Next Article in Journal
Research on Ride Comfort Control of Air Suspension Based on Genetic Algorithm Optimized Fuzzy PID
Previous Article in Journal
The Influence of Effective Mass on the Striking Force of Lead Jab and Rear Cross Punches of Boxers
Previous Article in Special Issue
A Morphing Deployable Mechanism for Re-Entry Capsule Aeroshell
 
 
Font Type:
Arial Georgia Verdana
Font Size:
Aa Aa Aa
Line Spacing:
Column Width:
Background:
Article

Optimal Gliding Trajectories for Descent on Mars

by
Jhonathan Murcia-Piñeros
1,
Antônio F. B. A. Prado
2,
Ignazio Dimino
3,* and
Rodolpho V. de Moraes
1
1
Institute of Science and Technology ICT/UNIFESP, São José dos Campos 12247-014, SP, Brazil
2
National Institute for Space Research INPE, São José dos Campos 12227-010, SP, Brazil
3
The Italian Aerospace Research Centre CIRA, Via Maiorise snc, 81043 Capua, CE, Italy
*
Author to whom correspondence should be addressed.
Appl. Sci. 2024, 14(17), 7786; https://doi.org/10.3390/app14177786
Submission received: 11 July 2024 / Revised: 22 August 2024 / Accepted: 30 August 2024 / Published: 3 September 2024
(This article belongs to the Special Issue Morphing Enabling Technologies for Aerospace Systems)

Abstract

In this paper, optimal gliding trajectories are analyzed, formulating an optimal control problem to be solved computationally via nonlinear programming. A multi-objective terminal cost function that minimizes the velocity, altitude, horizontal flight path angle, and the error of a desired terminal point is formulated. The results are validated via Monte Carlo simulations, analyzing the influence of the variations in the lift-to-drag ratios in the atmospheric entry. The results show feasible solutions for minimizing the distance to the desired final point, which have significant practical implications for the controlled gliding entry of a spaceplane on Mars. In this sense, the results also show that the longitudes of the landing points do not change too much for almost all trajectories, while the latitude of these points is in the interval of about 4 degrees for the majority of the trajectories. This suggests that it is possible to implement an optimal control approach with reasonable accuracy for the controlled gliding entry of a spaceplane on Mars, even in the presence of some uncertainties regarding the aerodynamic performance of the spacecraft, such as the lift-to-drag ratio.

