Next Article in Journal
RD-SLAM: Real-Time Dense SLAM Using Gaussian Splatting
Previous Article in Journal
Multi-Source Image Fusion Based on BEMD and Region Sharpness Guidance Region Overlapping Algorithm
 
 
Font Type:
Arial Georgia Verdana
Font Size:
Aa Aa Aa
Line Spacing:
Column Width:
Background:
Article

Maximizing the Absorbing Performance of Rectangular Sonic Black Holes †

Faculty of Electrical Engineering, Czech Technical University in Prague, Technická 2, 166 27 Prague, Czech Republic
*
Author to whom correspondence should be addressed.
This paper is an extended version of our paper published in Červenka, M.; Bednařík, M. Acoustic black hole combined with microperforated plate for a rectangular waveguide. In Proceedings of the Inter-Noise 2024, Nantes, France, 25–29 August 2024.
Appl. Sci. 2024, 14(17), 7766; https://doi.org/10.3390/app14177766
Submission received: 16 August 2024 / Revised: 28 August 2024 / Accepted: 29 August 2024 / Published: 3 September 2024
(This article belongs to the Section Acoustics and Vibrations)

Abstract

This study examines the absorption performance of rectangular sonic black holes (SBHs), which are designed to provide broadband anechoic termination for rectangular waveguides. The SBHs explored in this work consist of a series of opposing rib pairs embedded within the waveguide, where the distance between the ribs in each pair decreases towards the end of the structure according to a specific profile. A computationally efficient mathematical model, combined with an evolutionary optimization algorithm, is employed to determine the optimal geometrical parameters, including the SBH profile, which maximize absorption performance over a broad frequency range. As the optimal geometries feature very fine internal structures, which pose challenges for practical implementation, micro-perforated plates are incorporated to introduce additional losses. Numerical simulations and optimizations are again utilized to identify the geometrical and physical parameters that maximize the absorption performance of these modified structures. The results demonstrate superior absorption performance, even with internal structures compatible with contemporary manufacturing processes. The results of the numerical simulations are validated via a comparison with detailed and accurate mathematical model.

1. Introduction

One of the key challenges in noise control engineering is achieving broadband anechoic termination of waveguides, which represents a technical solution that prevents acoustic waves from reflecting off the end of a duct. Traditional absorbers, such as those using porous materials like mineral wool, glass, or polyester fibres [1], dissipate the acoustic energy of oscillating air through friction and heat conduction within the thin channels of their microstructure. However, the use of these materials is problematic in harsh environments (e.g., hot, wet, greasy, or dirty conditions), and they have other drawbacks, including pollution due to fibre release, fire hazards, and limited useful lifespan.
A relatively new and unconventional approach to achieving anechoic termination without relying on porous materials involves the so-called acoustic black hole (ABH) effect. This phenomenon occurs when a wave is slowed to zero velocity and effectively trapped without reflection within a finite interval.
This mechanism was first proposed by Mironov [2] for flexural waves propagating in a beam with a gradually decreasing thickness. As the beam’s thickness approaches zero, the wave speed also decreases to zero. Although it is not practically feasible to reduce the thickness to zero, the progressive deceleration of the wave leads to an increase in its amplitude, and even a small amount of dissipation—introduced, for example, by a thin layer of absorbing material—can result in effective broadband acoustic energy absorption.
The ABH effect for acoustic waves in fluids was first explored by Mironov and Pislyakov [3]. They proposed a retarding structure consisting of a tapered waveguide segment with a locally compliant metamaterial wall, where the wave speed decreases to zero as the waveguide radius diminishes. As with flexural waves, in practice, it is impossible to reduce the waveguide radius to zero, necessitating the introduction of losses to suppress wave reflection.
Devices employing the ABH effect are typically referred to as acoustic black holes (ABHs). However, in this work, following Mironov and Pislyakov [4], we will distinguish between vibrational black holes (VBHs) for flexural waves and sonic black holes (SBHs) for acoustic waves in fluids. While VBHs have been relatively well studied (see, e.g., review paper [5]), SBHs have received less attention. This paper focuses solely on SBHs.
SBHs, based on the original concept by Mironov and Pislyakov [3], are typically realized as a series of circular discs embedded within a waveguide. These discs feature central holes with radii that gradually decrease toward the waveguide’s end, which is terminated by a rigid wall. The discs create ribs and cavities (slits) in between, functioning as a tapered compliant wall with specific acoustic admittance. The fundamental properties of SBHs have been studied both theoretically and experimentally [4,6,7,8,9,10,11,12].
Recent studies [13,14,15] have demonstrated that the ABH effect is not the sole mechanism responsible for acoustic energy absorption in the structure proposed by Mironov and Pislyakov [3]. At higher frequencies, “local” resonances within individual slits significantly contribute to acoustic energy absorption. Therefore, strictly speaking, these structures should not be called SBHs. Nevertheless, as this term has become established, we will continue to refer to structures inspired by Mironov and Pislyakov’s concept [3] as sonic black holes.
Several applications inspired by SBHs have also been developed, including open mufflers [16,17,18], mufflers based on SBHs combined with micro-perforated plates [19,20,21], ducts with embedded periodic SBHs [22], thin SBH-inspired metamaterials [23], and acoustic pressure amplifiers [24].
All of the aforementioned studies have focused on SBHs with axial symmetry, which are suitable for the anechoic termination of waveguides with a circular cross-section. However, in many applications, waveguides (ductwork) exhibit rectangular symmetry. For these applications, SBHs with a rectangular cross-section would be more appropriate. Recent research using an analytical model [25] has demonstrated the ABH effect in rectangular SBHs. It has been shown that, similar to axisymmetric SBHs, resonances in slits play a crucial role in acoustic energy absorption in rectangular SBHs as well [26]. The performance of rectangular SBHs with slits partially filled with porous material has also been studied [27].
In this paper, we explore the absorption performance limits of rectangular SBHs and rectangular SBHs equipped with micro-perforated plates (MPP-SBHs) using numerical simulations. Both structures (SBHs and MPP-SBHs) are collectively referred to as sound-absorbing structures (SASs) hereafter. Through the use of a numerical model in conjunction with an optimization algorithm, we conduct an extensive parametric study to determine which geometrical parameters, including the internal profile, maximize their absorption performance. We demonstrate that these structures can serve as efficient and broadband acoustic absorbers.
This article is a revised and expanded version of a paper [28] entitled “Acoustic black hole combined with microperforated plate for a rectangular waveguide”, presented at Inter-Noise 2024, Nantes, France, 25–29 August 2024.

2. Materials and Methods

2.1. Geometry of the Sound-Absorbing Structures

Geometry of the studied sound-absorbing structures attached to a rectangular waveguide is depicted in Figure 1. The rectangular waveguide has the internal dimensions (height × width) 2 A × B , where it is assumed that 2 A B . It is assumed that the internal cross-section of the SASs is the same and their length is L. Both the structures consist of a set of N regularly spaced pairs of rigid ribs with thickness h r , whose spatial period is H = N / L . We also introduce rib density n = N / L . The individual ribs span the entire structure width, and the distance between the opposing ribs 2 a i decreases smoothly towards the structures’ apex located at x = 0 . The thickness of the slits between the ribs is h s = H h r . In the case of the MPP-SBH, two MPPs are attached to the ends of the ribs—see the right side of Figure 1. It is assumed that there is a plane acoustic wave impinging on the structures from an infinite waveguide.

