Abstract
Background: A number of mechanical decontamination methods have been proposed, however, there is no agreed-upon gold standard among them. This study aims to conduct a meta-analysis to assess the differences in the management of an inflammatory reaction around dental implants between air abrasion and mechanical decontamination. Methods: A comprehensive search strategy was employed, incorporating controlled vocabulary (MeSH) and free-text terms. This search was conducted by two reviewers to identify published systematic reviews. Three major electronic databases, namely, Medline via PubMed, the Cochrane database, and Embase, were searched up to May 2024. Results: Initially, 300 articles were identified. After conducting a comprehensive search and applying strict inclusion criteria, a total of 13 studies were deemed eligible for inclusion in the meta-analysis. The results showed that the mean difference in probing depth between air abrasion and other mechanical decontamination was 0.28 (95% confidence interval, −0.20 to 0.76). The mean difference in probing depth of air abrasion compared with other mechanical decontamination in maintenance purposes was 1.05 (95% confidence interval, 0.18 to 1.91). The mean difference in bleeding on probing between air abrasion and other mechanical decontamination was 0.51 (95% confidence interval, 0.07 to 0.95). The mean difference in alveolar bone loss between air abrasion and other mechanical decontamination was −0.14 (95% confidence interval, −0.77 to 0.48). The mean difference in alveolar bone loss for surgical approaches of air abrasion compared with other mechanical decontamination was 0.32 (95% confidence interval, 0.03 to 0.61). Conclusions: The findings of the study indicate that the use of air abrasion was just as effective as other mechanical decontamination methods in reducing probing depth and alveolar bone loss. The subgroup analysis showed that air abrasion was less effective in reducing probing depth in maintenance purposes. Additionally, air abrasion was less effective in reducing alveolar bone loss in surgical approaches.
1. Introduction
Dental implants are used to replace missing teeth [1]. These implants are designed to integrate with the bone, mimicking the root of a tooth. Dental implants serve as artificial tooth roots, providing a permanent base for fixed, replacement teeth [2]. The tooth is secured to the alveolar bone and gingiva via the periodontal ligament and superior soft tissue fibers [3]. However, hard and soft tissues surrounding the implant are somewhat different from the tooth and the interface between the connective tissue and the implant is devoid of fibers [4]. Within the peri-implant mucosa, collagen fibers are oriented parallel to the implant’s long axis [5]. Furthermore, the mucosal region in the dental implant is characterized by a low vascular density [6]. The osteotomy procedure performed during implant placement induces tissue damage, precipitating a series of biological responses within the bone, which includes bone remodeling [7]. The subsequent weeks witness a process of modeling and remodeling of the hard tissue around the implant, culminating in the formation of new bone that surrounds the implant, a phenomenon known as osseointegration [8].
Peri-implantitis is essentially the counterpart to periodontitis [9]. Peri-implant mucositis is defined as the inflammation of the soft tissues surrounding a dental implant, whereas peri-implantitis is characterized by inflammation of the peri-implant soft tissues accompanied by bone loss around the implant [10]. A healthy peri-implant mucosa exhibits neither edema nor redness and is devoid of inflammatory markers, such as bleeding upon palpation. Both the mucosa and the superior aspect of the tooth or implant are integral components of the oral milieu, perpetually exposed to a diverse array of microorganisms [11]. Unlike the oral mucosa, which can shed epithelial cells to mitigate microbial colonization, implants and teeth lack this capability. Consequently, implants present a particularly conducive environment for bacterial adherence and biofilm formation within the grooves of the adjacent mucosa [12]. The manifestations of peri-implantitis frequently remain asymptomatic, typically identified during routine examinations through bleeding upon probing, a consistent indicator of peri-implant disease, although this may not be observed in some smokers [13]. Additional clinical indicators of this condition include suppuration, an increased probing depth compared to baseline measurements, mucosal retraction, the formation of draining sinuses, and swelling of the peri-implant mucosa [14]. Without prompt diagnosis and effective management, peri-implant disease can lead to the loss of osseointegration and ultimately, the failure of the implant [15].
The primary objective in the management of dental peri-implantitis is to mitigate the peri-implantitis lesion, thereby arresting the progression of bone support loss [16]. The treatment aims are analogous to those for periodontitis, where a successfully treated peri-implantitis site should exhibit an absence of periodontal pockets and bleeding upon probing [17]. Nevertheless, the efficacy of such treatments may be contingent upon the successful removal of biofilm from the implant surface and the accessibility of the contaminated implant surface for treatment [18]. Non-surgical approaches to biofilm removal are typically employed in conjunction with care of the upper peri-implant mucosal region [19]. Providing patients with detailed information and guidance on self-managing the infection is crucial to the overall management of peri-implant diseases in dentistry [20]. However, in instances of severe dental peri-implantitis, non-surgical methods alone may prove insufficient, necessitating a surgical intervention. Surgical modalities are employed to remediate connective tissue lesions, incorporating various mechanical techniques for biofilm elimination from the implant surface [21]. The evidence from prospective and retrospective case series, as well as randomized controlled clinical trials, supports the potential for achieving and sustaining successful outcomes over extended periods. Depending on the clinicians, the preference leans towards surgical interventions.
The potential challenge in non-surgically managing peri-implantitis and improving the condition therapeutically has arisen. Various mechanical instrumentations have been implemented for the management of peri-implantitis [22]. However, there is no universally accepted gold standard among them [23]. Air abrasion is reported to effectively remove the bacterial biofilm from the implant surface and peri-implant tissues, which is a primary etiological factor in peri-implantitis [24]. Air abrasion helps in cleaning the micro-roughened surfaces of the implant, which are prone to biofilm accumulation [25]. The use of air abrasion showed that the plaque index showed improvement post-treatment. The technique using air abrasion is less invasive compared to mechanical debridement with curettes or ultrasonic scalers, causing less damage to the implant surface and surrounding tissues [26]. Thus, air abrasion therapy may be more beneficial as it minimizes the damages to the surface and helps in maintaining the roughness necessary while removing the biofilm. Therefore, this study aims to conduct a meta-analysis to evaluate the differences in managing the inflammatory response around dental implants between air abrasion and mechanical decontamination. The null hypothesis posits that there will be no significant difference in treating the inflammatory response around dental implants between air abrasion and other mechanical decontamination techniques.
2. Materials and Methods
2.1. Protocol and Eligibility Criteria
The present systematic review follows the guidelines specified in the Preferred Reporting Items for Systematic Reviews and Meta-Analysis (PRISMA) Statement, as detailed in reference [27]. Through the meticulous alignment of our research methodologies with the PRISMA Statement, we have established our systematic review as a model exemplifying meticulous planning, exhaustive data collection, rigorous analysis, and transparent reporting, leading to comprehensive and objective evaluation of the subject under scrutiny. The protocol of this systematic review was not registered in a public registry.
The eligibility criteria are as follows.
Question: Is there a difference in the treatment of peri-implantitis between air abrasion and other mechanical decontamination methods.
Participants: Patients who received treatment for peri-implantitis.
Interventions: The use of air abrasion techniques.
Comparisons: Mechanical decontamination methods.
