetration of ZnO particles into the cell, enhancing their antimicrobial activity. In contrast, the cell wall components of Gram-negative bacteria, including lipopolysaccharides, can mitigate this penetration, thereby reducing the effectiveness of ZnO particles [38].
While our study provides valuable insights, supporting the hypothesis that increased precursor concentration and reaction time promote more extensive crystal growth, as evidenced by the larger particle sizes, it is not without limitations, most of them deriving from the inconsistencies registered in the morphology of the obtained ZnO. Future research should address these limitations and better control the resulting shapes either by using stabilizing agents or by varying the polar character of the solvent used in the reaction. Among the main stabilizing agents studied in the literature are polyvinyl alcohol (PVA), polyvinylpyrrolidone (PVP), and poly(L-glutamic acid) (PGA) [39]. The complete or partial replacement of water in the precursor solubilization stage with ethanol, propanol, hexanol, or ethylene glycol can also lead to a change in morphology towards rods, flowers, or spheres.

5. Conclusions

The findings reveal several key insights: (i) ZnO nanoparticles were successfully synthesized using zinc chloride and sodium hydroxide as starting materials by varying the precursor concentration and reaction time. Characterization through XRD, SEM, TEM, and BET analysis confirmed the exclusive formation of hexagonal wurtzite with high crystallinity, predominantly plate-like and rod-like morphologies and significant surface area variations in the synthesized ZnO nanoparticles (reduced reaction times and precursor concentrations yielded smaller particle sizes with increased specific surface areas); (ii) the antimicrobial activity results showed a clear dependency on particle size and synthesis parameters. The study identified that higher precursor concentrations and prolonged reaction times in microwave-assisted hydrothermal synthesis led to larger particle sizes and reduced antimicrobial efficiency. Conversely, shorter reaction times and lower precursor concentrations resulted in smaller nanoparticles with enhanced antimicrobial properties. The antimicrobial activity was most pronounced against S. aureus, suggesting a significant role of ZnO nanoparticle morphology and size in bactericidal mechanisms.

Author Contributions

Conceptualization, I.E.D., I.A.N., V.L.E. and E.A.; Data curation, A.C.B. and B.S.V.; Formal analysis, M.D.P.; Funding acquisition, E.A.; Investigation, V.L.E., A.C.B. and B.S.V.; Methodology, I.E.D. and M.D.P.; Project administration, I.A.N.; Supervision, V.L.E. and E.A.; Writing—original draft, I.E.D., M.D.P. and I.A.N.; Writing—review and editing, I.A.N., V.L.E. and E.A. All authors have read and agreed to the published version of the manuscript.

Funding

This research was funded by UEFISCDI PN-III-P2-2.1-PED-2019-1375, Project No. 331PED/2020—“Development of novel antiseptics based on zinc oxide for clinical wound management”.

Data Availability Statement

The original contributions presented in the study are included in the article; further inquiries can be directed to the corresponding author.

Conflicts of Interest

The authors declare no conflicts of interest.