2.2. Mathematical Models

Within this section, two mathematical models are described. First, it is a computationally efficient 1D model employing the Riccati equation. This model is used for the optimization. Second, it is a detailed and accurate 2D model employing the linearized Navier–Stokes equations (LNSEs) and the finite element method (FEM). This model is used for the validation of the numerical results of the 1D model.
All the numerical calculations are conducted in the frequency domain, so that all the acoustic variables q ( r , t ) , where r is the position vector and t is the time, are represented by their complex amplitudes, denoted with hats, introduced as q ( r , t ) = [ q ^ ( r ) exp i ω t ] , where ω is the angular frequency and i = 1 is the imaginary unit.

2.2.1. One-Dimensional Riccati Model

In this case, the sound-absorbing structures are modelled as continuous segments of tapered waveguides with compliant walls, following the original paper [3]—see Figure 2. Within this model, the ends of the ribs in the case of the SBH and the MPP in the case of the MPP-SBH form a locally compliant metamaterial wall of a tapered waveguide with cross-section 2 a ( x ) × B , and the specific acoustic admittance of this wall is Y ˜ w ( x ) . The function a ( x ) defines the SAS’s profile, and it has the minimum value A min > 0 at the SAS’s apex ( x = 0 ), namely a ( 0 ) = A min .
In all the studied cases, the maximum frequency of interest is below the cut-on frequency
f cut - on = c 0 4 A ,
where c 0 is the sound speed, so that all the acoustic quantities are assumed to only depend on the longitudinal coordinate x.
Even if the acoustic field in the sound-absorbing structures can be calculated employing the modified Webster equation [3], in this case, the Riccati equation is employed (see e.g., [15,26]); compared to the Webster equation, it is represented by a first-order differential equation. The Riccati equation for the specific acoustic admittance Y ˜ ( x ) in the geometries depicted in Figure 2 reads
d Y ˜ d x = i ω ρ ˜ 0 g Y ˜ 2 i ω ρ ˜ 0 g c ˜ 0 g 2 1 a d a d x Y ˜ Y ˜ w a , x 0 , L ,
see [26], where ρ ˜ 0 g = ρ ˜ 0 g ( x ) , and c ˜ 0 g = c ˜ 0 g ( x ) are the effective fluid density and sound speed in the main duct of the SASs. They model the thermoviscous losses in the acoustic boundary layer formed along the tapered wall and they are calculated using Stinson’s model [29] for a slit with a width of 2 a .
In the case of the SBH, where (as it is explained below) the structure of the ribs and slits is rather fine, the wall admittance is introduced as Y ˜ w = ξ Y ˜ s , where ξ = h s / H is the wall porosity, and
Y ˜ s ( x ) = i ρ ˜ 0 s c ˜ 0 s tan ω c ˜ 0 s A a ( x )
is the input specific acoustic admittance of the cavities between the ribs, whose depth is A a ( x ) . Here, ρ ˜ 0 s and c ˜ 0 s are the density and sound speed of equivalent fluid in the cavities between the ribs, respectively, which account for the thermoviscous losses in the boundary layers; Stinson’s model [29] for a slit with width h s is used.
In the case of the MPP-SBH, whose internal structure of ribs and slits is rather sparse, as it is explained below, the wall acoustic admittance is set as Y ˜ w = 0 at the position of the ribs (which are assumed to be rigid), and Y ˜ w ( x ) = Z ˜ MPP + 1 / Y ˜ s ( x ) 1 between the ribs, where Z ˜ MPP is the transfer impedance of the MPP (see [30,31]), which reads
Z ˜ MPP = i ω ρ 0 t ϕ 1 2 J 1 ( k i ) k i J 0 ( k i ) 1 + 8 i ω ρ 0 d 3 π ϕ + 32 ω ρ 0 μ ϕ ,
where J 0 ( ) , J 1 ( ) are the first-kind Bessel functions of order 0 and 1, respectively, ϕ is the MPP perforation ratio, t is its thickness, d is the diameter of the holes in the MPP, ρ 0 is the air density, μ is the air dynamic viscosity, and k = d ρ 0 ω / 4 μ . The first term in Equation (3) accounts for the wave propagation in the orifices forming the structure of the MPP, the second one is the radiation reactance accounting for the air oscillation in the vicinity of the orifices, and the last term is the radiation resistance of the orifices.
The Riccati equation (Equation (1)) is numerically integrated with an initial condition Y ˜ = 0 at x = 0 (a rigid wall is assumed at the SAS’s apex) along the spatial interval x 0 , L , the result of which is the SAS’s input specific acoustic admittance Y ˜ SAS = Y ˜ ( L ) .
The amplitude reflection coefficient r from the SAS can be then calculated as
r = A + ρ 0 c 0 a SAS Y ˜ SAS A ρ 0 c 0 a SAS Y ˜ SAS e 2 i ω L / c 0 ,
where a SAS = a ( L ) A is the input half-height of the SAS. As a rigid wall is assumed to terminate the structure at x = 0 , there is no transmission to the domain x < 0 , and the absorption coefficient can be calculated as
A = 1 | r | 2 .

2.2.2. Two-Dimensional LNSE-FEM Model

The 1D Riccati model presented in Section 2.2.1 is computationally very efficient; however, it does not fully resolve the internal structure of the SASs depicted in Figure 1; therefore, it does not account for the effects such as the evanescent coupling of the adjacent slits, non-plane-wave propagation, etc. Therefore, its numerical predictions should be validated via a comparison with a more detailed model. As a symmetry with respect to the z-axis is assumed (see Figure 1) and the incoming wave is a planar one, all these effects can be accounted for by a 2D model—represented by the x y cut of geometries shown in Figure 1. Moreover, due to the symmetry, the computational domain can be limited to y 0 .
The acoustic field is described using the linearized Navier–Stokes equations formulated in the frequency domain (see, e.g., [32,33]), which have the form:
μ 2 v ^ + 1 3 ( · v ^ ) p ^ = i ω ρ 0 v ^ ,
ρ 0 · v ^ = i ω ρ ^ ,
κ 2 T ^ = i ω ρ 0 c p T ^ i ω p ^ ,
where p ^ , v ^ , T ^ , ρ ^ are the acoustic pressure, acoustic velocity vector, acoustic temperature, and acoustic density complex amplitudes, respectively, κ is the coefficient of thermal conduction, and c p is the specific heat at constant pressure. Equations (6) are supplemented with the linearized state equation for an ideal gas p ^ / p 0 = ρ ^ / ρ 0 + T ^ / T 0 , where T 0 and p 0 are the equilibrium values of the gas temperature and pressure, respectively. Equations (6) are solved with the isothermal ( T ˜ = 0 ) and no-slip ( v ˜ = 0 ) boundary conditions on the rigid walls.
The mathematical model is implemented in COMSOL Multiphysics v. 6.0 (Acoustic Module, Thermoviscous Acoustics Interface, frequency domain, 2D geometry), where Equations (6) are discretized by employing the finite element method. The computational domain was discretized by employing a rather fine free triangular mesh, and the thermoviscous boundary layer along the rigid walls was properly resolved using mesh boundary layers. The MPP in the case of the MPP-SBH was modelled as an internal impedance boundary with transfer impedance, as given by Equation (3). The tangential acoustic velocity vector component was set to zero at the MPP surface.