The primary outcomes measured were probing depth, bleeding on probing, and alveolar bone loss. We excluded in vitro and animal studies, microbiological studies, and review articles. Moreover, literature reviews, interviews, case reports, case-control studies, retrospective study designs, and studies published in languages other than English were excluded.
2.2. Information Sources and Search Strategy
An expert reviewer named NJK, who was associated with a library, carried out a comprehensive search using a combination of controlled vocabulary (MeSH) and free-text terms to identify published studies. Two additional reviewers, KJJ and AL, performed extensive searches of three major electronic databases, namely, Medline via PubMed, Cochrane database, and Embase, up to 14 May 2024. They used EndNote reference management software (Version 21, Clarivate, Philadelphia, PA, USA) to carefully deduplicate the search results, which was crucial to maintain the credibility of the research findings. To enhance the accuracy and relevance of our search, the customized search strategy was thoughtfully designed to align with the specific criteria and intricacies of each database. This strategic approach allowed us to fully utilize the capabilities of each database, maximizing the retrieval of pertinent and valuable information for our research objectives, which are presented in Appendix A Table A1.
2.3. Study Selection and Data Extraction
Two independent reviewers, KJJ and AL, screened the eligibility criteria of the retrieved papers in a blinded manner. Any discrepancies were resolved through discussion with a third author, WJP. The full text of the remaining articles was then assessed independently and in duplicate by KJJ and AL before final inclusion. The data extracted from the included studies were then organized according to the PICOS question and arranged in fields, including general information, such as author name and publication year; participant information, such as the number of patients and implants; intervention or comparison information, such as the type of treatment; and outcome information, such as probing depth, bleeding on probing, and alveolar bone level. Two authors, KJJ and AL, primarily conducted the data extraction, with additional support from authors SSH and WJP.
2.4. Risk-of-Bias Assessment
The reviewers utilized the Cochrane Risk-Of-Bias (ROB 2.0) tool to evaluate the randomized studies. The checklist included questions about the randomization process, variations from the planned interventions, missing outcome data, the measurement of the outcome, the selection of the reported result, and overall bias. The level of bias for the selected studies was assessed as low, some concerns, or high. The quality of the eligible studies was assessed by two reviewers, KJJ and AL.
2.5. Data Synthesis and Analysis
A meta-analysis was carried out using the R software (version 3.5.0; R Project for Statistical Computing). In this analysis, the mean difference (MD) and the 95% confidence interval (CI) were employed as summary statistics. A random-effects model was applied with a significance level of 0.05. To evaluate the variability among the studies, both the I2 static and the chi-square test were conducted.
3. Results
3.1. Study Selection and Data Extraction
The literature search initially yielded 300 articles. Following the exclusion of 56 duplicates, the titles and abstracts of the remaining 244 articles were assessed, resulting in the exclusion of 220 articles that did not meet the inclusion criteria. Thereafter, the full-text versions of the 24 articles that remained were evaluated based on the eligibility. Of these, eight articles were found to be ineligible for further analysis (two due to insufficient data, four for being irrelevant to the topic, and one for having different follow-up periods in the same study), leaving 13 studies that were assessed for eligibility. The flowchart depicting the screening process is presented in Figure 1. Table 1 and Table 2 offer an overview of the key characteristics of the studies that were ultimately included in this analysis.
Figure 1.
Flow chart illustrating the process regarding the articles that were encompassed within the systematic reviews.
Table 1.
Main characteristics of the included studies regarding intervention and control.
Table 2.
Main characteristics of the included studies regarding parameters.
3.2. Risk of Bias Assessment
The summarized results of the risk of bias assessment for each study in the included articles are presented in Figure 2. Figure 2A illustrated the risk of bias for each domain in each study, with green representing low risk of bias, yellow indicating unclear risk of bias, and red denoting high risk of bias. This evaluation revealed that the majority of studies exhibit a low risk of bias across many domains. Twelve studies were rated as low risk for randomization and deviation from the intended intervention. All studies were rated as low risk for missing outcome data. Three studies showed some concerns in the measurement and selection domains and one study demonstrated high risk in selection of the reported result. Figure 2B displays the overall risk of bias for each domain, with the length of the green rectangle indicating the number of studies assessed as low risk of bias. Six studies showed low risk of bias, while the other half had some concerns or high risk. This evaluation highlighted that certain areas, such as the selection of reported results and the measurement of outcomes, warrant caution.

Figure 2.
The risk of bias in the studies that were included in the analysis. (A) A summary of the risk of bias for each study. (B) The overall risk of bias score for each field [28,29,30,31,32,33,34,35,36,37,38,39,40].
3.3. Meta-Analysis
A total of fourteen articles (Nicola, D., et al., (2024) [28]; Selimović, A., et al., (2023) [29]; Luengo, F., et al., (2023) [30]; Clementini, M., et al., (2023) [31]; Hentenaar, D., et al., (2022) [32]; Hentenaar, D., et al., (2021) [33]; Lasserre, J., et al., (2020) [34]; Aloy-Prósper, A., et al., (2020) [35]; Toma, S., et al., (2019) [36]; Ziebolz, D., et al., (2017) [37]; Lupi, S., et al., (2017) [38]; John, G., et al., (2015) [39]; and Sahm, N., et al., (2011) [40]) were examined in a study to explore the differences in the treatment of peri-implantitis between air abrasion and mechanical decontamination.
3.3.1. Probing Depth
A random effects model was utilized, and the I2 value at a low level of 93% (p < 0.01) signified substantial heterogeneity among the studies. The forest plot of meta-analysis showed the mean difference in probing depth was 0.28 (95% confidence interval, −0.20 to 0.76) (Figure 3). There was no significant difference between air abrasion and mechanical decontamination in general. The use of instruments in the non-surgical approach showed that the mean difference in probing depth was 0.13 (95% confidence interval, −0.50 to 0.76). The forest plot of meta-analysis showed that the mean difference in probing depth was 0.77 (95% confidence interval, −0.22 to 0.75) for the surgical approaches. The forest plot of meta-analysis showed that the mean difference in probing depth for the combined use of air abrasion and titanium curette compared with other mechanical decontamination was −0.79 (95% confidence interval, −1.75 to 0.17). Interestingly, the mean difference in probing depth of air abrasion compared with other mechanical decontamination methods in maintenance purposes was 1.05 (95% confidence interval, 0.18 to 1.91).
Figure 3.
Forest plot illustrating the comparison between air abrasion and mechanical decontamination for changes in probing depth [28,29,30,31,32,33,34,35,36,37,38,39,40].
3.3.2. Bleeding on Probing
A random effects model was implemented, and the I2 value of 81% (p < 0.01) demonstrated substantial variability among the studies, indicating a significant level of heterogeneity. The forest plot of meta-analysis showed the mean difference in bleeding on probing was 0.51 (95% confidence interval, 0.07 to 0.95) (Figure 4). There was significant difference in bleeding on probing between air abrasion and mechanical decontamination. The use of instruments in the non-surgical approach showed that the mean difference in bleeding on probing was 0.46 (95% confidence interval, −0.29 to 1.21). No significant difference was noted between air abrasion and mechanical decontamination. The forest plot of the meta-analysis showed that the mean difference in bleeding on probing was 0.70 (95% confidence interval, −0.18 to 1.57) for the surgical approaches. There was no significant difference between air abrasion and mechanical decontamination. The mean difference in bleeding on probing for air abrasion compared with other mechanical decontamination methods for maintenance purposes was 0.39 (95% confidence interval, −0.69 to 1.47).