1. Introduction

The terminal phase of an interplanetary mission to deploy a payload on the surface of Mars is composed of the entry, descent, and landing (EDL). This is a critical phase of the mission due to the spacecraft–atmosphere interaction, which increases aerodynamic and heat loads on the structure of the spacecraft due to deceleration from high hypersonic velocities, mainly dominated by drag. When compared to Earth’s atmosphere, the heat transfer and loads are lower on Mars due to its composition and the lower mass of the planet, which reduces the gravitational attraction at the descent. Spacecraft-like spaceplanes have been useful for re-entry on Earth, saving energy because they do not require the action of the propulsion system to glide, such as thrusters. At the same time, the spaceplanes are qualified for space activities; two examples of these are the space shuttles and the robotic X-37. Their large area-to-mass ratio (A/m), high aerodynamic performance, and the implementation of aerodynamic control surfaces allow gliding flight above the planet, increasing the range and cross-range of the trajectory. This property facilitates the direction of the spaceplane to a specific point for the final approach and landing, improving the controllability of the trajectory, different from the descent capsules, which do not have surfaces to increase the endurance of the atmospheric flight.
The optimization of the trajectory focuses on the satisfaction of a specific cost function along or at the end of the flight. A way to calculate optimal trajectories is through an optimal control problem (OCP). This method is highly implemented in the aerospace industry, robotics, and autonomous vehicles to compute the inputs of manipulated variables to control the state vector of the resulting trajectory to minimize or maximize the cost function. In the case of gliding spaceplanes, the idea is to find the history of the aerodynamic angles (angle of attack and banking angle) to direct the spacecraft onto the optimal path.
Various research has presented the benefits of optimal trajectories for interplanetary maneuvers passing over the atmosphere of a celestial body [1,2,3,4,5,6,7,8,9,10,11,12,13]. A way of optimizing the aeromaneuver of a hypersonic glider is via Pontryagin’s maximum, which is used to minimize the loss in energy, increasing the turn angle or atmospheric flight around Venus and Mars [4]. This is an example of optimization at a terminal time. Another kind of optimization, along the trajectory, was explored with the addition of a heat constraint, which reduces the velocity because it is proportional to the increase in heat [5,11]. When the trajectory is analyzed outside of the plane, control of the bank angle is required. This is advantageous in changing the inclination of the heliocentric orbit [6]. Other constraints were explored in [7], dealing with a traditional optimal control problem, different from [8], where multi-objective genetic algorithms were implemented, looking for a minimization of the Delta-V given by the propellant. To solve this problem, nonlinear programming (NLP) in an OCP was applied to optimal gravity-assist maneuver above Mars [1]. Optimal guidance was studied in [9]. The cost function to maximize the turn angle was presented in [10], and the optimization of a powered gravity assist was analyzed in [12]. Optimal trajectories above Venus, Earth, and Mars were studied to maximize the terminal velocity, latitude, and longitude, controlling the aerodynamic angles of attack and baking on a spaceplane at high altitudes at the beginning of the continuum flow [13,14].
Optimal gliding descent of hypersonic vehicles has been analyzed in some scientific papers; for instance, a second-order cone programming to optimize entry trajectories of hypersonic gliders with high lift/drag ratios was explored in [15]. Geographic constraints were applied in the entry guidance of autonomous gliders at high lift/drag, showing that the vehicle reached the target point by adapting to different kinds of missions [16]. Fast analytical solutions for a hypersonic glider with lift/drag greater than 3.0 were analyzed to update the calculated trajectory and to land in a specific cross-range [17]. A short-range guidance with a predictor–corrector algorithm was explored for fast re-entry [18]. Optimal lift control subject to initial and final values of the trajectory were derived from parametric studies in [19].
In addition to the large system (spacecraft) and according to the mission, sometimes the implementation of aerodynamic subsystems or components, such as aerodynamic decelerators, is required. Both inflatable aerodynamic decelerators and mechanically deployable systems are promising technologies enabling several benefits, including large payload delivery to the Martian surface or orbit and aerocapture missions to Venus or other planets. By expanding to a larger diameter prior to entry, such concepts allow higher entry performance than rigid aeroshells suitable for a variety of planetary or Earth high-speed entries requiring high-temperature materials [20]. Furthermore, being the ballistic coefficient at entry unconstrained by the launcher configuration, these deployable technologies provide operational flexibility over rigid aeroshells along with reduced aero-heating and surface pressure experienced during entry. A deployable Mars aeroshell concept was studied in [21] based on thermal protection system (TPS) panels fitted between retractable ribs. However, such systems typically suffer from uncontrolled re-entry and reduced trajectory accuracy due to the uncertainties during re-entry operations. Morphing technology has shown the potential to provide more accurate guidance trajectories and precise landing of space vehicles by using aerodynamic drag [22]. Other variations in optimal trajectories for this kind of vehicle, including ascent, powered descent, and additional phases of flight, are available in the scientific literature but are far from the focus of the present paper.
Different from the previous solutions explored in the literature, in this paper, the optimal control is selected (open loop) to find feasible trajectories from the spacecraft’s atmospheric entry point to a preselected final zone. However, the final approach or landing is not detailed in this research. The novelty of this paper is the sensitivity analysis of optimal trajectories during the atmospheric descent of a spaceplane on Mars, subject to uncertainties on lift-to-drag ratios (l/d), satisfying a multi-objective cost function at the same time. Following that goal, this paper is organized as follows: the dynamical model and the formulation of the cost problem are presented in Section 2. Section 3 shows the results of the simulations, including the discussion. Finally, the conclusions are listed in Section 4.

2. Formulation of the Optimal Control Problem

The formulation of the optimal control problem requires a mathematical model of the system, which in this case involves the spaceplane and Mars, the model of the control variables, the constraints, and the cost function. This section describes all of those parts.

2.1. Kinematics and Dynamics of the System

The state vector is represented by six nonlinear first-order differential equations, Equations (1)–(6). The origin of the inertial planetocentric reference system is on the center of an ideal spherical planet, with a homogeneous mass distribution and far from the influence of other bodies, such as moons and the Sun [1,14], also assuming a non-rotational planet. The deduction of the equations of motion is far from the purpose of this research; however, for a detailed mathematical demonstration, we invite the reader to follow the references [1,3,4,5,6,12,13,14,15,16].
The kinematic equations describe the rate of change in the radius ( R ), longitude ( θ ), and latitude ( φ ) as a function of the spaceplane velocity ( V ), flight path angle ( γ ), and azimuth. The three equations which describe the dynamics are a function of the aerodynamic forces of lift ( l ) and drag ( d ), the banking angle ( β ), the instantaneous mass of the spacecraft (m), and the acceleration of gravity as a function of the altitude ( g ).
R ˙ = V sin γ ,
θ ˙ = V R cos γ sin A cos φ ,
φ ˙ = V R cos γ cos A ,
V ˙ = d m g sin γ ,
γ ˙ = l m cos β V cos γ g V + V R cos γ ,
A ˙ = l m sin β V cos γ V R cos γ tan φ sin A .