2.3. Optimization of the SASs’ Performance

There are many methods how to quantify the performance of a sound-absorbing structure. For example, in recent papers, the mean value of the reflection coefficient spectrum [34], power absorbed in a given frequency range [35], frequency-weighted reflection coefficient integral [36], or a causally guided approach [37] have been proposed.
Within this work, the SAS’s performance is appraised by the mean value of the absorption coefficient
A = 1 f cut - on 0 f cut - on A ( f ) d f ,
whose value goes from A = 0 (all the acoustic energy is reflected) to A = 1 (all the acoustic energy is absorbed).
Here, absorption coefficients at individual frequencies are calculated numerically by employing Equations (1), (4), and (5); the value of the integral (7) is then approximated using the trapezoidal rule.
In both variants of the SAS, the absorbing performance depends on the following geometrical parameters: A, A min , L, n, and ξ . The structure profile also plays an important role (see, e.g., [17,34,36]). Within this work, the SAS’s profile a ( x ) is introduced using a dimensionless shape function G ( X ) as
a ( x ) = ( A A min ) G ( X ) + A min ,
where X = x / L is the dimensionless distance, G ( X 0 ) 0 , 1 for any X 0 0 , 1 , and G ( 0 ) = 0 . For example, linear and quadratic profile are introduced as G ( X ) = X and G ( X ) = X 2 , respectively.
To allow for greater variability in the SASs’ profile definition, the shape function G ( X ) is introduced using three control points interconnected with cubic splines—see Figure 3. This means that the SAS’s shape is uniquely described using a 5-dimensional parameter vector Z = [ Γ 1 , X 2 , G 2 , G 3 , Γ 3 ] , where Γ 1 and Γ 3 are the slopes of the shape function at its extremities.
In the case of the MPP-SBH, the parameters of MPP (t, d, ϕ ) also strongly influence its absorbing performance.
In the following section, the SAS’s absorbing performance is optimized by maximizing the mean value of the absorption coefficient A introduced by Equation (7). The optimal values of the geometrical and physical parameters of the SASs are searched for by employing evolution strategies (see, e.g., [38]).

3. Results

3.1. Parameters of the Numerical Simulations

In all the numerical simulations, unless explicitly stated otherwise, the length of the SASs was set to L = 25 cm, and the height of the waveguide 2 A = 15 cm. The fluid filling the waveguide and SASs was assumed to be air at normal conditions with the following material parameters: the sound speed c 0 = 343.2 m s−1, the ambient density ρ 0 = 1.204 kg m−3, the adiabatic exponent γ = 1.4 , the dynamic viscosity μ = 1.83 × 10 5 Pa s, the specific heat capacity at constant pressure c p = 1004 J kg−1 K−1, and the thermal conductivity κ = 2.59 W m−1 K−1. For these conditions, the cut-on frequency f cut - on = 1144 Hz.

3.2. Non-Optimized SBHs

Figure 4 shows the absorption coefficient spectra (calculated employing LNSE-FEM model) of non-optimized SBHs with linear and quadratic profiles, both with n = 1 cm−1 ( N = 25 ribs), h r = 1 mm, and A min = 0.25 mm.
It can be observed that the absorbing performance of these SBHs is really poor, namely A = 0.153 for the linear profile, and A = 0.408 for the quadratic profile. These structures could be easy to manufacture; however, their application potential is rather limited. As it has recently been pointed out by Hruška et al. [27], this is caused by insufficient losses in the structure.

3.3. Optimized SBHs

An obvious way how to increase losses in the SBHs is increasing the rib density n, which increases the area of the solid–fluid interface with the adjacent acoustic boundary layer. In the following example, A min = 0.25 mm, the rib density is increased to n = 20 cm−1 (N = 500), and ξ = 0.5 ( h r = h s = 0.25 mm).
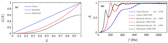
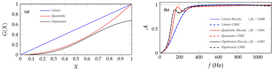
Figure 5a shows the shape function of the optimized SBH, together with the linear and quadratic one for the sake of comparison. It can be observed that the optimized shape is characteristic with small values of its slopes at the extremities, and along the-most-contracted part. What is also interesting is a large cross-sectional jump at the SBH’s opening, where G ( 1 ) = 0.601 . The numerical experiments indicate that this cross-sectional jump helps to enhance the low-frequency performance of the SBH. If the binding condition G ( 1 ) = 1 is enforced during optimisation, the low-frequency absorption peak occurs at a higher frequency, and a lower value of A is achieved.
Figure 5b shows the absorption coefficient spectra of the individual SBHs, where the solid lines show the results of the 1D Riccati model, and the dashed lines correspond to the 2D LNSE-FEM’s results. It can be observed that the agreement between both the models is very good, which validates the predictions of the simplified Riccati model.
It can be seen in Figure 5b that according to the mean absorption coefficient, the optimized SBH performs the best ( A = 0.856 ), the quadratic SBH performs somewhat worse ( A = 0.829 ), and the linear SBH performs the worst ( A = 0.709 ). Nevertheless, in all the cases, the performance is much better that in the case of SBHs with a coarse internal structure, as seen in Figure 4.
The absorption coefficient spectrum of the optimized SBH is characteristic with an absorption peak ( A = 0.739 ) at very low frequency of 120 Hz. The existence of an absorption peak at this low frequency (as will be shown later) is caused by the resonance along the SBH structure (global resonance). As it has recently been shown [15,26], the wave speed in the most contracted part of the SBH is significantly reduced, so the long contraction of the optimized SBH results in this low-frequency peak. The absorption coefficient of the optimized SBH has the value A > 0.9 for frequencies f > 250 Hz.
The absorption coefficient spectrum of the quadratic SBH also possesses a resonant peak with A = 0.998 at the frequency of 207 Hz, followed by a dip with A = 0.714 at the frequency of 272 Hz. Again, the existence of this low-frequency peak is caused by the longer contracted part of the profile, which is not as long as in the case of the optimized SBH. The absorption coefficient spectrum of the linear SBH does not display any low-frequency absorption peaks; the absorption coefficient has the value A > 0.9 only for frequencies f > 620 Hz.
The distribution of the acoustic pressure amplitude in the optimized SBH discussed above at four different frequencies is shown in Figure 6. In all the cases, acoustic wave with amplitude 1 Pa impinges on the SBH from the right. It can be observed that at the lowest two frequencies of 120 Hz and 270 Hz, the acoustic field is more or less independent on the y coordinate and it has the highest amplitude at x = 0 . These waveforms represent the global resonances along the SBH structure with acoustic wave slowdown at the SBH’s apex, they are manifestation of the acoustic black hole effect, and they are responsible for the low-frequency acoustic wave absorption.
It can be further observed in Figure 6 that at the higher frequencies of 500 Hz and 1000 Hz, the acoustic wave does not reach the SBH’s apex, and its amplitude in the slits varies with the y coordinate. This pressure gradient is connected with the large amplitude of acoustic velocity and acoustic energy dissipation in the thermoviscous boundary layers in slits. The higher the frequency, the closer to the SBH opening the region with increased acoustic pressure amplitude is. This behaviour is connected with (very low Q-factor) local resonances in the narrow slits and is responsible for the high and uniform acoustic wave absorption at the higher frequencies.