Figure 4.
Forest plot illustrating the comparison between air abrasion and mechanical decontamination for changes in bleeding on probing [28,30,32,33,34,36,38,39,40].
3.3.3. Alveolar Bone Level
A random effects model was utilized, and the I2 value was found to be 87% (p < 0.01), suggesting considerable heterogeneity among the studies. The forest plot of the meta-analysis showed the mean difference in alveolar bone level was −0.14 (95% confidence interval, −0.77 to 0.48) (Figure 5). There was no significant difference between air abrasion and mechanical decontamination. The use of instruments in the non-surgical approach showed that the mean difference in alveolar bone level was 0.04 (95% confidence interval, −0.23 to 0.31). The forest plot of the meta-analysis showed that the mean difference in alveolar bone level for surgical approaches of air abrasion compared with other mechanical decontamination was 0.32 (95% confidence interval, 0.03 to 0.61). The mean difference in air abrasion compared with other mechanical decontamination methods for maintenance purposes was 0.00 (95% confidence interval, −0.72 to 0.72).
Figure 5.
Forest plot illustrating the comparison between air abrasion and mechanical decontamination for changes in alveolar bone level [29,30,32,33,34,35,36].
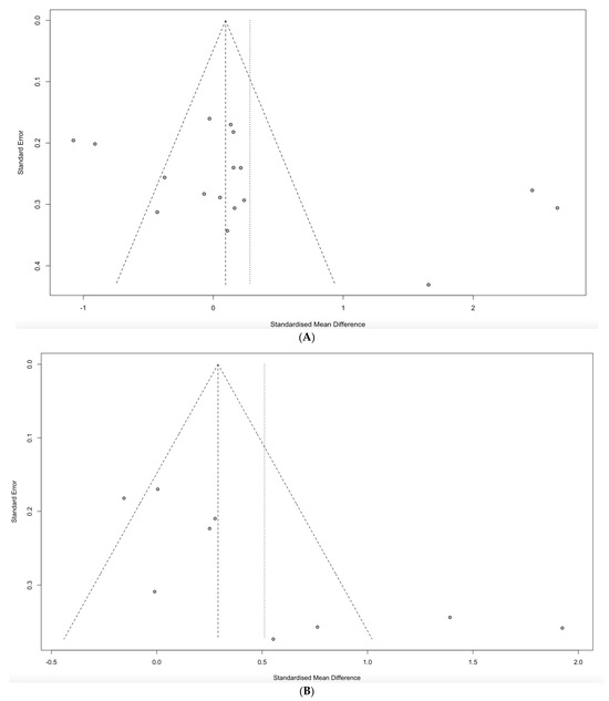
3.4. Publication Bias Analysis
The analysis of publication bias was illustrated in Figure 6 using a funnel plot that includes probing depth, bleeding on probing, and alveolar bone level. Asymmetry was observed in all three plots. In the case of bleeding on probing, studies with small sample sizes and large standardized mean difference (SMD) values were observed in the lower right corner, indicating the possibility that publication bias may have influenced the results. To statistically verify the asymmetry of the funnel plot, Egger’s regression test was performed. While the results were not statistically significant for pocket depth and bone level, BOP showed statistical significance with a p-value of 0.02, as shown in Appendix A Table A2, confirming the potential presence of publication bias. To assess the extent of this bias, a trim-and-fill analysis was conducted. For BOP, it was estimated that three studies were missing, and when these were included, the SMD was analyzed as 0.12 (−0.44 to 0.68), which was not statistically significant, suggesting that publication bias likely influenced the study results. In the case of pocket depth, five additional studies were added, resulting in an SMD of −0.19 (−0.76 to 0.38). Although this value was reduced compared to the original results, it did not significantly impact the overall study findings.

Figure 6.
Funnel plot without added studies illustrating the publication bias analysis. (A) Probing depth. (B) Bleeding on probing. (C) Alveolar bone level.
4. Discussion
The aim of this systematic review and meta-analysis was to evaluate and contrast the differences in managing inflammatory responses around dental implants using air abrasion and mechanical decontamination techniques. The results of the study showed that air abrasion was just as effective as other mechanical decontamination methods in general. The results of the subgroup analysis showed that air abrasion was less effective in reducing probing depth in maintenance purposes. Additionally, air abrasion was less effective in reducing alveolar bone loss in surgical approaches.
Despite the limited overall efficacy of non-surgical therapies, a non-surgical treatment phase is essential in the comprehensive treatment strategy for peri-implantitis [41]. The previous reports showed that the non-surgical treatment of mild to moderate peri-implantitis resulted in a significant reduction in probing depth, bleeding index, and pus at the 12-month follow up [42]. The successful results from the non-surgical treatment may provide the benefit to the patients to the extent that no further surgical intervention is necessary. However, in addressing peri-implantitis, the limitations of non-surgical treatment lead to interest in therapeutic strategy that involves a surgical modality [43]. This procedure entails the removal of the upper prosthesis, followed by flap debridement to excise granulation tissue [44]. Subsequently, mechanical decontamination methods are employed to cleanse the implant surface of any contaminants. This study showed that the effects of air abrasion or other mechanical decontamination did not differ much between non-surgical methods or surgical methods in general. The decontamination efficacy differed for alveolar bone.
Air abrasions are considered the preferred instruments when it is necessary to preserve the surface integrity of rough titanium surfaces [45]. In a similar way, air-abrasion devices have been proven to be effective and safe for the purpose of decontaminating zirconia implants due to their ability to preserve the integrity of the implant surface [46]. The utilization of air-abrasion powders presents a potential alternative to adjunctive treatments using antiseptics for the removal of biofilms [47]. Air abrasion therapy has been shown to significantly reduce periodontal probing depths in peri-implantitis cases [39]. The reduction in probing depth indicated an improvement in peri-implant health, likely due to the removal of biofilm and reduction in inflammation. The application of an air-abrasion device in conjunction with glycine powder during surgical intervention for peri-implantitis led to more favorable outcomes in terms of periodontal probing depth when the implant was analyzed statistically [48]. The results using air abrasion led to improvement in bleeding on probing, suggesting a positive effect on peri-implant health [49]. This study clearly demonstrated that the use of air abrasion was just as effective as other mechanical decontamination methods for the reduction of probing depth, bleeding on probing and alveolar bone loss.