References

  1. Malik, S.; Muhammad, K.; Waheed, Y. Nanotechnology: A Revolution in Modern Industry. Molecules 2023, 28, 661. [Google Scholar] [CrossRef]
  2. Chavali, M.S.; Nikolova, M.P. Metal oxide nanoparticles and their applications in nanotechnology. SN Appl. Sci. 2019, 1, 607. [Google Scholar] [CrossRef]
  3. Mishra, P.K.; Mishra, H.; Ekielski, A.; Talegaonkar, S.; Vaidya, B. Zinc oxide nanoparticles: A promising nanomaterial for biomedical applications. Drug Discov. Today 2017, 22, 1825–1834. [Google Scholar] [CrossRef] [PubMed]
  4. Asif, N.; Amir, M.; Fatma, T. Recent advances in the synthesis, characterization and biomedical applications of zinc oxide nanoparticles. Bioprocess Biosyst. Eng. 2023, 46, 1377–1398. [Google Scholar] [CrossRef]
  5. Lallo da Silva, B.; Abuçafy, M.P.; Berbel Manaia, E.; Oshiro Junior, J.A.; Chiari-Andréo, B.G.; Pietro, R.C.R.; Chiavacci, L.A. Relationship between structure and antimicrobial activity of zinc oxide nanoparticles: An overview. Int. J. Nanomed. 2019, 14, 9395–9410. [Google Scholar] [CrossRef] [PubMed]
  6. Sirelkhatim, A.; Mahmud, S.; Seeni, A.; Kaus, N.H.M.; Ann, L.C.; Bakhori, S.K.M.; Hasan, H.; Mohamad, D. Review on zinc oxide nanoparticles: Antibacterial activity and toxicity mechanism. Nano-Micro Lett. 2015, 7, 219–242. [Google Scholar] [CrossRef]
  7. Zhu, X.; Wang, J.; Cai, L.; Wu, Y.; Ji, M.; Jiang, H.; Chen, J. Dissection of the antibacterial mechanism of zinc oxide nanoparticles with manipulable nanoscale morphologies. J. Hazard. Mater. 2022, 430, 128436. [Google Scholar] [CrossRef] [PubMed]
  8. Dimapilis, E.A.S.; Hsu, C.S.; Mendoza, R.M.O.; Lu, M.C. Zinc oxide nanoparticles for water disinfection. Sustain. Environ. Res. 2018, 28, 47–56. [Google Scholar] [CrossRef]
  9. Mahmood, N.B.; Saeed, F.R.; Gbashi, K.R.; Mahmood, U.S. Synthesis and characterization of zinc oxide nanoparticles via oxalate co-precipitation method. Mater. Lett. X 2022, 13, 100126. [Google Scholar] [CrossRef]
  10. Singh, M.; Vadher, D.; Dixit, V.; Jariwala, C. Synthesis, optimization and characterization of zinc oxide nanoparticles prepared by sol-gel technique. Mater. Today Proc. 2021, 48, 690–692. [Google Scholar] [CrossRef]
  11. Pineda-Reyes, A.M.; de la L. Olvera, M. Synthesis of ZnO nanoparticles from water-in-oil (w/o) microemulsions. Mater. Chem. Phys. 2018, 203, 141–147. [Google Scholar] [CrossRef]
  12. Wirunchit, S.; Koetniyom, W. ZnO Nanoparticles Synthesis and Characterization by Hydrothermal Process for Biological Applications. Phys. Status Solidi Appl. Mater. Sci. 2023, 220, 2200364. [Google Scholar] [CrossRef]
  13. Wang, Y.; Yang, C.; Liu, Y.; Fan, Y.; Dang, F.; Qiu, Y.; Zhou, H.; Wang, W.; Liu, Y. Solvothermal synthesis of ZnO nanoparticles for photocatalytic degradation of methyl orange and p-nitrophenol. Water 2021, 13, 3224. [Google Scholar] [CrossRef]
  14. Zak, A.K.; Majid, W.H.A.; Wang, H.Z.; Yousefi, R.; Golsheikh, A.M.; Ren, Z.F. Sonochemical synthesis of hierarchical ZnO nanostructures. Ultrason. Sonochem. 2013, 20, 395–400. [Google Scholar] [CrossRef]
  15. Walunj, P.; Roy, A.; Jadhav, V.; Athare, P.; Dhaygude, A.; Aher, J.; Algethami, J.S.; Lokhande, D.; Alqahtani, M.S.; Bhagare, A.; et al. Polyol-mediated zinc oxide nanoparticles using the refluxing method as an efficient photocatalytic and antimicrobial agent. Front. Bioeng. Biotechnol. 2023, 11, 1177981. [Google Scholar] [CrossRef] [PubMed]
  16. Ortega, P.P.; Silva, C.C.; Ramirez, M.A.; Biasotto, G.; Foschini, C.R.; Simões, A.Z. Multifunctional environmental applications of ZnO nanostructures synthesized by the microwave-assisted hydrothermal technique. Appl. Surf. Sci. 2021, 542, 148723. [Google Scholar] [CrossRef]