Parametric Study

It has been demonstrated in the previous section that an increase in the rib density n can increase the SBH’s absorbing performance. Within this section, the dependence of the optimized SBH’s absorbing properties on other parameters is studied.
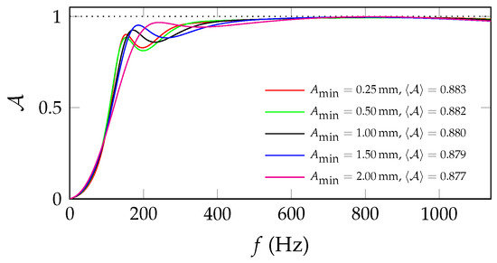
Figure 7 shows the mean value of the absorption coefficient A of an optimized SBH as a function of the rib density n and the profile contraction at its apex A min , whereas the wall porosity ξ = 0.5 is kept constant. It can be observed that the maximum value of A slightly increases with the decreasing value of A min , and for each value of A min , there is an optimal rib density n. For example, for A min = 1.00 mm, maximum A = 0.858 for n = 60 cm−1, whereas for A min = 0.25 mm, maximum A = 0.861 for n = 50 cm−1. More importantly, the numerical results show that with a lower value of A min , the absorbing performance decreases less rapidly with the decreasing rib density n.
Figure 8a shows the mean value of the absorption coefficient A as a function of the wall porosity ξ and the rib density n; in all the cases, A min = 0.25 mm. It can be observed that A strongly depends on ξ : the higher the wall porosity ξ , the higher the value of the maximum A . It is also interesting that for the highest value of ξ = 0.75 , the dependence of A on the rib density n is only weak.
Figure 8b shows the dependence of the absorption coefficient spectrum on the value of the rib density n; in all the cases, ξ = 0.75 and A min = 0.25 mm. It can be observed [see also the black line in Figure 8a] that, whereas the mean absorption coefficient is almost constant, the low-frequency behaviour of the SBHs is very different. For lower values of n, there is a low-frequency absorption peak in the absorption coefficient spectrum, and the lower the n, the lower its frequency. The presence of this absorption peak is caused by the fact that with the lower value of n, the slits become wider and there is less dissipation in the structure, which makes the spectrum more oscillatory.
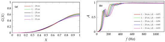
Another parameter which strongly influences the performance of an SBH is its length L. Figure 9a shows the shape functions of SBHs optimized for various lengths in intervals from L = 21 cm to L = 29 cm; in all the cases, A min = 0.25 mm, n = 20 cm−1, and ξ = 0.5 . The optimal shape functions are very similar, almost indistinguishable at the SBH’s apex up to ca. X < 0.2 L , and at the SBH opening, the larger the SBH’s length L, the higher the value G ( 1 ) .
Figure 9b shows the absorption coefficient spectra for these optimized SBHs with different lengths. The figure legend shows that the mean absorption coefficient increases with the SBHs’ length. All the absorption spectra are very similar, and there is one low-frequency absorption peak whose frequency decreases with the increasing SBHs’ length L. This behaviour is quite plausible. As it has been demonstrated earlier, this absorption peak is due to the acoustic black hole effect—the global resonance along the SBH structure. As the SBHs’ length L increases, the length of the most contracted part of the SBHs with the slowest wave speed also increases—see Figure 9a. As the resonance frequency is proportional to the wave speed and inversely proportional to the structure length, this leads to a decrease in the resonance frequency.

3.4. Optimized MPP-SBHs

It has been demonstrated in Section 3.3 that the increase in the rib density in SBHs results in increased absorbing performance due to additional acoustic losses. If an MPP is incorporated into the structure of the SBH, it provides additional losses, and the structure of the resulting MPP-SBH does not need to be very fine to provide reasonable absorbing performance.
In all the following numerical examples, the MPP’s thickness is fixed as t = 0.2 mm, and its holes’ diameters d and the porosity ϕ are the subject of the optimization together with the shape function.
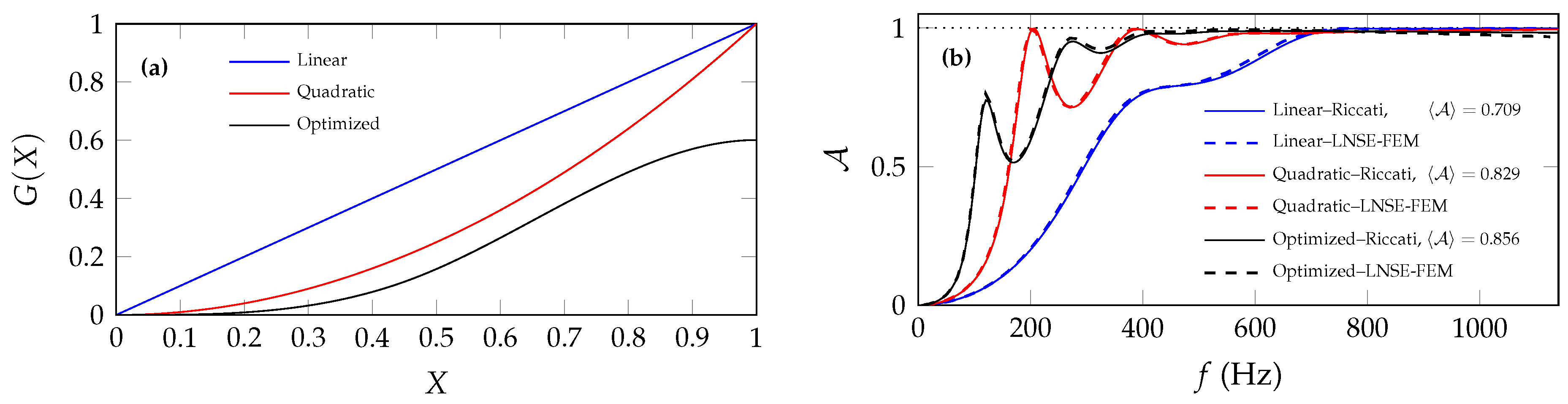
Figure 10 shows the optimization results in the case of na MPP-SBH with n = 1 cm−1 ( N = 25 ), h r = 1 mm, and A min = 0.25 mm. Panel (a) of the figure depicts the optimal shape function together with the linear and quadratic one for the sake of a comparison. Similarly as in the case of the optimized SBHs, the optimal shape function for an MPP-SBH possesses small slopes at its extremities, protracting the most contracted part in the vicinity of the apex and non-unity value at the opening, namely G ( 1 ) = 0.675 , introducing a cross-section jump. The diameters of the holes in the optimized MPP are 0.17 mm, with perforation ratio ϕ = 0.72 % .
Panel (b) of Figure 10 shows thee absorption coefficient spectra of the individual MPP-SBHs (in the case of the linear and quadratic profile, only the MPP parameters were optimized to maximize the value of A ). The solid lines correspond to the numerical results of the 1D Riccati model, the dashed lines correspond to the 2D LNSE-FEM simulation for the validation; it can be observed that both the models essentially provide the same results. Similarly as in the case of the optimized SBH (see Figure 5), the MPP-SBH with an optimized shape provides the highest value of the mean absorption coefficient, namely A = 0.883 . Both the absorption coefficient spectra in the case of quadratic and optimized MPP-SBHs possess characteristic low-frequency absorption peaks connected with the global resonance along the structures. In the case of the optimized MPP-SBHs, this peak has the value A = 0.900 at a frequency of 150 Hz. All the shapes provide uniform and high absorption at higher frequencies.
The distribution of the acoustic pressure amplitude in the optimized MPP-SBH discussed above at four different frequencies is shown in Figure 11. In all the cases, acoustic wave with amplitude 1 Pa impinges on the MPP-SBH from the right.
At a frequency of 150 Hz, corresponding to the low-frequency absorption peak (see Figure 10b), the maximum amplitude is at the MPP-SBH’s apex, and the acoustic pressure amplitude quickly decreases with increasing longitudinal coordinate x; meanwhile, the acoustic pressure does not depend on the transversal coordinate y. This corroborates the low-frequency absorption peak results from the acoustic black hole effect. At a higher frequency of 270 Hz, the acoustic field becomes rather complex; there is non-zero acoustic pressure amplitude at the structure’s apex as well as in the middle part, where it depends on the transversal coordinate y in slits. What is also apparent is the pressure jump across the MPP, which is connected with large acoustic velocity amplitude in the MPP’s holes and increased acoustic energy dissipation.
At even higher frequencies of 500 Hz and 1000 Hz, the acoustic wave does not reach the structure’s apex, and the area with a higher acoustic pressure amplitude in slits is shifted towards the MPP-SBH opening. Again, the locations with high pressure that jump across the MPP are the areas of increased acoustic energy absorption.