There are several things to consider when applying air abrasion for the peri-implantitis. Treatment protocols, duration, and treatment interval may vary depending on the severity of the condition and the type of the defect, leading to different results. The type of power used in the study may vary. Glycine and erythritol are commonly used in air-abrasion therapy due to their fine particle size and biocompatibility [47,48]. Tricalcium phosphate powder or apatite bioceramic powders consisting of 95% hydroxyapatite + 5% calcium oxide or 90% hydroxyapatite + 10% calcium oxide have been used for implant-related diseases [50,51]. The use of hydroxyapatite and calcium oxide bioceramics in air abrasion has been found to result in the deposition of powder on treated implant surfaces, which may affect the healing of implants affected by peri-implantitis. It is important to consider this potential impact when using air abrasion with these bioceramics [51]. The distance between the air abrasion nozzle and the implant surface may be important for effective decontamination and preventing damage to the tissues. Chemotherapeutic agents are also commonly used in the treatment regimens for peri-implantitis [52]. The additional use of chlorhexidine was applied in the previous research, and this may have beneficial effects in the treatment of peri-implantitis [53]. Conversely, in the previous research, it was recommended to avoid using chlorhexidine on titanium surfaces, as it may impair the biocompatibility of these surfaces and compromise the effectiveness of implants [54].
Our meta-analysis employed a comprehensive search strategy and followed the PRISMA guidelines with great precision. However, it is important to acknowledge some limitations that should be taken into account. The findings of the present study should be interpreted with caution, taking into account the types of studies included, their heterogeneity, and the risk of bias. The effectiveness of air abrasion as a decontamination method is generally comparable to other mechanical techniques, and additional research is necessary to confirm these findings.
5. Conclusions
The findings of the study indicate that the use of air abrasion was just as effective as other mechanical decontamination methods in reducing probing depth and alveolar bone loss. The results of the subgroup analysis showed that air abrasion was less effective in reducing probing depth in maintenance purposes. Additionally, air abrasion was less effective in reducing alveolar bone loss in surgical approaches.
Author Contributions
Conceptualization, K.-J.J., A.L., S.-H.H., N.J.K., S.-B.H., H.-J.S., W.-J.P. and J.-B.P.; formal analysis, K.-J.J., A.L., S.-H.H., N.J.K., S.-B.H., H.-J.S., W.-J.P. and J.-B.P.; writing—original draft preparation, K.-J.J., A.L., S.-H.H., N.J.K., S.-B.H., H.-J.S., W.-J.P. and J.-B.P.; and writing—review and editing, K.-J.J., A.L., S.-H.H., N.J.K., S.-B.H., H.-J.S., W.-J.P. and J.-B.P. All authors have read and agreed to the published version of the manuscript.
Funding
This research received no external funding.
Institutional Review Board Statement
Not applicable.
Informed Consent Statement
Not applicable.
Data Availability Statement
The original contributions presented in the study are included in the article, further inquiries can be directed to the corresponding authors.
Conflicts of Interest
The authors declare no conflicts of interest.
Appendix A
Table A1.
Search strategy of the online database.
Table A1.
Search strategy of the online database.
| Database | Search | Search Strategy |
|---|---|---|
| PubMed | #1 | “Titanium”[Mesh] |
| #2 | “Titanium”[TW] OR “titanium surface”[TW] OR “titanium surfaces”[TW] OR “rough surface”[TW] | |
| #3 | “Peri-Implantitis”[Mesh] | |
| #4 | “Peri-Implantitis”[TW] OR “Peri Implantitis”[TW] OR “Peri-Implantitides”[TW] OR “Periimplantitis”[TW] OR “Periimplantitides”[TW] | |
| #5 | “Prostheses and Implants”[Mesh] | |
| #6 | “Prostheses and Implants”[TW] OR “Implants and Prostheses”[TW] OR “Prosthetic Implants”[TW] OR “Prostheses and Implant”[TW] OR “Implant and Prostheses”[TW] OR “Prosthetic Implant”[TW] OR “Implant, Prosthetic”[TW] OR “Implants, Prosthetic”[TW] OR “Endoprosthesis”[TW] OR “Endoprostheses”[TW] OR “Prostheses”[TW] OR “Prosthesis”[TW] OR “Implants, Artificial”[TW] OR “Artificial Implant”[TW] OR “Artificial Implants”[TW] OR “Implant, Artificial”[TW] | |
| #7 Combine | #1 OR #2 OR #3 OR #4 OR #5 OR #6 | |
| #8 | “Air Abrasion, Dental”[Mesh] | |
| #9 | “Air Abrasion, Dental”[TW] OR “Abrasion, Dental Air”[TW] OR “Abrasions, Dental Air”[TW] OR “Air Abrasions, Dental”[TW] OR “Dental Air Abrasions”[TW] OR “Dental Air Abrasion”[TW] OR “air abrasive”[TW] OR “air polishing”[TW] OR “abrasive powder”[TW] | |
| #10 Combine | #8 OR #9 | |
| #11 | “Periodontal Index”[Mesh] | |
| #12 | “Periodontal Index”[TW] OR “Index, Periodontal”[TW] OR “Indices, Periodontal”[TW] OR “Periodontal Indices”[TW] OR “Periodontal Indexes”[TW] OR “Indexes, Periodontal”[TW] OR “Community Periodontal Index of Treatment Needs”[TW] OR “CPITN”[TW] OR “Bleeding on Probing, Gingival”[TW] OR “Gingival Bleeding on Probing”[TW] OR “Gingival Index”[TW] OR “Gingival Indices”[TW] OR “Index, Gingival”[TW] OR “Indices, Gingival”[TW] OR “Gingival Indexes”[TW] OR “Indexes, Gingival”[TW] | |
| #13 | “bleeding on probing”[TW] OR “BOP”[TW] OR “probing pocket depth”[TW] OR “PPD”[TW] OR “bone level”[TW] | |
| #14 | “Dental Plaque Index”[Mesh] | |
| #15 | “Indexes, Dental Plaque”[TW] OR “Indices, Dental Plaque”[TW] OR “Dental Plaque Indexes”[TW] OR “Dental Plaque Indices”[TW] OR “Index, Dental Plaque”[TW] OR “Plaque index”[TW] | |
| #16 Combine | #11 OR #12 OR #13 OR #14 OR #15 | |
| #17 Combine | #7 AND #10 AND #16 | |
| #18 Limit | #17 AND (randomizedcontrolledtrial[Filter]) | |
| #19 Limit | #17 AND (“Randomized Controlled Trial” [Publication Type] OR “Controlled Clinical Trial” [Publication Type] OR “Randomized Controlled Trials as Topic”[Mesh] OR “Random Allocation”[Mesh] OR “Double-Blind Method”[Mesh] OR “Single-Blind Method”[Mesh] OR “Clinical Trial” [Publication Type] OR “Clinical Trials as Topic”[Mesh] OR “Clinical Trial”[TW] OR ((singl*[TW] OR doubl*[TW] OR trebl*[TW] OR tripl*[TW]) AND (mask*[TW] OR blind*[TW])) OR “Placebos”[Mesh] OR placebo*[TW] OR random*[TW] OR “Research Design”[Mesh:NoExp]) NOT (“Animals”[Mesh] NOT “Humans”[Mesh]) | |