2.2. A Brief Description of the Aerodynamic

The aerodynamic accelerations due to lift (l/m) and drag (d/m) are a function of the spaceplane area-to-mass ratio (A/m), the relative velocity to the flow, its respective coefficients of lift (Cl) and drag (Cd), and the density ( ρ ) of the atmosphere, which is a function of the altitude. This last point is modeled as an exponential ( ρ = ρ 0 e x p ( h / H ) ), using the data available from the planetary data sheet [13,14,23], where the scale height ( H ) is 11.1 km and the density at the surface ρ 0 is 0.02 kg/m3. The aerodynamic accelerations are as follows:
l m = 0.5 C l A m ρ V 2 ,
d m = 0.5 C d A m ρ V 2 .
The lift and drag coefficients were modeled from the data of the X-34 spaceplane in continuum flow [24], which, in this case, is selected only to be a function of the angle of attack (AOA). The effective angles for the control are from −4 deg to 28 deg, and the maximum performance is reached at 11 deg, generating a l/d of 2.2, as presented in Figure 1.

2.3. Path Constraints

It is assumed that the spaceplane begins its atmospheric descent at 92.0 km of altitude, with a negative value of the flight path angle, meaning that one component of its velocity vector is pointing towards the center of the planet. This part of the descent begins after orbital decay, which could be calculated to be in a specific region, also with aerodynamic control; an example is presented in [25]. Due to the nature of the descent, where the spacecraft loses its mechanical energy due to drag, it is expected to have a decrease in velocity. For those reasons, the constraints on the state vector, the control vector, and the path, in an interval of time between (t0) and (tf), are selected to be as follows:
t 0 < t t f 50   s t f 800   s R P l a n e t R t < R P l a n e t + 92   k m 0.0   m / s V ( t ) 180   d e g θ t 180   d e g 90   d e g φ t 90   d e g 20   d e g γ t 20   d e g 0   d e g A t 359.9   d e g 4   d e g α t 28   d e g 180   d e g β t 180   d e g α ˙ t , α ¨ t ,   β ˙ t , β ¨ t = f r e e

2.4. Cost Functions

The descent problem focuses on reducing the velocity and altitude for a specific terminal point at the final time (tf). An aleatory point of 26 deg in longitude and 35 deg in latitude is selected as the terminal point. For those reasons, the specified cost function is composed of four terminal costs in order to minimize its value at the final time. So, the OCP is formulated to minimize the following:
min U t , t f J t f ; J t f = J 1 t f + J 2 t f + J 3 t f + J 4 t f ,
for the objective functionals
J 1 t f = V t f J 2 t f = R t f J 3 t f = γ t f J 4 t f = θ t f 26 2 + φ t f 35 2
subject to the dynamics of the system, Equations (1)–(8), and the path constraints (9). The initial conditions are presented in Table 1.

3. Results

The OCP formulated in Section 2 is solved via NLP using the optimization suit GEKKO in Python, which includes the interior point optimizer (IPOPT) as a solver [26]. This software has been used successfully to solve OCP and dynamic optimization problems, finding optimal trajectories; for instance, it was implemented to optimize high-velocity gravity-assist maneuvers for spaceplanes [14]. The maximum number of allowed iterations is selected to be 300, the objective function tolerance lower than 1.0 × 10−9, and the relative tolerance 1.0 × 10−10. The mean computational time to solve the problem is less than 30 s on a PC with a Core i5 (12th) and 16 GB of RAM. The library Matplotlib on Python was used to generate the graphics presented in this paper [27].
The initial conditions of the state vector, after the orbital decay, in a descent at the beginning of the continuum flow are assumed to be the following:
Table 1. Initial conditions.
Table 1. Initial conditions.
Initial time0.0 s
Altitude92.0 km
Latitude0.0 deg
Longitude0.0 deg
Velocity6.5 km/s
Flight path angle (FPA)−4.0 deg
Azimuth 90.0 deg
Mass8200.0 kg
Area332.0 m2