Parametric Study

Within this section, the dependence of optimized MPP-SBHs’ absorbing performance on various geometrical parameters is studied.
Figure 12 shows the absorption coefficient spectra of MPP-SBHs optimized for various fixed values of A min ; in all the cases, n = 1 cm−1, and h r = 1 mm. It can be observed that the low-frequency absorption spectrum is very much dependent on the value of A min , whereas the mean absorption coefficient A (see the figure legend) is, more or less, unaffected. This behaviour could be advantageously used for shaping the absorption spectra of MPP-SBHs.
Figure 13 shows the absorption coefficient spectra of MPP-SBHs optimized for various fixed values of h r ; in all the cases, n = 1 cm−1, and A min = 0.25 mm. The thickness of the ribs influences the spectrum of the absorption coefficient only at low frequencies; there is a general trend that the smaller the value of h r , the lower the frequency at which the absorption coefficient starts to increase from the zero value. Moreover, the smaller the value of h r , the higher the mean absorption coefficient. Simply put, the ribs only serve to introduce a locally compliant wall with smoothly changing admittance, the most of the absorption takes place in the MPP, and the space occupied by the ribs reduces the active surface of the MPP. Similarly, and for the same reason, if the thickness of the ribs is kept constant and the density of ribs n increases, the mean absorption coefficient decreases. Of course, this does not mean that the ribs are unimportant. If the ribs are removed, the absorbing performance of the structure decreases significantly.
Figure 14 shows the absorption coefficient spectrum of the optimized MPP-SBH presented in Figure 10 ( A min = 0.25 mm, n = 1 cm−1, h r = 1 mm) and the same MPP-SBH with all the internal ribs removed (only the first rib positioned at x = L is kept). It is evident that the absorbing performance of the resulting structure is really poor. Without the ribs, the MPP and the cavity behind does not provide the conditions for wideband and efficient acoustic energy absorption; moreover, longitudinal modes are excited in the cavity behind the MPP, which are otherwise suppressed by the presence of the ribs.
As it can be expected, an important parameter which strongly influences the performance of a MPP-SBH is its length L. Figure 15a shows the shape functions of MPP-SBHs optimized for various lengths in intervals from L = 21 cm to L = 29 cm; in all the cases, A min = 0.25 mm, n = 1 cm−1, and h r = 1 mm. It can be observed in Panel (a) of the figure, similarly as in the case of the optimized SBH, that the individual shape functions are very similar near the structure’s apex, whereas at the opening, the higher the L, the higher the value of G ( 1 ) . At the same time, as the low-frequency absorption peak is caused by the acoustic black hole effect, the longer the structure, the lower the frequency of this peak and the higher the mean absorption coefficient.

4. Discussion

Sonic black holes may represent an intriguing and unconventional means for achieving the anechoic termination of waveguides. The primary motivation for their use lies in the avoidance of fibrous materials, which may present challenges in certain situations. It has been demonstrated that if an SBH possesses a coarse internal structure—characterised by a rib density of approximately n 1 cm−1 and rib thickness h r 1 mm, parameters that are compatible with conventional manufacturing techniques—its absorbing performance is insufficient for most practical applications.
To enhance the absorbing performance of SBHs, we introduced the mean value of the absorption coefficient as a performance metric for optimisation purposes. It should be noted, however, that in some applications, alternative approaches may be more appropriate; for instance, the absorption coefficient spectrum could be frequency-weighted to improve low-frequency absorption. Nevertheless, the approaches adopted in this work can be readily adapted to suit any chosen performance metric.
One of the parameters that strongly influences SBH performance is its profile. In this work, the profile was defined using a dimensionless shape function constructed with three control points interconnected by cubic splines. This method allows for the construction of a wide variety of smooth profiles using a five-dimensional parameter vector.
We conducted an extensive parametric study, the results of which indicate the following: the optimal SBH shape features an elongated narrow section adjacent to the apex of the structure, as well as a cross-sectional jump at the SBH opening. This shape differs significantly from those previously studied. The SBH acts as an efficient absorber, particularly when its internal structure is fine, with a rib density of n 20 cm−1. A high number of ribs forming the SBH structure provides sufficient losses in the acoustic boundary layer adjacent to the solid–air interface in the slits. The requirement for a high rib density can be partially alleviated by minimising the maximum contraction at the apex of the SBH and, especially, by using very narrow ribs. It has been identified that the acoustic black hole effect plays a significant role in low-frequency absorption, such that increasing the SBH length results in an increase in the mean absorption coefficient.
This parametric study revealed that, although SBHs can serve as effective acoustic absorbers, their fine internal structure—resembling an anisotropic porous material—presents manufacturing challenges, even with contemporary 3D printing techniques. This issue can be circumvented by introducing an alternative loss mechanism into the SBH structure. For this reason, micro-perforated plates attached to the ends of the ribs were utilised. Although this idea has been proposed in previous works, it has not been applied to a rectangular SBH, where the profile can be easily shaped even with the attached MPP.
Our extensive parametric study revealed that MPP-SBHs can function as effective acoustic absorbers even with a low rib density of n 1 cm−1, making these structures easy to manufacture. The optimal shapes of MPP-SBHs are similar to those of SBHs. This study also indicated that the mean absorption coefficient of MPP-SBHs is not very sensitive to the value of the maximum contraction, in contrast to the low-frequency spectrum of the absorption coefficient. This finding opens the possibility of fine-tuning the absorption spectrum shape. As with SBHs, the mean absorption coefficient increases with decreasing rib thickness. Moreover, increasing the number of ribs with a fixed thickness reduces the absorbing performance, as the active surface of the MPP is reduced. Nonetheless, the presence of ribs in the structure is crucial, as they allow for the formation of a locally compliant metamaterial wall with suitable properties. Similar to SBHs, the acoustic black hole effect plays an important role in the low-frequency absorption in MPP-SBHs.
In conclusion, SBHs and MPP-SBHs are promising sound-absorbing structures for waveguides with rectangular cross-sections, offering advantages over conventional treatments involving fibrous materials. We hope that this study will contribute to their wider adoption in practical applications.