| #20 Combine | #18 OR #19 | |
| #20 Limit | #20 NOT “In Vitro Techniques”[Mesh] | |
| EMBASE | #1 | “titanium”/exp |
| #2 | “Titanium”:ti,ab,kw,de OR “titanium surface”:ti,ab,kw,de OR “titanium surfaces”:ti,ab,kw,de OR “rough surface”:ti,ab,kw,de | |
| #3 | “periimplantitis”/exp | |
| #4 | “Peri-Implantitis”:ti,ab,kw,de OR “Peri Implantitis”:ti,ab,kw,de OR “Peri-Implantitides”:ti,ab,kw,de OR “Periimplantitis”:ti,ab,kw,de OR “Periimplantitides”:ti,ab,kw,de | |
| #5 | “prostheses and orthoses”/exp | |
| #6 | “Prostheses and Implants”:ti,ab,kw,de OR “Implants and Prostheses”:ti,ab,kw,de OR “Prosthetic Implants”:ti,ab,kw,de OR “Prostheses and Implant”:ti,ab,kw,de OR “Implant and Prostheses”:ti,ab,kw,de OR “Prosthetic Implant”:ti,ab,kw,de OR “Implant, Prosthetic”:ti,ab,kw,de OR “Implants, Prosthetic”:ti,ab,kw,de OR “Endoprosthesis”:ti,ab,kw,de OR “Endoprostheses”:ti,ab,kw,de OR “Prostheses”:ti,ab,kw,de OR “Prosthesis”:ti,ab,kw,de OR “Implants, Artificial”:ti,ab,kw,de OR “Artificial Implant”:ti,ab,kw,de OR “Artificial Implants”:ti,ab,kw,de OR “Implant, Artificial”:ti,ab,kw,de | |
| #7 Combine | #1 OR #2 OR #3 OR #4 OR #5 OR #6 | |
| #8 | “dental surgery”/exp | |
| #9 | “Air Abrasion, Dental”:ti,ab,kw,de OR “Abrasion, Dental Air”:ti,ab,kw,de OR “Abrasions, Dental Air”:ti,ab,kw,de OR “Air Abrasions, Dental”:ti,ab,kw,de OR “Dental Air Abrasions”:ti,ab,kw,de OR “Dental Air Abrasion”:ti,ab,kw,de OR “air abrasive”:ti,ab,kw,de OR “air polishing”:ti,ab,kw,de OR “abrasive powder”:ti,ab,kw,de OR “dental surgery”:ti,ab,kw,de | |
| #10 Combine | #8 OR #9 | |
| #11 | “periodontal index”/exp | |
| #12 | “Periodontal Index”:ti,ab,kw,de OR “Index, Periodontal”:ti,ab,kw,de OR “Indices, Periodontal”:ti,ab,kw,de OR “Periodontal Indices”:ti,ab,kw,de OR “Periodontal Indexes”:ti,ab,kw,de OR “Indexes, Periodontal”:ti,ab,kw,de OR “Community Periodontal Index of Treatment Needs”:ti,ab,kw,de OR “CPITN”:ti,ab,kw,de OR “Bleeding on Probing, Gingival”:ti,ab,kw,de OR “Gingival Bleeding on Probing”:ti,ab,kw,de OR “Gingival Index”:ti,ab,kw,de OR “Gingival Indices”:ti,ab,kw,de OR “Index, Gingival”:ti,ab,kw,de OR “Indices, Gingival”:ti,ab,kw,de OR “Gingival Indexes”:ti,ab,kw,de OR “Indexes, Gingival”:ti,ab,kw,de | |
| #13 | “bleeding on probing”/exp OR “periodontal pocket depth”/exp | |
| #14 | “bleeding on probing”:ti,ab,kw,de OR “BOP”:ti,ab,kw,de OR “probing pocket depth”:ti,ab,kw,de OR “PPD”:ti,ab,kw,de OR “bleed on probing”:ti,ab,kw,de OR “bleeding on probe”:ti,ab,kw,de OR “BoP (bleeding on probing)”:ti,ab,kw,de OR “depth of periodontal pocket”:ti,ab,kw,de OR “periodontal probe depth”:ti,ab,kw,de OR “periodontal probing depth”:ti,ab,kw,de OR “pocket depth (periodontal)”:ti,ab,kw,de OR “pocket probing depth”:ti,ab,kw,de OR “probing depth (periodontal)”:ti,ab,kw,de OR “probing pocket depth”:ti,ab,kw,de OR “periodontal pocket depth”:ti,ab,kw,de | |
| #15 | “bone level”/exp OR “bone level”:ti,ab,kw,de | |
| #16 | “plaque index”/exp | |
| #17 | “Indexes, Dental Plaque”:ti,ab,kw,de OR “Indices, Dental Plaque”:ti,ab,kw,de OR “Dental Plaque Indexes”:ti,ab,kw,de OR “Dental Plaque Indices”:ti,ab,kw,de OR “Index, Dental Plaque”:ti,ab,kw,de OR “Plaque index”:ti,ab,kw,de | |
| #18 Combine | #11 OR #12 OR #13 OR #14 OR #15 OR #16 OR #17 | |
| #19 Combine | #7 AND #10 AND #18 | |
| #20 Limit | #19 AND [randomized controlled trial]/lim | |
| #21 Limit | #20 NOT ‘in vitro study’/exp | |
| Cochrane Library | #1 | [mh “Titanium”] |
| #2 | “Titanium”:ti,ab,kw OR “titanium surface”:ti,ab,kw OR “titanium surfaces”:ti,ab,kw OR “rough surface”:ti,ab,kw | |
| #3 | [mh “Peri-Implantitis”] | |
| #4 | “Peri-Implantitis”:ti,ab,kw OR “Peri Implantitis”:ti,ab,kw OR “Peri-Implantitides”:ti,ab,kw OR “Periimplantitis”:ti,ab,kw OR “Periimplantitides”:ti,ab,kw | |
| #5 | [mh “Prostheses and Implants”] | |
| #6 | “Prostheses and Implants”:ti,ab,kw OR “Implants and Prostheses”:ti,ab,kw OR “Prosthetic Implants”:ti,ab,kw OR “Prostheses and Implant”:ti,ab,kw OR “Implant and Prostheses”:ti,ab,kw OR “Prosthetic Implant”:ti,ab,kw OR “Implant, Prosthetic”:ti,ab,kw OR “Implants, Prosthetic”:ti,ab,kw OR “Endoprosthesis”:ti,ab,kw OR “Endoprostheses”:ti,ab,kw OR “Prostheses”:ti,ab,kw OR “Prosthesis”:ti,ab,kw OR “Implants, Artificial”:ti,ab,kw OR “Artificial Implant”:ti,ab,kw OR “Artificial Implants”:ti,ab,kw OR “Implant, Artificial”:ti,ab,kw | |
| #7 Combine | #1 OR #2 OR #3 OR #4 OR #5 OR #6 | |
| #8 | [mh “Air Abrasion, Dental”] | |
| #9 | “Air Abrasion, Dental”:ti,ab,kw OR “Abrasion, Dental Air”:ti,ab,kw OR “Abrasions, Dental Air”:ti,ab,kw OR “Air Abrasions, Dental”:ti,ab,kw OR “Dental Air Abrasions”:ti,ab,kw OR “Dental Air Abrasion”:ti,ab,kw OR “air abrasive”:ti,ab,kw OR “air polishing”:ti,ab,kw OR “abrasive powder”:ti,ab,kw | |
| #10 Combine | #8 OR #9 | |
| #11 | [mh “Periodontal Index”] | |
| #12 | “Periodontal Index”:ti,ab,kw OR “Index, Periodontal”:ti,ab,kw OR “Indices, Periodontal”:ti,ab,kw OR “Periodontal Indices”:ti,ab,kw OR “Periodontal Indexes”:ti,ab,kw OR “Indexes, Periodontal”:ti,ab,kw OR “Community Periodontal Index of Treatment Needs”:ti,ab,kw OR “CPITN”:ti,ab,kw OR “Bleeding on Probing, Gingival”:ti,ab,kw OR “Gingival Bleeding on Probing”:ti,ab,kw OR “Gingival Index”:ti,ab,kw OR “Gingival Indices”:ti,ab,kw OR “Index, Gingival”:ti,ab,kw OR “Indices, Gingival”:ti,ab,kw OR “Gingival Indexes”:ti,ab,kw OR “Indexes, Gingival”:ti,ab,kw | |
| #13 | “bleeding on probing”:ti,ab,kw OR “BOP”:ti,ab,kw OR “probing pocket depth”:ti,ab,kw OR “PPD”:ti,ab,kw OR “bone level”:ti,ab,kw | |
| #14 | [mh “Dental Plaque Index”] | |
| #15 | “Indexes, Dental Plaque”:ti,ab,kw OR “Indices, Dental Plaque”:ti,ab,kw OR “Dental Plaque Indexes”:ti,ab,kw OR “Dental Plaque Indices”:ti,ab,kw OR “Index, Dental Plaque”:ti,ab,kw OR “Plaque index”:ti,ab,kw | |
| #16 Combine | #11 OR #12 OR #13 OR #14 OR #15 | |
| #17 Combine | #7 AND #10 AND #16 |
Table A2.