3.1. Nominal Trajectory

The first feasible solution, or optimal solution, was found for a final time of 717.49 s, terminal velocity of 72.65 m/s, a final altitude of 0.0 m, 25.71 deg in longitude, and 28.96 deg in latitude. The behavior of the state variables and the control variables along the trajectory is presented in Figure 2, Figure 3, Figure 4 and Figure 5.
Figure 5 provides a detailed view of the nominal trajectory. Looking first at the altitude behavior, we see that the spacecraft initially falls very fast. Then, it reaches an altitude where the density of the atmosphere is higher, and the spacecraft bounces back, increasing its altitude. After that, it starts to fall again until arriving at the surface of Mars.
The velocity has two fast-decreasing zones, at the beginning and the end of the trajectory, during the fall phases. They are separated by a long phase of slight decrease in velocity, which occurs when the spacecraft bounces back due to the crash in a dense region of the atmosphere. Azimuth, flight path angle, and bank angle all have swift motions at the end of the trajectory, where the atmosphere is denser and the spacecraft is working to reach zero velocity when approaching the surface of Mars, at the same time that it is reducing the distance to the final point. Latitude and longitude have smooth evolutions from the initial point to the specified point of landing. In contrast, the angle of attack has fast motion at the beginning and end of the trajectory, with a large phase of near-constant value in the middle.