Author Contributions

Conceptualization, M.Č. and M.B.; methodology, M.Č. and M.B.; software, M.Č.; validation, M.Č.; formal analysis, M.Č.; investigation, M.Č.; writing—original draft preparation, M.Č.; writing—review and editing, M.Č. and M.B.; visualization, M.Č.; supervision, M.B.; project administration, M.B.; funding acquisition, M.B. All authors have read and agreed to the published version of the manuscript.

Funding

The authors are grateful for the financial support they received from GACR grant GA22-33896S.

Institutional Review Board Statement

Not applicable.

Informed Consent Statement

Not applicable.

Data Availability Statement

The raw data supporting the conclusions of this article will be made available by the authors upon request.

Conflicts of Interest

The authors declare no conflicts of interest.

Abbreviations

The following abbreviations are used in this manuscript:
ABHAcoustic black hole
FEMFinite element method
LNSELinearized Navier–Stokes equations
MPPMicro-perforated plate
SASSound-absorbing structure
SBHSonic black hole
VBHVibrational black hole

References

  1. Cox, T.; D’Antonio, P. Acoustic Absorbers and Diffusers, 3rd ed.; CRC Press: Boca Raton, FL, USA, 2020. [Google Scholar]
  2. Mironov, M.A. Propagation of a flexural wave in a plate whose thickness decreases smoothly to zero in a finite interval. Sov. Phys. Acoust. 1988, 34, 318–319. [Google Scholar]
  3. Mironov, M.A.; Pislyakov, V.V. One-dimensional acoustic waves in retarding structures with propagation velocity tending to zero. Acoust. Phys. 2002, 48, 347–352. [Google Scholar] [CrossRef]
  4. Mironov, M.A.; Pislyakov, V.V. One-dimensional sonic black holes: Exact analytical solution and experiments. J. Sound Vib. 2020, 473, 115223. [Google Scholar] [CrossRef]
  5. Pelat, A.; Gautier, F.; Conlon, S.C.; Semperlotti, F. The acoustic black hole: A review of theory and applications. J. Sound Vib. 2020, 476, 115316. [Google Scholar] [CrossRef]
  6. Guasch, O.; Arnela, M.; Sánchez-Martín, P. Transfer matrices to characterize linear and quadratic acoustic black holes in duct terminations. J. Sound Vib. 2017, 395, 65–79. [Google Scholar] [CrossRef]
  7. Guasch, O.; Sánchez-Martín, P.; Ghilardi, D. Application of the transfer matrix approximation for wave propagation in a metafluid representing an acoustic black hole duct termination. Appl. Math. Model. 2020, 77, 1881–1893. [Google Scholar] [CrossRef]
  8. Hollkamp, J.P.; Semperlotti, F. Application of fractional order operators to the simulation of ducts with acoustic black hole terminations. J. Sound Vib. 2020, 465, 115035. [Google Scholar] [CrossRef]
  9. Deng, J.; Guasch, O.; Ghilardi, D. Solution and analysis of a continuum model of sonic black hole for duct terminations. Appl. Math. Model. 2024, 129, 191–206. [Google Scholar] [CrossRef]
  10. El-Ouahabi, A.A.; Krylov, V.V.; O’Boy, D. Experimental investigation of the acoustic black hole for sound absorption in air. In Proceedings of the 22nd International Congress on Sound and Vibration, Florence, Italy, 12–16 July 2015. [Google Scholar]
  11. El-Ouahabi, A.A.; Krylov, V.V.; O’Boy, D. Investigation of the acoustic black hole termination for sound waves propagating in cylindrical waveguides. In Proceedings of the Inter-Noise 2015, San Francisco, CA, USA, 9–12 August 2015. [Google Scholar]
  12. Mi, Y.; Zhai, W.; Cheng, L.; Xi, C.; Yu, X. Wave trapping by acoustic black hole: Simultaneous reduction of sound reflection and transmission. Appl. Phys. Lett. 2021, 118, 114101. [Google Scholar] [CrossRef]
  13. Mousavi, A.; Berggren, M.; Wadbro, E. How the waveguide acoustic black hole works: A study of possible damping mechanisms. J. Acoust. Soc. Am. 2022, 151, 4279–4290. [Google Scholar] [CrossRef]
  14. Červenka, M.; Bednařík, M. On the role of resonance and thermoviscous losses in an implementation of “acoustic black hole” for sound absorption in air. Wave Motion 2022, 114, 103039. [Google Scholar] [CrossRef]
  15. Umnova, O.; Brooke, D.; Leclaire, P.; Dupont, T. Multiple resonances in lossy acoustic black holes - theory and experiment. J. Sound Vib. 2023, 543, 117377. [Google Scholar] [CrossRef]
  16. Sharma, N.; Umnova, O.; Moorhouse, A. Low frequency sound absorption through a muffler with metamaterial lining. In Proceedings of the 24th International Congress on Sound and Vibration 2017 (ICSV 24), London, UK, 23–27 July 2017. [Google Scholar]
  17. Bravo, T.; Maury, C. Broadband sound attenuation and absorption by duct silencers based on the acoustic black hole effect: Simulations and experiments. J. Sound Vib. 2023, 561, 117825. [Google Scholar] [CrossRef]
  18. Bravo, T.; Maury, C. Converging rainbow trapping silencers for broadband sound dissipation in a low-speed ducted flow. J. Sound Vib. 2024, 589, 118524. [Google Scholar] [CrossRef]
  19. Zhang, X.; Cheng, L. Broadband and low frequency sound absorption by sonic black holes with micro-perforated boundaries. J. Sound Vib. 2021, 512, 116401. [Google Scholar] [CrossRef]
  20. Liang, X.; Liang, H.; Chu, J.; Wang, W.; Li, N.; Yang, Z.; Zhou, G.; Gao, N.; Hu, C.; Zhou, Z. A modified sonic black hole structure for improving and broadening sound absorption. Appl. Acoust. 2023, 210, 109440. [Google Scholar] [CrossRef]