Analyses for publication bias.
Table A2.
Analyses for publication bias.
| PD | BOP | Bone Level | ||
|---|---|---|---|---|
| Original analysis | SMD (95% CI) | 0.28 (−0.20 to 0.76) | 0.51 (0.07 to 0.95) | −0.14 (−0.77 to 0.48) |
| p-value | p < 0.01 | p < 0.01 | p < 0.01 | |
| Trim-and-Fill analysis | SMD (95% CI) | −0.19 (−0.76 to 0.38) | 0.12 (−0.44 to 0.68) | −0.14 (−0.77 to 0.48) |
| Filled studies /total studies | 5/22 | 3/12 | 0/7 | |
| Egger’s regression test | t-value | 1.76 | 3.15 | −0.81 |
| df | 15 | 7 | 5 | |
| p-value | 0.10 | 0.02 | 0.45 | |
| Bias estimate | 5.85 (SE = 3.32) | 5.65 (SE = 1.67) | −3.51 (SE = 4.31) |
PD, probing depth; BOP, bleeding on probing; CI, confidence of interval; df, degree of freedom; SE, standard error.
References
- Esposito, M.; Maghaireh, H.; Grusovin, M.G.; Ziounas, I.; Worthington, H.V. Interventions for replacing missing teeth: Management of soft tissues for dental implants. Cochrane Database Syst. Rev. 2012, 2012, Cd006697. [Google Scholar] [CrossRef] [PubMed]
- Gaviria, L.; Salcido, J.P.; Guda, T.; Ong, J.L. Current trends in dental implants. J. Korean Assoc. Oral Maxillofac. Surg. 2014, 40, 50–60. [Google Scholar] [CrossRef] [PubMed]
- De Jong, T.; Bakker, A.D.; Everts, V.; Smit, T.H. The intricate anatomy of the periodontal ligament and its development: Lessons for periodontal regeneration. J. Periodontal Res. 2017, 52, 965–974. [Google Scholar] [CrossRef] [PubMed]
- Marco, F.; Milena, F.; Gianluca, G.; Vittoria, O. Peri-implant osteogenesis in health and osteoporosis. Micron 2005, 36, 630–644. [Google Scholar] [CrossRef] [PubMed]
- Ivanovski, S.; Lee, R. Comparison of peri-implant and periodontal marginal soft tissues in health and disease. Periodontology 2000 2018, 76, 116–130. [Google Scholar] [CrossRef]
- De Araújo, M.F.; Filho, A.F.; da Silva, G.P.; de Melo, M.L.; Napimoga, M.H.; Rodrigues, D.B.; Alves, P.M.; de Lima Pereira, S.A. Evaluation of peri-implant mucosa: Clinical, histopathological and immunological aspects. Arch. Oral Biol. 2014, 59, 470–478. [Google Scholar] [CrossRef]
- Aoki, A.; Mizutani, K.; Schwarz, F.; Sculean, A.; Yukna, R.A.; Takasaki, A.A.; Romanos, G.E.; Taniguchi, Y.; Sasaki, K.M.; Zeredo, J.L.; et al. Periodontal and peri-implant wound healing following laser therapy. Periodontology 2000 2015, 68, 217–269. [Google Scholar] [CrossRef] [PubMed]
- Shah, F.A.; Thomsen, P.; Palmquist, A. Osseointegration and current interpretations of the bone-implant interface. Acta Biomater. 2019, 84, 1–15. [Google Scholar] [CrossRef] [PubMed]
- Carcuac, O.; Berglundh, T. Composition of human peri-implantitis and periodontitis lesions. J. Dent. Res. 2014, 93, 1083–1088. [Google Scholar] [CrossRef] [PubMed]
- Figuero, E.; Graziani, F.; Sanz, I.; Herrera, D.; Sanz, M. Management of peri-implant mucositis and peri-implantitis. Periodontology 2000 2014, 66, 255–273. [Google Scholar] [CrossRef]
- Araujo, M.G.; Lindhe, J. Peri-implant health. J. Periodontol. 2018, 89, S249–S256. [Google Scholar] [CrossRef] [PubMed]
- Pavithra, D.; Doble, M. Biofilm formation, bacterial adhesion and host response on polymeric implants--issues and prevention. Biomed. Mater. 2008, 3, 034003. [Google Scholar] [CrossRef] [PubMed]
- Berglundh, T.; Armitage, G.; Araujo, M.G.; Avila-Ortiz, G.; Blanco, J.; Camargo, P.M.; Chen, S.; Cochran, D.; Derks, J.; Figuero, E.; et al. Peri-implant diseases and conditions: Consensus report of workgroup 4 of the 2017 World Workshop on the Classification of Periodontal and Peri-Implant Diseases and Conditions. J. Clin. Periodontol. 2018, 45, S286–S291. [Google Scholar] [CrossRef] [PubMed]
- Dukka, H.; Saleh, M.H.A.; Ravidà, A.; Greenwell, H.; Wang, H.L. Is bleeding on probing a reliable clinical indicator of peri-implant diseases? J. Periodontol. 2021, 92, 1669–1674. [Google Scholar] [CrossRef]
- Ramanauskaite, A.; Juodzbalys, G. Diagnostic Principles of Peri-Implantitis: A Systematic Review and Guidelines for Peri-Implantitis Diagnosis Proposal. J. Oral Maxillofac. Res. 2016, 7, e8. [Google Scholar] [CrossRef] [PubMed]
- Mordini, L.; Sun, N.; Chang, N.; De Guzman, J.P.; Generali, L.; Consolo, U. Peri-Implantitis Regenerative Therapy: A Review. Biology 2021, 10, 773. [Google Scholar] [CrossRef]
- Zhu, Y.; Lu, H.; Yang, S.; Liu, Y.; Zhu, P.; Li, P.; Waal, Y.C.M.; Visser, A.; Tjakkes, G.E.; Li, A.; et al. Predictive factors for the treatment success of peri-implantitis: A protocol for a prospective cohort study. BMJ Open 2024, 14, e072443. [Google Scholar] [CrossRef]
- Pujarern, P.; Klaophimai, A.; Amornsettachai, P.; Panyayong, W.; Chuenjitkuntaworn, B.; Rokaya, D.; Suphangul, S. Efficacy of Biofilm Removal on the Dental Implant Surface by Sodium Bicarbonate and Erythritol Powder Airflow System. Eur. J. Dent. 2024, 1–8. [Google Scholar] [CrossRef] [PubMed]
- Corsalini, M.; Montagnani, M.; Charitos, I.A.; Bottalico, L.; Barile, G.; Santacroce, L. Non-Surgical Therapy and Oral Microbiota Features in Peri-Implant Complications: A Brief Narrative Review. Healthcare 2023, 11, 652. [Google Scholar] [CrossRef] [PubMed]