3.2. Uncertainties on Aerodynamic Coefficients: Sensitivity Analysis

The planetary entry and descent are complex aeromaneuvers, because they require high precision, which is difficult due to the estimated uncertainty of some factors, such as the behavior of the atmospheric conditions. The atmosphere is a stochastic system that depends on solar activity, the magnetic field of the planet, and other variables. On the other hand, factors like uncertainties in the state vector and/or in the aerodynamic performance could reduce the precision of the controller. In order to analyze that, the changes in l/d on the trajectory were analyzed from a mean value of 0.96, assuming a normal distribution with 0.01 on standard deviation.
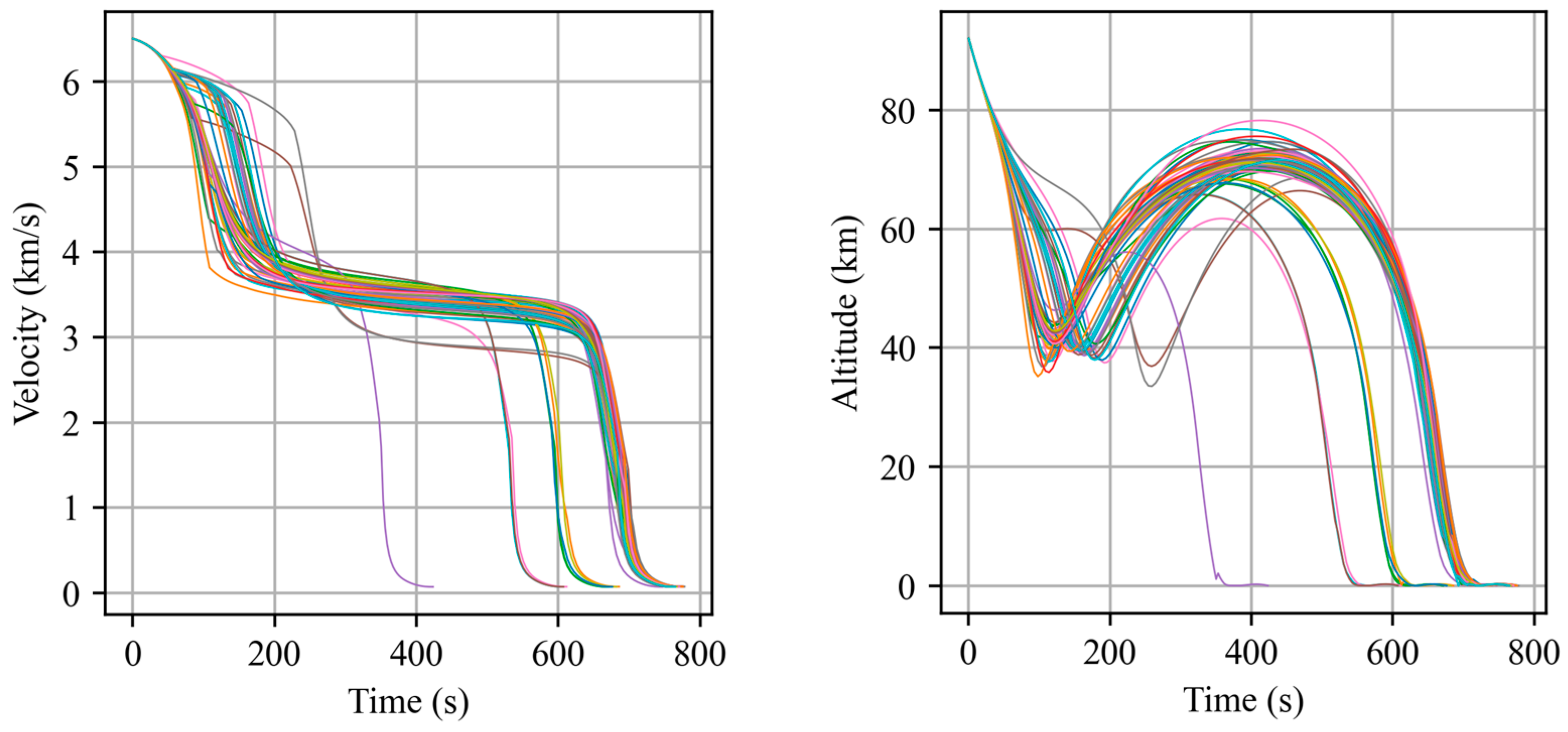
In this study, 100 random values for the spacecraft’s l/d ratio were generated, and the simulations were repeated for each value. The main goal is to see how this parameter affects the spacecraft’s trajectories, particularly the location of the final or terminal point. Figure 6, Figure 7, Figure 8, Figure 9, Figure 10, Figure 11 and Figure 12 show the results.
Looking at all the figures, Figure 6 confirms that all the trajectories ended with the spacecraft on the surface of Mars. Thus, no escapes from the planet were obtained in the simulations, which means that the variations in the l/d ratio were not strong enough to cause the spacecraft to either leave Mars or collide.
Figure 7 shows in detail the final azimuth and flight path angles. We see that most of the trajectories ended with flight path angles near −18.6 degrees, so the variations in the l/d ratio did not affect this variable much. The opposite occurs for the final azimuth angle. They have a large dispersion, going from zero to more than 100 degrees. So, this variable is very sensitive to the l/d ratio, and it is impossible to make accurate predictions of this value without knowing the l/d ratio of the spacecraft very well.
Figure 8 is the most important one for the goals of the present research. It shows the location of the final points. The final latitude is around 30 degrees for almost all trajectories. The final longitude goes closer to 26 degrees for the majority of the trajectories, which is a better interval compared to the results obtained for the latitude. So, in general, the variations in the l/d ratio change the final point but keep them in a square of 5 by 2 degrees in terms of latitude and longitude. In a more detailed maneuver, this final approach is selected to begin at a higher altitude so that there is enough time to loiter and make the final adjustment before the landing. After that, systems like retrorockets, parachutes, or skids (used on the X-15) could be deployed.
Figure 9 indicates that almost all the trajectories (in different colors) have similar behaviors when compared to the nominal one in terms of velocity and altitude. With very few exceptions, they start the motion towards Mars, bounce back when reaching a point of higher density in the atmosphere, and then the spacecraft falls again. The velocity has a slow decreasing phase during this bouncing motion and a fast decrease when out of this zone.
Figure 10 shows the different trajectories that each value of l/d generates for the spacecraft. We see a large concentration of solutions near the nominal trajectories, not only at the landing point but also throughout the motion.
The angle of attack (Figure 11) is also variable. Almost all the trajectories follow the nominal trajectory, and variations in l/d have lower effects. The banking angle (Figure 12) has a more dispersed evolution, with trajectories that differ considerably with a slight variation in l/d, adjusting the direction of the flight closer to the final point.
In summary, the OCP results were presented in this Section, obtaining feasible trajectories that satisfied the objectives and constraints (Equations (9)–(11)). At the same time, a sensitivity analysis from Monte Carlo simulations was performed, calculating optimal solutions from changes in the values of the lift and drag coefficients. The optimal control problem was formulated and solved via nonlinear programming to calculate the control history of optimal gliding descent above Mars. The results show feasible solutions, minimizing the four cost functions at a terminal time. The results showed that all the trajectories landed on Mars, so neither escapes from the planet nor collisions on its surface occurred for the l/d values used.
We also saw that most of the trajectories ended with flight path angles near −18.6 degrees, but the final azimuth angle had a large dispersion, from zero to more than 100 degrees. So, the final azimuth angle is very sensitive to the l/d ratio, and it is impossible to make an accurate prediction of this value without knowing the spacecraft’s l/d ratio.