  21. Li, S.; Xia, J.; Yu, X.; Zhang, X.; Cheng, L. A sonic black hole structure with perforated boundary for slow wave generation. J. Sound Vib. 2023, 559, 117781. [Google Scholar] [CrossRef]
  22. Mi, Y.; Cheng, L.; Zhai, W.; Yu, X. Broadband low-frequency sound attenuation in duct with embedded periodic sonic black holes. J. Sound Vib. 2022, 536, 117138. [Google Scholar] [CrossRef]
  23. Bezançon, G.; Doutres, O.; Umnova, O.; Leclaire, P.; Dupont, T. Thin metamaterial using acoustic black hole profiles for broadband sound absorption. Appl. Acoust. 2024, 216, 109744. [Google Scholar] [CrossRef]
  24. Maury, C.; Bravo, T.; Amielh, M.; Mazzoni, D. Acoustic pressure amplification through in-duct sonic black holes. Appl. Sci. 2024, 14, 4699. [Google Scholar] [CrossRef]
  25. Bednařík, M.; Červenka, M. A sonic black hole of a rectangular cross-section. Appl. Math. Model. 2024, 125, 529–543. [Google Scholar] [CrossRef]
  26. Červenka, M.; Bednařík, M. Numerical study of the behavior of rectangular acoustic black holes for sound absorption in air. Wave Motion 2023, 123, 103230. [Google Scholar] [CrossRef]
  27. Hruška, V.; Groby, J.P.; Bednařík, M. Complex frequency analysis and source of losses in rectangular sonic black holes. J. Sound Vib. 2024, 571, 118107. [Google Scholar] [CrossRef]
  28. Červenka, M.; Bednařík, M. Acoustic black hole combined with microperforated plate for a rectangular waveguide. In Proceedings of the Inter-Noise 2024, Nantes, France, 25–29 August 2024. [Google Scholar]
  29. Stinson, M. The propagation of plane sound waves in narrow and wide circular tubes, and generalization to uniform tubes of arbitrary cross-sectional shape. J. Acoust. Soc. Am. 1991, 89, 550–558. [Google Scholar] [CrossRef]
  30. Maa, D.Y. Potential of microperforated panel absorber. J. Acoust. Soc. Am. 1998, 104, 2861–2866. [Google Scholar] [CrossRef]
  31. Guo, Y.; Allam, S.; Abom, M. Micro-perforated plates for vehicle applications. In Proceedings of the Inter-Noise 2008, Shanghai, China, 26–29 October 2008; pp. 1918–1936. [Google Scholar]
  32. Allard, J.F.; Atalla, N. Propagation of Sound in Porous Media: Modelling Sound Absorbing Materials, 2nd ed.; Wiley: Chichester, UK, 2009. [Google Scholar]
  33. Zielinski, T.G.; Venegas, R.; Perrot, C.; Červenka, M.; Chevillotte, F.; Attenborough, K. Benchmarks for microstructure-based modelling of sound absorbing rigid-frame porous media. J. Sound Vib. 2020, 483, 115441. [Google Scholar] [CrossRef]
  34. Červenka, M.; Bednařík, M. Optimal shaping of acoustic black holes for sound absorption in air. Acta Acust. 2024, 8, 21. [Google Scholar] [CrossRef]
  35. Mousavi, A.; Berggren, M.; Hägg, L.; Wadbro, E. Topology optimization of a waveguide acoustic black hole for enhanced wave focusing. J. Acoust. Soc. Am. 2024, 155, 742–756. [Google Scholar] [CrossRef]
  36. Serra, G.; Guasch, O.; Arnela, M.; Miralles, D. Optimization of the profile and distribution of absorption material in sonic black holes. Mech. Syst. Signal. Pr. 2023, 202, 110707. [Google Scholar] [CrossRef]
  37. Bravo, T.; Maury, C. Causally-guided acoustic optimization of single-layer rigidly-backed micro-perforated partitions: Theory. J. Sound Vib. 2021, 520, 116634. [Google Scholar] [CrossRef]
  38. Eiben, A.E.; Smith, J.E. Introduction to Evolutionary Computing; Springer: Berlin/Heidelberg, Germany, 2010. [Google Scholar]
Figure 1. Geometry of an SBH (left) and MPP-SBH (right) attached to a rectangular waveguide (with the front wall removed).
Figure 1. Geometry of an SBH (left) and MPP-SBH (right) attached to a rectangular waveguide (with the front wall removed).
Applsci 14 07766 g001
Figure 2. Simplified model of SBH (left) and MPP-SBH (right).
Figure 2. Simplified model of SBH (left) and MPP-SBH (right).
Applsci 14 07766 g002
Figure 3. Shape function G ( X ) introduced by employing three control points interconnected using cubic splines.
Figure 3. Shape function G ( X ) introduced by employing three control points interconnected using cubic splines.
Applsci 14 07766 g003
Figure 4. Absorption coefficient spectra of non-optimized SBHs with coarse internal structure.
Figure 4. Absorption coefficient spectra of non-optimized SBHs with coarse internal structure.
Applsci 14 07766 g004
Figure 5. Panel (a): shape functions. Panel (b): absorption coefficient spectra of SBHs with linear, quadratic, and optimized profiles. Solid lines—prediction by the Riccati model. Dashed lines—results from the LNSE-FEM model. In all the cases, A min = 0.25 mm, n = 20 cm−1, and ξ = 0.5 .
Figure 5. Panel (a): shape functions. Panel (b): absorption coefficient spectra of SBHs with linear, quadratic, and optimized profiles. Solid lines—prediction by the Riccati model. Dashed lines—results from the LNSE-FEM model. In all the cases, A min = 0.25 mm, n = 20 cm−1, and ξ = 0.5 .
Applsci 14 07766 g005
Figure 6. Distribution of the acoustic pressure amplitude in optimized SBH at four particular frequencies; acoustic wave with amplitude 1 Pa impinges from right.