  17. Motelica, L.; Marinof, L.; Holban, A.; Vasile, B.S.; Ficai, A. Optical, photocatalytic and antibacterial properties of zinc oxide nanoparticles obtained by a Solvothermal method. UPB Sci. Bull. Ser. B Chem. Mater. Sci. 2020, 82, 59–70. [Google Scholar]
  18. Zhou, Q.; Xie, B.; Jin, L.; Chen, W.; Li, J. Hydrothermal Synthesis and Responsive Characteristics of Hierarchical Zinc Oxide Nanoflowers to Sulfur Dioxide. J. Nanotechnol. 2016, 1, 6742104. [Google Scholar] [CrossRef]
  19. Yang, G.; Park, S.J. Conventional and microwave hydrothermal synthesis and application of functional materials: A review. Materials 2019, 12, 1177. [Google Scholar] [CrossRef]
  20. Meloni, E.; Iervolino, G.; Palma, V. Basics of Microwave Heating and Recent Advances. In Advances in Microwave-Assisted Heterogeneous Catalysis; Royal Society of Chemistry: London, UK, 2023; pp. 1–24. [Google Scholar] [CrossRef]
  21. Wojnarowicz, J.; Chudoba, T.; Lojkowski, W. A Review of Microwave Synthesis of Zinc Oxide Nanomaterials: Reactants, Process Parameters and Morphologies. Nanomaterials 2020, 10, 1086. [Google Scholar] [CrossRef]
  22. Dumitrescu, C.R.; Neacsu, I.A.; Surdu, V.A.; Nicoara, A.I.; Iordache, F.; Trusca, R.; Ciocan, L.T.; Ficai, A.; Andronescu, E. Nano-hydroxyapatite vs. Xenografts: Synthesis, characterization, and in vitro behavior. Nanomaterials 2021, 11, 2289. [Google Scholar] [CrossRef] [PubMed]
  23. Burdusel, A.-C.; Neacsu, I.A.; Birca, A.C.; Chircov, C.; Grumezescu, A.-M.; Holban, A.M.; Curutiu, C.; Ditu, L.M.; Stan, M.; Andronescu, E. Microwave-Assisted Hydrothermal Treatment of Multifunctional Substituted Hydroxyapatite with Prospective Applications in Bone Regeneration. J. Funct. Biomater. 2023, 14, 378. [Google Scholar] [CrossRef] [PubMed]
  24. Paduraru, A.; Ghitulica, C.; Trusca, R.; Surdu, V.A.; Neacsu, I.A.; Holban, A.M.; Birca, A.C.; Iordache, F.; Vasile, B.S. Antimicrobial wound dressings as potential materials for skin tissue regeneration. Materials 2019, 12, 1859. [Google Scholar] [CrossRef]
  25. Al-Rasheedi, A.; Shalaan, E.; Hassaneen, A.A.; Aida, M.S. Influence of Zinc Salt Concentration on Structured ZnO Composition and Morphology. Chem. Sel. 2023, 8, e202300909. [Google Scholar] [CrossRef]
  26. Cousy, S.; Gorodylova, N.; Svoboda, L.; Zelenka, J. Influence of synthesis conditions over simonkolleite/ZnO precipitation. Chem. Pap. 2017, 71, 2325–2334. [Google Scholar] [CrossRef]
  27. SynthWAVE Microwave Synthesis System—Milestone Inc. Available online: https://milestonesci.com/synthwave-microwave-synthesis-system/ (accessed on 7 November 2023).
  28. Dahiru, T. P-Value, a true test of statistical significance? a cautionary note. Ann. Ib. Postgrad. Med. 2008, 6, 21–26. [Google Scholar] [CrossRef] [PubMed]
  29. Piepho, H.P. Letters in mean comparisons: What they do and don’t mean. Agron. J. 2018, 110, 431–434. [Google Scholar] [CrossRef]
  30. Nanda, K.K. Size-dependent density of nanoparticles and nanostructured materials. Phys. Lett. Sect. A Gen. At. Solid State Phys. 2012, 376, 3301–3302. [Google Scholar] [CrossRef]
  31. Babu, K.S.; Reddy, A.R.; Sujatha, C.; Reddy, K.V.; Mallika, A.N. Synthesis and optical characterization of porous ZnO. J. Adv. Ceram. 2013, 2, 260–265. [Google Scholar] [CrossRef]
  32. da Silva, B.L.; Caetano, B.L.; Chiari-Andréo, B.G.; Pietro, R.C.L.R.; Chiavacci, L.A. Increased antibacterial activity of ZnO nanoparticles: Influence of size and surface modification. Colloids Surf. B Biointerfaces 2019, 177, 440–447. [Google Scholar] [CrossRef]
  33. Mendes, A.R.; Granadeiro, C.M.; Leite, A.; Pereira, E.; Teixeira, P.; Poças, F. Optimizing Antimicrobial Efficacy: Investigating the Impact of Zinc Oxide Nanoparticle Shape and Size. Nanomaterials 2024, 14, 638. [Google Scholar] [CrossRef]