- Tripathi, R.; Vasudevan, S.; Palle, A.R.; Gedela, R.K.; Punj, A.; Vaishnavi, V. Awareness and management of peri-implantitis and peri-mucositis among private dental Practitioners in Hyderabad-A cross-sectional study. J. Indian Soc. Periodontol. 2020, 24, 461–466. [Google Scholar] [CrossRef] [PubMed]
- Citterio, F.; Zanotto, E.; Pellegrini, G.; Annaratore, L.; Barbui, A.M.; Dellavia, C.; Baima, G.; Romano, F.; Aimetti, M. Comparison of Different Chemical and Mechanical Modalities for Implant Surface Decontamination: Activity against Biofilm and Influence on Cellular Regrowth-An In Vitro Study. Front. Surg. 2022, 9, 886559. [Google Scholar] [CrossRef] [PubMed]
- Munakata, M.; Suzuki, A.; Yamaguchi, K.; Kataoka, Y.; Sanda, M. Effects of implant surface mechanical instrumentation methods on peri-implantitis: An in vitro study using a circumferential bone defect model. J. Dent. Sci. 2022, 17, 891–896. [Google Scholar] [CrossRef]
- Tan, N.C.P.; Miller, C.M.; Antunes, E.; Sharma, D. Impact of physical decontamination methods on zirconia implant surface and subsequent bacterial adhesion: An in-vitro study. Clin. Exp. Dent. Res. 2022, 8, 313–321. [Google Scholar] [CrossRef] [PubMed]
- Cobb, C.M.; Daubert, D.M.; Davis, K.; Deming, J.; Flemmig, T.F.; Pattison, A.; Roulet, J.F.; Stambaugh, R.V. Consensus Conference Findings on Supragingival and Subgingival Air Polishing. Compend. Contin. Educ. Dent. 2017, 38, e1–e4. [Google Scholar]
- Liu, C.C.; Dixit, N.; Hatz, C.R.; Janson, T.M.; Bastendorf, K.D.; Belibasakis, G.N.; Cosgarea, R.; Karoussis, I.K.; Mensi, M.; O’Neill, J.; et al. Air powder waterjet technology using erythritol or glycine powders in periodontal or peri-implant prophylaxis and therapy: A consensus report of an expert meeting. Clin. Exp. Dent. Res. 2024, 10, e855. [Google Scholar] [CrossRef]
- Keim, D.; Nickles, K.; Dannewitz, B.; Ratka, C.; Eickholz, P.; Petsos, H. In vitro efficacy of three different implant surface decontamination methods in three different defect configurations. Clin. Oral Implant. Res. 2019, 30, 550–558. [Google Scholar] [CrossRef]
- Page, M.J.; McKenzie, J.E.; Bossuyt, P.M.; Boutron, I.; Hoffmann, T.C.; Mulrow, C.D.; Shamseer, L.; Tetzlaff, J.M.; Akl, E.A.; Brennan, S.E.; et al. The PRISMA 2020 statement: An updated guideline for reporting systematic reviews. Syst. Rev. 2021, 10, 89. [Google Scholar] [CrossRef] [PubMed]
- Nicola, D.; Isabella, R.; Carolina, C.; Baldini, N.; Raffaele, M. Treatment of peri-implant mucositis: Adjunctive effect of glycine powder air polishing to professional mechanical biofilm removal. 12 months randomized clinical study. Clin. Implant Dent. Relat. Res. 2024, 26, 415–426. [Google Scholar] [CrossRef] [PubMed]
- Selimović, A.; Bunæs, D.F.; Lie, S.A.; Lobekk, M.A.; Leknes, K.N. Non-surgical treatment of peri-implantitis with and without erythritol air-polishing a 12-month randomized controlled trial. BMC Oral Health 2023, 23, 240. [Google Scholar] [CrossRef] [PubMed]
- Luengo, F.; Sanz-Esporrín, J.; Sanz-Sánchez, I.; Solonko, M.; Herrera, D.; Sanz, M. Clinical, microbiological and biochemical impact of a supportive care protocol with an air-polishing device, after surgical treatment of peri-implantitis: Randomized clinical trial. Clin. Oral Implant. Res. 2023, 34, 378–392. [Google Scholar] [CrossRef] [PubMed]
- Clementini, M.; Fabrizi, S.; Discepoli, N.; Minoli, M.; De Sanctis, M. Evaluation of the adjunctive use of Er:YAG laser or erythritol powder air-polishing in the treatment of peri-implant mucositis: A randomized clinical trial. Clin. Oral Implant. Res. 2023, 34, 1267–1277. [Google Scholar] [CrossRef]
- Hentenaar, D.F.M.; De Waal, Y.C.M.; Stewart, R.E.; Van Winkelhoff, A.J.; Meijer, H.J.A.; Raghoebar, G.M. Erythritol air polishing in the surgical treatment of peri-implantitis: A randomized controlled trial. Clin. Oral Implant. Res. 2022, 33, 184–196. [Google Scholar] [CrossRef]
- Hentenaar, D.F.M.; De Waal, Y.C.M.; Stewart, R.E.; Van Winkelhoff, A.J.; Meijer, H.J.A.; Raghoebar, G.M. Erythritol airpolishing in the non-surgical treatment of peri-implantitis: A randomized controlled trial. Clin. Oral Implant. Res. 2021, 32, 840–852. [Google Scholar] [CrossRef] [PubMed]
- Lasserre, J.F.; Brecx, M.C.; Toma, S. Implantoplasty Versus Glycine Air Abrasion for the Surgical Treatment of Peri-implantitis: A Randomized Clinical Trial. Int. J. Oral Maxillofac. Implant. 2020, 35, 197–206. [Google Scholar] [CrossRef]
- Aloy-Prósper, A.; Pellicer-Chover, H.; Peñarrocha-Oltra, D.; Peñarrocha-Diago, M. Effect of a single initial phase of non-surgical treatment of peri-implantitis: Abrasive air polishing versus ultrasounds. A prospective randomized controlled clinical study. J. Clin. Exp. Dent. 2020, 12, e902–e908. [Google Scholar] [CrossRef] [PubMed]
- Toma, S.; Brecx, M.C.; Lasserre, J.F. Clinical Evaluation of Three Surgical Modalities in the Treatment of Peri-Implantitis: A Randomized Controlled Clinical Trial. J. Clin. Med. 2019, 8, 966. [Google Scholar] [CrossRef] [PubMed]
- Ziebolz, D.; Klipp, S.; Schmalz, G.; Schmickler, J.; Rinke, S.; Kottmann, T.; Fresmann, S.; Einwag, J. Comparison of different maintenance strategies within supportive implant therapy for prevention of peri-implant inflammation during the first year after implant restoration. A randomized, dental hygiene practice-based multicenter study. Am. J. Dent. 2017, 30, 190–196. [Google Scholar] [PubMed]