Figure 6. Distribution of the acoustic pressure amplitude in optimized SBH at four particular frequencies; acoustic wave with amplitude 1 Pa impinges from right.
Applsci 14 07766 g006
Figure 7. Mean value of the absorption coefficient of an optimized SBH as a function of n and A min ; in all the cases, ξ = 0.5 .
Figure 7. Mean value of the absorption coefficient of an optimized SBH as a function of n and A min ; in all the cases, ξ = 0.5 .
Applsci 14 07766 g007
Figure 8. Panel (a): mean value of the absorption coefficient of an optimized SBH as a function of n and ξ ; in all the cases, A min = 0.25 mm. Panel (b): absorption coefficient spectrum for ξ = 0.75 and different values of n.
Figure 8. Panel (a): mean value of the absorption coefficient of an optimized SBH as a function of n and ξ ; in all the cases, A min = 0.25 mm. Panel (b): absorption coefficient spectrum for ξ = 0.75 and different values of n.
Applsci 14 07766 g008
Figure 9. Panel (a): shape functions of SBHs optimized for different lengths L; in all the cases, A min = 0.25 mm, n = 20 cm−1, and ξ = 0.5 . Panel (b): the absorption coefficient spectra of the individual SBHs.
Figure 9. Panel (a): shape functions of SBHs optimized for different lengths L; in all the cases, A min = 0.25 mm, n = 20 cm−1, and ξ = 0.5 . Panel (b): the absorption coefficient spectra of the individual SBHs.
Applsci 14 07766 g009
Figure 10. Panel (a): shape functions. Panel (b): absorption coefficient spectra of MPP-SBHs with linear, quadratic, and optimized profiles. Solid lines—prediction by the Riccati model. Dashed lines—results from the LNSE-FEM model. In all the cases, A min = 0.25 mm, n = 1 cm−1, and h r = 1 mm.
Figure 10. Panel (a): shape functions. Panel (b): absorption coefficient spectra of MPP-SBHs with linear, quadratic, and optimized profiles. Solid lines—prediction by the Riccati model. Dashed lines—results from the LNSE-FEM model. In all the cases, A min = 0.25 mm, n = 1 cm−1, and h r = 1 mm.
Applsci 14 07766 g010
Figure 11. Distribution of the acoustic pressure amplitude in optimized the MPP-SBH at four particular frequencies; acoustic wave with amplitude 1 Pa impinges from the right.
Figure 11. Distribution of the acoustic pressure amplitude in optimized the MPP-SBH at four particular frequencies; acoustic wave with amplitude 1 Pa impinges from the right.
Applsci 14 07766 g011
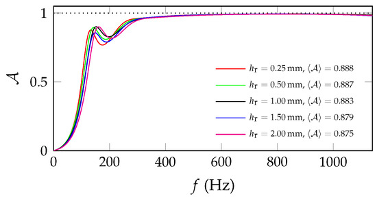
Figure 12. Absorption coefficient spectra of optimized MPP-SBHs for various values of A min ; in all the cases, n = 1 cm−1, and h r = 1 mm.
Figure 12. Absorption coefficient spectra of optimized MPP-SBHs for various values of A min ; in all the cases, n = 1 cm−1, and h r = 1 mm.
Applsci 14 07766 g012
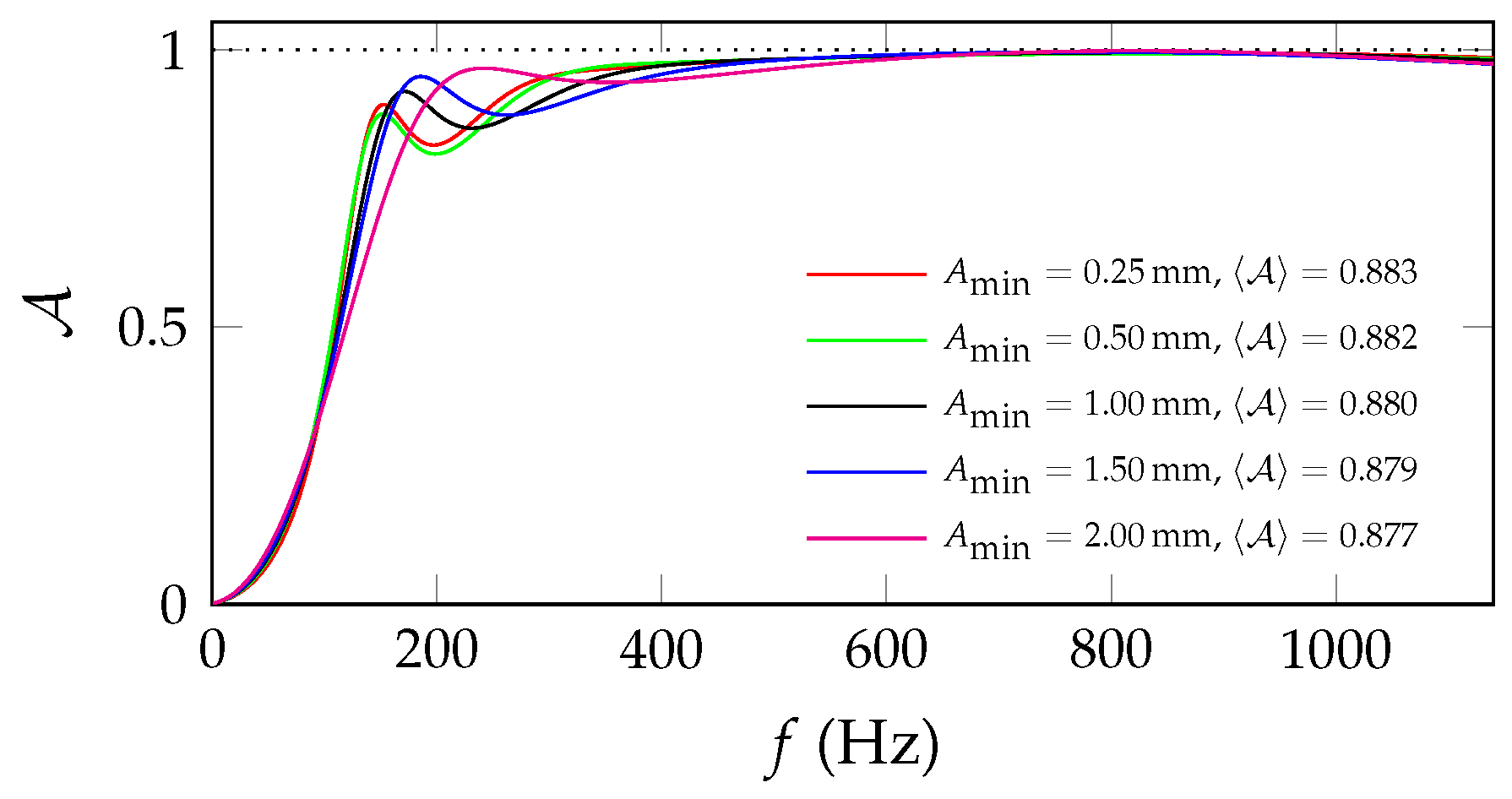
Figure 13. Absorption coefficient spectra of optimized MPP-SBHs for various values of h r ; in all the cases, n = 1 cm−1, and A min = 0.25 mm.
Figure 13. Absorption coefficient spectra of optimized MPP-SBHs for various values of h r ; in all the cases, n = 1 cm−1, and A min = 0.25 mm.
Applsci 14 07766 g013
Figure 14. Absorption coefficient spectrum of the optimized MPP-SBH from Figure 10 ( A min = 0.25 mm, n = 1 cm−1, h r = 1 mm) and the same MPP-SBH with the internal ribs removed.
Figure 14. Absorption coefficient spectrum of the optimized MPP-SBH from Figure 10 ( A min = 0.25 mm, n = 1 cm−1, h r = 1 mm) and the same MPP-SBH with the internal ribs removed.
Applsci 14 07766 g014
Figure 15. Panel (a): shape functions of MPP-SBHs optimized for different lengths L; in all the cases, A min = 0.25 mm, n = 1 cm−1, and h r = 1 mm. Panel (b): the absorption coefficient spectra of the individual MPP-SBHs.
Figure 15. Panel (a): shape functions of MPP-SBHs optimized for different lengths L; in all the cases, A min = 0.25 mm, n = 1 cm−1, and h r = 1 mm. Panel (b): the absorption coefficient spectra of the individual MPP-SBHs.
Applsci 14 07766 g015
Disclaimer/Publisher’s Note: The statements, opinions and data contained in all publications are solely those of the individual author(s) and contributor(s) and not of MDPI and/or the editor(s). MDPI and/or the editor(s) disclaim responsibility for any injury to people or property resulting from any ideas, methods, instructions or products referred to in the content.

Share and Cite

MDPI and ACS Style

Červenka, M.; Bednařík, M. Maximizing the Absorbing Performance of Rectangular Sonic Black Holes. Appl. Sci. 2024, 14, 7766. https://doi.org/10.3390/app14177766

AMA Style

Červenka M, Bednařík M. Maximizing the Absorbing Performance of Rectangular Sonic Black Holes. Applied Sciences. 2024; 14(17):7766. https://doi.org/10.3390/app14177766

Chicago/Turabian Style

Červenka, Milan, and Michal Bednařík. 2024. "Maximizing the Absorbing Performance of Rectangular Sonic Black Holes" Applied Sciences 14, no. 17: 7766. https://doi.org/10.3390/app14177766

APA Style

Červenka, M., & Bednařík, M. (2024). Maximizing the Absorbing Performance of Rectangular Sonic Black Holes. Applied Sciences, 14(17), 7766. https://doi.org/10.3390/app14177766

Note that from the first issue of 2016, this journal uses article numbers instead of page numbers. See further details here.

Article Metrics

Back to TopTop