  34. Tseng, C.C.; Chou, Y.H.; Liu, C.M.; Liu, Y.M.; Der Ger, M.; Shu, Y.Y. Microwave-assisted hydrothermal synthesis of zinc oxide particles starting from chloride precursor. Mater. Res. Bull. 2012, 47, 96–100. [Google Scholar] [CrossRef]
  35. Barreto, G.P.; Morales, G.; Quintanilla, M.L.L. Microwave Assisted Synthesis of ZnO Nanoparticles: Effect of Precursor Reagents, Temperature, Irradiation Time, and Additives on Nano-ZnO Morphology Development. J. Mater. 2013, 2013, 1–11. [Google Scholar] [CrossRef]
  36. Babayevska, N.; Przysiecka, Ł.; Iatsunskyi, I.; Nowaczyk, G.; Jarek, M.; Janiszewska, E.; Jurga, S. ZnO size and shape effect on antibacterial activity and cytotoxicity profile. Sci. Rep. 2022, 12, 8148. [Google Scholar] [CrossRef]
  37. D’Água, R.B.; Branquinho, R.; Duarte, M.P.; Maurício, E.; Fernando, A.L.; Martins, R.; Fortunato, E. Efficient coverage of ZnO nanoparticles on cotton fibres for antibacterial finishing using a rapid and low cost: In situ synthesis. New J. Chem. 2018, 42, 1052–1060. [Google Scholar] [CrossRef]
  38. Tayel, A.A.; El-Tras, W.F.; Moussa, S.; El-Baz, A.F.; Mahrous, H.; Salem, M.F. Antibacterial action of zinc oxide nanoparticles against foodborne pathogens. J. Food Saf. 2011, 31, 211–218. [Google Scholar] [CrossRef]
  39. Stanković, A.; Dimitrijević, S.; Uskoković, D. Influence of size scale and morphology on antibacterial properties of ZnO powders hydrothermally synthesized using different surface stabilizing agents. Colloids Surf. B Biointerfaces 2013, 102, 21–28. [Google Scholar] [CrossRef] [PubMed]
Figure 1. Schematic representation of the ZnO powder microwave-assisted hydrothermal synthesis.
Figure 1. Schematic representation of the ZnO powder microwave-assisted hydrothermal synthesis.
Applsci 14 07854 g001
Figure 2. X-ray diffraction patterns for the ZnO powders.
Figure 2. X-ray diffraction patterns for the ZnO powders.
Applsci 14 07854 g002
Figure 3. SEM micrographs (a,a’,a”,b,b’,b”), EDX spectra (d,d’,d”), and size distribution (c,c’,c”) by length and thickness for ZnO powders from Zn2+ precursor concentration of 0.3488 mol/L after 15, 30, and 60 min reaction time.
Figure 3. SEM micrographs (a,a’,a”,b,b’,b”), EDX spectra (d,d’,d”), and size distribution (c,c’,c”) by length and thickness for ZnO powders from Zn2+ precursor concentration of 0.3488 mol/L after 15, 30, and 60 min reaction time.
Applsci 14 07854 g003aApplsci 14 07854 g003b
Figure 4. SEM micrographs (a,a’,a”,b,b’,b”) and size distribution (c,c’,c”) by length and thickness for ZnO powders from Zn2+ precursor concentration of 0.1744 mol/L after 15, 30, and 60 min reaction time.
Figure 4. SEM micrographs (a,a’,a”,b,b’,b”) and size distribution (c,c’,c”) by length and thickness for ZnO powders from Zn2+ precursor concentration of 0.1744 mol/L after 15, 30, and 60 min reaction time.
Applsci 14 07854 g004
Figure 5. SEM micrographs (a,a’,a”,b,b’,b”) and size distribution (c,c’,c”) by length and thickness for ZnO powders after 15 min reaction time with Zn2+ precursor concentrations of 0.0872 mol/L, 0.0436 mol/L and 0.0218 mol/L.
Figure 5. SEM micrographs (a,a’,a”,b,b’,b”) and size distribution (c,c’,c”) by length and thickness for ZnO powders after 15 min reaction time with Zn2+ precursor concentrations of 0.0872 mol/L, 0.0436 mol/L and 0.0218 mol/L.
Applsci 14 07854 g005
Figure 6. Transmission electron microscopy (TEM) images (a,b), high-resolution transmission electron microscopy (HR-TEM) image (c), and selected area electron diffraction (SAED) pattern (d) for the S1_15 ZnO sample.
Figure 6. Transmission electron microscopy (TEM) images (a,b), high-resolution transmission electron microscopy (HR-TEM) image (c), and selected area electron diffraction (SAED) pattern (d) for the S1_15 ZnO sample.
Applsci 14 07854 g006