4. Conclusions

The research performed here showed the effects of the variation in the l/d ratio in the descent trajectories of a spacecraft on Mars. It can be used to guide the preliminary design of missions that aim to use a gliding fly in the atmosphere of Mars to descend a spacecraft close to the surface of this planet. The most important result of this research is that the feasible trajectories landed at latitudes around 30 degrees and longitudes close to 26 degrees for the majority of the trajectories. Even though the latitude is lower than expected, it is still not wholly unpredictable. Regarding the trajectories of the spaceplane, it was shown that most of them behaved similarly to the nominal trajectory, both in terms of velocity and altitude time evolution. Almost all those trajectories bounced back when reaching a point of higher density in the atmosphere of Mars, and after that, the spacecraft fell again. At the same time, the velocity had a slow decreasing phase during this bouncing motion and a fast decrease when out of this zone. The trajectories obtained for different values of l/d were very similar to the nominal trajectories during the whole motion. The angle of attack has a similar behavior, while the banking angle had a more dispersed evolution, compensating for the losses in lift due to lower density to reach the desired point.

Author Contributions

Conceptualization, I.D. and A.F.B.A.P.; methodology, software, validation, and simulations J.M.-P.; formal analysis, I.D. and A.F.B.A.P.; investigation, I.D. and A.F.B.A.P.; resources, A.F.B.A.P. and R.V.d.M.; writing—original draft preparation, I.D., A.F.B.A.P. and J.M.-P.; writing—review and editing, all authors; visualization, J.M.-P.; supervision, R.V.d.M.; project administration, R.V.d.M.; funding acquisition, J.M.-P. and R.V.d.M. All authors have read and agreed to the published version of the manuscript.

Funding

This research was funded by the São Paulo Research Foundation (FAPESP) [grant numbers 2019/26605-2, 2015/24561-0, and 2016/24561-0]; the National Council for Scientific and Technological Development (CNPq) [grant numbers 3003102/2019-5, 309089/2021-2, and 301338/2016-7]; and the National Council for the Improvement of Higher Education (CAPES) [grant number 88882.317514/2013-01]. This research was partially funded by a grant (PGR10074) from the Italian Ministry of Foreign Affairs and International Cooperation (MAECI) in the framework of the first Executive Programme for Scientific and Technological Cooperation between the Government of the Italian Republic and the Government of the Federal Republic of Brazil.

Institutional Review Board Statement

Not applicable.

Informed Consent Statement

Not applicable.

Data Availability Statement

All the data used for this research are presented in the figures of this article.

Acknowledgments

The authors are grateful to the Institute of Science and Technology (ICT) of the Federal University of São Paulo (UNIFESP), the National Institute for Space Research (INPE), and the Italian Aerospace Research Centre (CIRA) for supporting this investigation in various capacities.

Conflicts of Interest

The authors declare no conflicts of interest.