- Lupi, S.M.; Granati, M.; Butera, A.; Collesano, V.; Rodriguez, Y.B.R. Air-abrasive debridement with glycine powder versus manual debridement and chlorhexidine administration for the maintenance of peri-implant health status: A six-month randomized clinical trial. Int. J. Dent. Hyg. 2017, 15, 287–294. [Google Scholar] [CrossRef]
- John, G.; Sahm, N.; Becker, J.; Schwarz, F. Nonsurgical treatment of peri-implantitis using an air-abrasive device or mechanical debridement and local application of chlorhexidine. Twelve-month follow-up of a prospective, randomized, controlled clinical study. Clin. Oral Investig. 2015, 19, 1807–1814. [Google Scholar] [CrossRef]
- Sahm, N.; Becker, J.; Santel, T.; Schwarz, F. Non-surgical treatment of peri-implantitis using an air-abrasive device or mechanical debridement and local application of chlorhexidine: A prospective, randomized, controlled clinical study. J. Clin. Periodontol. 2011, 38, 872–878. [Google Scholar] [CrossRef]
- Vilarrasa, J.; Soldini, M.C.; Pons, R.; Valles, C.; Blasi, G.; Monje, A.; Nart, J. Outcome indicators of non-surgical therapy of peri-implantitis: A prospective case series analysis. Clin. Oral Investig. 2023, 27, 3125–3138. [Google Scholar] [CrossRef] [PubMed]
- Khan, S.N.; Koldsland, O.C.; Roos-Jansåker, A.M.; Wohlfahrt, J.C.; Verket, A.; Mdala, I.; Magnusson, A.; Salvesen, E.; Hjortsjö, C. Non-surgical treatment of mild to moderate peri-implantitis with an oscillating chitosan brush or a titanium curette-12-month follow-up of a multicenter randomized clinical trial. Clin. Oral Implant. Res. 2023, 34, 684–697. [Google Scholar] [CrossRef] [PubMed]
- Roccuzzo, M.; Mirra, D.; Roccuzzo, A. Surgical treatment of peri-implantitis. Br. Dent. J. 2024, 236, 803–808. [Google Scholar] [CrossRef] [PubMed]
- Ramanauskaite, A.; Cafferata, E.A.; Begic, A.; Schwarz, F. Surgical interventions for the treatment of peri-implantitis. Clin. Implant Dent. Relat. Res. 2023, 25, 682–695. [Google Scholar] [CrossRef] [PubMed]
- Louropoulou, A.; Slot, D.E.; Van der Weijden, F.A. Titanium surface alterations following the use of different mechanical instruments: A systematic review. Clin. Oral Implant. Res. 2012, 23, 643–658. [Google Scholar] [CrossRef] [PubMed]
- Tan, N.C.P.; Khan, A.; Antunes, E.; Miller, C.M.; Sharma, D. The effects of physical decontamination methods on zirconia implant surfaces: A systematic review. J. Periodontal Implant Sci. 2021, 51, 298–315. [Google Scholar] [CrossRef] [PubMed]
- Corbella, S.; Radaelli, K.; Alberti, A.; Francetti, L.; Taschieri, S. Erythritol powder airflow for the treatment of peri-implant mucositis: A randomized controlled clinical trial. Int. J. Dent. Hyg. 2024. online ahead of print. [Google Scholar] [CrossRef]
- Toma, S.; Lasserre, J.F.; Taïeb, J.; Brecx, M.C. Evaluation of an air-abrasive device with amino acid glycine-powder during surgical treatment of peri-implantitis. Quintessence Int. 2014, 45, 209–219. [Google Scholar] [CrossRef] [PubMed]
- Schwarz, F.; Becker, K.; Renvert, S. Efficacy of air polishing for the non-surgical treatment of peri-implant diseases: A systematic review. J. Clin. Periodontol. 2015, 42, 951–959. [Google Scholar] [CrossRef] [PubMed]
- Chen, I.C.; Su, C.Y.; Tu, J.J.; Kao, D.W.; Fang, H.W. In vitro studies of factors affecting debridement of dental implants by tricalcium phosphate powder abrasive treatment. Sci. Rep. 2023, 13, 8271. [Google Scholar] [CrossRef] [PubMed]
- Abuhajar, E.; Salim, N.A.; Satterthwaite, J.D.; Silikas, N.; Anweigi, L.M. Effect of bioceramic powder abrasion on different implant surfaces. J. Prosthodont. 2024. online ahead of print. [Google Scholar] [CrossRef] [PubMed]
- Patil, C.; Agrawal, A.; Abullais, S.S.; Arora, S.; Khateeb, S.U.; Fadul, A.E.M. Effectiveness of Different Chemotherapeutic Agents for Decontamination of Infected Dental Implant Surface: A Systematic Review. Antibiotics 2022, 11, 593. [Google Scholar] [CrossRef] [PubMed]
- Müller, N.; Moëne, R.; Cancela, J.A.; Mombelli, A. Subgingival air-polishing with erythritol during periodontal maintenance: Randomized clinical trial of twelve months. J. Clin. Periodontol. 2014, 41, 883–889. [Google Scholar] [CrossRef]
- Kotsakis, G.A.; Lan, C.; Barbosa, J.; Lill, K.; Chen, R.; Rudney, J.; Aparicio, C. Antimicrobial Agents Used in the Treatment of Peri-Implantitis Alter the Physicochemistry and Cytocompatibility of Titanium Surfaces. J. Periodontol. 2016, 87, 809–819. [Google Scholar] [CrossRef] [PubMed]
Disclaimer/Publisher’s Note: The statements, opinions and data contained in all publications are solely those of the individual author(s) and contributor(s) and not of MDPI and/or the editor(s). MDPI and/or the editor(s) disclaim responsibility for any injury to people or property resulting from any ideas, methods, instructions or products referred to in the content. |
© 2024 by the authors. Licensee MDPI, Basel, Switzerland. This article is an open access article distributed under the terms and conditions of the Creative Commons Attribution (CC BY) license (https://creativecommons.org/licenses/by/4.0/).