Figure 7. Transmission electron microscopy (TEM) images (a,b), high-resolution transmission electron microscopy (HR-TEM) image (c), and selected area electron diffraction (SAED) pattern (d) for the S2_15 ZnO sample.
Figure 7. Transmission electron microscopy (TEM) images (a,b), high-resolution transmission electron microscopy (HR-TEM) image (c), and selected area electron diffraction (SAED) pattern (d) for the S2_15 ZnO sample.
Applsci 14 07854 g007aApplsci 14 07854 g007b
Figure 8. Comparative representation of ZnO sample size distribution (by length and thickness). Results are represented as mean ± SD.
Figure 8. Comparative representation of ZnO sample size distribution (by length and thickness). Results are represented as mean ± SD.
Applsci 14 07854 g008
Figure 9. Comparative representation of ZnO sample true density. Results are represented as mean ± SD; different letters indicate significant differences between each sample (p < 0.05).
Figure 9. Comparative representation of ZnO sample true density. Results are represented as mean ± SD; different letters indicate significant differences between each sample (p < 0.05).
Applsci 14 07854 g009
Figure 10. FTIR spectra for ZnO powders: (a) Zn2+ concentration of 0.3488 mol/L, after 15, 30, and 60 min; (b) Zn2+ concentration of 0.1744 mol/L, after 15, 30, and 60 min; (c) Zn2+ concentration of 0.3488 mol/L and 0.1744 mol/L after 60 min.
Figure 10. FTIR spectra for ZnO powders: (a) Zn2+ concentration of 0.3488 mol/L, after 15, 30, and 60 min; (b) Zn2+ concentration of 0.1744 mol/L, after 15, 30, and 60 min; (c) Zn2+ concentration of 0.3488 mol/L and 0.1744 mol/L after 60 min.
Applsci 14 07854 g010
Figure 11. Sensitivity of Gram-positive, Gram-negative, and fungal strains in the presence of ZnO samples. Results are represented as mean ± SD; different letters indicate significant differences between each sample (p < 0.05).
Figure 11. Sensitivity of Gram-positive, Gram-negative, and fungal strains in the presence of ZnO samples. Results are represented as mean ± SD; different letters indicate significant differences between each sample (p < 0.05).
Applsci 14 07854 g011
Figure 12. Cell viability results, assessed by MTT assay and represented as mean ± SD; different letters indicate significant differences between each sample (p < 0.05).
Figure 12. Cell viability results, assessed by MTT assay and represented as mean ± SD; different letters indicate significant differences between each sample (p < 0.05).
Applsci 14 07854 g012
Table 1. The resulting powders and main synthesis parameters.
Table 1. The resulting powders and main synthesis parameters.
Sample NameZn2+ Precursor
Concentration (mol/L)
Reaction Time (min)
S1_150.348815
S1_300.348830
S1_600.348860
S2_150.174415
S2_300.174430
S2_600.174460
S3_150.087215
S4_150.043615
S5_150.021815
Table 2. BET specific surface area and average pore size results for all ZnO samples.
Table 2. BET specific surface area and average pore size results for all ZnO samples.
Sample NameBET Specific Surface Area (m2/g)Average Pore Size (nm)
S1_1518.0301 ± 0.06944.6153 ± 0.0265
S1_3014.8443 ± 0.04674.6759 ± 0.0135
S1_6014.6759 ± 0.13565.006 ± 0.0201
S2_1518.2113 ± 0.22963.8649 ± 0.0098
S2_3015.7782 ± 0.14685.0625 ± 0.0354
S2_6016.5817 ± 0.40525.341 ± 0.0333
S3_1523.3261 ± 0.19184.5723 ± 0.0238
S4_1525.7858 ± 0.34215.0674 ± 0.0117
S5_1522.0476 ± 0.28244.9104 ± 0.0258
Disclaimer/Publisher’s Note: The statements, opinions and data contained in all publications are solely those of the individual author(s) and contributor(s) and not of MDPI and/or the editor(s). MDPI and/or the editor(s) disclaim responsibility for any injury to people or property resulting from any ideas, methods, instructions or products referred to in the content.