References

  1. Armellin, R.; Lavagna, M.; Ercoli-Finzi, A. Aero-gravity assist maneuvers: Controlled dynamics modeling and optimization. Celest. Mech. Dyn. Astro. 2006, 95, 391–405. [Google Scholar] [CrossRef]
  2. London, H. Change of satellite orbit plane by aerodynamic maneuvering. J. Aerosp. Sci. 1962, 29, 323–332. [Google Scholar] [CrossRef]
  3. Anderson, J.D.; Ferguson, F., Jr.; Kothari, A.P. Hypersonic waveriders for planetary atmospheres. J. Spacecr. Rocket. 1991, 28, 401–410. [Google Scholar] [CrossRef]
  4. Lohar, F.; Mateescu, D.; Misra, K. Optimal atmospheric trajectory for aero-gravity assist. Acta Astronaut. 1994, 32, 89–96. [Google Scholar] [CrossRef]
  5. Lohar, F.; Misra, K.; Mateescu, D. Optimal Atmospheric Trajectory for Aerogravity Assist with Heat Constraint. J. Guid. Control Dyn. 1995, 18, 723–730. [Google Scholar] [CrossRef]
  6. Lohar, F.; Misra, K.; Mateescu, D. Optimal aero-gravity assist with heliocentric plane change. Acta Astronaut. 1996, 38, 445–456. [Google Scholar] [CrossRef]
  7. Johnson, W.R. Optimization of Atmospheric Fly through Aero-gravity Assist Trajectories; AAE508 Report; 2002. [Google Scholar]
  8. Lavagna, M.; Povoleri, A.; Finzi, A.E. Interplanetary mission design with aero-assisted manoeuvres multi-objective evolutive optimization. Acta Astronaut. 2005, 57, 498–509. [Google Scholar] [CrossRef]
  9. Lyons, D.; Sklyanskiy, E.; Casoliva, J.; Wolf, A. Parametric optimization and guidance for an aerogravity assisted atmospheric sample return from Mars and Venus. In Proceedings of the AIAA/AAS Astrodynamics Specialist Conference and Exhibit, AIAA 08-7353, Honolulu, HI, USA, 18–21 August 2008; pp. 18–21. [Google Scholar]
  10. Henning, G.; Edelman, P.; Longuski, J. Design and Optimization of interplanetary aerogravity-assist tours. J. Spacecr. Rocket. 2014, 51, 1849–1856. [Google Scholar] [CrossRef]
  11. Edelman, P.J.; Longuski, M.J. Optimal aerogravity-assist trajectories minimizing total heat load. J. Guid. Control Dyn. 2017, 40, 2699–2703. [Google Scholar] [CrossRef]
  12. Qi, Y.; Ruiter, A. Optimal Powered Aerogravity-Assist Trajectories. J. Guid. Control Dyn. 2021, 44, 151–162. [Google Scholar] [CrossRef]
  13. Piñeros, J.O.M.; de Moraes, R.V.; Prado, A.F.B. Using low Lift-to-Drag spacecraft to perform upper atmospheric Aero-Gravity Assisted Maneuvers. Adv. Space Res. 2022, 70, 1032–1047. [Google Scholar] [CrossRef]
  14. Murcia-Piñeros, J.O.; Bevilacqua, R.; Prado, A.F.B.A.; de Moraes, V. Optimizing aerogravity-assisted maneuvers at high atmospheric altitude above Venus, Earth, and Mars to control heliocentric orbits. Acta Astronaut. 2024, 215, 333–347. [Google Scholar] [CrossRef]
  15. Liu, X.; Shen, Z. Rapid Smooth Entry Trajectory Planning for High Lift/Drag Hypersonic Glide Vehicles. J. Optim. Theory Appl. 2016, 168, 917–943. [Google Scholar] [CrossRef]
  16. Guo, J.; Wu, X.; Tang, S. Autonomous gliding entry guidance with geographic constraints. Chin. J. Aeronaut. 2015, 28, 1343–1354. [Google Scholar] [CrossRef]
  17. Yu, W.; Yang, J.; Chen, W. Entry Guidance Based on Analytical Trajectory Solutions. IEEE Trans. Aerosp. Electron. Syst. 2022, 58, 2438–2466. [Google Scholar] [CrossRef]
  18. Wang, R.; Tang, S.; Zhang, D. Short-Range Reentry Guidance with Impact Angle and Impact Velocity Constraints for Hypersonic Gliding Reentry Vehicle. IEEE Access 2019, 7, 47437–47450. [Google Scholar] [CrossRef]
  19. Beiner, L. Optimal re-entry maneuver with bounded lift control. J. Guid. 1986, 10, 321–329. [Google Scholar] [CrossRef]
  20. Cassell, A.; Brivkalns, C.; Bowles, J.; Garcia, J.; Kinney, D.; Wercinski, P.; Cianciolo, A.; Polsgrove, T. Human Mars Mission Design Study Utilizing the Adaptive Deployable Entry and Placement Technology. In Proceedings of the 2017 IEEE Aerospace Conference, Big Sky, MT, USA, 4–11 March 2017. [Google Scholar] [CrossRef]
  21. O’Driscoll, D.; Bruce, P.J.; Santer, M.J. Origami-based TPS Folding Concept for Deployable Mars Entry Vehicles. In Proceedings of the AIAA Scitech 2020 Forum, Orlando, FL, USA, 6–10 January 2020. [Google Scholar] [CrossRef]
  22. Dimino, I.; Vendittozzi, C.; Reis Silva, W.; Ameduri, S.; Concilio, A. A Morphing Deployable Mechanism for Re-Entry Capsule Aeroshell. Appl. Sci. 2023, 13, 2783. [Google Scholar] [CrossRef]
  23. Willians, D. Planetary Fact Sheets. 2016. Available online: https://nssdc.gsfc.nasa.gov/planetary/planetfact.html (accessed on 6 June 2024).
  24. Brauckmann, G. X-34 Vehicle Aerodynamic Characteristics. J. Spacecr. Rocket. 1999, 36, 229–239. [Google Scholar] [CrossRef][Green Version]
  25. Gaglio, E.; Bevilacqua, R. Time optimal drag-based targeted de-orbiting for low Earth orbit. Acta Astronaut. 2023, 207, 316–330. [Google Scholar] [CrossRef]
  26. Hedengren, J.D.; Asgharzadeh Shishavan, R.; Powell, K.M.; Edgar, T.F. Nonlinear Modeling, Estimation and Predictive Control in APMonitor. Comput. Chem. Eng. 2014, 70, 133–148. [Google Scholar] [CrossRef]
  27. Hunter, J.D. Matplotlib: A 2D graphics environment. Comp. Sci. Eng. 2007, 9, 90–95. [Google Scholar] [CrossRef]
Figure 1. Aerodynamic coefficients of the spaceplane as a function of the angle of attack.
Figure 1. Aerodynamic coefficients of the spaceplane as a function of the angle of attack.
Applsci 14 07786 g001
Figure 2. Nominal velocity (a) and altitude (b) as a function of time.
Figure 2. Nominal velocity (a) and altitude (b) as a function of time.
Applsci 14 07786 g002
Figure 3. Nominal azimuth (a) and FPA (b) as a function of time.
Figure 3. Nominal azimuth (a) and FPA (b) as a function of time.
Applsci 14 07786 g003
Figure 4. Nominal longitude vs. latitude.
Figure 4. Nominal longitude vs. latitude.
Applsci 14 07786 g004
Figure 5. History of the angle of attack (a) and bank angle (b) as a function of time.
Figure 5. History of the angle of attack (a) and bank angle (b) as a function of time.
Applsci 14 07786 g005
Figure 6. Final velocity and altitude for 100 trajectories.
Figure 6. Final velocity and altitude for 100 trajectories.
Applsci 14 07786 g006
Figure 7. Final FPA and azimuth for 100 trajectories.
Figure 7. Final FPA and azimuth for 100 trajectories.
Applsci 14 07786 g007
Figure 8. Final longitude and latitude for 100 trajectories.
Figure 8. Final longitude and latitude for 100 trajectories.
Applsci 14 07786 g008
Figure 9. Velocity and altitude as a function of time for 100 trajectories.
Figure 9. Velocity and altitude as a function of time for 100 trajectories.
Applsci 14 07786 g009
Figure 10. Longitude vs. latitude for 100 trajectories.
Figure 10. Longitude vs. latitude for 100 trajectories.
Applsci 14 07786 g010
Figure 11. History of AOA from 100 simulations.
Figure 11. History of AOA from 100 simulations.
Applsci 14 07786 g011
Figure 12. History of bank angle from 100 simulations.
Figure 12. History of bank angle from 100 simulations.
Applsci 14 07786 g012
Disclaimer/Publisher’s Note: The statements, opinions and data contained in all publications are solely those of the individual author(s) and contributor(s) and not of MDPI and/or the editor(s). MDPI and/or the editor(s) disclaim responsibility for any injury to people or property resulting from any ideas, methods, instructions or products referred to in the content.

Share and Cite

MDPI and ACS Style

Murcia-Piñeros, J.; Prado, A.F.B.A.; Dimino, I.; de Moraes, R.V. Optimal Gliding Trajectories for Descent on Mars. Appl. Sci. 2024, 14, 7786. https://doi.org/10.3390/app14177786

AMA Style

Murcia-Piñeros J, Prado AFBA, Dimino I, de Moraes RV. Optimal Gliding Trajectories for Descent on Mars. Applied Sciences. 2024; 14(17):7786. https://doi.org/10.3390/app14177786

Chicago/Turabian Style

Murcia-Piñeros, Jhonathan, Antônio F. B. A. Prado, Ignazio Dimino, and Rodolpho V. de Moraes. 2024. "Optimal Gliding Trajectories for Descent on Mars" Applied Sciences 14, no. 17: 7786. https://doi.org/10.3390/app14177786

APA Style

Murcia-Piñeros, J., Prado, A. F. B. A., Dimino, I., & de Moraes, R. V. (2024). Optimal Gliding Trajectories for Descent on Mars. Applied Sciences, 14(17), 7786. https://doi.org/10.3390/app14177786

Note that from the first issue of 2016, this journal uses article numbers instead of page numbers. See further details here.

Article Metrics

Back to TopTop