Share and Cite

MDPI and ACS Style

Doicin, I.E.; Preda, M.D.; Neacsu, I.A.; Ene, V.L.; Birca, A.C.; Vasile, B.S.; Andronescu, E. Tailoring Zinc Oxide Nanoparticles via Microwave-Assisted Hydrothermal Synthesis for Enhanced Antibacterial Properties. Appl. Sci. 2024, 14, 7854. https://doi.org/10.3390/app14177854

AMA Style

Doicin IE, Preda MD, Neacsu IA, Ene VL, Birca AC, Vasile BS, Andronescu E. Tailoring Zinc Oxide Nanoparticles via Microwave-Assisted Hydrothermal Synthesis for Enhanced Antibacterial Properties. Applied Sciences. 2024; 14(17):7854. https://doi.org/10.3390/app14177854

Chicago/Turabian Style

Doicin, Irina Elena, Manuela Daniela Preda, Ionela Andreea Neacsu, Vladimir Lucian Ene, Alexandra Catalina Birca, Bogdan Stefan Vasile, and Ecaterina Andronescu. 2024. "Tailoring Zinc Oxide Nanoparticles via Microwave-Assisted Hydrothermal Synthesis for Enhanced Antibacterial Properties" Applied Sciences 14, no. 17: 7854. https://doi.org/10.3390/app14177854

APA Style

Doicin, I. E., Preda, M. D., Neacsu, I. A., Ene, V. L., Birca, A. C., Vasile, B. S., & Andronescu, E. (2024). Tailoring Zinc Oxide Nanoparticles via Microwave-Assisted Hydrothermal Synthesis for Enhanced Antibacterial Properties. Applied Sciences, 14(17), 7854. https://doi.org/10.3390/app14177854

Note that from the first issue of 2016, this journal uses article numbers instead of page numbers. See further details here.

Article Metrics

Back to TopTop